On the Role of Informal vs. Formal Context of Language Experience in Italian–German Primary School Children
Abstract
1. Introduction
2. Background
2.1. Dominance and Schooling in the ML
2.2. Reported Language Experience
2.3. Narrative Abilities
3. Research Questions and Predictions
4. Methods
4.1. Participants
4.2. Materials
4.3. Procedure
4.4. Data Analysis
5. Results
5.1. Formal and Informal Language Experience
5.2. Language Experience in Relation to Micro- and Macrostructure
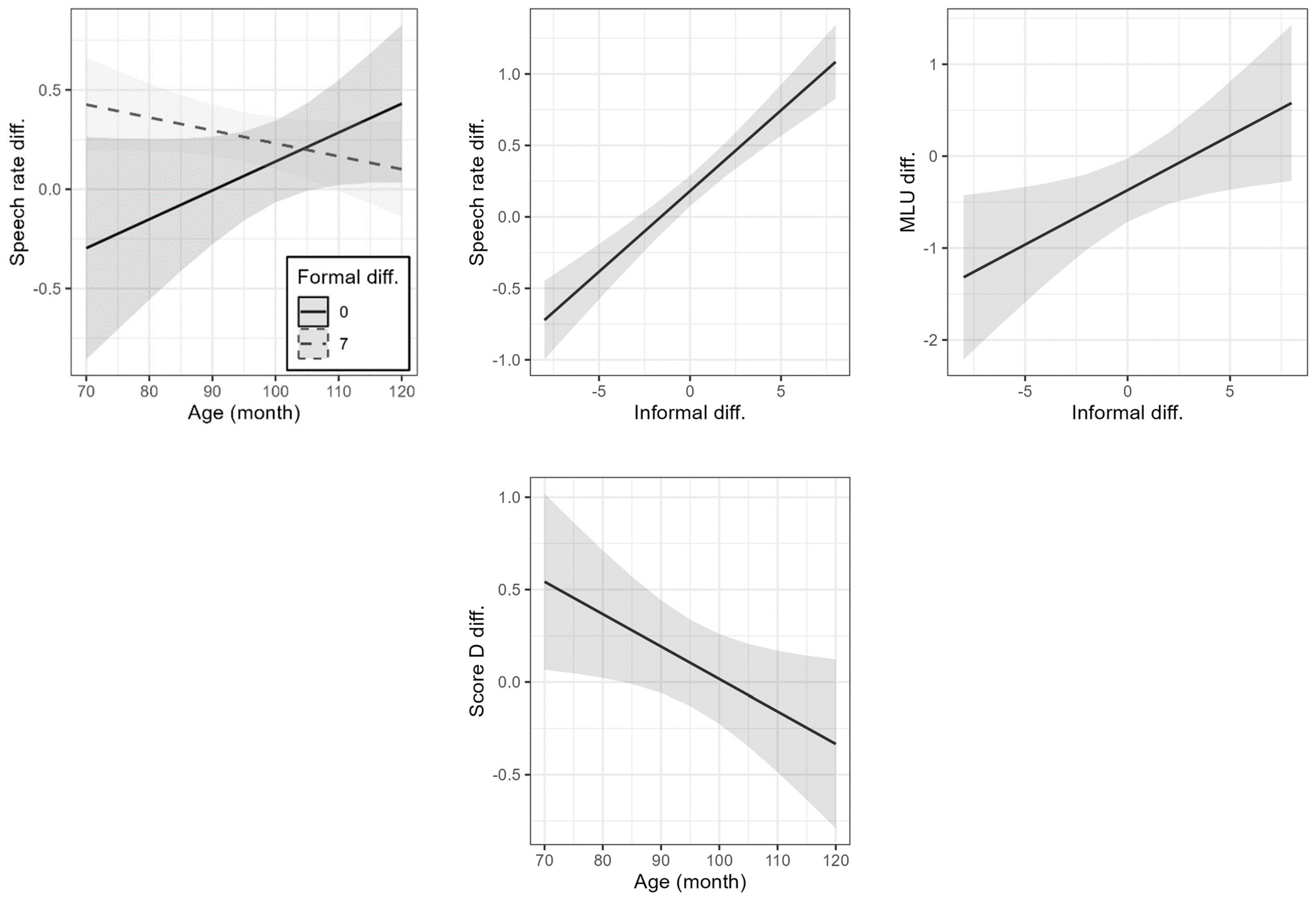
- Formal language experience showed no effects on any of the measures.
- There were no effects of language experience on syntactic complexity and any of the macrostructure measures.
- Vocabulary diversity was significantly predicted by informal language experience in both languages: more German experience predicted lower MATTR scores in Italian (p < 0.001), and more Italian experience predicted higher MATTR scores in Italian (p = 0.001).
- Speech rate was the most sensitive measure predicted by language experience: More German experience was related to slower speech in Italian (p < 0.001), and more Italian experience was related to higher speed in Italian (p < 0.001); more German experience was related to higher speech in German (p < 0.01), and more Italian experience was related to lower speed in German (p < 0.01). This latter effect on German was not as strong as the aforementioned one of informal Italian experience on Italian speech rate.
- MLU was the only syntactic measure affected by informal language experience, with more informal German experience predicting lower MLUs in Italian (p < 0.05).
5.3. Dimensions of Dominance (Experience and Proficiency) across Age Groups
6. Discussion
6.1. Formal and Informal Language Experience and Effects on Proficiency
6.2. How Does Dominance Change?
7. Conclusions
Supplementary Materials
Author Contributions
Funding
Institutional Review Board Statement
Informed Consent Statement
Data Availability Statement
Acknowledgments
Conflicts of Interest
| 1 | Within Biki6, 15 children still attended kindergarten. Nevertheless, we label all the children in this study as “primary school children” since they were all attending or about to start primary school. In fact, we did not include any children younger than 6 years old. |
| 2 | The complete questionnaire is provided in Supplementary Materials Section S1. The questionnaire includes two separate sections that tackle child education before/after vs. during the pandemic since children were tested at different stages of the pandemic. For the analysis, we calculated a unique average score for these sections to have a more reliable view of the child’s experience with and without lockdowns. |
| 3 | According to score D, the children in our study struggled to give the correct answer to the tenth question, which asked whether the child would become friends with the cat/dog after it stole the child’s fish/sausages. According to the manual, the answer is no, but the children seemed to find it hard to think that the child could not become friends with the animal. To ensure comparability across studies, we followed the manual and gave 0 points for yes-answers, despite the plausibility of the children’s motivations. |
| 4 | Thirteen children in the Biki6 group, ten in Biki7, six in Biki8, and seven in Biki9 attended monolingual schools. The number of children attending monolingual schools and Italian (extracurricular) classes was nine in Biki6, nine in Biki7, five in Biki8, and eleven in Biki9. The number of children attending bilingual schools was two in Biki6, three in Biki7, seven in Biki8, and five in Biki9. |
| 5 | For each measure in this section, we calculated separate models for each language. |
| 6 | Regarding the effect on score D, our reservations on the interpretation are discussed above. |
References
- Altman, Carmit, Sharon Armon-Lotem, Sveta Fichman, and Joel Walters. 2016. Macrostructure, Microstructure, and Mental State Terms in the Narratives of English–Hebrew Bilingual Preschool Children with and without Specific Language Impairment. Applied Psycholinguistics 37: 165–93. [Google Scholar] [CrossRef]
- Anderson, Nina J., Susan A. Graham, Heather Prime, Jennifer M. Jenkins, and Sheri Madigan. 2021. Linking Quality and Quantity of Parental Linguistic Input to Child Language Skills: A Meta-Analysis. Child Development 92: 484–501. [Google Scholar] [CrossRef] [PubMed]
- Andreou, Maria, Eva Knopp, Christiane Bongartz, and Ianthi Maria Tsimpli. 2015. Character Reference in Greek-German Bilingual Childrens Narratives. EUROSLA Yearbook 15: 1–40. [Google Scholar] [CrossRef]
- Armon-Lotem, Sharon, Joel Walters, and Natalia Gagarina. 2011. The Impact of Internal and External Factors on Linguistic Performance in the Home Language and in L2 among Russian-Hebrew and Russian-German Preschool Children. Linguistic Approaches to Bilingualism 1: 291–317. [Google Scholar] [CrossRef]
- Audacity Team. 2021. Audacity for Windows, version 2.4.2. Free Digital Audio Editor. Available online: https://audacityteam.org/ (accessed on 13 September 2021).
- Bayram, Fatih, Jason Rothman, Michael Iverson, Tanja Kupisch, David Miller, Eloi Puig-Mayenco, and Marit Westergaard. 2019. Differences in Use without Deficiencies in Competence: Passives in the Turkish and German of Turkish Heritage Speakers in Germany. International Journal of Bilingual Education and Bilingualism 22: 919–39. [Google Scholar] [CrossRef]
- Birdsong, David. 2015. Dominance in Bilingualism: Foundations of Measurement, with Insights from the Study of Handedness. In Language Dominance in Bilinguals: Issues of Measurement and Operationalization. Edited by Carmen Silva-Corvalán and Jeanine Treffers-Daller. Cambridge: Cambridge University Press, pp. 85–105. [Google Scholar] [CrossRef]
- Birdsong, David, Libby M. Gertken, and Mark Amengual. 2012. Bilingual Language Profile: An Easy-to-Use Instrument to Assess Bilingualism. Bilingual Language Profile: An Easy-to-Use Instrument to Assess Bilingualism. 20 January 2012. Available online: https://sites.la.utexas.edu/bilingual/ (accessed on 28 March 2022).
- Bohnacker, Ute. 2016. Tell Me a Story in English or Swedish: Narrative Production and Comprehension in Bilingual Preschoolers and First Graders. Applied Psycholinguistics 37: 19–48. [Google Scholar] [CrossRef]
- Bohnacker, Ute, and Josefin Lindgren. 2021. What Can We Expect of a Typically Developing Child?: MAIN Story Comprehension. In Language Impairment in Multilingual Settings: LITMUS in Action across Europe. Edited by Sharon Armon-Lotem and Kleanthes K. Grohmann. Trends in Language Acquisition Research. Amsterdam: John Benjamins Publishing Company, pp. 13–46. [Google Scholar] [CrossRef]
- Bohnacker, Ute, Josefin Lindgren, and Buket Öztekin. 2021. Storytelling in Bilingual Turkish-Swedish Children: Effects of Language, Age and Exposure on Narrative Macrostructure. Linguistic Approaches to Bilingualism 12: 413–45. [Google Scholar] [CrossRef]
- Caloi, Irene, and Jacopo Torregrossa. 2021. Home and School Language Practices and Their Effects on Heritage Language Acquisition: A View from Heritage Italians in Germany. Languages 6: 50. [Google Scholar] [CrossRef]
- Carroll, Susanne E. 2017. Exposure and Input in Bilingual Development. Bilingualism: Language and Cognition 20: 3–16. [Google Scholar] [CrossRef]
- Chang, Charles B. 2016. Bilingual Perceptual Benefits of Experience with a Heritage Language. Bilingualism: Language and Cognition 19: 791–809. [Google Scholar] [CrossRef]
- Chondrogianni, Vasiliki, and Theodoros Marinis. 2011. Differential Effects of Internal and External Factors on the Development of Vocabulary, Tense Morphology and Morpho-Syntax in Successive Bilingual Children. Linguistic Approaches to Bilingualism 1: 318–45. [Google Scholar] [CrossRef]
- Gagarina, Natalia. 2016. Narratives of Russian–German Preschool and Primary School Bilinguals: Rasskaz and Erzaehlung. Applied Psycholinguistics 37: 91–122. [Google Scholar] [CrossRef]
- Gagarina, Natalia, Daleen Klop, Sari Kunnari, Koula Tantele, Taina Välimaa, Ute Bohnacker, and Joel Walters. 2019a. Multilingual Assessment Instrument for Narratives—Revised. Materials for Use. ZAS Papers in Linguistics 63: 1–39. [Google Scholar] [CrossRef]
- Gagarina, Natalia, Stefanie Gey, and Natalie Sürmeli. 2019b. Identifying Early Preschool Bilinguals at Risk of DLD: A Composite Profile of Narrative and Sentence Repetition Skills. ZAS Papers in Linguistics 62: 168–89. [Google Scholar] [CrossRef]
- Gagarina, Natal’ja Vladimirovna, Daleen Klop, Sari Kunnari, Koula Tantele, Taina Välimaa, Ingrida Balčiūnienė, Ute Bohnacker, and Joel Walters. 2012. MAIN: Multilingual Assessment Instrument for Narratives. ZAS Papers in Linguistics 56: 155. [Google Scholar] [CrossRef]
- Gathercole, Virginia C. Mueller, and Enlli Môn Thomas. 2005. Minority Language Survival: Input Factors Influencing the Acquisition of Welsh. In ISB4: Proceedings of the 4th International Symposium on Bilingualism. Edited by James Cohen, Kara T. McAlister, Kellie Rolstad and Jeff MacSwan. Sommerville: Cascadilla Press, pp. 852–74. [Google Scholar]
- Golberg, Heather, Johanne Paradis, and Martha Crago. 2008. Lexical Acquisition over Time in Minority First Language Children Learning English as a Second Language. Applied Psycholinguistics 29: 41–65. [Google Scholar] [CrossRef]
- Gutiérrez-Clellen, Vera F. 2002. Narratives in Two Languages: Assessing Performance of Bilingual Children. Linguistics and Education 13: 175–97. [Google Scholar] [CrossRef]
- Hayward, Denyse, Ronald Gillam, and Phuong Lien. 2007. Retelling a Script-Based Story: Do Children With and Without Language Impairments Focus on Script and Story Elements? American Journal of Speech-Language Pathology/American Speech-Language-Hearing Association 16: 235–45. [Google Scholar] [CrossRef] [PubMed]
- Jia, Ruiting, and Johanne Paradis. 2015. The Use of Referring Expressions in Narratives by Mandarin Heritage Language Children and the Role of Language Environment Factors in Predicting Individual Differences. Bilingualism: Language and Cognition 18: 737–52. [Google Scholar] [CrossRef]
- Kehoe, Margaret, Conxita Lleó, and Martin Rakow. 2004. Voice Onset Time in Bilingual German-Spanish Children. Bilingualism, Language, and Cognition 7: 71–88. [Google Scholar] [CrossRef]
- Kunnari, Sari, Taina Välimaa, and Päivi Laukkanen-Nevala. 2016. Macrostructure in the Narratives of Monolingual Finnish and Bilingual Finnish–Swedish Children. Applied Psycholinguistics 37: 123–44. [Google Scholar] [CrossRef]
- Kupisch, Tanja. 2006. The Acquisition of Determiners in Bilingual German-Italian and German-French Children; München: Lincom Europa. Available online: https://kops.uni-konstanz.de/handle/123456789/37340 (accessed on 19 September 2021).
- Kupisch, Tanja. 2007. Determiners in Bilingual German–Italian Children: What They Tell Us about the Relation between Language Influence and Language Dominance. Bilingualism: Language and Cognition 10: 57–78. [Google Scholar] [CrossRef]
- Kupisch, Tanja, and Jason Rothman. 2018. Terminology Matters! Why Difference Is Not Incompleteness and How Early Child Bilinguals Are Heritage Speakers. International Journal of Bilingualism 22: 564–82. [Google Scholar] [CrossRef]
- Kupisch, Tanja, Nadine Kolb, Yulia Rodina, and Olga Urek. 2021. Foreign Accent in Pre- and Primary School Heritage Bilinguals. Languages 6: 96. [Google Scholar] [CrossRef]
- Kuznetsova, Alexandra, Per B. Brockhoff, and Rune H. B. Christensen. 2017. LmerTest Package: Tests in Linear Mixed Effects Models. Journal of Statistical Software 82: 1–26. [Google Scholar] [CrossRef]
- Lanza, Elizabeth. 2004. Language Mixing in Infant Bilingualism: A Sociolinguistic Perspective. Oxford: Oxford University Press. [Google Scholar]
- Leiner, Dominik J. 2019. SoSci Survey. Version 3.1.06. [software]. Available online: https://www.soscisurvey.de (accessed on 8 September 2021).
- Levorato, Chiara, and Maja Roch. 2020. Italian Adaptation of the Multilingual Assessment Instrument for Narratives. ZAS Papers in Linguistics 64: 139–46. [Google Scholar] [CrossRef]
- Lindgren, Josefin, and Ute Bohnacker. 2022. How Do Age, Language, Narrative Task, Language Proficiency and Exposure Affect Narrative Macrostructure in German-Swedish Bilingual Children Aged 4 to 6? Linguistic Approaches to Bilingualism 12: 479–508. [Google Scholar] [CrossRef]
- Lloyd-Smith, Anika, Fatih Bayram, and Mike Iverson. 2020. The Effects of Heritage Language Experience on Lexical and Morphosyntactic Outcomes. In Studies in Turkish as a Heritage Language. Edited by Fatih Bayram. Studies in Bilingualism. Amsterdam: John Benjamins Publishing Company, pp. 63–84. [Google Scholar] [CrossRef]
- Lüdecke, Daniel. 2022. sjPlot: Data Visualization for Statistics in Social Science, R package version 2.8.11; Available online: https://CRAN.R-project.org/package=sjPlot (accessed on 18 July 2022).
- MacWhinney, Brian. 2000. The Childes Project: Tools for Analyzing Talk, 3rd ed. New York: Psychology Press. [Google Scholar] [CrossRef]
- Mattheoudakis, Marina, Aspasia Chatzidaki, Christina Maligkoudi, and Eleni Agathopoulou. 2016. Family and School Language Input: Their Role in Bilingual Childrens Vocabulary Development. Journal of Applied Linguistics, 50–70. [Google Scholar] [CrossRef]
- McCabe, Allyssa. 1996. Evaluating Narrative Discourse Skills. In Assessment of Communication and Language. Edited by Kevin N. Cole, Philip S. Dale and Donna J. Thal. Baltimore: Paul H. Brooks, pp. 121–41. [Google Scholar]
- McCabe, Allyssa, and Carole Peterson. 1984. What Makes a Good Story. Journal of Psycholinguistic Research 13: 457–80. [Google Scholar] [CrossRef]
- Montanari, Elke G., Roman Abel, Barbara Graßer, and Lilia Tschudinovski. 2018. Do Bilinguals Create Two Different Sets of Vocabulary for Two Domains?: Vocabulary Development and Overlap in the First Years of Schooling. Linguistic Approaches to Bilingualism 8: 502–22. [Google Scholar] [CrossRef]
- Müller, Natascha, and Aafke Hulk. 2001. Crosslinguistic Influence in Bilingual Language Acquisition: Italian and French as Recipient Languages. Bilingualism: Language and Cognition 4: 1–21. [Google Scholar] [CrossRef]
- Papastefanou, Theodora, Daisy Powell, and Theodoros Marinis. 2019. Language and Decoding Skills in Greek-English Primary School Bilingual Children: Effects of Language Dominance, Contextual Factors and Cross-Language Relationships Between the Heritage and the Majority Language. Frontiers in Communication 4: 65. [Google Scholar] [CrossRef]
- Papastefanou, Theodora, Theodoros Marinis, and Daisy Powell. 2021. Development of Reading Comprehension in Bilingual and Monolingual Children—Effects of Language Exposure. Languages 6: 166. [Google Scholar] [CrossRef]
- Paradis, Johanne. 2011. Individual Differences in Child English Second Language Acquisition: Comparing Child-Internal and Child-External Factors. Linguistic Approaches to Bilingualism 1: 213–37. [Google Scholar] [CrossRef]
- Paradis, Johanne, and Fred Genesee. 1996. Syntactic Acquisition in Bilingual Children: Autonomous or Interdependent? Studies in Second Language Acquisition 18: 1–25. [Google Scholar] [CrossRef]
- Paradis, Johanne, and Ruiting Jia. 2017. Bilingual Children’s Long-Term Outcomes in English as a Second Language: Language Environment Factors Shape Individual Differences in Catching up with Monolinguals. Developmental Science 20: e12433. [Google Scholar] [CrossRef] [PubMed]
- Pearson, Barbara Zurer. 2002. Narrative Competence among Monolingual and Bilingual School Children in Miami. In Language and Literacy in Bilingual Children. Edited by D. Kimbrough Oller and Rebecca E. Eilers. Clevedon: Multilingual Matters, pp. 135–74. [Google Scholar]
- R Core Team. 2021. R: A Language and Environment for Statistical Computing; Vienna: R Foundation for Statistical Computing. Available online: https://www.R-project.org/ (accessed on 24 June 2022).
- Rinker, Tanja, Theresa Bloder, and Kathleen Plotner. 2022. Italian and German Lexical Development in Italian Heritage Speakers in Kindergarten and Elementary School Settings. Lingue e Linguaggio 21: 53–72. [Google Scholar] [CrossRef]
- Rodina, Yulia. 2017. Narrative Abilities of Preschool Bilingual Norwegian-Russian Children. International Journal of Bilingualism 21: 617–35. [Google Scholar] [CrossRef]
- Schmid, Monika S., and Tuğba Karayayla. 2020. The Roles of Age, Attitude, and Use in First Language Development and Attrition of Turkish–English Bilinguals. Language Learning 70: 54–84. [Google Scholar] [CrossRef]
- Schneider, Phyllis, Rita Vis Dubé, and Denyse Hayward. 2005. The Edmonton Narrative Norms Instrument. Retrieved from University of Alberta Faculty of Rehabilitation Medicine website. Available online: http://www.rehabresearch.ualberta.ca/enni (accessed on 20 June 2023).
- Sorenson Duncan, Tamara, and Johanne Paradis. 2020. How Does Maternal Education Influence the Linguistic Environment Supporting Bilingual Language Development in Child Second Language Learners of English? International Journal of Bilingualism 24: 46–61. [Google Scholar] [CrossRef]
- Statistische Bundesamt Destatis. 2021. Bevölkerung und Erwerberbstätigkeit. Bevölkerung mit Migrationshintergrund. Ergebnisse des Mikrozensus 2021. Available online: https://www.destatis.de/DE/Themen/Gesellschaft-Umwelt/Bevoelkerung/Migration-Integration/Publikationen/Downloads-Migration/migrationshintergrund-endergebnisse-2010220217004.pdf?__blob=publicationFile (accessed on 18 January 2024).
- Stein, Nancy, and Christine Glenn. 1979. An Analysis of Story Comprehension in Elementary School Children: A Test of a Schema. New Directions in DIscourse Processing 2: 53–120. [Google Scholar]
- Treffers-Daller, Jeanine. 2011. Operationalizing and Measuring Language Dominance. International Journal of Bilingualism 15: 147–63. [Google Scholar] [CrossRef]
- Treffers-Daller, Jeanine. 2019. What Defines Language Dominance in Bilinguals? Annual Review of Linguistics 5: 375–593. [Google Scholar] [CrossRef]
- Treffers-Daller, Jeanine, and Tomasz Korybski. 2015. Using Lexical Diversity Measures to Operationalize Language Dominance in Bilinguals. In Language Dominance in Bilinguals: Issues of Measurement and Operationalization. Edited by Carmen Silva-Corvalán and Jeanine Treffers-Daller. Cambridge: Cambridge University Press, pp. 106–33. [Google Scholar] [CrossRef]
- Tribushinina, Elena, Mila Irmawati, and Pim Mak. 2022. Macrostructure in the Narratives of Indonesian-Dutch Bilinguals: Relation to Age and Exposure. Linguistic Approaches to Bilingualism 12: 540–70. [Google Scholar] [CrossRef]
- Uccelli, Paola, and Mariela M. Páez. 2007. Narrative and Vocabulary Development of Bilingual Children From Kindergarten to First Grade: Developmental Changes and Associations Among English and Spanish Skills. Language, Speech, and Hearing Services in Schools 38: 225–36. [Google Scholar] [CrossRef] [PubMed]
- Unsworth, Sharon. 2013. Assessing the Role of Current and Cumulative Exposure in Simultaneous Bilingual Acquisition. The Case of Dutch Gende. Bilingualism: Language and Cognition 16: 86–110. [Google Scholar] [CrossRef]
- Unsworth, Sharon. 2015. Amount of Exposure as a Proxy for Dominance in Bilingual Language Acquisition. In Language Dominance in Bilinguals: Issues of Measurement and Operationalization. Edited by Carmen Silva-Corvalán and Jeanine Treffers-Daller. Cambridge: Cambridge University Press, pp. 156–73. [Google Scholar] [CrossRef]
- Zenker, Fred, and Kristopher Kyle. 2021. Investigating Minimum Text Lengths for Lexical Diversity Indices. Assessing Writing 47: 100505. [Google Scholar] [CrossRef]






| Total | N Female (%) | Mean Age in Years (SD) | N 2L1 | N eL2 (AoO Ger: Mean, SD) | |
|---|---|---|---|---|---|
| Biki6 | 24 | 15 (63%) | 6.5 (0.3) | 15 | 9 (2.75, 1.17) |
| Biki7 | 22 | 11 (50%) | 7.5 (0.3) | 15 | 7 (3.04, 0.80) |
| Biki8 | 18 | 12 (67%) | 8.7 (0.2) | 6 | 12 (2.97, 1.46) |
| Biki9 | 23 | 7 (30%) | 9.5 (0.3) | 14 | 9 (3, 1.71) |
| FORMAL | INFORMAL |
|---|---|
|
|
|
|
| Biki6 (n = 24) | Biki7 (n = 22) | Biki8 (n = 18) | Biki9 (n = 23) | ||
|---|---|---|---|---|---|
| Formal | German | 7.95 (1.5) | 7.81 (1.2) | 6.83 (2.3) | 7.65 (1.4) |
| Italian | 2.20 (1.4) | 2.13 (1.6) | 3.34 (2.3) | 2.38 (1.9) | |
| Informal | German | 5.12 (1.3) | 5.71 (1.9) | 5.26 (1.6) | 5.94 (2) |
| Italian | 5.54 (1.5) | 4.91 (2) | 5.76 (2.1) | 4.87 (2.4) |
| Biki6 (n = 24) | Biki7 (n = 22) | Biki8 (n = 18) | Biki9 (n = 23) | ||
|---|---|---|---|---|---|
| MATTR | German | 0.95 (0.03) | 0.96 (0.02) | 0.96 (0.02) | 0.97 (0.01) |
| Italian | 0.92 (0.03) | 0.92 (0.04) | 0.92 (0.02) | 0.92 (0.03) | |
| Speech rate | German | 1.87 (0.4) | 1.81 (0.5) | 1.98 (0.5) | 2.07 (0.4) |
| Italian | 1.68 (0.4) | 1.43 (0.7) | 1.98 (0.4) | 1.76 (0.5) | |
| MLU | German | 7.37 (1) | 7.45 (1.3) | 8.04 (1.4) | 8.21 (1.3) |
| Italian | 7.49 (1.1) | 7.87 (1.8) | 8.71 (1.6) | 8.46 (1.5) | |
| CI | German | 1.17 (0.2) | 1.16 (0.1) | 1.23 (0.2) | 1.29 (0.2) |
| Italian | 1.20 (0.1) | 1.27 (0.2) | 1.30 (0.1) | 1.30 (0.2) |
| Biki6 (n = 24) | Biki7 (n = 22) | Biki8 (n = 18) | Biki9 (n = 23) | ||
|---|---|---|---|---|---|
| Score B | German | 4.04 (1.4) | 3.50 (2.2) | 5 (2.5) | 5.22 (2.2) |
| Italian | 3.79 (1.9) | 3.59 (1.8) | 4.11 (1.9) | 4.52 (1.9) | |
| Score D | German | 8.96 (1.2) | 9.18 (0.8) | 8.83 (1.2) | 9 (0.9) |
| Italian | 8.55 (1.2) | 8.95 (1) | 9.33 (0.8) | 8.96 (0.7) |
| Biki6 (n = 24) | Biki7 (n = 22) | Biki8 (n = 18) | Biki9 (n = 23) | |
|---|---|---|---|---|
| Formal | 5.75 (2.7) | 5.68 (2.4) | 3.49 (4.5) | 5.27 (3) |
| Informal | −0.42 (2.6) | 0.80 (3.8) | −0.50 (3.6) | 1.07 (4.4) |
| MATTR | 0.02 (0.03) | 0.04 (0.04) | 0.04 (0.03) | 0.05 (0.03) |
| Speech rate | 0.19 (0.6) | 0.37 (0.8) | 0 (0.4) | 0.31 (0.6) |
| MLU | −0.12 (1.1) | −0.42 (1.8) | −0.68 (1.5) | −0.25 (2.1) |
| Complexity Index | −0.04 (0.2) | −0.08 (0.3) | −0.07 (0.3) | −0.01 (0.3) |
| Score B | 0.25 (1.8) | −0.09 (2.8) | 0.89 (2.4) | 0.7 (2.5) |
| Score D | 0.46 (1.0) | 0.23 (1.1) | −0.5 (1.2) | 0.04 (1.1) |
Disclaimer/Publisher’s Note: The statements, opinions and data contained in all publications are solely those of the individual author(s) and contributor(s) and not of MDPI and/or the editor(s). MDPI and/or the editor(s) disclaim responsibility for any injury to people or property resulting from any ideas, methods, instructions or products referred to in the content. |
© 2024 by the authors. Licensee MDPI, Basel, Switzerland. This article is an open access article distributed under the terms and conditions of the Creative Commons Attribution (CC BY) license (https://creativecommons.org/licenses/by/4.0/).
Share and Cite
Piccione, M.; Ferin, M.F.; Furlani, N.; Geiß, M.; Marinis, T.; Kupisch, T. On the Role of Informal vs. Formal Context of Language Experience in Italian–German Primary School Children. Languages 2024, 9, 63. https://doi.org/10.3390/languages9020063
Piccione M, Ferin MF, Furlani N, Geiß M, Marinis T, Kupisch T. On the Role of Informal vs. Formal Context of Language Experience in Italian–German Primary School Children. Languages. 2024; 9(2):63. https://doi.org/10.3390/languages9020063
Chicago/Turabian StylePiccione, Mariapaola, Maria Francesca Ferin, Noemi Furlani, Miriam Geiß, Theodoros Marinis, and Tanja Kupisch. 2024. "On the Role of Informal vs. Formal Context of Language Experience in Italian–German Primary School Children" Languages 9, no. 2: 63. https://doi.org/10.3390/languages9020063
APA StylePiccione, M., Ferin, M. F., Furlani, N., Geiß, M., Marinis, T., & Kupisch, T. (2024). On the Role of Informal vs. Formal Context of Language Experience in Italian–German Primary School Children. Languages, 9(2), 63. https://doi.org/10.3390/languages9020063

