Adaptive Continuous-Variable Quantum Key Distribution with Discrete Modulation Regulative in Free Space
Abstract
1. Introduction
2. AO-Enabled CVQKD with Discrete Modulations
2.1. Finite Sampling Frequency
2.2. AO-Embedded Detector
3. Security Analysis
3.1. Derivation of the Secret Key Rate
3.2. Tunable Parameter Optimization
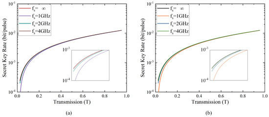
3.3. Simulation Results
4. Conclusions
Author Contributions
Funding
Data Availability Statement
Conflicts of Interest
References
- Gisin, N.; Ribordy, G.; Tittel, W.; Zbinden, H. Quantum cryptography. Rev. Mod. Phys. 2002, 74, 145. [Google Scholar] [CrossRef]
- Scarani, V.; Renner, R. Quantum cryptography with finite resources: Unconditional security bound for discrete-variable protocols with one-way postprocessing. Phys. Rev. Lett. 2008, 100, 200501. [Google Scholar] [CrossRef] [PubMed]
- Grosshans, F.; Grangier, P. Continuous variable quantum cryptography using coherent states. Phys. Rev. Lett. 2002, 88, 057902. [Google Scholar] [CrossRef] [PubMed]
- Grosshans, F.; Van Assche, G.; Wenger, J.; Brouri, R.; Cerf, N.J.; Grangier, P. Quantum key distribution using gaussian-modulated coherent states. Nature 2003, 421, 238–241. [Google Scholar] [CrossRef]
- Guo, Y.; Liao, Q.; Huang, D.; Zeng, G. Quantum relay schemes for continuous-variable quantum key distribution. Phys. Rev. A 2017, 95, 042326. [Google Scholar] [CrossRef]
- Leverrier, A.; Grangier, P. Unconditional security proof of long-distance continuous-variable quantum key distribution with discrete modulation. Phys. Rev. Lett. 2008, 102, 180504. [Google Scholar] [CrossRef]
- Jouguet, P.; Kunz-Jacques, S.; Diamanti, E. Preventing calibration attacks on the local oscillator in continuous-variable quantum key distribution. Phys. Rev. A 2013, 87, 062313. [Google Scholar] [CrossRef]
- Huang, J.Z.; Weedbrook, C.; Yin, Z.Q.; Wang, S.; Li, H.W.; Chen, W.; Guo, G.C.; Han, Z.F. Quantum hacking of a continuous-variable quantum-key-distribution system using a wavelength attack. Phys. Rev. A 2013, 87, 062329. [Google Scholar] [CrossRef]
- Ma, X.C.; Sun, S.H.; Jiang, M.S.; Liang, L.M. Wavelength attack on practical continuous-variable quantum-key-distribution system with a heterodyne protocol. Phys. Rev. A 2013, 87, 052309. [Google Scholar] [CrossRef]
- Qin, H.; Kumar, R. Quantum hacking: Saturation attack on practical continuous-variable quantum key distribution. Phys. Rev. A 2016, 94, 012325. [Google Scholar] [CrossRef]
- Wang, C.; Huang, P.; Huang, D.; Lin, D.; Zeng, G. Practical security of continuous-variable quantum key distribution with finite sampling bandwidth effects. Phys. Rev. A 2016, 93, 022315. [Google Scholar] [CrossRef]
- Qin, H.; Kumar, R.; Makarov, V. Homodyne-detector-blinding attack in continuous-variable quantum key distribution. Phys. Rev. A 2018, 98, 012312. [Google Scholar] [CrossRef]
- Guo, Y.; Xie, C.; Liao, Q. Entanglement-distillation attack on continuous-variable quantum key distribution in a turbulent atmospheric channel. Phys. Rev. A 2017, 96, 022320. [Google Scholar] [CrossRef]
- Guo, Y.; Ye, W.; Zhong, H.; Liao, Q. Continuous-variable quantum key distribution with non-Gaussian quantum catalysis. Phys. Rev. A 2019, 99, 032327. [Google Scholar] [CrossRef]
- Schneider, T.; Moradi, A.; Güneysu, T. ParTI-Towards Combined Hardware Countermeasures Against Side-Channel and Fault-Injection Attacks. In Proceedings of the 36th Annual International Cryptology Conference on Advances in Cryptology (CRYPTO 2016), Santa Barbara, CA, USA, 14–18 August 2016; Volume 9815, pp. 302–332. [Google Scholar]
- Dofe, J.; Pahlevanzadeh, H.; Yu, Q. A Comprehensive FPGA-Based Assessment on Fault-Resistant AES against Correlation Power Analysis Attack. J. Electron. Test. 2016, 32, 611–624. [Google Scholar] [CrossRef]
- Kunz-Jacques, S.; Jouguet, P. Robust shot-noise measurement for continuous-variable quantum key distribution. Phys. Rev. A 2015, 91, 022307. [Google Scholar] [CrossRef]
- Pirandola, S.; Ottaviani, C.; Spedalieri, G.; Weedbrook, C.; Braunstein, S.L.; Lloyd, S.; Gehring, T.; Jacobsen, C.S.; Andersen, U.L. High-rate measurement-device-independent quantum cryptography. Nat. Photonics 2015, 9, 397–402. [Google Scholar]
- Li, Z.; Zhang, Y.C.; Xu, F.; Peng, X.; Guo, H. Continuous-variable measurement-device-independent quantum key distribution. Phys. Rev. A 2014, 89, 052301. [Google Scholar] [CrossRef]
- Liao, Q.; Xiao, G.; Xu, C.; Xu, Y.; Guo, Y. Discretely-modulated continuous-variable quantum key distribution with untrusted entanglement source. Phys. Rev. A 2020, 102, 032604. [Google Scholar] [CrossRef]
- Huang, J.; Deng, K.; Liu, C.; Zhang, P.; Jiang, D.; Yao, Z. Effectiveness of adaptive optics system in satellite-to-ground coherent optical communication. Opt. Express 2014, 22, 16000–16007. [Google Scholar]
- Liu, W.; Yao, K.; Huang, D.; Lin, X.; Wang, L.; Lv, Y. Performance evaluation of coherent free space optical communications with a double-stage fast-steering-mirror adaptive optics system depending on the Greenwood frequency. Opt. Express 2016, 24, 13288–13302. [Google Scholar] [CrossRef] [PubMed]





Publisher’s Note: MDPI stays neutral with regard to jurisdictional claims in published maps and institutional affiliations. |
© 2022 by the authors. Licensee MDPI, Basel, Switzerland. This article is an open access article distributed under the terms and conditions of the Creative Commons Attribution (CC BY) license (https://creativecommons.org/licenses/by/4.0/).
Share and Cite
Zhu, Y.; Mao, L.; Hu, H.; Wang, Y.; Guo, Y. Adaptive Continuous-Variable Quantum Key Distribution with Discrete Modulation Regulative in Free Space. Mathematics 2022, 10, 4450. https://doi.org/10.3390/math10234450
Zhu Y, Mao L, Hu H, Wang Y, Guo Y. Adaptive Continuous-Variable Quantum Key Distribution with Discrete Modulation Regulative in Free Space. Mathematics. 2022; 10(23):4450. https://doi.org/10.3390/math10234450
Chicago/Turabian StyleZhu, Yiwu, Lei Mao, Hui Hu, Yijun Wang, and Ying Guo. 2022. "Adaptive Continuous-Variable Quantum Key Distribution with Discrete Modulation Regulative in Free Space" Mathematics 10, no. 23: 4450. https://doi.org/10.3390/math10234450
APA StyleZhu, Y., Mao, L., Hu, H., Wang, Y., & Guo, Y. (2022). Adaptive Continuous-Variable Quantum Key Distribution with Discrete Modulation Regulative in Free Space. Mathematics, 10(23), 4450. https://doi.org/10.3390/math10234450

