Effect of a Circular Slot on Hybrid Airship Aerodynamic Characteristics
Abstract
1. Introduction
2. Airship Model and Configuration Feature
3. Details of Computational Methodology
3.1. Meshing
3.2. Simulation Method
3.3. Computational Domain
3.4. Grid Independence Study
4. Result and Discussion
4.1. Pressure Characteristics over an Airship
4.2. Analysis of the Aerodynamic Parameters
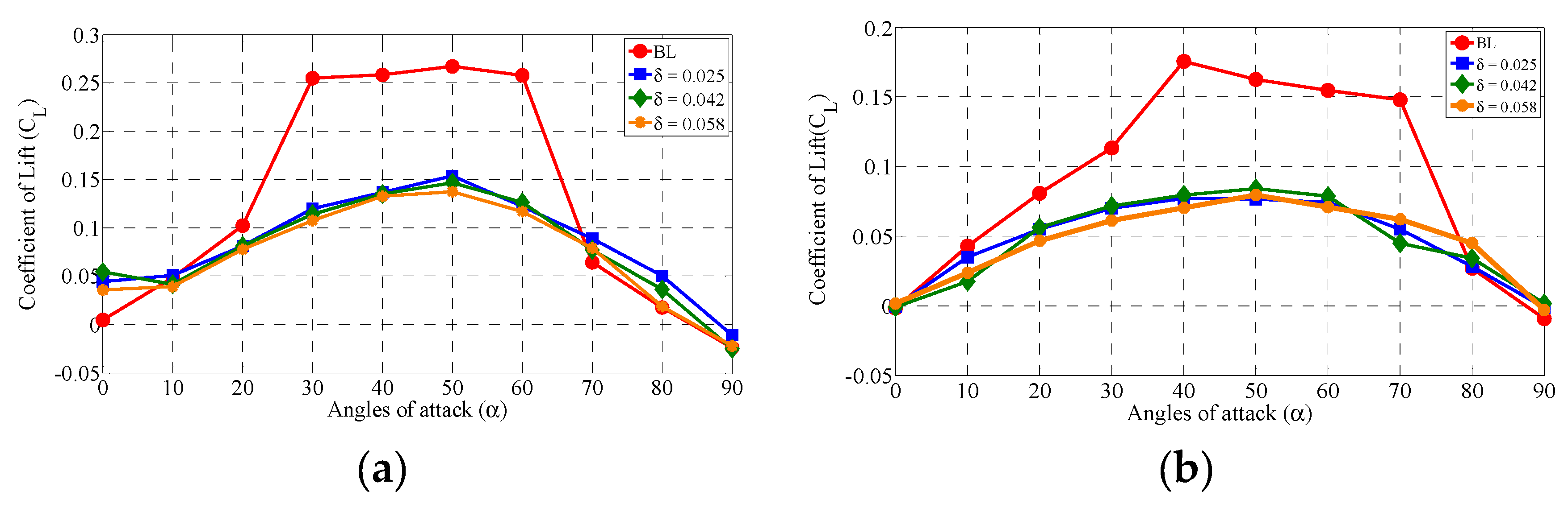
4.2.1. Lift and Drag
4.2.2. Effect of Crosswind on Airship V∞
4.2.3. An Effect of the Slot Opening and Flow Topology
5. Conclusions
- The introduction of the slot openings made the stall angle increase by 10%, from α = 40° for the baseline model to α = 50° for the slotted models, except for the model δ = 0.041, which showed the same separation point as the baseline.
- When the flow passes through the slots, it increases the momentum on the upper surface and hence leads to a delay of the flow separation, which decreases the drag.
- An increase in circular slot ratio modifies the pressure distribution significantly, such that it contributes to enhancing the aerodynamic characteristics of hybrid airships.
- Considering all parameters, the circular slot ratios of δ = 0.025 and δ = 0.0583 were observed to perform better as compared to the baseline model and the model with δ = 0.0416.
- The flow topology shows that before stalling, the flow from the pressure side to the suction side of the hybrid airship through the slot is smooth. It becomes irregular and chaotic in the after-stall region of angle of attack α = 60°, as observed.
Author Contributions
Funding
Institutional Review Board Statement
Informed Consent Statement
Acknowledgments
Conflicts of Interest
References
- Dumas, A.; Trancossi, M.; Madonia, M.; Giuliani, I. Multibody advanced airship for transport. SAE Tech. Pap. 2011. [Google Scholar] [CrossRef]
- Ma, D.; Li, G.; Yang, M.; Wang, S.; Zhang, L. Shape optimization and experimental research of near space airship. Proc. Inst. Mech. Eng. Part G J. Aerosp. Eng. 2019, 233, 3589–3602. [Google Scholar] [CrossRef]
- Kale, S.M.; Joshi, P.; Pant, R.S. A generic methodology for determination of drag coefficient of an aerostat envelope using CFD. In Proceedings of the Collection of Technical Papers—AIAA 5th ATIO and the AIAA 16th Lighter-than-Air Systems Technology Conference and Balloon Systems Conference, Arlington, VA, USA, 26–28 September 2005; Volume 3, pp. 1361–1376. [Google Scholar] [CrossRef]
- Zhao, S.; Liu, D.; Zhao, D.; Wu, G.; Yin, S.; Zhou, P. Change rules of a stratospheric airship’s envelope shape during ascent process. Chin. J. Aeronaut. 2017, 30, 752–758. [Google Scholar] [CrossRef]
- Andan, A.D.; Asrar, W.; Omar, A.A. Investigation of aerodynamic parameters of a hybrid airship. J. Aircr. 2012, 49, 658–661. [Google Scholar] [CrossRef]
- Launder, B.E.; Spalding, D.B. The numerical computation of turbulent flow computer methods. Comput. Methods Appl. Mech. Eng. 1974, 3, 269–289. [Google Scholar] [CrossRef]
- Sun, X.Y.; Li, T.E.; Lin, G.C.; Wu, Y. A study on the aerodynamic characteristics of a stratospheric airship in its entire flight envelope. Proc. Inst. Mech. Eng. Part G J. Aerosp. Eng. 2018, 232, 902–921. [Google Scholar] [CrossRef]
- Cimarelli, A.; Madonia, M.; Angeli, D.; Dumas, A. Aerodynamic study of advanced airship shapes. J. Aerosp. Eng. 2017, 30, 04016087. [Google Scholar] [CrossRef]
- Fei, X.; Zhengyin, Y. Drag reduction for an airship with proper arrangement of propellers. Chin. J. Aeronaut. 2009, 22, 575–582. [Google Scholar] [CrossRef]
- Wang, X.L. Investigation of the drag characteristics of stratosphere airships for different cusp shapes. J. Aircr. 2012, 49, 151–160. [Google Scholar] [CrossRef]
- Xin-kai, L.; Wei, L.; Ting-jun, Z.; Pei-ming, W.; Xiao-dong, W. Analysis of the effect of vortex generator spacing on boundary layer flow separation control. Appl. Sci. 2019, 1, 5495. [Google Scholar] [CrossRef]
- Liu, P.; Fu, G.Y.; Zhu, L.J.; Wang, X.L. Aerodynamic characteristics of airship Zhiyuan-1. J. Shanghai Jiaotong Univ. Sci. 2013, 18, 679–687. [Google Scholar] [CrossRef]
- Dumas, A.; Trancossi, M.; Madonia, M.; Pascoa, J.; Ilieva, G.; Coppola, A. CFD analysis and optimization of a variable shape airship. In Proceedings of the ASME International Mechanical Engineering Congress and Exposition, Proceedings (IMECE), Houston, TX, USA, 9–15 November 2012; Volume 7, pp. 161–166. [Google Scholar] [CrossRef]
- Ram, C.V.; Pant, R.S. Multidisciplinary shape optimization of aerostat envelopes. J. Aircr. 2010, 47, 1073–1076. [Google Scholar] [CrossRef]
- IrfanAlam, M.; Pant, R.S. A methodology for conceptual design and optimization of a high altitude airship. In Proceedings of the AIAA Lighter-Than-Air Systems Technology (LTA) Conference, Daytona Beach, FL, USA, 1–8 March 2013. [Google Scholar] [CrossRef]
- Lutz, T.; Wagner, S. Drag reduction and shape optimization of airship bodies. In Proceedings of the 12th Lighter-Than-Air Systems Technology Conference, San Francisco, CA, USA, 3–5 June 1997; Volume 35, pp. 200–210. [Google Scholar] [CrossRef]
- Funk, P.; Lutz, T.; Wagner, S. Experimental investigations on hull-fin interferences of the LOTTE airship. Aerosp. Sci. Technol. 2003, 7, 603–610. [Google Scholar] [CrossRef]
- Ceruti, A.; Voloshin, V.; Marzocca, P. Heuristic algorithms applied to multidisciplinary design optimization of unconventional airship configuration. J. Aircr. 2014, 51, 1758–1772. [Google Scholar] [CrossRef]
- Verma, A.R.; Sagar, K.K.; Priyadarshi, P. Optimum buoyant and aerodynamic lift for a lifting-body hybrid airship. J. Aircr. 2014, 51, 1345–1350. [Google Scholar] [CrossRef]
- Zhang, L.; Lv, M.; Meng, J.; Du, H. Optimization of solar-powered hybrid airship conceptual design. Aerosp. Sci. Technol. 2017, 65, 54–61. [Google Scholar] [CrossRef]
- Chen, G.; Chen, B.; Li, P.; Bai, P.; Ji, C. Study of aerodynamic configuration design and wind tunnel test for solar powered buoyancy-lifting vehicle in the near-space. Procedia Eng. 2015, 99, 67–72. [Google Scholar] [CrossRef]
- Yang, Y.; Xu, X.; Zhang, B.; Zheng, W.; Wang, Y. Bionic design for the aerodynamic shape of a stratospheric airship. Aerosp. Sci. Technol. 2020, 98, 105664. [Google Scholar] [CrossRef]
- Atmeh, G.; Subbarao, K. Guidance, navigation and control of unmanned airships under time-varying wind for extended surveillance. Aerospace 2016, 3, 8. [Google Scholar] [CrossRef]

















| Model | Analysis Technique | Observation | References |
|---|---|---|---|
| Conventional airship | Mathematical modeling | Shape optimization and drag reduction | [15] |
| LOTTE airship | Experimental | Measurement of the integral force and moment coefficient behaviors | [16] |
| Conventional airship | Numerical | Optimization procedure to reduce drag | [3] |
| GNVR envelope shape | Mathematical modeling | GA optimization algorithm technique Aerodynamic parameter and payload capacity. | [13] |
| Hybrid airships | Experimental | Increased longitudinal stability and aerodynamic efficiency | [5] |
| Unconventional airship | Mathematical modeling | Increased aerodynamic efficiency and stability factor | [17] |
| Hybrid airship | Numerical | Optimum buoyant lift and aerodynamic lift | [18] |
| Hybrid airship | Numerical | GA optimization algorithm technique Payload capacity and buoyancy ratio | [19] |
| Discoid airship with circular openings | Numerical Analysis | Stall delay and stability factor | [7] |
| ZHIYUAN-1 airship | Experimental | An aerodynamic coefficient almost doubled Reduction of drag | [6] |
| Spherical shape | Numerical | Higher efficiency and additional life | [20] |
| Conventional airship | Numerical | Airship shape designed by using morphological imitation for better aerodynamic efficiency | [21] |
| Conventional airship | Mathematical modeling | Waypoint navigation for surveillance | [22,23] |
| Position | Condition |
|---|---|
| Inlet | Uniform velocity V∞ = 5 m/s |
| Model | Hybrid airship model with and without slot |
| Outlet | Pressure outlet |
| Lateral Direction | Symmetry |
Publisher’s Note: MDPI stays neutral with regard to jurisdictional claims in published maps and institutional affiliations. |
© 2021 by the authors. Licensee MDPI, Basel, Switzerland. This article is an open access article distributed under the terms and conditions of the Creative Commons Attribution (CC BY) license (https://creativecommons.org/licenses/by/4.0/).
Share and Cite
Mano, S.; Ajay Sriram, R.; Vinayagamurthy, G.; Pillai, S.N.; Pasha, A.A.; Reddy, D.S.K.; Rahman, M.M. Effect of a Circular Slot on Hybrid Airship Aerodynamic Characteristics. Aerospace 2021, 8, 166. https://doi.org/10.3390/aerospace8060166
Mano S, Ajay Sriram R, Vinayagamurthy G, Pillai SN, Pasha AA, Reddy DSK, Rahman MM. Effect of a Circular Slot on Hybrid Airship Aerodynamic Characteristics. Aerospace. 2021; 8(6):166. https://doi.org/10.3390/aerospace8060166
Chicago/Turabian StyleMano, Sekar, RadhaKrishnan Ajay Sriram, Ganesan Vinayagamurthy, Subramania Nadaraja Pillai, Amjad Ali Pasha, Dwarshala Siva Krishna Reddy, and Mustafa Mutiur Rahman. 2021. "Effect of a Circular Slot on Hybrid Airship Aerodynamic Characteristics" Aerospace 8, no. 6: 166. https://doi.org/10.3390/aerospace8060166
APA StyleMano, S., Ajay Sriram, R., Vinayagamurthy, G., Pillai, S. N., Pasha, A. A., Reddy, D. S. K., & Rahman, M. M. (2021). Effect of a Circular Slot on Hybrid Airship Aerodynamic Characteristics. Aerospace, 8(6), 166. https://doi.org/10.3390/aerospace8060166

