North/South Station Keeping of the GEO Satellites in Asymmetric Configuration by Electric Propulsion with Manipulator
Abstract
:1. Introduction
- (1)
- The method proposed in this paper has great advantages in control accuracy and fuel consumption.
- (2)
- The method proposed in this paper can solve the problem that the angular momentum cannot be unloaded in the traditional NWSK method, and it prevents the satellite’s attitude from running out of control.
2. Calculation of the Mean Orbital Inclination under Different NSSK Accuracy
2.1. The Vernal Equinox Orbital Elements
- is the orbital semi-major axis, the unit is m.
- is the mean orbital longitude, the unit is rad;
- is the Y-component of the orbital eccentricity vector, dimensionless;
- is the X-component of the orbital eccentricity vector, dimensionless;
- is the Y-component of the orbital inclination vector, the unit is rad;
- is the X-component of the orbital inclination vector, the unit is rad.
- is the argument of perigee of the satellite in the J2000.0 coordinate system, in rad;
- M is the mean anomaly of the satellite in the J2000.0 coordinate system, in rad;
- Ω is the right ascending of ascension node of the satellite in the J2000.0 coordinate system, in rad;
- is the orbital inclination of the satellite in the J2000.0 coordinate system, in rad;
- is the rotational angular velocity of the earth, the unit is rad/s;
- is the Greenwich sidereal hour angle at the current moment, the unit is rad;
- is the Greenwich sidereal hour angle at the time of J2000.0, the value is 4.899787426069032 rad.
2.2. Calculation of the Mean Orbital Inclination
- , , and are the position of the third body (sun or moon) in the J2000 coordinate system, the units are m;
- is the longitude of the third body (moon or sun) in the J2000 coordinate system, in rad;
- , is the right ascending of the ascension node of the third body (moon or sun) in the J2000 coordinate system, in rad;
- is the orbital inclination of the ascension node of the third body (moon or sun) in the J2000 coordinate system, in rad.
2.2.1. Nutation Period Term Perturbation
2.2.2. Semi-Annual and Semi-Monthly Period Term Perturbation
2.2.3. Semi-Diurnal Period Term Perturbation
- (1)
- For a GEO satellite whose north/south keeping accuracy is required to be about 0.1°, it is recommended to use the calculation method of the mean orbital inclination after deducting the semi-diurnal period term, semi-monthly period term and semi-annual period term; that is, the item needed to be deducted is
- (2)
- For a GEO satellite whose north/south keeping accuracy is required to be about 0.01°, it is recommended to use the calculation method of the mean inclination after deducting the semi-monthly periodic term and semi-diurnal period term; that is, the item needed to be deducted is
- (3)
- For GEO satellites whose NSSK accuracy is required to be about 0.005°, it is recommended to use the calculation method of the mean orbital inclination after deducting the semi-diurnal period term; that is, the item needed to be deducted is
3. North/South Station Keeping Control by Electric Propulsion with Manipulator
3.1. Basic Concepts
3.2. Range for North/South Station Keeping Zone
- is the mean orbital inclination used for control, and it is also the orbital inclination of the satellite’s orbit relative to the target orbit, in rad;
- is the initial orbital semi-major axis;
- is the orbital angular velocity.
3.3. Duration of the North/South Station Keeping
- is the maximum daily drift of the mean orbital inclination vector, in rad;
- is the initial velocity of the satellite.
- is the mass of the satellite;
- is the magnitude of the thrust acting on the satellite.
- is the maximum daily drift of the mean orbital inclination vector, in rad;
- is the minimum daily drift of the mean orbital inclination vector, in rad;
3.4. The Control Amount of the North/South Station Keeping
3.4.1. Zone Control Method
- (1)
- Normal working condition: closed zone enclosed by ABCD;
- (2)
- Working condition one: It is a half-zone closed zone surrounded by L1, L2 and AB arcs, and the modulus of the mean orbital inclination vector corresponding to the target to the current orbit in this zone is greater than ;
- (3)
- Working condition two: It consists of two half-zone enclosed zones; one is enclosed by L1, L3 and L4, and the other is enclosed by L2, L3 and L4, and they are all outside the allowed SK zone;
- (4)
- Working condition three: It is a half-zone closed zone surrounded by L5, L6 and CD arcs, and the component in the Y-direction of this zone is less than ;
- (5)
- Working condition four: It consists of two half-zone enclosed zones; one is enclosed by L1 and L3, the other is enclosed by L2 and L3, and both are outside the range of the allowable SK zone;
- (6)
- Working condition five: It includes two half-zone closed zones; one is enclosed by L4 and L5, the other is enclosed by L4 and L6, and the absolute value of the components in X-direction of the two zones is greater than .
- (1)
- It contains a stable zone, namely the normal working condition. Under the normal working condition, the orbital inclination vector from the target orbit to the current orbit will continue to maintain the normal working condition, that is, the steady-state SK;
- (2)
- It contains four semi-stable zones, including two zones of working condition two, as well as working condition one and working condition three. These zones, in the shape of pipelines, are connected to the intermediate normal working conditions, and their orbital inclination vectors in the X-axis or Y-axis are in a closed-loop stable state, so they will not leave the steady-state pipeline and will eventually enter the normal working conditions along the pipeline. The semi-stable zone is further divided into X-axis stability (condition two) and Y-axis stability (condition one and condition three). In the semi-stable zone where the X-axis is stable, the center position of the NSSK is unchanged, and the duration of the orbital control changes in real time with the orbital inclination. In the semi-stable zone where the Y-axis is stable, the duration of NSSK control is unchanged (the longest or the shortest duration), but the center of the SK will change in real time with the orbital inclination.
- (3)
- It contains four unstable zones, including two zones in working condition four and two zones in working condition five. These zones are in the form of sectors. In these zones, the orbital inclination vector will move under the combined action of orbital control and natural perturbation. It will enter the semi-stable zone adjacent to it, and then reaches the stable zone through the semi-stable zone.
3.4.2. Analysis of Fuel Consumption
3.5. Orbital Inclination Vector for Control
- is the current mean orbital inclination vector of the satellite, in rad;
- is the target mean orbital inclination vector of the satellite, in rad;
- is the daily drift of the orbital inclination vector, in rad;
- is the orbital period, which is 86,400.091s.
- is the time of the current position to the center of the target position.
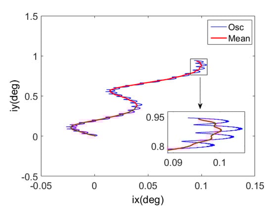
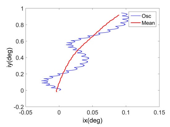
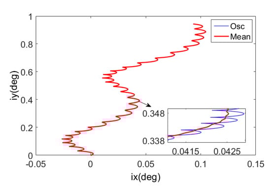
4. Simulation and Analysis
- (1)
- The control law covers all working conditions;
- (2)
- The result of the SK of the mean orbital inclination vector under the influence of different period term perturbations is verified;
- (3)
- The feasibility of parameter adaptation is verified.
4.1. Example One
4.2. Example Two
4.3. Example Three
4.4. Example Four
4.5. Example Five
5. Conclusions
- (1)
- The longer the period of the drifting of the mean orbit inclination under the influence of perturbation, the smaller the fluctuation of the center of the SK, the shorter required duration for orbital control, and the smaller the velocity increment required for the SK, but the accuracy of the NSSK is lower;
- (2)
- The velocity increment required for the NSSK of the mean orbital inclination for a semi-monthly period is about 45.5 m/s, and the accuracy of the NSSK is about 0.004°, which is suitable for a high-precision NSSK. The velocity increment required for the NSSK of the mean orbital inclination for the semi-annual period is about 45.5 m/s, and the accuracy of the NSSK is about 0.03°, which is suitable for the NSSK with medium precision and low fuel consumption;
- (3)
- The zone control method of the NSSK has strong adaptability to the initial large orbital inclination;
- (4)
- When the initial orbital inclination has a negative bias, the velocity increment required for the NSSK is less. When the initial orbital inclination has a positive bias, the velocity increment requirements for the NSSK is large;
- (5)
- The manipulator can also be used as a despinning platform for the satellite to achieve the NSSK and angular momentum unloading during the attitude maneuver. The angular momentum unloading scheme of manipulator with an electric thruster is worthy of further study;
- (6)
- The EWSK scheme of the manipulator with EP is worthy of further in-depth study.
- (1)
- Carrying out EWSK at the same time in NWKS;
- (2)
- Unloading angular momentum of a large number of stages (such as 50 Nms each time) while in SK;
- (3)
- Online solution for inverse motion of manipulator.
Author Contributions
Funding
Institutional Review Board Statement
Informed Consent Statement
Data Availability Statement
Conflicts of Interest
References
- Chao, C.C. Applied Orbit Perturbation and Maintenance; The Aerospace Press: Reston, VA, USA, 2005. [Google Scholar]
- Wang, Z.C.; Xing, G.H.; Zhang, H.W. Handbook of Geostationary Orbits; National Defense Industry Press: Beijing, China, 1999. [Google Scholar]
- Hu, Z.; Wang, M.; Yuan, J.G. Development and enlightenment of foreign all-EP satellite platforms. Spacecr. Environ. Eng. 2015, 32, 566–570. [Google Scholar]
- Zhang, N. High-Precision Positioning Technology for Geostationary Orbit Satellites. Ph.D. Thesis, Tsinghua University, Beijing, China, 2017. [Google Scholar]
- Li, H.N. Geostationary Satellite Orbit and Co-Location Control Technology, 1st ed.; National Defense Industry Press: Beijing, China, 2010; pp. 61–64. [Google Scholar]
- Li, H.N.; Gao, Y.J.; Yu, P.J. Research on GEO Co-location Control Strategy. Chin. J. Astronaut. 2009, 30, 967–973. [Google Scholar]
- Park, B.K.; Tahk, M.J.; Bang, H.C.; Choi, S.B. Station Collocation Design algorithm for Multiple Geostationary Satellites Operation. J. Spacecr. Rockers 2003, 40, 889–893. [Google Scholar]
- Li, J.C.; An, J.W. Co-location isolation strategy based on orbital eccentricity and orbital inclination vector square root. Spacecr. Eng. 2009, 18, 20–24. [Google Scholar]
- Shi, S.B.; Dong, G.L.; Luo, Q. Orbit maintenance strategy for GEO co-located satellites based on isolation in the tangent plane. Shanghai Aerosp. 2009, 3, 47–55. [Google Scholar]
- Shi, S.B.; Han, Q.L.; Lv, B.T. Optimal control of east-west orbit maintenance for GEO co-located satellites. Shanghai Aerosp. 2011, 2, 43–49. [Google Scholar]
- Li, Y.H. Principles and Implementation Strategies of Orbit Maintenance for Geostationary Communication Satellites. J. Aircr. Meas. Control. 2003, 22, 53–61. [Google Scholar]
- Li, Y.H.; Wei, W.; Yi, K.C. Calculation and Engineering Implementation of Orbit Control Parameters of On-orbit Geostationary Satellites. Acta Space Sci. 2007, 27, 72–76. [Google Scholar]
- Chen, Z.J.; Li, Y.H. Optimization method of east-west position keeping strategy for bias momentum satellites. Shanghai Aerosp. 2011, 28, 37–41. [Google Scholar]
- No, T.S. Simple Approach to East-West Station Keeping of Geosynchronous spacecraft. J. Guid. Control Dyn. 1999, 22, 734–736. [Google Scholar] [CrossRef]
- Yang, W.B.; Li, S.Y.; Li, N. Station-Keeping Control Method for GEO Satellite based on Relative Orbit Dynamics. In Proceedings of the 11th World Congress on Intelligent Control and Automation, Shenyang, China, 29 June–4 July 2014. [Google Scholar]
- Yang, W.B.; Li, S.Y.; Li, N. Station-Keeping Control Method for High Orbit Spacecraft Based on Autonomous Control Architecture. In Proceedings of the 32nd Chinese Control Conference, Xi’an, China, 26–28 July 2013. [Google Scholar]
- Vinod, K.; Hari, B.H. Autonomous Formation Keeping of Geostationary Satellites with Regional Navigation Satellites and Dynamics. J. Guid. Control Dyn. 2017, 40, 53–57. [Google Scholar]
- Chang, J.S.; Li, Q.J.; Yuan, Y. East-west position keeping strategy of continuous equally spaced pulse thrust for geostationary satellites. Space Control. Technol. Appl. 2013, 39, 24–32. [Google Scholar]
- Weiss, A.; Cairano, D. Station Keeping and Momentum Management of Low-thrust Satellites Using MPC. Aerosp. Sci. Technol. 2019, 76, 229–241. [Google Scholar] [CrossRef]
- Frederik, J.; Bruijn, D. Geostationary Satellite Station-Keeping Using Convex Optimization. J. Guid. Control Dyn. 2015, 39, 605–616. [Google Scholar] [CrossRef] [Green Version]
- Gazzino, C.; Arzelier, D.; Cerri, L.; Losa, D.; Louembet, C.; Pittet, C. A Three-step Decomposition Method for Solving the Minimum-fuel Geostationary SK of Satellites Equipped with EP. Acta Astronaut. 2019, 158, 12–22. [Google Scholar] [CrossRef] [Green Version]
- Gazzino, C.; Arzelier, D.; Losa, D.; Louembet, C.; Pittet, C.; Cerri, L. Optimal Control for Minimum-fuel Geostationary SK of Satellites Equipped with EP. IFAC Pap. Online 2016, 49, 379–384. [Google Scholar] [CrossRef]
- Gazzino, C.; Louembet, C.; Arzelier, D.; Jozefowiez, N.; Losa, D.; Pittet, C.; Cerri, L. Interger Programming for Optimal Control of Geostationary SK of Low-thrust Satellites. IFAC-Pap. OnLine 2017, 50, 8169–8174. [Google Scholar] [CrossRef]
- Gazzino, C.; Arzelier, D.; Louembet, C.; Cerri, L.; Pittet, C.; Losa, D. Long-Term Electric-Propulsion Geostationary Station-Keeping via Integer Programming. J. Guid. Control Dyn. 2019, 42, 976–991. [Google Scholar] [CrossRef]
- Sukhanov, A.A.; Prado, A.F. On one Approach to the Optimization of Low-thrust SK Manoeuvres. Adv. Space Res. 2012, 50, 1478–1488. [Google Scholar] [CrossRef]
- Roth, M. Strategies for Geostationary Spacecraft Orbit SK Using Electrical Propulsion Only. Ph.D. Thesis, Czech Technical University, Prague, Czech Republic, 2020. [Google Scholar]
- Ogawa, N.; Terui, F.; Mimasu, Y.; Yoshikawa, K.; Ono, G.; Yasuda, S.; Matsushima, K.; Masuda, T.; Hihara, H.; Sano, J.; et al. Image-based autonomous navigation of Hayabusa2 using artificial landmarks: The design and brief in-flight results of the first landing on asteroid Ryugu. Astrodynamics 2020, 4, 89–103. [Google Scholar] [CrossRef]
- Wang, Y.; Xu, S. Non-equatorial equilibrium points around an asteroid with gravitational orbit-attitude coupling perturbation. Astrodynamics 2020, 4, 1–16. [Google Scholar] [CrossRef]
- Zhang, T.-J.; Wolz, D.; Shen, H.-X.; Luo, Y.-Z. Spanning tree trajectory optimization in the galaxy space. Astrodynamics 2021, 5, 27–37. [Google Scholar] [CrossRef]
- Kuai, Z. Research on GEO Satellite Orbit Maintenance and Orbit Transfer Strategy under Pulse and EP. Ph.D. Thesis, University of Science and Technology of China, Hefei, China, 2017. [Google Scholar]



















| Working Condition | ||
|---|---|---|
| Normal | ||
| One | ||
| Two | ||
| Three | ||
| Four |
| Example | Perturbation Term | Working Condition |
|---|---|---|
| Example one | Nutation | Five → two →normal |
| Example two | Nutation | Five →three →normal |
| Example three | Nutation | Four →one →normal |
| Example four | Semi-annual | Four →one →normal |
| Example five | Semi-monthly | Four →one →normal |
| Example | One | Two | Three | Four | Five |
|---|---|---|---|---|---|
| Perturbation term | Nutation | Nutation | Nutation | Semi-annual | Semi-monthly |
| Ascending node right ascension (°) | 359.989 | 269.989 | 59.989 | 59.989 | 59.989 |
| Initial orbital inclination vector (y-direction) (°) | 0.000 | −0.080 | 0.069 | 0.069 | 0.069 |
| Initial orbital inclination vector (x-direction) (°) | 0.080 | 0.000 | 0.040 | 0.040 | 0.040 |
| (°) | 5703 | 5703 | 5703 | 7688 | 24,970 |
| (°) | 3426 | 3426 | 3426 | 3207 | 3207 |
| (°) | 11.70 | 11.70 | 11.68 | 22.01 | 55.00 |
| Velocity increment in one year (m/s) | 44.04 | 41.48 | 46.89 | 47.82 | 54.93 |
| Keeping accuracy of inclination (°) | 0.03 | 0.03 | 0.03 | 0.005 | 0.008 |
Publisher’s Note: MDPI stays neutral with regard to jurisdictional claims in published maps and institutional affiliations. |
© 2022 by the authors. Licensee MDPI, Basel, Switzerland. This article is an open access article distributed under the terms and conditions of the Creative Commons Attribution (CC BY) license (https://creativecommons.org/licenses/by/4.0/).
Share and Cite
Ye, L.; Liu, C.; Zhu, W.; Yin, H.; Liu, F.; Baoyin, H. North/South Station Keeping of the GEO Satellites in Asymmetric Configuration by Electric Propulsion with Manipulator. Mathematics 2022, 10, 2340. https://doi.org/10.3390/math10132340
Ye L, Liu C, Zhu W, Yin H, Liu F, Baoyin H. North/South Station Keeping of the GEO Satellites in Asymmetric Configuration by Electric Propulsion with Manipulator. Mathematics. 2022; 10(13):2340. https://doi.org/10.3390/math10132340
Chicago/Turabian StyleYe, Lijun, Chunyang Liu, Wenshan Zhu, Haining Yin, Fucheng Liu, and Hexi Baoyin. 2022. "North/South Station Keeping of the GEO Satellites in Asymmetric Configuration by Electric Propulsion with Manipulator" Mathematics 10, no. 13: 2340. https://doi.org/10.3390/math10132340
APA StyleYe, L., Liu, C., Zhu, W., Yin, H., Liu, F., & Baoyin, H. (2022). North/South Station Keeping of the GEO Satellites in Asymmetric Configuration by Electric Propulsion with Manipulator. Mathematics, 10(13), 2340. https://doi.org/10.3390/math10132340

