Effects of Flow Spillage Strategies on the Aerodynamic Characteristics of Diverterless Hypersonic Inlets
Abstract
1. Introduction
2. Flow Organization Strategies and Evaluation Methods for Non-Uniform Flow Fields
2.1. Side-Spillage and Central-Spillage Flow Organization Strategies
2.2. Evaluation Methods for Non-Uniform Flow Fields of Bump Inlets
2.2.1. Mass Capture Ratio
- Calculation of φ in uniform inflow conditions (Figure 2: left subplot):
- Calculation of φ in non-uniform inflow conditions (Figure 2: right subplot):
2.2.2. Inlet Start Ability
2.2.3. Compression Efficiency
3. Methodology of Numerical Simulation
3.1. Numerical Method for the External–Internal Flow Fields
3.2. Three-Dimensional-Structured Mesh for Bump Inlet Flow Fields
3.3. Setup for Numerical Simulation
4. Results and Discussion
4.1. Aerodynamic Characteristics under the Cruise Conditions
4.1.1. Compression Efficiency
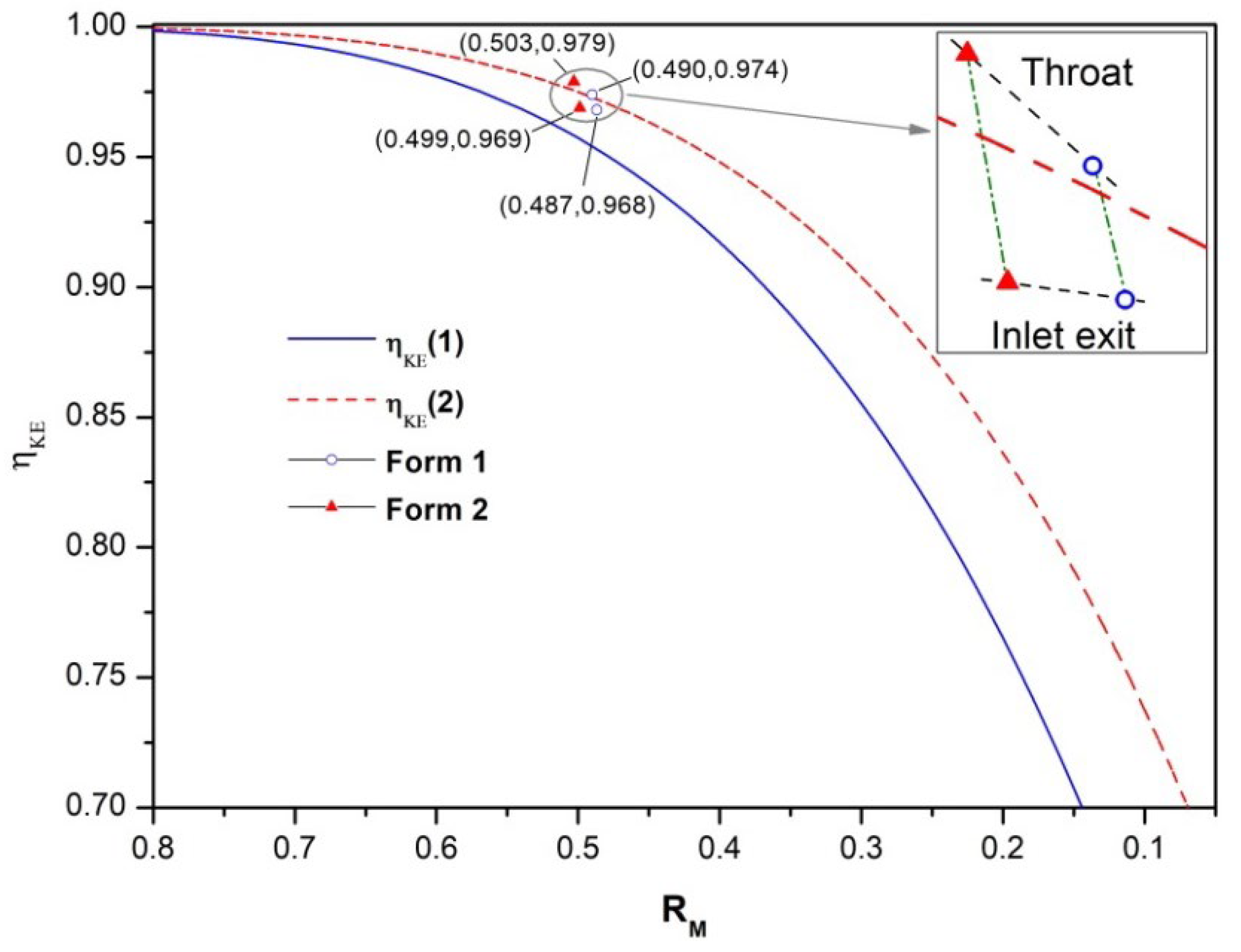
- Comparison of bump inlets with ηKE(1) and ηKE(2) curves:
- ηKE at the throat and exit positions:
4.1.2. Anti-Backpressure Capability
4.2. Aerodynamic Characteristics under a Wide Range of Inflow Speed Conditions
- Spillage ability of two forms at M ∈ [3.0,6.0]:
- Explanation for the εA discrepancy:
- Self-adaptive flow spillage feature of the side-spillage form:
4.3. Impacts of Inflow Conditions on the Compression Efficiency
5. Conclusions
- A more compact configuration: Form 2 is 27.8% lower in height and 28.3% shorter in length. The windward projection area of Form 2 is 34.4% smaller than that of Form 1. The usage of the inlet for Form 2 is 9.8% higher than for Form 1.
- A steadier performance: The maximum backpressure of Form 2 is 4.52% higher than that of Form 1. The aerodynamic characteristics of the two forms are similar under the cruise conditions, while Form 2 shows more steady performance under off-design conditions, e.g., the decreased effective flow path of Form 2 is 41% lower than that of Form 1 at M 5.0–6.0.
- A better start ability: Through establishing a self-adaptive flow spillage feature, Form 2 extends the effective operational Mach range by approximately 250% without any boundary-layer bleeding or variable-geometry techniques.
- A reduced impact on the propulsion system: The wet specific surface area Rwet of Form 2 is 23.5% higher than that of Form 1. As a result, there will be relatively fewer impacts on friction and heat losses for Form 2.
Author Contributions
Funding
Institutional Review Board Statement
Informed Consent Statement
Data Availability Statement
Acknowledgments
Conflicts of Interest
Appendix A. Verification of the k–ε Turbulence Model


References
- Shi, L.; Yang, Y.; Zhao, G.J.; Liu, P.; Zhao, D.; Qin, F.; Wei, X.; He, G. Research and development on inlets for rocket based combined cycle engines. Prog. Aerosp. Sci. 2020, 117, 100639. [Google Scholar] [CrossRef]
- Sziroczak, D.; Smith, H. A review of design issues specific to hypersonic flight vehicles. Prog. Aerosp. Sci. 2016, 84, 1–28. [Google Scholar] [CrossRef]
- Tai, K.; Kanda, T.; Kudou, K.; Murakami, A.; Komuro, T.; Itoh, K. Aerodynamic performance of scramjet inlet models with a single strut. In Proceedings of the 31st Aerospace Sciences Meeting, Reno, NV, USA, 11–14 January 1993. [Google Scholar]
- Ding, F.; Liu, J.; Shen, C.-B.; Huang, W. Novel inlet–airframe integration methodology for hypersonic waverider vehicles. Acta Astronaut. 2015, 111, 178–197. [Google Scholar] [CrossRef]
- Zhao, Z.T.; Huang, W.; Yan, L.; Yang, Y.G. An overview of research on wide-speed range waverider configuration. Prog. Aerosp. Sci. 2020, 113, 100606. [Google Scholar] [CrossRef]
- Roncioni, P.; Natale, P.; Marini, M.; Langener, T.; Steelant, J. Numerical simulations and performance assessment of a scramjet powered cruise vehicle at Mach 8. Aerosp. Sci. Technol. 2015, 42, 218–228. [Google Scholar] [CrossRef]
- Langener, T.; Steelant, J.; Roncioni, P.; Natale, P.; Marini, M. Preliminary Performance Analysis of the LAPCAT-MR2 by means of Nose-to-Tail Computations. In Proceedings of the 18th AIAA/3AF International Space Planes and Hypersonic Systems and Technologies Conference, Tours, France, 24–28 September 2012; p. 5872. [Google Scholar] [CrossRef]
- Bowcutt, K.; Bowcutt, K.; Smith, T.; Smith, T.; Kothari, A.; Kothari, A.; Raghavan, V.; Livingston, J.; Tarpley, C.; Livingston, J. The Hypersonic Space and Global Transportation System: A Concept for Routine and Affordable Access to Space. In Proceedings of the 17th AIAA International Space Planes and Hypersonic Systems and Technologies Conference, Tours, France, 24–28 September 2012. [Google Scholar] [CrossRef]
- Kothari, A.; Livingston, J.; Tarpley, C.; Raghavan, V.; Bowcutt, K.; Smith, T. A Reusable, Rocket and Airbreathing Combined Cycle Hypersonic Vehicle Design for Access-to-Space. In Proceedings of the AIAA SPACE 2010 Conference & Exposition, Anaheim, CA, USA, 30 August–2 September 2010. [Google Scholar] [CrossRef]
- Kothari, A.; Livingston, J.; Tarpley, C.; Raghavan, V.; Bowcutt, K.; Smith, T. Rocket Based Combined Cycle Hypersonic Vehicle Design for Orbital Access. In Proceedings of the 17th AIAA International Space Planes and Hypersonic Systems and Technologies Conference, San Francisco, CA, USA, 11–14 April 2011. [Google Scholar] [CrossRef]
- Walker, S.; Sherk, J.; Shell, D.; Schena, R.; Bergmann, J.; Gladbach, J. The DARPA/AF Falcon Program: The Hypersonic Technology Vehicle #2 (HTV-2) Flight Demonstration Phase. In Proceedings of the 15th AIAA International Space Planes and Hypersonic Systems and Technologies Conference, Dayton, OH, USA, 28 April–1 May 2008. [Google Scholar] [CrossRef]
- Walker, S.; Rodgers, F. Falcon Hypersonic Technology Overview. In Proceedings of the AIAA/CIRA 13th International Space Planes and Hypersonics Systems and Technologies Conference, Capua, Italy, 16–20 May 2005. [Google Scholar] [CrossRef]
- Elvin, J.D. Integrated Inward Turning Inlets and Nozzles for Hypersonic Air Vehicles. U.S. Patent No. 7,866,599, 11 January 2011. [Google Scholar]
- Castrogiovanni, A. Review of “The Scramjet Engine, Processes and Characteristics. AIAA J. 2010, 48, 2173–2174. [Google Scholar] [CrossRef]
- Wang, Y.; Yang, S.; Zhang, D.; Deng, X. Design of Waverider Configuration with High Lift-Drag Ratio. J. Aircr. 2007, 44, 144–148. [Google Scholar] [CrossRef]
- Yu, Z.; Huang, G.; Xia, C.; Huang, H. An Improved Internal-Waverider-Inlet with High External-Compression for Ramjet Engine. In Proceedings of the 20th AIAA International Space Planes and Hypersonic Systems and Technologies Conference, Glasgow, Scotland, 6–9 July 2015. [Google Scholar] [CrossRef]
- Li, Y.; Shi, C.; Zheng, X.; You, Y. Dual Waverider to Integrate External and Internal Flows. J. Aircr. 2019, 57, 428–439. [Google Scholar] [CrossRef]
- Ding, F.; Liu, J.; Shen, C.; Liu, Z.; Chen, S.; Huang, W. Experimental Investigation of a Novel Airframe–Inlet Integrated Full-Waverider Vehicle. AIAA J. 2019, 57, 2964–2976. [Google Scholar] [CrossRef]
- Wartemann, V.; Wagner, A.; Wagnild, R.; Pinna, F.; Miró Miró, F.; Tanno, H.; Johnson, H. High-Enthalpy Effects on Hypersonic Boundary-Layer Transition. J. Spacecr. Rockets 2018, 56, 347–356. [Google Scholar] [CrossRef]
- Riley, Z.B.; McNamara, J.J.; Johnson, H.B. Assessing Hypersonic Boundary-Layer Stability in the Presence of Structural Deformation. AIAA J. 2014, 52, 2547–2558. [Google Scholar] [CrossRef]
- Guo, P.; Gao, Z.; Zhang, Z.; Jiang, C.; Lee, C.-H. Local-Variable-Based Model for Hypersonic Boundary Layer Transition. AIAA J. 2019, 57, 2372–2383. [Google Scholar] [CrossRef]
- Liao, J.-R.; Isaac, K.M.; Miles, J.B.; Tsai, B.-J. Navier-Stokes simulation for cone-derived waverider. AIAA J. 1992, 30, 1521–1528. [Google Scholar] [CrossRef]
- Gridley, M.; Cahill, M. ACIS air induction system trade study. In Proceedings of the 32nd Joint Propulsion Conference and Exhibit, Lake Buena Vista, FL, USA, 1–3 July 1996. [Google Scholar] [CrossRef]
- Yu, Z.; Huang, G.; Xia, C. 3D inverse method of characteristics for hypersonic bump-inlet integration. Acta Astronaut. 2020, 166, 11–22. [Google Scholar] [CrossRef]
- Yu, Z.; Huang, G.; Xia, C. Inverse design and Mach 6 experimental investigation of a pressure controllable bump. Aerosp. Sci. Technol. 2018, 81, 204–212. [Google Scholar] [CrossRef]
- Yu, Z.; Huang, G.; Xia, C.; Sesterhenn, J. A pressure-controllable bump based on the pressure-ridge concept. Aerosp. Sci. Technol. 2019, 87, 133–140. [Google Scholar] [CrossRef]
- Yu, Z.; Huang, G.; Xia, C. Hypersonic pressure-controllable bump based on an improved permeable-boundary method. Aerosp. Sci. Technol. 2021, 119, 107132. [Google Scholar] [CrossRef]
- Zhou, H.; Jin, Z.; Ge, N. Design method for non-axisymmetric generalized internal conical flowfield based on double 3D curved shock waves. Aerosp. Sci. Technol. 2020, 105, 105971. [Google Scholar] [CrossRef]
- Qiao, W.; Yu, A.; Yang, D.; Le, J. Integration design of inward-turning inlets based on forebody shock wave. Hangkong Xuebao/Acta Aeronaut. Astronaut. Sin. 2018, 39, 122078. [Google Scholar]
- Zhou, H.; Jin, Z. A novel approach for inverse design of three-dimensional shock waves under non-uniform flows. Acta Astronaut. 2020, 176, 324–331. [Google Scholar] [CrossRef]
- Liu, J.; Fan, X.; Tao, Y.; Liu, W. Experimental and numerical study on the local unstart mechanism of hypersonic inlet. Acta Astronaut. 2019, 160, 216–221. [Google Scholar] [CrossRef]
- Xie, W.Z.; Yang, W.; Jin, Y.; Yang, S.; Guo, S. Prediction of self-starting limit of two-dimensional supersonic inlets considering viscous effects. Aerosp. Sci. Technol. 2020, 106, 106229. [Google Scholar] [CrossRef]
- Sepahi-Younsi, J.; Feshalami, B.F.; Maadi, S.R.; Soltani, M.R. Boundary layer suction for high-speed air intakes: A review. Proc. Inst. Mech. Eng. Part G—J. Aerosp. Eng. 2019, 233, 3459–3481. [Google Scholar] [CrossRef]
- Tang, H.Y.; Pennycott, A.; Akehurst, S.; Brace, C.J. A review of the application of variable geometry turbines to the downsized gasoline engine. Int. J. Engine Res. 2015, 16, 810–825. [Google Scholar] [CrossRef]
- Wie, D.V. Scramjet inlets. Scramjet Propuls. 2000, 189, 447–511. [Google Scholar]
- Ault, D.A.; Van Wie, D.M. Experimental and computational results for the external flowfield of a scramjet inlet. J. Propuls. Power 1994, 10, 533–539. [Google Scholar] [CrossRef]
- Van Wie, D. Techniques for the measurement of scramjet inlet performance at hypersonic speeds. In Proceedings of the AlAA 4th International Aerospace Planes Conference, Orlando, FL, USA, 1–4 December 1992. [Google Scholar] [CrossRef]
- Van Wie, D.M.; Ault, D.A. Internal flowfield characteristics of a scramjet inlet at Mach 10. J. Propuls. Power 1996, 12, 158–164. [Google Scholar] [CrossRef]
- Zhang, J.; Yuan, H.; Wang, Y.; Huang, G. Experiment and numerical investigation of flow control on a supersonic inlet diffuser. Aerosp. Sci. Technol. 2020, 106, 106182. [Google Scholar] [CrossRef]
- Yu, Z.H.; Huang, G.P.; Wang, R.L.; Musa, O. Spillage-Adaptive Fixed-Geometry Bump Inlet of Wide Speed Range. Aerospace 2021, 8, 340. [Google Scholar] [CrossRef]
- Kong, C.; Zhang, C.; Wang, Z.; Li, Y.; Chang, J. Efficient Prediction of Supersonic Flowfield in an Isolator Based on Pressure Sequence. AIAA J. 2022, 60, 2826–2835. [Google Scholar] [CrossRef]
- Qin, B.; Chang, J.; Jiao, X.; Bao, W. Unstart Margin Characterization Method of Scramjet Considering Isolator–Combustor Interactions. AIAA J. 2015, 53, 493–500. [Google Scholar] [CrossRef]
- Jeong, J.; Hussain, F. On the identification of a vortex. J. Fluid Mech. 2006, 285, 69–94. [Google Scholar] [CrossRef]
- Wang, S.; Zhang, X.; He, G.; Liu, T. Lift enhancement by dynamically changing wingspan in forward flapping flight. Phys. Fluids 2014, 26, 169–230. [Google Scholar] [CrossRef]













| Form | Ltotal | Wbump | Winlet | CRx | Htotal | Szoy | Rinlet | Rwet |
|---|---|---|---|---|---|---|---|---|
| 1 | 3.307 | 1.166 | 0.2 | 0.385 | 0.367 | 0.224 | 0.37 | 0.026 |
| 2 | 2.371 | 1.166 | 0.2 | 0.385 | 0.265 | 0.147 | 0.41 | 0.034 |
| H (km) | M∞ | V (m/s) | P∞ (Pa) | Pd (Pa) |
|---|---|---|---|---|
| 24.0 | 6.0 | 1786.71 | 2930.67 | 73,852.9 |
| 22.9 | 5.5 | 1633.65 | 3487.13 | 73,840.0 |
| 21.7 | 5.0 | 1481.01 | 4218.43 | 73,822.6 |
| 20.3 | 4.5 | 1328.79 | 5205.96 | 73,852.5 |
| 18.8 | 4.0 | 1180.29 | 6594.92 | 73,862.7 |
| 17.1 | 3.5 | 1032.75 | 8615.61 | 73,862.2 |
| 15.2 | 3.0 | 887.93 | 11,652.8 | 73,863.5 |
| 12.9 | 2.5 | 737.68 | 16,882.2 | 73,849.5 |
| 10.0 | 2.0 | 598.79 | 26,372.6 | 73,843.0 |
| Form | πb | M∞ | Status | φ | Mexit | σ | RM | ηKE |
|---|---|---|---|---|---|---|---|---|
| 1 | 1.0 | 6.0 | Start | 0.745 | 2.94 | 0.48 | 0.487 | 0.968 |
| 1 | 18.5 | 6.0 | Start | 0.745 | 2.86 | 0.45 | 0.473 | 0.966 |
| 1 | 37.9 | 6.0 | Start | 0.745 | 2.30 | 0.36 | 0.380 | 0.954 |
| 1 | 61.8 | 6.0 | Start | 0.737 | 1.71 | 0.23 | 0.283 | 0.930 |
| 1 | 64.9 | 6.0 | Start | 0.746 | 1.65 | 0.25 | 0.273 | 0.934 |
| 1 | 83.3 | 6.0 | Start | 0.734 | 1.48 | 0.25 | 0.245 | 0.933 |
| 1 | 89.3 | 6.0 | Start | 0.740 | 1.32 | 0.20 | 0.218 | 0.920 |
| 1 | 99.6 | 6.0 | Start | 0.763 | 1.11 | 0.16 | 0.183 | 0.907 |
| 1 | 105.0 | 6.0 | Unstart | 0.031 | - | - | - | - |
| 2 | 1.0 | 6.0 | Start | 0.748 | 3.02 | 0.49 | 0.499 | 0.969 |
| 2 | 15.6 | 6.0 | Start | 0.748 | 2.90 | 0.44 | 0.479 | 0.964 |
| 2 | 32.7 | 6.0 | Start | 0.748 | 2.90 | 0.44 | 0.479 | 0.964 |
| 2 | 57.0 | 6.0 | Start | 0.746 | 1.97 | 0.35 | 0.326 | 0.952 |
| 2 | 76.4 | 6.0 | Start | 0.748 | 1.97 | 0.29 | 0.326 | 0.942 |
| 2 | 85.6 | 6.0 | Start | 0.748 | 1.73 | 0.25 | 0.286 | 0.933 |
| 2 | 100.6 | 6.0 | Start | 0.748 | 1.24 | 0.15 | 0.205 | 0.904 |
| 2 | 104.1 | 6.0 | Start | 0.747 | 1.12 | 0.14 | 0.185 | 0.899 |
| 2 | 110.0 | 6.0 | Unstart | 0.023 | - | - | - | - |
| Form | M∞ | Status | σ | φspillage | εA | εM | επ | ηKE |
|---|---|---|---|---|---|---|---|---|
| 1 | 6.0 | Start | 0.48 | 0 | 53.7% | 0.514 | 4.307 | 0.968 |
| 1 | 5.0 | Start | 0.51 | 8.80% | 47.7% | 0.518 | 3.678 | 0.958 |
| 1 | 4.0 | Unstart | - | - | - | - | - | - |
| 2 | 6.0 | Start | 0.49 | 0 | 53.4% | 0.528 | 4.894 | 0.969 |
| 2 | 5.0 | Start | 0.53 | 9.50% | 49.9% | 0.534 | 3.457 | 0.961 |
| 2 | 4.0 | Start | 0.45 | 26.80% | 39.6% | 0.598 | 2.952 | 0.921 |
| 2 | 3.5 | Start | 0.53 | 32.10% | 36.5% | 0.608 | 2.633 | 0.920 |
| 2 | 3.0 | Start | 0.64 | 38.60% | 34.0% | 0.654 | 2.447 | 0.927 |
| 2 | 2.5 | Start | 0.75 | 54.60% | 33.3% | 0.821 | 2.181 | 0.933 |
| 2 | 2.0 | Unstart | - | - | - | - | - | - |
Publisher’s Note: MDPI stays neutral with regard to jurisdictional claims in published maps and institutional affiliations. |
© 2022 by the authors. Licensee MDPI, Basel, Switzerland. This article is an open access article distributed under the terms and conditions of the Creative Commons Attribution (CC BY) license (https://creativecommons.org/licenses/by/4.0/).
Share and Cite
Yu, Z.; Huang, H.; Wang, R.; Lei, Y.; Yan, X.; Jin, Z.; Musa, O.; Huang, G. Effects of Flow Spillage Strategies on the Aerodynamic Characteristics of Diverterless Hypersonic Inlets. Aerospace 2022, 9, 771. https://doi.org/10.3390/aerospace9120771
Yu Z, Huang H, Wang R, Lei Y, Yan X, Jin Z, Musa O, Huang G. Effects of Flow Spillage Strategies on the Aerodynamic Characteristics of Diverterless Hypersonic Inlets. Aerospace. 2022; 9(12):771. https://doi.org/10.3390/aerospace9120771
Chicago/Turabian StyleYu, Zonghan, Huihui Huang, Ruilin Wang, Yuedi Lei, Xueyang Yan, Zikang Jin, Omer Musa, and Guoping Huang. 2022. "Effects of Flow Spillage Strategies on the Aerodynamic Characteristics of Diverterless Hypersonic Inlets" Aerospace 9, no. 12: 771. https://doi.org/10.3390/aerospace9120771
APA StyleYu, Z., Huang, H., Wang, R., Lei, Y., Yan, X., Jin, Z., Musa, O., & Huang, G. (2022). Effects of Flow Spillage Strategies on the Aerodynamic Characteristics of Diverterless Hypersonic Inlets. Aerospace, 9(12), 771. https://doi.org/10.3390/aerospace9120771
