Next Article in Journal
Diversification and the Resource Curse: An Econometric Analysis of GCC Countries
Previous Article in Journal
Demystification of Readiness, Security, and Technological Enhancements in the Adoption of a Cashless Economy
Previous Article in Special Issue
Earmarking Taxation and Compliance: Some Evidence from Car Ownership in Italy
 
 
Font Type:
Arial Georgia Verdana
Font Size:
Aa Aa Aa
Line Spacing:
Column Width:
Background:
Article

Tax Evasion and Company Survival: A Brazilian Case Study

by
Jorge Luis Tonetto
1,*,
Josep Miquel Pique
1,
Adelar Fochezatto
2 and
Carina Rapetti
1
1
La Salle, Universitat Ramon Llull, 08022 Barcelona, Spain
2
Business School, Pontifícia Universidade Católica do Rio Grande do Sul, Porto Alegre 90610-970, Brazil
*
Author to whom correspondence should be addressed.
Economies 2024, 12(11), 286; https://doi.org/10.3390/economies12110286
Submission received: 17 September 2024 / Revised: 17 October 2024 / Accepted: 23 October 2024 / Published: 25 October 2024
(This article belongs to the Special Issue Shadow Economy and Tax Evasion)

Abstract

Enterprises face significant growth and survival challenges in highly competitive markets. Many companies fail to meet their tax obligations, which deprives society of essential resources and often results in tax penalties. This article examines whether companies that receive tax fines for evasion have a longer or shorter life expectancy compared to those that consistently comply with tax regulations. To analyze survival rates, the Kaplan–Meier estimator and Cox regression model were applied, considering factors such company size, sector, location, and tax evasion fines. The study included data from 11,297 firms established in 2017, in Rio Grande do Sul, Brazil. The findings indicate that companies fined for tax evasion had a higher survival rate (69%) compared to those without fines (38%) by 2023. This suggests that fines might serve as a corrective measure, helping companies realign and improve their chances of survival. Additionally, the study shows that medium-sized enterprises face significant challenges, possibly due to exceeding the limits of a simplified tax regime. This study highlights the importance of continued research across different regions and countries to validate these findings and enhance tax administration strategies.

1. Introduction

Entrepreneurs typically launch their companies with the expectation of achieving growth and profitability. They are driven by various factors, including demonstrating their abilities and validating their ideas. However, when these expectations are not met, and daily challenges persist alongside ongoing losses, closing the business becomes a likely outcome, particularly during times of crisis. It is expected that fines for tax evasion serve as a warning to correct course. Tax evasion fines are intended to serve as a corrective measure, promoting fair competition in the market and ensuring that revenue is collected for its intended societal purpose. Tax evasion remains a significant issue in both developing and developed countries (Buehn and Schneider 2016; Cebula and Feige 2012; Gamannossi degl’Innocenti and Rablen 2020; Slemrod 2007; Costa et al. 2022).
Hanousek and Palda (2009) identified a positive correlation between production efficiency and fiscal honesty, suggesting that the presence of an underground economy and high tax rates could lead to inefficient producers crowding out efficient ones, despite companies feeling threatened by tax-evading competitors. Porter (2012) argues that not all economic sectors are equally attractive in terms of profitability and the factors that influence it, which is a critical consideration for survival analysis. Sectors with small margins require a high level of efficiency. According to Mazzucato and Kattel (2020), the COVID-19 pandemic has posed unprecedented challenges for governments, from providing support to citizens to assisting struggling businesses.
Studying tax evasion and corporate survival enables us to understand the impacts of government action on the life cycle of companies, thus evaluating the effectiveness of regulation. It allows for the development of public policies that drive business and economic development, greater compliance, and also greater revenue for the state.
This article examines the survival rates of companies registered with the Finance Secretariat of the State of Rio Grande do Sul (RS). The objective is to measure the survival of companies established in 2017, tracking their performance from 2017 to 2023. The data obtained are officially from the State Revenue Agency, which provides official information that enables the monitoring of these companies throughout the study period. The analysis focuses on differences in survival based on size, sector, region, and fines, with particular attention to whether companies fined by tax authorities have different survival rates compared to those not fined. To achieve this, the Kaplan–Meier technique, the Cox procedure, and Propensity Score Matching were employed. In addition to this introduction, this article is structured as follows: Section 2 outlines the evolution of the tax administration. Section 3 presents a review of the literature on tax evasion and empirical studies of survival analysis. Section 4 details the methodological procedures used in the study. Section 5 presents and analyzes the results. Finally, the concluding section summarizes the study’s findings.

2. The Evolution of Rio Grande Do Sul Tax Administration

The tax administration of Rio Grande do Sul (RS) has a longstanding and effective tradition of adopting digital solutions to ensure tax compliance. Over time, the RS tax administration has shifted towards a more citizen-centric model, reserving punitive action as a last resort. In a study on the factors influencing tax compliance, Alm (2019) suggests that a combination of approaches—including enforcement, a service-oriented paradigm, and a trust-based paradigm—are all critical to motivating compliance and should be further enhanced. Aberbach and Christensen (2007) observe that, despite the seeming contradiction between the traditional control-based tax systems and newer, customer-friendly approaches, many tax agencies have become increasingly oriented toward customer service in recent decades. Bird (2010) highlights that there is no one-size-fits-all formula that guarantees superior tax administration.
Countries exhibit a wide range of levels of tax compliance, which reflects the effectiveness of their tax administrations, the attitudes of taxpayers, and their government legitimacy. For Bird (2010), the ideal strategy would include rewards for those who comply and penalties for those who do not. According to Yu et al. (2017) and Kumar et al. (2023), the digital divide is one of the most critical issues to the adoption of new technologies.
Therefore, offering simplified and accessible obligations, along with guidance and reminders through various platforms, is essential to increase levels of voluntary compliance. In other words, maintaining close contact with taxpayers is essential.
The foundation of the tax compliance pyramid is composed of taxpayers who want to meet their obligations but require maximum assistance. This group requires maximum assistance, which should be provided through a variety of services and channels (CIAT 2020). In the light of these trends and the supporting literature, the RS tax administration has adopted a new model, illustrated in Figure 1.
Companies face significant growth and survival challenges in highly competitive markets. Due to various factors, they often fail to meet their tax obligations, depriving society of essential resources, which eventually leads to tax penalties. In response, tax administrations have adopted more taxpayer-friendly approaches. In recent years, several initiatives have been implemented by the RS tax administration. One key transformation was the creation of Shared Services Centers (CSCs), which focus on billing, inspection, and citizen relations.
It is also important to highlight four programs: Develop RS, Cooperative Compliance, tax education, and asset recovery (CIRA). Develop RS interacts with various economic sectors to assess the context, proactively, based on economic–fiscal indicators. It aims to enhance public policies and strategies that boost the state economy and tax collection. The Cooperative Compliance program uses a tax intelligence system that ensures legal certainty for taxpayers through agreed parameters with economic sectors, reducing tax risks and disputes.
The tax education program has registered 3.5 million citizens and incentivizes them to request electronic invoices using their tax number, granting access to prizes and partial tax refunds. This program encompasses a range of initiatives, notably the launch of the Menor Preço Brasil in late 2019. This digital tool became crucial during the COVID-19 pandemic, allowing citizens to find nearby products at lower prices, reducing the need for in-person visits, and thereby lowering the risk of contagion (Tonetto et al. 2023b). Two additional programs were implemented at the end of 2021. Devolve-ICMS seeks to return part or all of the consumption tax to lower-income individuals, aiming to eliminate or mitigate the regressive nature of consumption tax (Tonetto et al. 2023a). Receita Certa—a cashback program, is conditioned on revenue growth in commerce activity (Tonetto et al. 2024a). These initiatives not only help curb tax evasion but also enhance state revenue, allowing for improved public services.
To further strengthen enforcement, the CIRA, which consisted of an Interinstitutional Asset Recovery Committee, was established. This committee integrates the tax administration with the State Attorney General’s Office and the Public Ministry. It aims to develop joint activities to combat tax fraud and unfair competition, with a focus on asset recovery and holding offenders administratively, civilly, and criminally liable.

3. The Tax Evasion Literature

According to Abdixhiku et al. (2017), tax evasion is driven by both firm-level and institutional-level variables. Firms with low trust in government and higher compliance costs are more prone to tax evasion. Their study found that firms less visible to tax authorities are more likely to engage in such behavior. Similarly, Ahmadi et al. (2014) studied the effect of tax strategy on tax evasion in the province of Zanjan, Iran. The study designed a questionnaire to study the effects of the following variables: the promotion of tax culture, the lack of belief in tax payment consequences, the filing of false tax statements, tax exemptions, and the general culture of the community. The results revealed a positive and meaningful relationship between tax evasion and the variables. Baumann and Friehe (2010) demonstrate that a firm’s level of activity is determined by its investment, which is affected by tax evasion considerations, thus creating an indirect relationship between firm size and evasion. Given this, the act of deterring tax evasion has other effects in addition to its direct effect on tax revenues. The authors emphasize that stricter tax enforcement may have the undesirable consequence of reducing firm investment.
Alm (2012) argued that beyond standard enforcement policies, tax administration should incorporate strategies from both the service and trust paradigm to capture the complexity of taxpayer behavior. Studies suggest compliance does not increase linearly, and merely increases the probability of detection. Clotfelter (1983) suggested that tax rates should be considered along with enforcement, tax simplicity, and information communication as valid instruments that can influence tax evasion. According to Cuff and Palda (2003), a reduction in the tax base is an obvious social cost of tax evasion, but the cost of the potential replacement in the market of efficient firms by less efficient firms that are better able to evade taxes is less clear. The question remains whether this behavior stems from current tax policies or firm characteristics; it is likely a combination of both.
Dufwenberg and Nordblom (2022) explored how moral concerns influence tax compliance, finding that inspectors’ moral concerns often surpass those of the taxpayers. Cebula and Feige (2012) found significant non-compliance with the tax code and the federal income tax evasion in the U.S. The authors discovered that between 18% and 23% of total reportable income may not have been adequately reported to the IRS. Meanwhile, Buehn and Schneider (2016) concluded that tax evasion is decreasing on average, but also individually in 38 OECD countries, between 1999 and 2010. The average size of tax evasion in 1999 was 3.6% of GDP and this value decreases less steadily to 2.5% or 2.8% of official GDP in the years 2009 and 2010.
An article by Gamannossi degl’Innocenti and Rablen (2020) provided a theoretical advancement by demonstrating a link between network centrality in a social network and tax evasion. In a context in which tax authorities are investing in technology that seeks to build social networks, it shows that information from the network can allow a better prediction of revenue benefits in the case of carrying out an audit on a specific taxpayer. For a tax authority that is unfamiliar with the use of the social network, the study reveals strong initial revenue gains from acquiring relatively small amounts of information from the network.
Dabla-Norris et al. (2019) emphasized that tax evasion negatively impacts a country’s revenue and development, which often distorts competition. Their study portraying the self-reported share of declared income as a proxy for tax evasion suggests that productivity improvements could reduce tax evasion. According to Dabla-Norris et al. (2020), tax compliance costs tend to be disproportionately higher for small and young businesses. The authors examined how tax administration quality affects firm performance, showing that a better tax administration helps level the playing field between small and large firms. They build a tax administration quality index based on information from the tax administration diagnostic assessment tool, where the results show that better tax administration mitigates the productivity disparity of small and young companies in relation to larger and older companies.
Elffers et al. (1987) conducted a survey on tax evasion behavior in the Netherlands and found no significant correlation between scores and self-reports of tax evasion behavior. The results were rather disappointing as the self-reports were obtained under conditions that should have maximized their veracity. An additional analysis indicated that attitudes, norms, and personality variables are correlated with admitted tax evasion and actual behavior patterns. Almunia and Lopez-Rodriguez (2018) analyze the behavior of large companies in Spain with revenues greater than EUR 6 million. The results indicate that companies strategically remain below this threshold to avoid stricter tax inspections. They suggest there could be substantial gains from extending tighter tax monitoring to smaller companies. Bérgolo et al. (2017), seeking to understand how companies react to audits, conducted a large-scale experiment with Uruguay’s tax authority, where 20,440 letters were sent to small and medium-sized companies. The authors found that providing information about audits has significant effects on tax compliance. They indicate that this is due to an alternative risk model based on sentiment, where messages about audits generate fear and reduce the probability of neglect. A study by Harju et al. (2024) on tax audits and tax returns in Finland points to an immediate and persistent increase in profits reported by audited companies compared to non-audited companies. The authors also found that labor costs also increased, suggesting a general underreporting of operations. They also highlight the increased likelihood of bankruptcy of non-compliant companies after audits.
Kaplanoglou and Rapanos (2015) explore the determinants of voluntary and mandatory tax compliance among Greeks, which varied based on the level of trust individuals place in the government and the authority of tax institutions. The study shows that trust enhances voluntary compliance while power results in forced compliance. Interestingly, in conditions of high trust, the power of tax authorities does not increase voluntary compliance and can even reduce it when trust is low. In these cases, power might be seen as illegitimate, especially in the post-crisis period, which eroded trust in institutions and undermined the trust paradigm as a whole. This highlights the delicate balance between trust and authority in shaping tax behavior, suggesting that tax administrations must focus on building trust to enhance voluntary compliance, especially after periods of crisis.
Kahneman and Tversky (1979), in their critique of the utility theory, introduced the prospect theory, which explains how individuals make decisions under risk and uncertainty, where people undervalue probable outcomes in favor of certain ones. This leads to risk aversion in situations involving potential gains and risk-seeking behavior when facing certain losses. Costa et al. (2022) analyzed how decision-making can influence the effectiveness of behavioral interventions to increase tax compliance. They concluded that applying behavioral economics can effectively improve tax compliance.
According to Fehr et al. (2015), awareness or knowledge of how one’s behavior affects others can significantly influence decision-making. However, evidence suggests that people often have little or no knowledge of whether their actions positively or negatively impact society. Economic incentives can affect willingness when individuals are aware of the issue but are unwilling to change. Positive or negative incentives can be an effective tool in addressing this situation, as demonstrated by offering amnesty to tax offenders in exchange for delayed compliance. Marchese (2009) examined the effects of monetary incentives on tax evasion within competitive markets. Initiatives encouraging consumers to act as auditors can increase the perceived risk of audits. However, the author cautions that, depending on market dynamics, this could lead to “market revenge” through price increases.
According to Slemrod (2007), variations in compliance with duty and honesty can explain part of the heterogeneity in evasion between individuals. The author highlights deterrence as a powerful factor influencing evasion decisions, considering significant differences in compliance rates between taxable items, which closely correlate with detection rates.
Skinner and Slemrod (1985) examined several economic aspects of tax evasion and policies to improve tax compliance. They argued that the costs of tax evasion include violations of horizontal equity, vertical equity, and efficiency. The tax authorities have several options to address this, including enforcement changes, penalties, tax simplification, and reduced marginal rates. While increases in enforcement can generate more revenue, it also comes at a substantial cost. Raising penalties may create inequities between those who are caught and those who evade detection. The authors advocate for tax simplification as a way to reduce loopholes that are breeding grounds for tax evasion. Sandmo (2005) explores the challenges in developing optimal taxation models in the presence of tax evasion. He identifies indirect tax evasion as a potential issue, especially in the sale of final goods and services to consumers. The tax evasion decision may be influenced by a taxpayer’s perceptions of the behavior of others. When tax evasion becomes more widespread, it may be seen as more socially acceptable, lowering the perceived risk of detection. This is a good reason to try to control dropout. Relaxing policy measures in this area could trigger mechanisms that lead to a much lower level of tax compliance schemes.
Yamen et al. (2023) investigate the impact of digitalization on tax evasion and examine how corruption moderates this relationship. The findings show a negative and significant relationship between tax evasion and the digitalization of businesses and people, with digitalization proving highly effective in reducing tax evasion, particularly in low-income countries and countries with high levels of corruption. According to the author, investing in technology can increase tax revenues and enhance government efficiency in resource allocation. Pyle (1991) examines two key questions in the literature. Firstly, why do individuals avoid their tax obligations, and secondly, what policies should governments implement to reduce or eliminate evasion? The author highlights the high costs of combating tax evasion and concludes that many studies contain significant flaws. Given the difficulty in determining a socially optimal level of evasion, Pyle suggests that governments are likely to adopt suboptimal policies aimed at curbing tax evasion. Yet, there remains a considerable debate over the creation of effective policies in this area.

Empirical Survival Case Studies

According to IBGE (2023), an analysis of company survival from 2017 to 2021 revealed that for companies created in 2016, the overall survival rate was 78.0% after one year of operation (2017) and it fell to 43.0% after five years (2021). They found a direct relationship between size and survival; that is, the larger the size of the entity, the higher the survival rate. The survival rate of the smallest companies was 38.0%, followed by 53.8% for medium companies, and 69.4% for bigger companies.
An OECD (2015) study underscores the challenges small and medium-sized enterprises face in securing financing, and the tax system plays a dual role, sometimes supporting and sometimes hindering these enterprises. Furthermore, it highlights that there is a tendency for debt to the detriment of social capital. According to the OECD (2015), younger companies have a higher failure rate than older ones, with over half of companies failing by their fifth year. A study by Resende et al. (2016) highlights the positive role played by company size in survival and the negative influence exerted by the minimum efficiency scale and the suboptimal scale. A study by Conceição et al. (2018) identified that companies created in 2007 and opting for Simples Nacional had a 30% lower chance of survival compared to non-opting companies. A study by Rodas Céspedes et al. (2020) on company survival rates in RS from the period 2007–2013 showed higher survival rates in companies with more employees. In this study, smaller companies had the lowest survival rate, equivalent to 34% in year 7. Mata and Portugal (1994) found that in Portuguese industrial companies, one-fifth of companies closed during their first year, and only 50% survived for four years or more.
Audretsch and Mahmood (1995) argued that specific establishment characteristics influence risk exposure, and the ownership structure can substantially shape a company’s probability of survival. According to Agarwal and Audretsch (2001), the relationship between company size and the probability of survival is shaped by technology and the industry’s life cycle stage. Tonetto et al. (2024b) applied a survival analysis for small businesses during the COVID-19 pandemic in Rio Grande do Sul, Brazil. The authors highlight a relation between size and survival for small businesses in the simplified tax system, with higher resilience in companies with higher annual revenues. However, survival rates were worse in the metropolitan areas; de Cezaro Eberhardt and Fochezatto (2024) highlighted that being located in a metropolitan region increases the chance of overcoming crises by 95%. Metropolitan areas demonstrated better resilience during the 2008 global financial crisis, particularly in job recovery, likely due to economies of agglomerations and better infrastructure.

4. Methods

Survival analysis is one of the most commonly applied statistical techniques, particularly the Kaplan–Meier estimator (Kaplan and Meier 1958), and is often used in conjunction with the Cox model (Cox 1972). The response variable in survival analysis is the time until the occurrence of an event of interest, referred to as the “failure time,” which in this context is the closure of a company. Colosimo and Giolo (2021) state that survival analysis aims to determine the probability of survival and the risk of closure of a group of companies, with time and other known factors as covariates serving as determinants. According to Carvalho et al. (2011), survival analysis is particularly used for addressing cases where the event’s likelihood is not constant over time.
The main characteristic of the database is the presence of censorship, which in this case refers to companies that survived. Without censored data, other statistical techniques, such as regression analysis, could be applied. However, the Kaplan–Meier method has limitations when working with small samples, competitive censorship, or long-term projections. Additionally, it does not account for covariates, which is why the Cox model is often used in combination. Govindarajulu and D’Agostino (2020) point out that the assumption that censorship must be independent of the real time of the event has often been underestimated in survival analyses. The author highlights the evolution that the Cox model brought with semiparametric analysis.
In this study, we aim to investigate the extent to which fines for tax evasion in RS have impacted the survival of companies over the past seven years. The data for this analysis were sourced from the Revenue Agency of RS, covering the period from 2017 to 2023. Our focus is on companies established in 2017 and registered in the RS state system. It is important to note that the Brazilian economy underwent a unique crisis in 2015 and 2016, characterized by high inflation (exceeding 10%) and a recession, which was linked to a political crisis culminating in the impeachment of the president. Economic recovery began in 2017, and by 2018, the macroeconomic indicators showed improvement. However, in 2020, the Brazilian economy faced the repercussions of the pandemic, leading to logistical instability in the supply of products on both local and global scales, and inflation re-emerged as a significant concern. To alleviate the economic impact, several measures were implemented, including budgetary support for individuals and businesses, the postponement of tax payments, and the suspension of active debt collection processes and tax litigation.
Companies were categorized into three brackets based on their size. The first bracket comprises the small businesses under simplified tax regulations. The second and third bands consist of companies subject to standard tax regulations with medium-sized companies defined as those with annual revenues below BRL 20 million, while large-sized companies have annual revenues above this threshold. Additionally, economic activities were classified according to the National Classification of Economic Activities (CNAE), and condensed into six primary sectors.
The main analysis focuses on companies fined for undeclared taxes compared to those not fined. Companies that report the correct amount of the obligation, but for some reason did not make the payment on the correct date, are not considered evaders. According to Alm (2019), “tax evasion” consists of illegal and intentional actions taken by individuals to reduce their legally due tax obligations.
The fined companies are 1027 in a sample of 23,796. Using Propensity Score Matching with a ratio of 1 to 10, we reduce distance by factors like size, sector, and region. Thus, we kept 11,297 companies to analyze (Table 1).
Furthermore, we analyzed survival by geographic location. The state of Rio Grande do Sul is divided into nine functional regions (Estado do Rio Grande do Sul 2011). The study also uses Cox’s semiparametric technique, with the purpose of testing the effect of size, sector of activity, and region.
The survival function is defined as the probability of an observation not failing until a certain time t, that is, the probability of an observation surviving time t. This is written as follows:
S(t) = P (T ≥ t) = 1 − F(t)
where S(t) is the survival function; t is the non-negative random variable; and T is the maximum time that t can reach. The cumulative distribution function is defined as the probability of an observation not surviving time t, i.e.,
F(t) = 1 − S(t)
The survival function is equal to 1 at the beginning of the period, and as time passes, it tends to decrease or remain constant. The failure rate function λ(t) is useful for describing the lifetime distribution of companies, as it describes the way in which the instantaneous failure rate changes over time.
λ(t) = S(t) − S (t +∆t) ∆t S(t)
The increasing nature of the function indicates that the company’s failure rate rises over time. In total, this study analyzed 9350 companies, with an event occurring in 5403 (58%); 3947 companies were censored (42%).
Survival analysis refers to the probability of a company surviving after a certain time; if formulated by risk analysis, it refers to the risk of a company closing after having survived a certain period (Carvalho et al. 2011). The risk function can be obtained from the survival function:
H ( t ) = f ( t ) S ( t )
The estimation is performed using the maximum likelihood method. For Kaplan–Meier, the probability of survival at moment tj is estimated by the number of survivors at that moment, [R(tj) − ΔN(tj)], divided by the number of establishments at risk up to that moment R(tj):
S ^ k m t = j : t j t R t j R ( t j ) N ( t j ) R ( t j ) = j : t j t 1 N ( t j ) R ( t j )
The function can be represented according to strata originating from the classification of covariates, thus being able to evaluate the survival of subgroups, which may present important variations. The Log-rank hypothesis test is used to evaluate these subgroups. The null hypothesis is that the risk is the same for each extract.
To estimate the effects of covariates, Cox modeling is used. This model adopts proportional risks, that is, the risk of closing a company does not vary over time in relation to another company. The Cox model estimates proportional failure rates according to Equation (6).
α(X) = α0 (t) exp {X′β}
The vector X with p is a covariate, the vector β with p is an unknown parameter, and α(X) is the failure rate function. This can be tested by a graphical approach or by the Schoenfeld Residuals Test (Schoenfeld 1982). The variables used in this model are described in Table 2.
Table 3 shows the numbers of companies fined for different types of tax irregularity, and by size. The formal irregularity generally arises from failure to send information that is not directly related to the payment of taxes. This fine is not considered in this study as evasion. The fine for the non-declaration of taxes is always based on a previous audit that determined the situation and notified the taxpayer for payment or dispute. The transit fine is for transporting goods without the corresponding tax document. It is considered in this study as evasion together with the previous one.

5. Results and Discussion

The global analysis represented in Figure 2a shows the survival percentage year by year, since 2017. In 2023, only 41% of firms were operating. The companies were separated in terms of size into large ones with revenues exceeding BRL 20 million per year (around USD 4 million), medium ones with annual revenues less than BRL 20 million, and the small ones included in the simplified tax regime covers up to BRL 4.8 million per year (about USD 960 thousand). Some medium-sized companies could probably have opted for the simplified regime but did not.
Figure 2b shows that the largest companies, with revenues equal to or above BRL 20 million, have the highest survival rate (79%). The smallest companies, under the simplified tax system, have a survival rate in the last year of 52%. The medium companies are the most affected, with only 34% surviving to year 7. This result contradicts the idea of a linear and positive relationship between size and survival.
Analyzing the first quartile of companies that close their activities, we can see that this occurs in the second year for size 2, and in the third year for size 1 companies. The figure shows the greater resilience of the largest companies.
The analysis by sectors of economic activity (Figure 3) shows a standard survival in four sectors below 40%, and a better rate in processing industries (46%) and agriculture (60%).
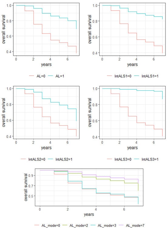
Figure 4 is a comparison of companies fined for taxes that were not declared by the tax administration and companies that were not fined. The companies fined only have fines that represent evasion, even in cases that occurred in truck transit. The failure in formal obligations is not included. The survival curve shows an astonishing result, where the fined companies have a survival rate of 69%, which is way better than companies that were not fined; companies that were not fined have survived at a rate of just 38% in the 7th year. This result suggests that fiscal action serves as a warning to correct course. Regarding the interaction of sizes and fine, it is important to highlight that the effect of fines in small and large companies is much bigger than in the medium ones. In relation to the type of fine, the survival of companies with a formal fine is similar to companies that were not fined. This often indicates merely bureaucratic errors in the company’s accounting and tax management. However, the companies fined in transit had a better survival rate (74%) than the ones caught in audit procedures (60%).
The interactions between the variables size and fine (AL) show a greater survival rate for companies that were fined, which is almost the double for small (S1 = 82%) and large (S3 = 87%) companies. The medium size has a smaller effect (Table A1).
Figure 5 shows that the habitual evaders, i.e., companies with two or more fines that are considered evasions (not declared or in transit), have a better survival rate (58%) compared with companies without habitual evasions (40%). Surprisingly, the ones fined with the heaviest fines have a better survival rate (66%).
Regarding the time when the fine occurs, Table 4 shows the number of evasions of fines by year and by type. The first year, when a company just opened (2017), and the fourth year (2020), when COVID-19 starts, were the years with less fines, as expected. The year 2020 had several moments of lockdowns, so the inspection of taxes in transit was restricted. This table is important as it shows that the audit procedures keep a reasonable proportion by year. The survival rate for companies fined in the first year is 65%, falling sharply in the second and third years (47%, 53%), and rising steadily after. Companies fined only in the last year had the best survival rate, probably due to their maturity.
All the Log-rank tests validate the results presented. Unlike the Kaplan–Meier procedure, where the time variable determines the survival and/or risk of survival of establishments, the Cox model assesses the risk of closure based on the influence of one or more explanatory variables. In this case, these variables include the small size companies, tax fines, its regional location, and its economic activity. The selection of these three variables is based on the literature, similar empirical studies, tests validations, and depends on the availability of information.
Figure 6 highlights the agriculture sector, the metropolitan region, and small companies that were not fined, which serves as the reference group. The construction and financial intermediation and insurance and pension sectors are significant, with increases in the probability of an event of 119% and 182%, respectively. The region analysis shows that all regions are significant, and the metropolitan area has a better performance. Region 9, which represent the Northeast, North, and Production, has a reduction in the probability of a firm closing their doors of 36%. The other regions have a reduced probability of 25% on average. The smallest companies that are fined for evasion have a better position too. The probability of an event is reduced in 79% in relation to other companies.
Table 5 presents the risk proportionality test, whose null hypothesis admits the proportionality of risks between establishments as time increases. Of the three variables tested, region, sector of economic activity, and interaction of small companies with fines confirm the proportional risk.
According to Greiner (1998), companies progress through several stages of challenges or crises as they grow, developing a model based on the maturity and size of the organization. He identifies five main dimensions of this growth process: the age and size of an organization, its stages of evolution and revolution, and the growth rate of its industry. Greiner posits that companies that survive a crisis typically undergo four to eight years of continuous growth without major economic setbacks.
Eisenhardt and Martin (2000) conclude that long-term competitive advantage lies in resource configurations rather than dynamic capabilities. According to di Petta et al. (2018), in the Resource-Based View (RBV) theory, the objective of managers is to explore the productive resources controlled by the company. Coase (1937) argues that companies emerge and grow by organizing production in a way that minimizes transaction costs. The firm will continue to grow as long as it does not exceed the costs of conducting transactions in the market or with another firm. According to Churchill and Lewis (1983), many companies remain in the survival phase for some time, achieving reasonable returns before eventually closing down when the owner gives up or retires.
Regarding the findings on survival rates, companies that were fined for tax evasion showed better survival rates compared to those that were not fined. This suggests that the tax administration model in Rio Grande do Sul is efficient, as it presents a survival rate of 69%, significantly higher than the 38% for companies not fined. Thus, enforcement appears to be aligned with voluntary compliance. Davidsson and Wiklund (2006) emphasize that firm growth is a crucial for economic development, asserting that firms, unlike biological individuals, can change and transform in numerous ways. The model proposed by Fehr et al. (2015) is suitable for guiding the evolution of tax compliance through education, punishment, and reward, with the study indicating that punishment was effective.
For Cuff and Palda (2003), there was a question to be clarified, namely whether tax evasion behavior results from current tax policies or from company characteristics, or both. Our study confirms that this occurs in both cases, due to the results of the interaction variable of evasion with small companies in the simplified taxation regime. Furthermore, the same effect found by Almunia and Lopez-Rodriguez (2018) may be occurring in our case study in RS, that is, many companies seek to remain below the revenue limit of the simplified taxation regime to optimize their results. The results we found contradict Harju et al.’s (2024) suggestion that there is a higher probability of bankruptcy for audited companies.
Our study presents unexpected results regarding company size. The categorization of smaller companies, followed by medium and large companies, did not demonstrate a positive linear correlation with survival for companies in RS during the observed period. The analysis suggests that the difficulties faced by medium-sized companies in Brazil may stem from surpassing the limit of the simplified tax regime, the challenges posed by Greiner model (delegation, coordination, etc.) in terms of growth, or a combination of both factors. This indicates a need to modify the limits of simplified taxation and to facilitate a smoother transition to higher revenue thresholds. Additionally, there is a pressing need for enhanced support services for medium-sized companies.

6. Conclusions

This study aimed to determine whether companies fined for tax evasion have a longer or shorter lifespan compared to those that comply with tax obligations. The Kaplan–Meier estimator and Cox regression model were used to analyze the survival rates of companies based on size, sector, and tax evasion fines. The variables used were company size (small, medium, large), sector of activity, geographic location, and tax evasion fines. Data were collected from the State Revenue Agency of Rio Grande do Sul, covering 11,297 companies established in 2017.
The key findings indicate that the survival rate decreases over time, with a significant drop in the early years and the first year of COVID-19. In 2023, 41% of the companies survived, showing a decline from the initial 94% survival rate in 2017. Regarding company size, the large companies (annual revenue > BRL 20 million) had the highest survival rate (79% in 2023), as expected; small companies under the simplified tax system had a survival rate of 52%, while medium-sized companies had the lowest survival rate (34%). The finding contradicts the notion of a linear and positive relationship between size and survival. Medium-sized companies face significant challenges, possibly due to exceeding the simplified tax regime limits or management issues as per the Greiner growth model. The relevance of the simplified tax regime option is confirmed in Conceição et al. (2018). However, the sector analysis shows that agriculture and industry sectors had higher survival rates (60% and 46%, respectively). Regarding the fines, companies that were fined have better survival rates (69%) compared to those that were not fined (38%). Fines in the transit of goods present a major effect. The medium-sized companies that were fined show a lower effect in survival rates. The companies that are habitually fined have a better survival rate, and the highest fines also have the same effect.
The Cox analysis highlights that the metropolitan area has the worst survival rate. All other regions present better chances of firm survival. Region 9, including the Northeast, North, and Production, has a reduction in the probability of a firm closing of 36%, which is the best location. The main subject of this research, the effects of tax evasion fines, surprisingly, reveals that companies fined for tax evasion had higher survival rates. Small companies fined for tax evasion show a 79% increase in the probability of survival. This suggests that fines might act as a corrective measure, helping companies realign and improve their chances of survival. It shows that tax fines do not tend to lead companies to close their doors.
The results emphasize the effectiveness of the tax compliance pyramid model in improving corporate resilience, corroborating the importance of improving the tax authorities’ relationship with the taxpayer. This study highlights the importance of continued research across different regions and countries to validate these findings and improve tax administration strategies. Futures lines of research should explore the effects noticed in medium-sized companies, which perhaps come from the stage of company growth, or the tax regime applied, or even of the structure of governance, familiar or not. Another necessary line of research is to verify whether companies are looking for ways to remain below the simplified regime’s revenue limit of BRL 4.8 million, either by reporting less revenue or by creating holding companies.
This research provides valuable insights into the relationship between tax compliance and company survival, offering a robust foundation for future studies and policy development.

Author Contributions

Conceptualization, J.L.T.; methodology, J.L.T., J.M.P., A.F. and C.R.; investigation, J.L.T.; writing—original draft preparation, J.L.T.; formal analysis: J.L.T., J.M.P., A.F. and C.R.; writing—review and editing, J.L.T., J.M.P., A.F. and C.R. All authors have read and agreed to the published version of the manuscript.

Funding

This research received no external funding.

Data Availability Statement

Restrictions apply to the availability of these data. Data were obtained from RS Revenue Agency and are under tax secrecy. They are available from the authors under request and will need the formal permission of RS Revenue Agency.

Conflicts of Interest

The authors declare no conflict of interest.

Appendix A

Table A1. Survival rates by evasion, type of fine, and interaction of size and evasion.
Table A1. Survival rates by evasion, type of fine, and interaction of size and evasion.
Time 1234567
Evasion/NotAL = 093%76%63%55%52%47%38%
AL = 199%96%90%86%84%80%69%
Type of fineAL = 093%75%63%55%52%47%38%
AL = 2 Evasion99%94%87%83%80%75%60%
AL = 3 Formal Fine98%79%65%56%54%48%34%
AL = 7 Evasion in transit99%97%91%88%86%83%74%
Interaction Size/EvasionIntALS1 = 093%77%65%57%54%49%39%
IntALS1 = 199%96%92%90%88%86%82%
IntALS2 = 093%76%65%56%53%49%40%
IntALS2 = 199%95%87%83%79%74%59%
IntALS3 = 093%77%66%58%54%50%40%
IntALS3 = 1 99% 98% 96%87%
Source: Compiled by the authors.

References

  1. Abdixhiku, Lumir, Besnik Krasniqi, Geoff Pugh, and Iraj Hashi. 2017. Firm-level determinants of tax evasion in transition economies. Economic Systems 41: 354–66. [Google Scholar] [CrossRef]
  2. Aberbach, Joel D., and Tom Christensen. 2007. The Challenges of Modernizing Tax Administration: Putting Customers First in Coercive Public Organizations. Public Policy and Administration 22: 155–82. [Google Scholar] [CrossRef]
  3. Agarwal, Rajshree, and David B. Audretsch. 2001. Does Entry Size Matter? The Impact of the Life Cycle and Technology on Firm Survival. The Journal of Industrial Economics 49: 21–43. [Google Scholar] [CrossRef]
  4. Ahmadi, Ghavam, Ali Bayat, and Homa Doroudi. 2014. The consequences of different strategies for measuring tax evasion behavior. Management Science Letters 4: 2375–78. [Google Scholar] [CrossRef][Green Version]
  5. Alm, James. 2012. Measuring, explaining, and controlling tax evasion: Lessons from theory, experiments, and field studies. International Tax and Public Finance 19: 54–77. [Google Scholar] [CrossRef]
  6. Alm, James. 2019. What Motivates Tax Compliance? Journal of Economic Surveys 33: 353–88. [Google Scholar] [CrossRef]
  7. Almunia, Miguel, and David Lopez-Rodriguez. 2018. Under the Radar: The Effects of Monitoring Firms on Tax Compliance. American Economic Journal: Economic Policy 10: 1–38. [Google Scholar] [CrossRef]
  8. Audretsch, David B., and Talat Mahmood. 1995. New Firm Survival: New Results Using a Hazard Function. The Review of Economics and Statistics 77: 97. [Google Scholar] [CrossRef]
  9. Baumann, Florian, and Tim Friehe. 2010. Tax Evasion, Investment, and Firm Activity. FinanzArchiv/Public Finance Analysis 66: 1–14. Available online: http://www.jstor.org/stable/40913243 (accessed on 16 October 2024). [CrossRef]
  10. Bérgolo, Marcelo L., Rodrigo Ceni, Guillermo Cruces, Matias Giaccobasso, and Ricardo Perez-Truglia. 2017. Tax Audits as Scarecrows: Evidence from a Large-Scale Field Experiment. NBER Working Papers 23631. Cambridge, MA: National Bureau of Economic Research, Inc. Available online: https://www.nber.org/papers/w23631 (accessed on 16 October 2024).
  11. Bird, Richard. 2010. Smart tax administration. In Economic Premise. No. 36. Washington, DC: World Bank. Available online: http://hdl.handle.net/10986/10152 (accessed on 10 August 2023).
  12. Buehn, Andreas, and Friederich Georg Schneider. 2016. Size and Development of Tax Evasion in 38 OECD Coutries: What do we (not) know? Journal of Economics and Political Economy 3: 1–11. Available online: https://www.researchgate.net/publication/256040463_Size_and_Development_of_Tax_Evasion_in_38_OECD_Coutries_What_do_we_not_know (accessed on 14 May 2024).
  13. Carvalho, Marilia Sá, Valeska Lima Andreozzi, Claudia Torres Codeço, Dayse Pereira Campos, Maria Tereza Serrano Barbosa, and Silvia Emiko Shimakura. 2011. Análise de sobrevivência. In Teoria e aplicações em saúde. Rio de Janeiro: Editora Fiocruz. [Google Scholar]
  14. Cebula, Richard J., and Edgar L. Feige. 2012. America’s unreported economy: Measuring the size, growth and determinants of income tax evasion in the U.S. Crime. Law and Social Change 57: 265–85. [Google Scholar] [CrossRef][Green Version]
  15. Churchill, Neil C., and Virginia L. Lewis. 1983. The Five Stages of Small Business Growth. Harvard Business Review 61: 30–50. Available online: http://har-vardbusinessonline.hbsp.harvard.edu/hbs...?articleID=83301&ml_action=get-article&print=true (accessed on 6 June 2024).
  16. Clotfelter, Charles T. 1983. Tax Evasion and Tax Rates: An Analysis of Individual Returns. The Review of Economics and Statistics 65: 363. [Google Scholar] [CrossRef]
  17. Coase, Ronald H. 1937. The Nature of the Firm. Economica 4: 386–405, New Series. Available online: https://onlinelibrary.wiley.com/doi/10.1111/j.1468-0335.1937.tb00002.x (accessed on 13 March 2024). [CrossRef]
  18. Colosimo, Enrico Antonio, and Suely Ruiz Giolo. 2021. Análise de Sobrevivência Aplicada. Sao Paulo: Editora Blucher. [Google Scholar]
  19. Conceição, Otavio Canozzi, Mauticio Vitorino Saraiva, Adelar Fochezatto, and Marco Tulio Aniceto França. 2018. Brazil’s Simplified Tax Regime and the longevity of Brazilian manufacturing companies: A survival analysis based on RAIS microdata. Economia 19: 164–86. [Google Scholar] [CrossRef]
  20. Costa, Ana Carolina Astafieff da Rosa, Morgana G. Martins Krieger, and Yuna Fontoura. 2022. Conformidade fiscal e economia comportamental: Uma análise da influência do contexto decisório [Tax compliance and behavioural economics: An analysis of the influence of the decision-making context]. Brazilian Journal of Political Economy 42: 1062–79. [Google Scholar] [CrossRef]
  21. Cox, David R. 1972. Regression Models and Life-Tables. Journal of the Royal Statistical Society Series B (Methodological) 34: 187–220. [Google Scholar] [CrossRef]
  22. Cuff, Katherine, and Filip Palda. 2003. Tax Evasion and Firm Survival in Competitive Markets. Canadian Public Policy/Analyse de Politiques 29: 525. [Google Scholar] [CrossRef]
  23. Dabla-Norris, Era, Florian Misch, Duncan Cleary, and Munawer Khwaja. 2020. The quality of tax administration and firm performance: Evidence from developing countries. International Tax and Public Finance 27: 514–51. [Google Scholar] [CrossRef]
  24. Dabla-Norris, Era, Mark Gradstein, Fedor Miryugin, and Florian Misch. 2019. Productivity and Tax Evasion. WP/19/260. Washington, DC: International Monetary Fund. [Google Scholar]
  25. Davidsson, Per, and Johan Wiklund. 2006. Conceptual and empirical challenges in the study of firm growth. In Entrepreneurship and the Growth of Firms. Edited by Per Davidsson, Frederic Delmar and Johan Wiklund. Cheltenham: Edward Elgar Publishing, pp. 39–61. [Google Scholar]
  26. de Cezaro Eberhardt, Paulo Henrique, and Adelar Fochezatto. 2024. Regional Resilience and the Asymmetric Effects of the 2008 Crisis in Brazil: A Survival Model Analysis. Networks and Spatial Economics 24: 743–62. [Google Scholar] [CrossRef]
  27. di Petta, Arnaldo, Luciana Orozco de Gouveia, Andrea Luiza Bozzo, and Marcelo Neves Gonçalves. 2018. The Theory of the Growth 715 of the Firm over 60 Years: From Where We Came and Where We Are Going. Revista Ibero-Americana de Estratégia 17: 173–87. [Google Scholar] [CrossRef][Green Version]
  28. Dufwenberg, Martim, and Katarina Nordblom. 2022. Tax evasion with a conscience. Journal of Public Economic Theory 24: 5–29. [Google Scholar] [CrossRef]
  29. Eisenhardt, Kathleen M., and Jeffrey A. Martin. 2000. Dynamic Capabilities: What Are They? Strategic Management Journal 21: 1105–21. [Google Scholar] [CrossRef]
  30. Elffers, Henk, Russel H. Weigel, and Dick J. Hessing. 1987. The consequences of different strategies for measuring tax evasion behavior. Journal of Economic Psychology 8: 311–37. [Google Scholar] [CrossRef]
  31. Estado do Rio Grande do Sul. 2011. Secretaria do Planejamento Gestão e Participação Cidadã. Perfis Regionais por Região Funcional de Planejamento. Available online: https://planejamento.rs.gov.br/upload/arquivos/201512/15134049-20140122164814perfis-por-regiao-funcional-de-planejamento-2011.pdf (accessed on 12 March 2024).
  32. Fehr, Gerhard, Alain Kamm, and Moritz Jäger. 2015. The behavioral change matrix—A tool for evidence-based policy making. In The Behavioral Economics Guide 2015. Edited by Alain Samson. London: Behavioral Economics Group, pp. 112–18. Available online: http://www.behavioraleconomics.com (accessed on 9 May 2023).
  33. Gamannossi degl’Innocenti, Duccio, and Matthew D. Rablen. 2020. Tax evasion on a social network. Journal of Economic Behavior and Organization 169: 79–91. [Google Scholar] [CrossRef]
  34. Govindarajulu, Usha S., and Ralph B. D’Agostino. 2020. Review of Current Advances in Survival Analysis and Frailty Models. In Wiley Interdisciplinary Reviews: Computational Statistics. Hoboken: Wiley-Blackwell. [Google Scholar] [CrossRef]
  35. Greiner, Larry. E. 1998. Evolution and Revolution as Organizations Grow. Harvard Business Review 76: 55–64. Available online: https://hbr.org/1998/05/evolution-and-revolution-as-organizations-grow (accessed on 16 May 2024).
  36. Hanousek, Jan, and Filip Palda. 2009. Is there a displacement deadweight loss from tax evasion? Estimates using firm surveys from the Czech Republic. Economic Change and Restructuring 42: 139–58. [Google Scholar] [CrossRef]
  37. Harju, Jarkko, Kaisa Kotakorpi, Tuomas Matikka, and Annik Nivala. 2024. How Do Firms Respond to Risk-based Tax Audits? VATT Working Papers 165. Available online: https://doria.fi/handle/10024/189130 (accessed on 16 October 2024).
  38. Instituto Brasileiro de Geografia e Estatistica—IBGE. 2023. Demografia das Empresas e Estatísticas de Empreendedorismo: 2021/IBGE, Coordenação de Cadastros e Classificações; Rio de Janeiro: IBGE, p. 133x. Available online: https://biblioteca.ibge.gov.br/visualizacao/livros/liv102036.pdf (accessed on 16 April 2024).
  39. Inter-American Center of Tax Administrations—CIAT. 2020. ICT as a Strategic Tool to Leapfrog the Efficiency of Tax Administrations. Available online: https://www.ciat.org/Biblioteca/Estudios/2020-ICT_STL_CIAT_FMGB.pdf (accessed on 12 May 2024).
  40. Kahneman, Daniel, and Amos Tversky. 1979. Prospect theory: An analysis of decision under risk. Econometrica 47: 263–91. [Google Scholar] [CrossRef]
  41. Kaplan, Edward L., and Paul Meier. 1958. Nonparametric Estimation from Incomplete Observations. Journal of the American Statistical Association 53: 457–81. [Google Scholar] [CrossRef]
  42. Kaplanoglou, Georgia, and Vassilis T. Rapanos. 2015. Why do people evade taxes? New experimental evidence from Greece. Journal of Behavioral and Experimental Economics 56: 21–32. [Google Scholar] [CrossRef]
  43. Kumar, Dheeraj, Sandeep Kumar Sood, and Keshav Singh Rawat. 2023. IoT-Enabled Technologies for Controlling COVID-19 Spread: A Scientometric Analysis Using CiteSpace. Internet of Things 23: 100863. [Google Scholar] [CrossRef]
  44. Marchese, Carla. 2009. Rewarding the consumer for curbing the evasion of commodity taxes? FinanzArchiv 65: 383. [Google Scholar] [CrossRef]
  45. Mata, Jose, and Pedro Portugal. 1994. Life Duration of New Firms. The Journal of Industrial Economics 42: 227. [Google Scholar] [CrossRef]
  46. Mazzucato, Mariana, and Rainer Kattel. 2020. COVID-19 and Public-Sector Capacity. Oxford Review of Economic Policy 36: S256–S269. [Google Scholar] [CrossRef]
  47. OECD. 2004. Compliance Risk Management: Managing and Improving Tax Compliance. Paris: OECD. Available online: https://www.oecd.org/tax/administration/33818656.pdf (accessed on 12 May 2024).
  48. OECD. 2015. Taxation of SMEs in OECD and G20 Countries. OECD Tax Policy Studies. Paris: OECD. [Google Scholar] [CrossRef]
  49. Porter, Michael E. 2012. Ventaja competitiva. Creación y sostenibilidad de um rendimento superior. Madrid: Ediciones Pirámide. [Google Scholar]
  50. Pyle, David J. 1991. The economics of taxpayer compliance. Journal of Economic Surveys 5: 163–98. [Google Scholar] [CrossRef]
  51. Resende, Marcelo, Vicente Cardoso, and Luis Otavio Façanha. 2016. Determinants of survival of newly created SMEs in the Brazilian manufacturing industry: An econometric study. Empirical Economics 50: 1255–74. [Google Scholar] [CrossRef]
  52. Rodas Céspedes, Carlos Hernán, Adelar Fochezatto, and Leandro Justino Pereira Veloso. 2020. Análise de sobrevivência de empresas: Um estudo longitudinal da coorte de 2007 no Rio Grande do Sul. Geosul 35: 557–79. [Google Scholar] [CrossRef]
  53. Sandmo, Agnar. 2005. The Theory of Tax Evasion: A Retrospective View. National Tax Journal 58: 643–63. [Google Scholar] [CrossRef]
  54. Schoenfeld, David. 1982. Partial Residuals for The Proportional Hazards Regression Model. Biometrika 69: 239–41. [Google Scholar] [CrossRef]
  55. Skinner, Jonathan, and Joel Slemrod. 1985. An economic perspective on tax evasion. National Tax Journal 38: 345–53. [Google Scholar] [CrossRef]
  56. Slemrod, Joel. 2007. Cheating ourselves: The economics of tax evasion. Journal of Economic Perspectives 21: 25–48. [Google Scholar] [CrossRef]
  57. Tonetto, Jorge Luis, Adelar Fochezatto, and Giovanni Padilha da Silva. 2023a. Refund of Consumption Tax to Low-Income People: Impact Assessment Using Difference-in-Differences. Economies 11: 153. [Google Scholar] [CrossRef]
  58. Tonetto, Jorge Luis, Adelar Fochezatto, and Josep Miquel Pique. 2023b. The Impact of the COVID-19 Pandemic on the Use of the Menor Preço Brasil Application. Administrative Sciences 13: 229. [Google Scholar] [CrossRef]
  59. Tonetto, Jorge Luis, Adelar Fochezatto, and Josep Miquel Pique. 2024a. Monetary incentives to improve tax compliance: A Brazilian case study. Development Policy Review 42: e12770. [Google Scholar] [CrossRef]
  60. Tonetto, Jorge Luis, Josep Miquel Pique, Adelar Fochezatto, and Carina Rapetti. 2024b. Survival Analysis of Small Business during COVID-19 Pandemic, a Brazilian Case Study. Economies 12: 184. [Google Scholar] [CrossRef]
  61. Yamen, Ahmed, Ali Coskun, and Hounaida Mersni. 2023. Digitalization and tax evasion: The moderation effect of corruption. Economic Research-Ekonomska Istrazivanja 36: 2142634. [Google Scholar] [CrossRef]
  62. Yu, Tai-Kuei, Mei-Lan Lin, and Ying-Kai Liao. 2017. Understanding factors influencing information communication technology adoption behavior: The moderators of information literacy and digital skills. Computers in Human Behavior 71: 196–208. [Google Scholar] [CrossRef]
Figure 1. Model adopted for RS tax administration. Source: prepared by the authors. (OECD 2004).
Figure 1. Model adopted for RS tax administration. Source: prepared by the authors. (OECD 2004).
Economies 12 00286 g001
Figure 2. Kaplan–Meier survival curve, by size of business in RS, 2017–2023. Source: Compiled by the authors.
Figure 2. Kaplan–Meier survival curve, by size of business in RS, 2017–2023. Source: Compiled by the authors.
Economies 12 00286 g002
Figure 3. Kaplan–Meier survival curve, by activity sector, 2017–2023. Source: Compiled by the authors.
Figure 3. Kaplan–Meier survival curve, by activity sector, 2017–2023. Source: Compiled by the authors.
Economies 12 00286 g003
Figure 4. Kaplan–Meier survival curve, by company fined or not fined, and interaction between sizes and fines, and type of fines, 2017–2023. Source: Compiled by the authors. Note: AL = 0 not fined, AL = 2 evasion not declared, AL = 3 formal fine, AL = 7 fine in transit.
Figure 4. Kaplan–Meier survival curve, by company fined or not fined, and interaction between sizes and fines, and type of fines, 2017–2023. Source: Compiled by the authors. Note: AL = 0 not fined, AL = 2 evasion not declared, AL = 3 formal fine, AL = 7 fine in transit.
Economies 12 00286 g004
Figure 5. Kaplan–Meier survival curve for habitual evaders and fined over BRL 100 thousand. Source: Compiled by the authors. Note: Fine 100 K = 1 are firms that are fined but below BRL 100,000.00. FINE100K = 2 are firms that are fined BRL 100,000.00 or above.
Figure 5. Kaplan–Meier survival curve for habitual evaders and fined over BRL 100 thousand. Source: Compiled by the authors. Note: Fine 100 K = 1 are firms that are fined but below BRL 100,000.00. FINE100K = 2 are firms that are fined BRL 100,000.00 or above.
Economies 12 00286 g005
Figure 6. Forest graph by all variables. Source: Compiled by the authors. Note: Signif. codes: * p < 0.05, ** p < 0.01, *** p < 0.001.
Figure 6. Forest graph by all variables. Source: Compiled by the authors. Note: Signif. codes: * p < 0.05, ** p < 0.01, *** p < 0.001.
Economies 12 00286 g006
Table 1. Control and treated groups.
Table 1. Control and treated groups.
ControlTreatedTotal
All22,949102723,976
Matched PSM10,270102711,297
Unmatched12,679012,679
Source: Compiled by the authors.
Table 2. Variables used in the study.
Table 2. Variables used in the study.
AcronymsDescriptionMinimumMaximumSource
IDAnonymized111,297SEFAZ/RS
timeTime to event17SEFAZ/RS
status0 = censured, 1 = event01SEFAZ/RS
regionFunctional region19SPGG/RS
sizeSmall, medium, large13SEFAZ/RS
sectorSector of activity16IBGE
AL0 = no, 1 = notified evasion01SEFAZ/RS
Al_mode0 = not fined, 2 = evasion not declared, 3 = formal, 7 = transit07SEFAZ/RS
IntALS1Interaction AL and size small01SEFAZ/RS
IntALS2Interaction AL and size medium01SEFAZ/RS
IntALS3Interaction AL and size large01SEFAZ/RS
HabitualNo/yes02SEFAZ/RS
Fine100kFine of BRL 100 thousand or more01SEFAZ/RS
TTFFETime to first fine of evasion07SEFAZ/RS
PMCRSRetail sales volume index in December/RS114.8126.5IBGE
IntRateAverage year Interest rate goal in Brazilian economy3.0213.42BCB
Av_UnemploymentAverage of unemployment rate in the year8.0413.5BCB
Source: Prepared by the authors. Note: AL means “Auto de lançamento”; it is an official document that constitutes the tax credit and places the taxpayer as a debtor. Note2: Time 1 = 2017; 2 = 2018; 3 = 2019; 4 = 2020; 5 = 2021; 6 = 2022; 7 = 2023. Functional region 1 = Metropolitan, Jacuí Delta, Sinos; 2 = Taquarí and Rio Pardo Valleys; 3 = Mountains; 4 = North Coast; 5 = South; 6 = Campaign and West Frontier; 7 = Missions, Northwest Frontier; 8 = Central, Middle, and High Uruguay; 9 = Northeast, North, and Production. Sector 1 = agriculture, livestock, and forestry; 2 = processing industries; 3 = construction; 4 = business, motor vehicle repair; 5 = financial intermediation, insurance, and pension; 6 = education and health, and others.
Table 3. Number of firms by irregularity and value average fine in BRL.
Table 3. Number of firms by irregularity and value average fine in BRL.
Type of IrregularitySmall Size-SimplesMedium SizeLarge SizeTotalEvasionAverage Value of Fine
Formal192970171179 3705.91
Tax not declared64254453633631,265,492.82
Transit without tax invoice2873403766466410,679.26
Total54315649922061027
Source: Compiled by the authors. Note: The value average is based on the maximum value of fines for each firm, because some firms have more than one fine. The small size is made up of companies under the simplified taxation regime (Simples).
Table 4. Time to first fine of evasion.
Table 4. Time to first fine of evasion.
Time to Fine (Years)Not DeclareIn TransitEvasionSurvival Rate 7th Year
121486965%
26512318847%
35413018453%
420456571%
5659115675%
68212320582%
75610416093%
Total3636641027
Source: Compiled by the authors.
Table 5. Proportionality risk test in Cox regression.
Table 5. Proportionality risk test in Cox regression.
Variableschisqdfp
sector4.150.54
region8.7880.36
IntALS11.1110.29
GLOBAL13.85140.46
Source: Compiled by the authors.
Disclaimer/Publisher’s Note: The statements, opinions and data contained in all publications are solely those of the individual author(s) and contributor(s) and not of MDPI and/or the editor(s). MDPI and/or the editor(s) disclaim responsibility for any injury to people or property resulting from any ideas, methods, instructions or products referred to in the content.

Share and Cite

MDPI and ACS Style

Tonetto, J.L.; Pique, J.M.; Fochezatto, A.; Rapetti, C. Tax Evasion and Company Survival: A Brazilian Case Study. Economies 2024, 12, 286. https://doi.org/10.3390/economies12110286

AMA Style

Tonetto JL, Pique JM, Fochezatto A, Rapetti C. Tax Evasion and Company Survival: A Brazilian Case Study. Economies. 2024; 12(11):286. https://doi.org/10.3390/economies12110286

Chicago/Turabian Style

Tonetto, Jorge Luis, Josep Miquel Pique, Adelar Fochezatto, and Carina Rapetti. 2024. "Tax Evasion and Company Survival: A Brazilian Case Study" Economies 12, no. 11: 286. https://doi.org/10.3390/economies12110286

APA Style

Tonetto, J. L., Pique, J. M., Fochezatto, A., & Rapetti, C. (2024). Tax Evasion and Company Survival: A Brazilian Case Study. Economies, 12(11), 286. https://doi.org/10.3390/economies12110286

Note that from the first issue of 2016, this journal uses article numbers instead of page numbers. See further details here.

Article Metrics

Back to TopTop