Investigations on the Control of COVID-19 and Suggestions for Re-Open Based on Model Study
Abstract
:1. Introduction
2. Data-Based Analysis
3. Model-Based Analysis
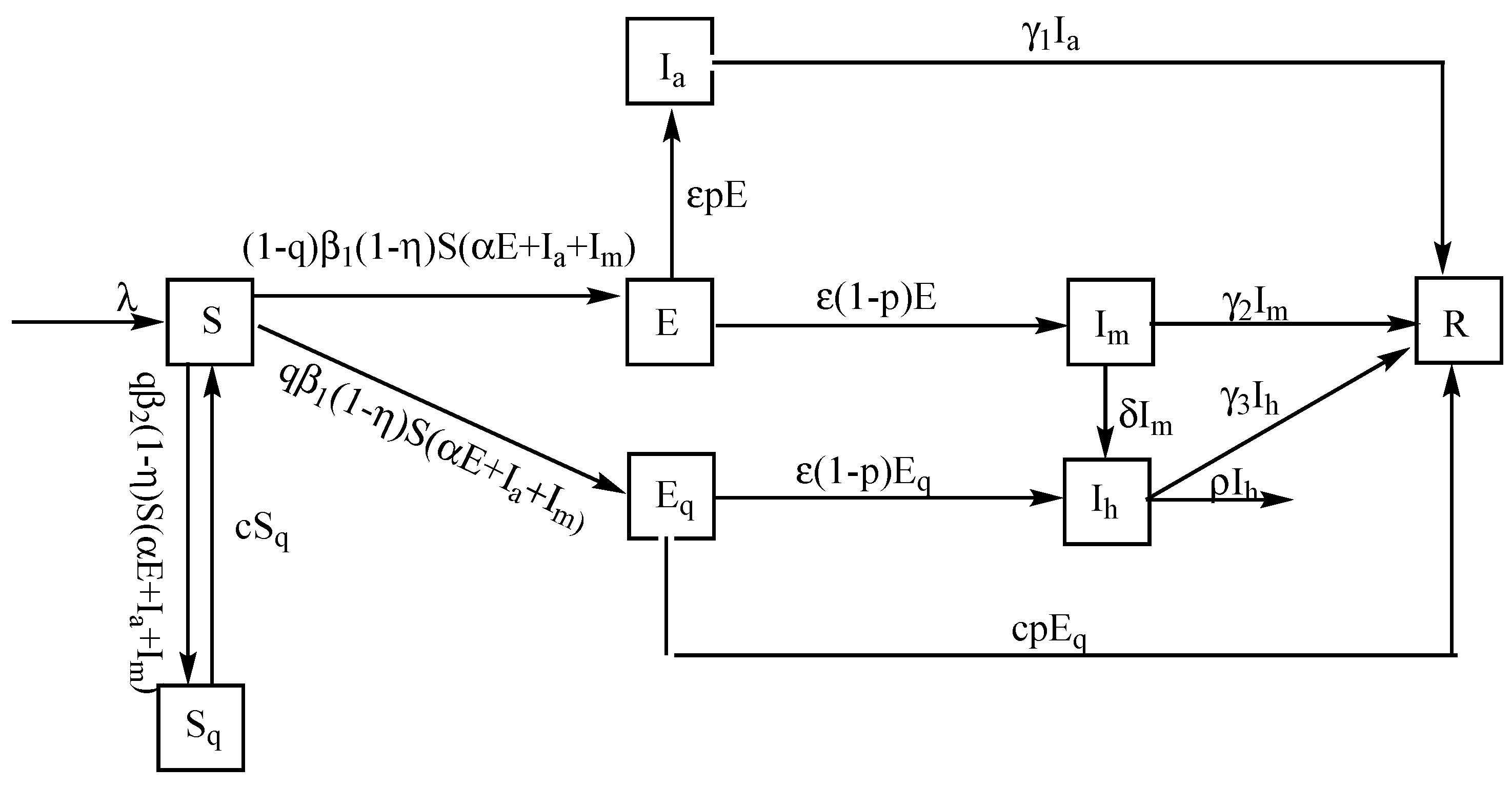
3.1. Modelling
3.2. Discussion of and
3.3. Sensitivity Analysis and Investigations for Control Strategies
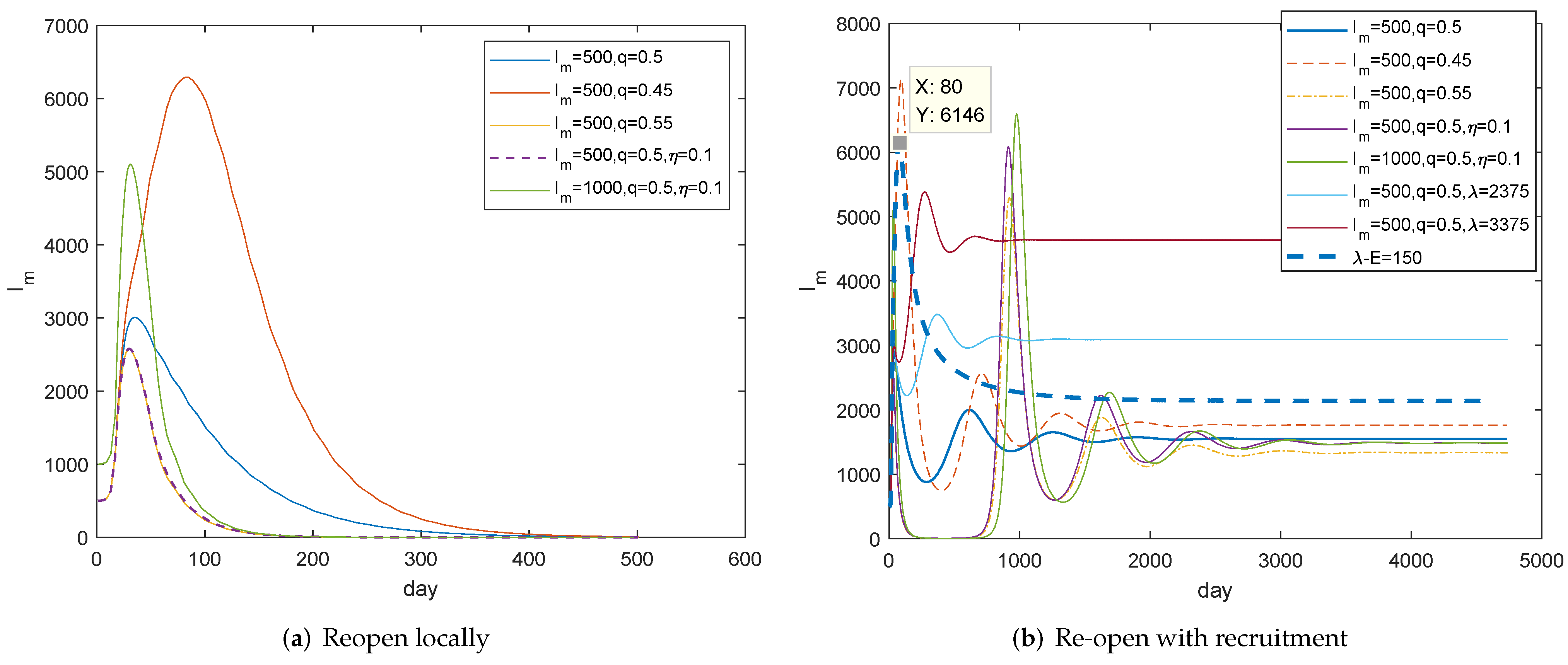
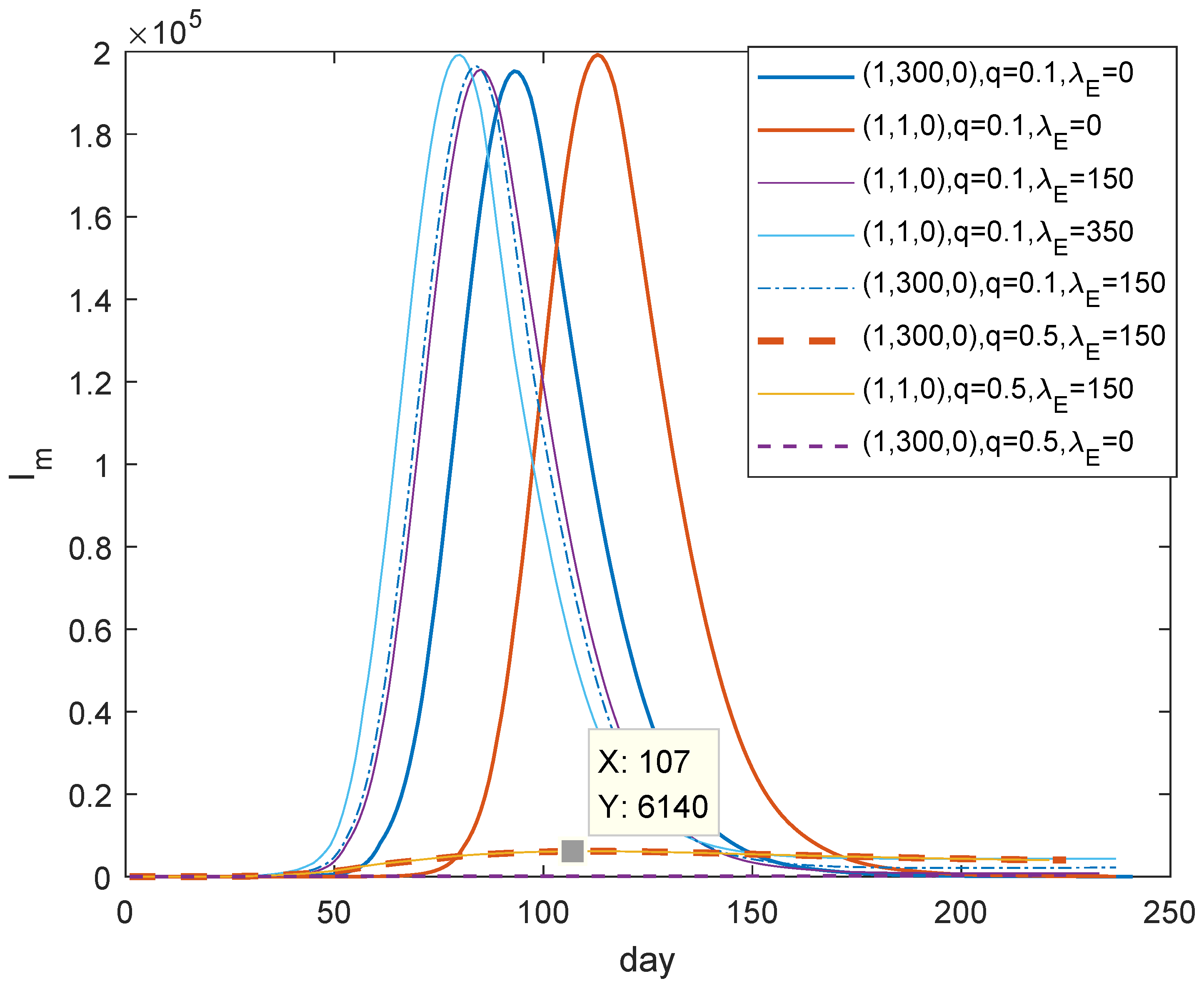
3.4. Re-Open
4. Conclusions
Author Contributions
Funding
Institutional Review Board Statement
Informed Consent Statement
Data Availability Statement
Acknowledgments
Conflicts of Interest
Appendix A
Appendix A.1
| Date | January 23 | 24 | 25 | 26 | 27 | February 5 | 6 | 7 | 8 | 9 | 10 | 11 | 12 |
|---|---|---|---|---|---|---|---|---|---|---|---|---|---|
| Reported sum | 495 | 572 | 618 | 698 | 1590 | 10,117 | 11,618 | 13,603 | 14,982 | 16,902 | 18,454 | 19,558 | 32,994 |
| Revised sum | 580 | 782 | 1023 | 1294 | 1590 | 11,117 | 14,218 | 17,303 | 20,282 | 23,232 | 26,354 | 29,568 | 33,218 |
| Revised New | 155 | 202 | 241 | 271 | 296 | 2766 | 3101 | 3085 | 2979 | 2950 | 3122 | 3214 | 3650 |
| Reported New | 70 | 77 | 46 | 80 | 892 | 1766 | 1501 | 1985 | 1379 | 1921 | 1552 | 1104 | 13,436 |
Appendix A.2
References
- World Health Organization (WHO). Home. Diseases. COVID-19. Available online: https://www.who.int/emergencies/diseases/novel-coronavirus-2019 (accessed on 23 November 2021).
- Wuhan Municipal Health Commission. Home. Columns and Topics/Thematic section. Prevention and Control of New Coronavirus Pneumonia. Outbreak Notification. Available online: http://wjw.wuhan.gov.cn/front/web/list3rd/yes/802 (accessed on 23 March 2020).
- Wuhan Municipal Health Commission. Home. Prevention and Control of New Coronavirus Pneumonia. Outbreak Notification. Available online: http://www.nhc.gov.cn/xcs/yqtb/list_gzbd.shtml (accessed on 10 September 2021).
- UN News. Available online: https://news.un.org/zh/story/2020/05/1056402 (accessed on 23 July 2020).
- Beijing Municipal Health Commission. Information of Prevention and Control for COVID-19 in Beijing. Available online: http://wjw.beijing.gov.cn/wjwh/ztzl/xxgzbd/ (accessed on 15 July 2020).
- Ceraolo, C.; Giorgi, F.M. Genomic variance of the 2019-nCoV coronavirus. J. Med Virol. 2020, 92, 522–528. [Google Scholar] [CrossRef] [PubMed] [Green Version]
- Cao, Y.; Li, L.; Feng, Z.; Wan, S.; Huang, P.; Sun, X.; Wen, F.; Huang, X.; Ning, G.; Wang, W. Comparative genetic analysis of the novel coronavirus (2019-nCoV/SARS-CoV-2) receptor ACE2 in different populations. Cell Discov. 2020, 6, 11. [Google Scholar] [CrossRef] [PubMed] [Green Version]
- Zheng, M.; Gao, Y.; Wang, G.; Song, G.; Liu, S.; Sun, D.; Tian, Z. Functional exhaustion of antiviral lymphocytes in COVID-19 patients. Cell. Mol. Immunol. 2020, 17, 533–535. [Google Scholar] [CrossRef] [PubMed] [Green Version]
- Zhou, F.; Yu, T.; Du, R.; Fan, G.; Liu, Y.; Liu, Z.; Xiang, J.; Wang, Y.; Song, B.; Cao, B.; et al. Clinical course and risk factors for mortality of adult inpatients with COVID-19 in Wuhan, China: A retrospective cohort study. Lancet 2020, 395, 1054–1062. [Google Scholar] [CrossRef]
- De Luca, G.; Cavalli, G.; Campochiaro, C.; Della-Torre, E.; Angelillo, P.; Tomelleri, A.; Dagna, L. GM-CSF blockade with mavrilimumab in severe COVID-19 pneumonia and systemic hyperinflammation: A single-centre, prospective cohort study. Lancet 2020, in press. [Google Scholar] [CrossRef]
- Pollán, M.; Pérez-Gómez, B.; Pastor-Barriuso, R.; Oteo, J.; Hernán, M.A.; Pérez-Olmeda, M.; de la Villa, A.V. Prevalence of SARS-CoV-2 in Spain (ENE-COVID): A nationwide, population-based seroepidemiological study. Lancet 2020, in press. [Google Scholar] [CrossRef]
- Lavezzo, E.; Franchin, E.; Ciavarella, C.; Cuomo-Dannenburg, G.; Barzon, L.; Del Vecchio, C.; Rossi, L.; Manganelli, R.; Loregian, A.; Navarin, N.; et al. Suppression of a SARS-CoV-2 outbreak in the Italian municipality of Vo’. Nature 2020, 584, 425–429. [Google Scholar] [CrossRef] [PubMed]
- Kucharski, A.J.; Klepac, P.; Conlan, A.J.; Kissler, S.M.; Tang, M.L.; Fry, H.; Gog, J.R.; Edmunds, J. Effectiveness of isolation, testing, contact tracing, and physical distancing on reducing transmission of SARS-CoV-2 in different settings: A mathematical modelling study. Lancet Infect. Dis. 2020, 20, 1151–1160. [Google Scholar] [CrossRef]
- Davies, N.G.; Kucharski, A.J.; Eggo, R.M.; Gimma, A.; Edmunds, W.J.; Jombart, T.; Liu, Y. Effects of non-pharmaceutical interventions on COVID-19 cases, deaths, and demand for hospital services in the UK: A modelling study. Lancet Public Health 2020, 5, e375–e385. [Google Scholar] [CrossRef]
- Li, R.; Pei, S.; Chen, B.; Song, Y.; Zhang, T.; Yang, W.; Shaman, J. Substantial undocumented infection facilitates the rapid dissemination of novel coronavirus (SARS-CoV-2). Science 2020, 368, 489–493. [Google Scholar] [CrossRef] [PubMed] [Green Version]
- Aboelkassem, Y. COVID-19 pandemic: A Hill type mathematical model predicts the US death number and the reopening date. medRxiv 2020. [Google Scholar] [CrossRef]
- Wuhan Municipal Health Commission. Home. Columns and Topics. Thematic Section. Prevention and Control of New Coronavirus Pneumonia/Notice. Available online: http://wjw.wuhan.gov.cn/front/web/showDetail/2020021309543 (accessed on 25 April 2020).
- Wuhan Municipal Health Commission. Home. Columns and Topics. Thematic Section. Prevention and Control of New Coronavirus Pneumonia/Notice. Available online: http://wjw.wuhan.gov.cn/ztzl_28/fk/yqtb (accessed on 25 April 2020).
- Xiaogan: Nucleic acid Detection of All Left-Observing and Close Contacts. Available online: http://hb.sina.cn/news/2020-02-23/detail-iimxyqvz5082800.d.html (accessed on 23 May 2020).
- BBC News. Chinese, Pneumonia Outbreak. Does Asymptomatic Infection Cause a Second Major Outbreak? Available online: https://www.bbc.com/zhongwen/simp/chinese-news-52016649 (accessed on 29 March 2020).
- World Health Organization (WHO). Available online: https://www.who.int/dg/speeches/detail/who-director-general-s-opening-remarks-at-the-media-briefing-on-covid-19—20-march-2020 (accessed on 22 March 2020).
- Chinese Disease Control Expert: New Coronary Pneumonia Patients have been Contagious Two Days before Onset. Available online: https://m.chinanews.com/wap/detail/zw/gn/2020/02-22/9100652.shtml (accessed on 22 February 2020).
- van den Driessche, P.; Watmough, J. Reproduction numbers and sub-threshold endemic equilibria for compartmental models of disease transmission. Math. Biosci. 2002, 180, 29–48. [Google Scholar] [CrossRef]
- Biological Exploration-Observation. How Contagious Are Asymptomatic People? The Latest Judgment of Academician Zhong Nanshan. Available online: http://m.biodiscover.com/news/celebrity/736251.html (accessed on 8 April 2020).
- Diekmann, O.; Heesterbeek, J.A.P.; Metz, J.A. On the definition and the computation of the basic reproduction ratio R0 in models for infectious diseases in heterogeneous populations. J. Math. Biol. 1990, 28, 365–382. [Google Scholar] [CrossRef] [PubMed] [Green Version]
- Tang, B.; Wang, X.; Li, Q.; Bragazzi, N.L.; Tang, S.; Xiao, Y.; Wu, J. Estimation of the Transmission Risk of the 2019-nCoV and Its Implication for Public Health Interventions. J. Clin. Med. 2020, 9, 462. [Google Scholar] [CrossRef] [Green Version]
- www.news.cn.Text. Where Do the Hundreds of Newly Diagnosed Cases in Wuhan Come From? Available online: http://www.xinhuanet.com/2020-03/01/c_1125648220.htm (accessed on 15 April 2020).
- National Bureau of Statistics of China. Available online: http://www.stats.gov.cn/tjsj/zxfb/202001/t20200119_1723767.html (accessed on 6 June 2020).
- Sina. SinaNews. Demostic. The Main Battlefield of the Epidemic: 48 Days of Designated Hospitals in Wuhan. Available online: https://news.sina.cn/gn/2020-03-09/detail-iimxxstf7625588.d.html?pos=108vt=4 (accessed on 15 April 2020).
- www.news.cn:Politics/Text, The Average Hospitalized Patients in China Was more than 9 Days, and the Average in Hubei Province Was 20 Days. Available online: http://www.xinhuanet.com/politics/2020-02/04/c_1125530818.htm (accessed on 29 March 2020).
- Expert Group on Prevention and Control of New Coronavirus Pneumonia of Chinese Preventive Medicine Association; Chinese Preventive Medicine Association. New understanding of epidemiological characteristics of new coronavirus pneumonia. Chin. J. Epidemiol. 2020, 41, 139–144. [Google Scholar]
- Wuhan Municipal Health Commission. Home. Columns and Topics. Thematic Section. Prevention and Control of New Coronavirus Pneumonia. Outbreak Notification. Available online: http://wjw.wuhan.gov.cn/front/web/showDetail/2020020909483 (accessed on 29 March 2020).
- TJJ.WUHAN.GOV.CN. Home. Statistical Services. Statistical Products. Statistical Bulletins. Available online: http://tjj.wuhan.gov.cn/details.aspx?id=4368 (accessed on 26 March 2020).
- Wuhan Municipal Health Commission. Home. Columns and Topics. Thematic Section. Prevention and Control of New Coronavirus Pneumonia. Prevention and Control Dynamics. Available online: http://wjw.wuhan.gov.cn/front/web/showDetail/2020020509410 (accessed on 23 March 2020).
- Wuhan Municipal Health Commission. Home. Columns and Topics. Thematic Section. Prevention and Control of New Coronavirus Pneumonia. Prevention and Control Dynamics. Available online: http://wjw.wuhan.gov.cn/front/web/showDetail/2020031110051 (accessed on 15 April 2020).
- Wuhan Municipal Health Commission. Home. Columns and Topics. Thematic Section. Prevention and Control of New Coronavirus Pneumonia. Notice. Available online: http://wjw.wuhan.gov.cn/ztzl_28/fk/tzgg/202004/t20200430_1197153.shtml (accessed on 26 March 2020).
- Wuhan Municipal Health Commission. Home. Columns and Topics. Thematic section. Prevention and Control of New Coronavirus Pneumonia. Notice. Available online: http://wjw.wuhan.gov.cn/ztzl_28/fk/tzgg/202004/t20200430_1197130.shtml (accessed on 26 March 2020).











| Symbol | Description | Symbols | Description |
|---|---|---|---|
| The susceptible | Coefficient of the contact infection rate | ||
| Not tracked latency | Coefficient of the contact but not infected rate | ||
| The asymptomatic | c | Release rate of quarantined close contacts | |
| Not admitted patients | Decline rate of incidence | ||
| Hospitalized patients | Conversion rate of latency | ||
| Quarantined infected contacts | p | Proportion of the asymptomatic | |
| Quarantined uninfected contacts | Admission rate of visiting patients | ||
| The recovered | Self-healing rate of the asymptomatic | ||
| Proportion of the infectious latency | Self-healing rate of mildly infected individuals | ||
| The recruitment rate | Curative rate of patients in hospitals | ||
| q | The effective tracking rate | Death rate of patients | |
| m | Disease incubation period | d | Natural death rate |
| Parameter | Description | Value | Source |
|---|---|---|---|
| Coefficient of the contact infection rate | Calculated | ||
| Coefficient of the contact but not infected rate | Calculated | ||
| c | Release rate of quarantined close contacts | 1/14 | [24] |
| Conversion rate of latency | 1/7 | Definition | |
| p | Proportion of the asymptomatic | 0.5 | [20] |
| Admission rate of visiting patients | 0.05 | [29] | |
| Self-healing rate of the asymptomatic | 1/7 | [24] | |
| Proportion of the infectious latency | 2/7 | [22] | |
| Self-healing rate of mildly infected individuals | 1/9 | [30] | |
| The recruitment rate | 375 | [33] | |
| Curative rate of patients in hospitals | 1/20 | [30] | |
| q | The effective tracking rate | 0.22 | Calculated |
| d | Natural death rate | 0.0000338 | Calculated |
| Death rate of patients | 0.00289 | [9,32] |
| Conditions | Results | Reference | in Equation (3) |
|---|---|---|---|
| vaccination+no awareness protection | out of control | Figure 7b | 1.267 |
| vaccination + no tracking | out of control | Figure 7b | 1.585 |
| vaccination + awareness protection + certain tracking (q = 20%) | under control | Figure 7b | 0.887 |
| awareness protection + full admission + certain tracking (q = 20%) | under control | Figure 8a | 0.98 |
| awareness protection + more admission + increasing tracking | under control | Figure 8a | <1 |
| awareness protection + full admission + no tracking | out of control | Figure 8a | 1.4 |
Publisher’s Note: MDPI stays neutral with regard to jurisdictional claims in published maps and institutional affiliations. |
© 2021 by the authors. Licensee MDPI, Basel, Switzerland. This article is an open access article distributed under the terms and conditions of the Creative Commons Attribution (CC BY) license (https://creativecommons.org/licenses/by/4.0/).
Share and Cite
Chen, Y.; Shen, J.; Li, S.; Wen, Y. Investigations on the Control of COVID-19 and Suggestions for Re-Open Based on Model Study. Mathematics 2022, 10, 22. https://doi.org/10.3390/math10010022
Chen Y, Shen J, Li S, Wen Y. Investigations on the Control of COVID-19 and Suggestions for Re-Open Based on Model Study. Mathematics. 2022; 10(1):22. https://doi.org/10.3390/math10010022
Chicago/Turabian StyleChen, Yongxue, Jiayu Shen, Shijing Li, and Yongxian Wen. 2022. "Investigations on the Control of COVID-19 and Suggestions for Re-Open Based on Model Study" Mathematics 10, no. 1: 22. https://doi.org/10.3390/math10010022
APA StyleChen, Y., Shen, J., Li, S., & Wen, Y. (2022). Investigations on the Control of COVID-19 and Suggestions for Re-Open Based on Model Study. Mathematics, 10(1), 22. https://doi.org/10.3390/math10010022

