Next Article in Journal
Anti-Icing System Performance Prediction Using POD and PSO-BP Neural Networks
Next Article in Special Issue
Identification of High-Order Linear Time-Invariant Models from Periodic Nonlinear System Responses
Previous Article in Journal
Tailoring 3D Star-Shaped Auxetic Structures for Enhanced Mechanical Performance
Previous Article in Special Issue
Influence of Rotor Inflow, Tip Loss, and Aerodynamics Modeling on the Maximum Thrust Computation in Hover
 
 
Font Type:
Arial Georgia Verdana
Font Size:
Aa Aa Aa
Line Spacing:
Column Width:
Background:
Article

Gaze Movements of Helicopter Pilots during Real and Simulated Take-Off and Landing Maneuvers

1
German Aerospace Center (DLR), Institute of Flight Systems, 38108 Braunschweig, Germany
2
German Aerospace Center (DLR), Institute of Flight Guidance, 38108 Braunschweig, Germany
*
Author to whom correspondence should be addressed.
Aerospace 2024, 11(6), 429; https://doi.org/10.3390/aerospace11060429
Submission received: 8 March 2024 / Revised: 2 May 2024 / Accepted: 20 May 2024 / Published: 24 May 2024
(This article belongs to the Special Issue Vertical Lift: Rotary- and Flapping-Wing Flight)

Abstract

Most accidents and serious incidents of commercial air transport helicopters occur during standard flight phases, whereby a main cause is pilots’ situational awareness. Enabling pilots to better assess their situational awareness can make an important contribution in reducing the risk of fatal accidents. One approach is to examine a pilot’s gaze behavior with the help of eye tracking. This paper reports the results of a case study with eye tracking measurements during real flight and simulator studies of a standard mission profile. The general gaze behavior is characterized by a dominant, external view, and the airspeed and altitude indicator as the most important flight instruments. A real-world applicability of gaze data obtained in the simulator could be shown.

1. Introduction

More than a quarter of all accidents and serious incidents involving helicopters are associated with Human Factors (HF) and Human Performance (HP) issues, labeled as personnel occurrences in the European Co-ordination Centre for Accident and Incident Reporting Systems (ECCAIRS) taxonomy. A total of 44% of the issues are related to situational awareness and sensory events, which indicates the helicopter pilot as an important factor in preventing those undesired events [1]. Research is dealing with the optimization of pilot assistance, e.g., head-mounted display [2] or tactile cueing [3], to provide a better support to pilots.
Accidents and serious incidents of commercial air transport helicopters mainly occur during standard flight phases especially during the en-route and approach/landing phase, where over 50% of all incidents happen. This includes offshore operations and Helicopter Emergency Medical Service (HEMS) operations [1]. In order to efficiently achieve an improvement in reducing HF- and HP-related accidents and serious incidents, it is important to investigate the human–machine interaction during standard flight phases, e.g., by analyzing helicopter pilots’ gaze behavior. The knowledge of when the pilot needs which specific information is the basis for designing pilot assistance systems. Furthermore, it is necessary to enable the pilot to assess her/his own gaze behavior in order to improve her/his situational awareness and reduce the risk of serious incidents.
Eye tracking is already performed in a wide variety of domains, e.g., automotive [4,5,6], trains [7,8], or cockpits [9,10,11,12]. However, it is surprising that analyzing gaze movements is not yet state-of-the-art in helicopter pilot assistance systems research. Due to a clear implementation of the experimental design, the majority of eye tracking studies are performed in artificial environments, e.g., simulations. Performing eye tracking in aircraft or helicopter cockpits has a long history. Glaholt [13], for example, analyzes 78 studies between 1949 and 2013. A total of 64 of these studies were performed in a cockpit training device or high fidelity simulator. According to Glaholt [13], a high fidelity simulator allows the implementation of different scenarios with the same visual cues for each participant without unexpected disturbances that influence the visual attention. Additionally, the high fidelity simulator has the advantage of the same lighting during the experiment, which is an influential factor for eye tracking glasses. A total of 78 studies are connected to eye tracking in the cockpit. Helicopter cockpits are represented with only 5 studies. Later on, Ziv [14] came to the same conclusion that there is a gap in knowledge because many studies investigated fixed-wing pilots’ gaze behavior, whereas only a few studies dealt with helicopter pilots’ gaze movements. Until today, mostly eye tracking results during simulated flights are known [9,10,11,12,14].
In an earlier simulator study, take-off and landing maneuvers were conducted in [12] on a terrain (easy task) and a ship deck at sea (difficult task). Expert pilots looked more Out-the-Window (OTW) than Inside-the-Cockpit (ITC) during the easy task, whereas they looked more ITC than OTW while performing the difficult task. In comparison with novice pilots, this gaze behavior was more pronounced. The author suggested that expert pilots rely more on their flight instruments once the environment provides little or poor visual cues. Even if this should be a standard operating procedure, this has not yet been proven by eye tracking data. During a low-altitude flight task between 100 ft and 300 ft, expert pilots looked more ITC to better maintain the required Altitude (ALT) than novice pilots [9]. Rainieri et al. [10] compared mental workload and visual scanning techniques of novice and expert pilots during a ship deck landing task with different environmental conditions (e.g., weather, sea state). The ITC/OTW distributions were in line with the results of earlier studies. The environmental conditions had an influence on pilots’ performance and the fixation duration. Results of pilots’ questionnaire showed a mismatch between a pilot’s self-awareness and measured gaze movements [10,12].
The German Aerospace Center (DLR) is dealing with the integration of eye tracking into the Air Vehicle Simulator (AVES) (see Figure 1) and the research helicopter Active Control Technology/Flying Helicopter Simulator (ACT/FHS) [15]. First, flight tests in a real-world environment with DLR’s research helicopter BO105 were already conducted and demonstrated the successful measurement of eye movements during a real helicopter flight [16]. The results indicate a strong pilot and maneuver depending on gaze movement behavior. However, with the combination of gaze distribution and flight performance, it was still possible to allocate a suitable gaze movement strategy for the investigated maneuver. The results also show that it is not sufficient to describe the pilot experience only by flight hours. The authors recommend extending the database with different standard maneuvers and a replication of real helicopter flights in a simulator environment to investigate a real-world applicability of earlier simulator studies [9,10,12].
This paper, which has already been presented in a similar form in [17], presents the results of eye tracking measurements during real and simulated flight tests based on a standard mission profile. The aim of this case study is to provide initial approaches to describe the general gaze behavior of helicopter pilots during standard flight phases. In the long term, this case study should help to get a better insight into the pilot’s information demand and to provide a better support in the future by means of different pilot assistance systems. The results of real flight tests and fixed-based/motion simulator studies are used to evaluate a real-world applicability of gaze data obtained in the simulator. It is also going to be investigated whether there are differences between fixed-based and motion simulation in the pilot’s information gathering process. Previous studies indicated a mismatch between the pilots’ self-awareness and measured gaze movements. To further substantiate these findings about gaze distribution, workload, and demographic questions, pilots’ questionnaires are going to be distributed that are going to be related to the measured gaze movements and flight performances. During the simulator studies, different workload scales were used in an online and tailor-made questionnaire to evaluate the suitability of the workload scales for use during real flight tests.
This paper has the following structure: First, a theoretical background is given before the applied methodology is going to be presented. This includes details about the participating pilots, a maneuver description, a presentation of the used eye tracker, helicopter and simulator facility, and the procedure of the test series. Afterwards, the results are going to be outlined briefly and discussed later on. Finally, conclusions are going to be drawn, and an outlook for future work is given.

2. Theoretical Background

Eye tracking methodology combines the measurement of the eye motion and the source of information that the eye is focused on [18]. Duchowski [19] describes the process of calculating the eye’s gaze vector and combining it with the environment in order to analyze the process of information gathering. The result is an accurate estimation of the visual attention that an operator has while interacting with an environment. In addition to the environment, eye tracking is typically combined with a specific task that the operator has to perform. Then, the eye tracking analysis provides visual attention or the order of information gathering during the operator’s interaction with the environment [20].
Recording gaze movements can be performed in several ways, e.g., by recording the operator’s eyes via cameras and estimating the operator’s view, so-called gaze point. If gaze points are close together in time and space, it is assumed that they represent a place of the operator’s visual attention, so-called fixation. The phases of movements between two fixations are called saccades. Furthermore, gaze points can be classified as smooth pursuits, microsaccades, or blinks [21], which are not considered in this paper. To identify fixations and saccades, different algorithms can be used, e.g., velocity-, area-, or dispersion-based [22]. Afterwards, the fixations are linked to Areas of Interest (AOIs), where each AOI is characterized by a specific information. The environment can be subdivided coarsely or finely for this purpose as desired, e.g., ITC/OTW, the Primary Flight Display (PFD), or the Vertical Speed Indicator (VSI). This process of classifying gaze points and linking them to AOIs is important to describe the information gathering and extraction process of an operator. In this context, the eye–mind assumption by [23] presumed that there is no lag between the information by a fixated object and what has been cognitively processed. Although fixations and visual attention are coupled as well as saccades and the change of visual attention, shifting attention already starts before fixation ends [24]. Thus, the eye–mind assumption has to be questioned because visual attention and fixation are not perfectly coupled. Because of the different cognitive processes that could take place during a fixation, it is advisable to divide fixations according to their duration. Galley et al. [25] divided fixations into four different categories: short, express, cognitive, and very long fixations. Short and express fixations, where only simple cognitive processes take place, are characterized by a duration below 150 ms. Between 150 ms and 900 ms, cognitive processes are knowingly carried out. Above 900 ms, more than one fixation can be detected. The fixation duration distribution is normally highly left-shifted. For a comparison between different data sets, the authors recommend using the modal value, which is about 190 ms for adults.
The application of eye measurement in a high fidelity simulator is classified as an objective measurement of visual attention. As support of the objective measurement and the interpretation of the results, additional measures fitting to the experimental setting should be selected. Therefore, eye tracking measurement in the helicopter simulator includes the pilot handling of the aircraft, the influence of motion, and the perceived workload during the task [16]. The established handling quality rating by Cooper and Harper [26] is a 10-point rating scale built as a decision tree. The participant starts in the bottom-left corner and is led into the specific branches through answering questions, which coarsely divides the scale into four different levels. Afterwards, each rating is combined with a statement that the pilot has to compare with his/her impression to give a numerical rating. The Cooper–Harper Scale built the basis for several rating scales. Since its development, the scale was adapted to be used in multiple similar task environments, e.g., UAV control [27,28] or air traffic control [29,30]. Hodge et al. [31] adapted the Cooper–Harper Scale to evaluate a pilot’s perception of motion cues. Workload can be determined online (while the participant is performing the task) or offline (after the participant has completed the task). Common representatives to measure workload [32] are for online: Instant Self Assessment (ISA) [33] or NASA-TLX [34]. ISA is a questionnaire with a 5-point Likert scale from 1 (underutilized) and 3 (comfortable) to 5 (excessive) [33]. As an offline workload questionnaire, the Bedford Workload Rating (BWR) Scale [35], which is also based on the Cooper–Harper Scale and NASA-TLX, can be used.

3. Methodology

The case study presented in this paper contains three test series. The developed maneuver was repeated in a real flight test and in the simulator with and without motion. In this section, the participating pilots, the maneuver, and the procedure are going to be described in detail.

3.1. Participants

During the study, four different pilots participated (see Table 1). At least three pilots participated in each test series. Pilot A is a well-trained experimental test pilot and very familiar with BO105 and EC135 (flight hours above 1000 h). Pilot B, who participated in the simulator test series with and without motion, holds the pilot license only for a short time and has no experience with EC135 or any turbo-shaft-driven helicopter. Pilot C is a retired professional pilot and also very familiar with BO105 and EC135 (flight hours above 1000 h). However, he is not used to research flight tests. Pilot A and C participated in every test series of this study. Pilot D, who only performed the real flight tests, is familiar with research flight tests and with BO105 and EC135 (flight hours below 1000 h).

3.2. Maneuver

A simplified standard mission profile was developed, which is most representative for a typical helicopter flight. According to Figure 2, it was divided into Take-off (TA), Departure (DE), En-Route (ER), Approach (AP), and Landing (LA), which covers the most dangerous flight phases [1]. The transition point between TA and DE, respectively, AP and LA, was defined as Take-off-Decision-Point (TDP) and Landing-Decision-Point (LDP), which can be found in the flight manual [36,37]. Table 2 shows the definition of TDP and LDP for a normal procedure of a BO105 and an EC135. The flight phase ER can be abstracted as a stationary forward flight outside an obstacle-containing environment. A similar one applies for the flight phases DE and AP that can be described as stationary climb and descent outside an obstacle-containing environment. To transfer the selected mission profile into an experimental setup that is repeatable and feasible in a real-world environment and in the simulator, Figure 3 shows a top–down view of the flight path of the study at Braunschweig Airport (EDVE). The flight phases are labeled, and the flight phase ER is defined as the route between the control points WHISKEY 2 and NOVEMBER 1 on the way out of the control zone. The pilots’ flight task was to perform a Standard CAT A landing and take-off at runway 26. Afterwards, the pilots should climb until an ALT of about 1500 ft Above Sea Level (ASL) was reached and accelerate to a 100 kt Indicated Airspeed (IAS).

3.3. Apparatus

The gaze movements were recorded with the wearable eye tracker Pro Glasses 3 by Tobii and is shown in Figure 4. It consists of a man-borne recording unit, which is not depicted, and the glasses itself. For the eye movement recording, Tobii uses an improved Pupil Centre Corneal Reflection (PCCR) [39] eye tracking technique. The pilot’s eyes are illuminated by 16 infrared illuminators and recorded by 4 infrared cameras in a stereo geometry, dark pupil tracking process. In combination with the scene camera, the glasses cover a Field-of-View (FoV) of about 106° diagonal and 95° horizontal with a sampling rate of 50 Hz and an accuracy of 0.6° according to general information of the manufacturer [40]. After recording the eye movements, raw data were processed with the Tobii Pro Lab Software, Version 1.181.37603 (x64) to merge the data with the video and to detect fixations and saccades. It therefore uses a velocity threshold filter [41] with a threshold value of 100°/s that discards all fixations below 60 ms and merges two fixations within a timespan of 75 ms and a maximum angle below 0.5°. Afterwards, each identified fixation was manually reviewed and corrected if necessary.
The real flight tests were conducted with DLR’s research helicopter BO105 (D-HDDP) (Messerschmitt-Bölkow-Blohm (MBB), Ottobrunn, Germany). This helicopter is a very agile, light utility helicopter from the early 1960s and equipped with the electronic flight display Garmin G500H TXi (Garmin Ltd., Olathe, KS, USA), which is unique for this helicopter type. However, BO105 is not equipped with a flight test data recording system; that is why a hybrid data acquisition setup was realized. In post-flight analysis, the low-frequency, high-accuracy data from the electronic flight display were fused with the high-frequency, low-accuracy data of a smartphone via an Unscented Kalman Filter (UKF). The Commercial off-the-Shelf (COTS) mid- to high-end smartphone of the type Samsung Galaxy S20 FE was used for data recording and was temporarily installed on top of the backseat. This low-cost approach of a flight test data recording system is further described in [16].
The test series in the simulator were conducted at AVES with and without motion, which is DLR’s research flight simulation facility in Braunschweig [42]. The simulator offers a fixed-based platform or a full-sized six-degrees-of-freedom electro-pneumatic hexapod motion platform, also called Stewart–Gough platform, which was introduced by [43]. The AVES motion platform limits are shown in [44]. The cockpits, which are replicas of, e.g., A320 ATRA, EC135 ACT/FHS, or a generic single-aisle passenger cabin, are interchangeable via a roll-on/roll-off system. For the ACT/FHS replica, the FoV is about −53° to 40° vertically and 240° horizontally. The total resolution was measured to be at least 4.9 arc-min/OLP with a resolution per projector of about 2560 × 1600 px. In total, nine projectors of the type Barco FL40 MKII (Barco, Kortrijk, Belgium) were installed, which will also allow a 4K resolution in the future. The brightness of the projection system is about 35 cd/m2, and the contrast ratio is about 9:1. According to the requirements for helicopter full flight simulators by [45], a Level-D certification of AVES would be possible. Especially the FoV is far above the certification requirements of 176° horizontally and 56° vertically.
The helicopter cockpit at AVES, which was used for the simulator test series, is a replica of DLR’s research helicopter ACT/FHS and is further described in [46]. It is a highly modified EC135 that features a full-authority fly-by-wire/fly-by-light flight control system, which offers the opportunity for in-flight simulation. All flight test data are stored at the experimental system that is duplicated at AVES. During the simulator test series, the real-time non-linear helicopter model HeliWorX was used to calculate the helicopter flight dynamics. It is based on the helicopter model SIMH [47] and has been adapted to represent the ACT/FHS that is further described in [48].

3.4. Procedure

The flight tests with BO105 in a real-world environment were conducted in October 2021, and the flight tests in the fixed-based and motion simulator were conducted in May until December 2022. The fixed-based study with Pilot D was conducted in July 2023. During real flight tests, all pilots faced comparable weather conditions as the Meteorological Aerodrome Report (METAR) in Table 3 indicated. The wind direction and velocity were within the range of 30° and 3 kt. The cloud layer was above 2000 ft Above Ground Level (AGL) or did not cover more than 1/8 or 2/8 if it was below. The ground visibility was always above 10 km. Those weather conditions build the basis for the simulator studies conducted afterwards. However, the stationary wind was not replicated. Because Tobii Pro Glasses 3 use an infrared-based eye recording technology, the pilots used the helmet’s infrared visor in order to dim sunlight emissions and increase the recording quality.
The maneuver was repeated three times to receive a representative gaze behavior by the pilots and account for possible outlier events. During real flight tests, the pilots were not always able to fly within the limits that were set in the maneuver description because of ongoing traffic in an active flight control zone. Especially for the flight phase ER during real flight, the originally set limits were withdrawn. Nevertheless, all pilots were able to complete the maneuver successfully. The collected data were supposed to reflect the representative gaze behavior of the pilots because the pilots were very familiar with the chosen standard mission profile. Figure 5 shows a comparison of the runway during real-world and simulated flight tests. All pilots commented that the visual scenery at AVES offered sufficient visual references to complete the flight task successfully.
The measurement procedure throughout the different experimental flight tests were kept almost equal in order to increase the comparability and minimize the influence on the result. At the beginning of all flight tests, the participant had to complete a demographic questionnaire. They then completed the experimental flight with an eye tracking measurement. After the simulator studies, the tailor-made questionnaire was completed by the pilots, which included the BWR for the workload assessment of each flight phase and a self-assessment of the subjectively perceived gaze distribution that asked for the percentage between different AOIs, like e.g., PFD, center console, co-pilot’s flight instruments, and OTW. The tailor-made questionnaire after the motion simulator study was extended by the Hodge Motion Rating (HMR) to evaluate the pilot’s motion perception. The experimental procedures of the motion simulated flight test was extended by the ISA questionnaire [33] (as online questioning) to account for influential factors.

4. Results

In this section, the results of this case study are going to be presented. For this, hot runs were selected based on the flight performance from the recorded data and the pilots’ comments. Usually, the last of the three runs was chosen as long as there were no outliers. During evaluation, only the fixations are considered to determine the pilot’s gaze behavior.

4.1. Data Comparability

The ratio of the sum of all fixation durations and the complete recording time is shown in Table 4. The results of the hot runs are compared between all pilots and real flight, fixed-based and motion simulation. Note that a ratio of 100% is not achievable because, in spite of corrupted data, also blinks and saccades lead to a smaller ratio. During a real flight, the fixation over time is generally smaller than in the simulator. This indicates a lower data quality. However, the influence of changing light conditions could be minimized by using the infrared visor. Because of no disturbing sunlight emissions in the simulator, the data quality increased during the simulator studies, as the ratio of fixation over time indicates. All in all, the mean values of each pilot are above 87%.
As for the eye tracking, only the hot runs questionnaires are evaluated and analyzed. The results for the BWR scale are presented for the fixed-based in Figure 6a and for the motion based simulator in Figure 6b. In general, 30 out of 35 answers for the fixed-based (16 out of 20) and motion simulation (14 out of 15) are equal to or below 3, which indicates a satisfactory workload without reductions in performance. The 4 answers above 3 in the fixed-based simulation are not higher than 5 and, therefore, indicate a tolerable workload. Participant B reported the highest workload during LA in the motion setting and reported deficiencies of the helicopter flight model. All in all, the pilots reported comparable workloads, which is why the flight performance and the gaze behavior should not be influenced by too high or too different workload levels. In combination with the sufficient gaze data quality, the comparability of the recorded data between the pilots is ensured.
In the simulator, a cockpit replica of BO105 was not available. The different cockpit layout, as shown in Figure 5, and the different helicopter dynamics of BO105 and ACT/FHS could lead to differences in the eye tracking measurements. However, neither Pilot A, Pilot C, nor Pilot D could name any differences in visual perception and own gaze behavior between the different helicopter types when asked. Nevertheless, this should definitely be taken into account when evaluating the results.

4.2. Real Flight

The pilots’ flight performance is described by the ALT AGL and the True Airspeed (TAS). Before the helicopter touches the ground, all flight paths lie on top of each other (see Figure 7). After take-off, the pilots chose different strategies, which is shown by the flight paths and the TAS. Pilot A decelerated and accelerated more in comparison with the other pilots.
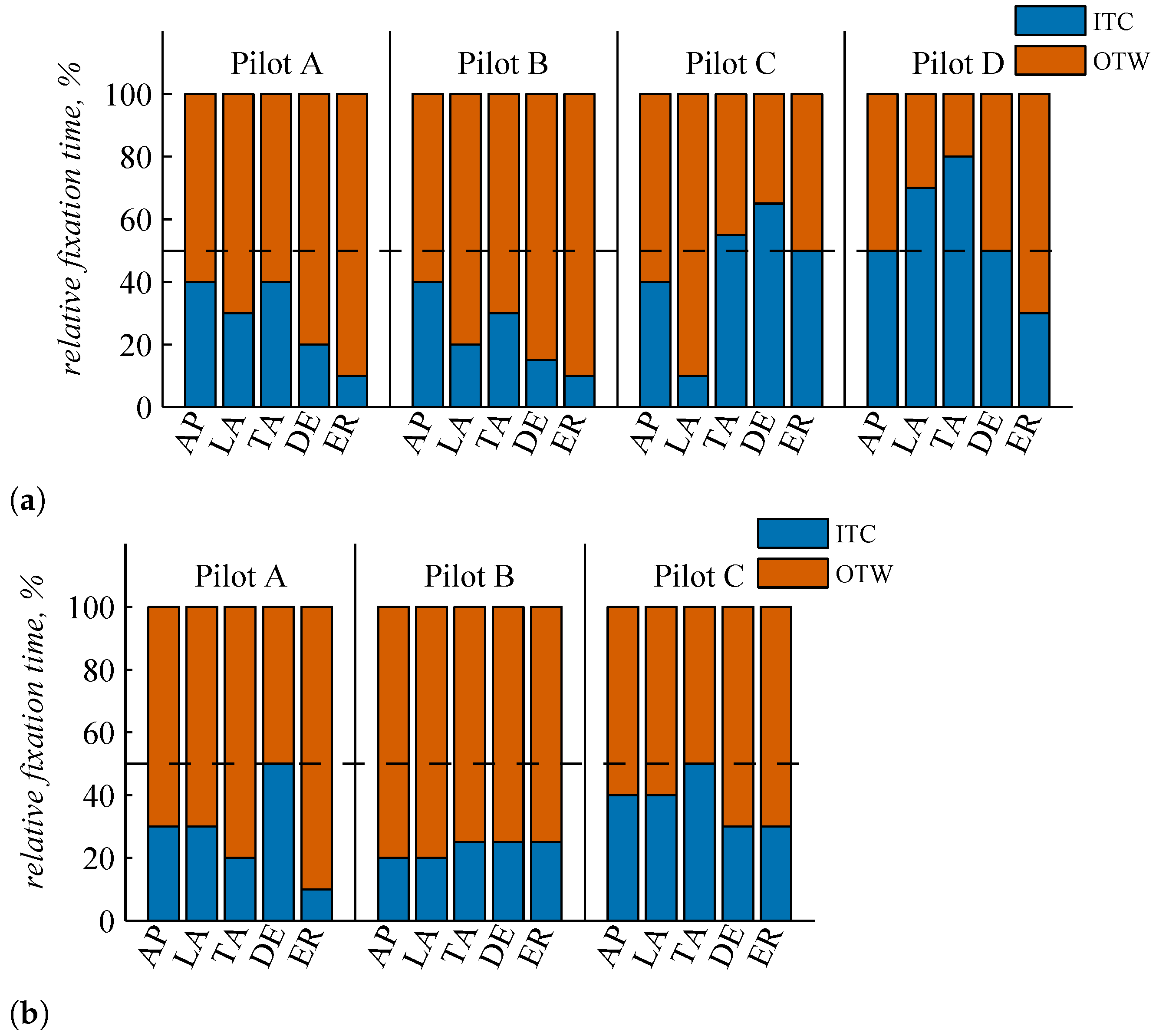
For a first assessment of the pilots’ gaze behavior, Figure 8 shows the distribution of the fixation time spent ITC or OTW for each pilot and each flight phase. The behavior of Pilots C and D is similar as they mainly looked OTW. Especially during LA, the fixation time OTW is below 2%. For all other flight phases, the relative fixation time ITC is about 20%. The behavior of Pilot A deviates for the flight phases LA and TA as the relative fixation time ITC is about 50%.
During the flight phases TA, DE, AP, and LA, all pilots made fixations inside or outside the right side of the cockpit. As shown in Figure 9, the pilots looked at the technical parameter of the helicopter, e.g., rotor RPM and torque only during the flight phases TA and DE. Pilots C and D show a similar behavior as they looked to the right of the glare shield or through the chin window during the flight phases AP and LA. Both pilots commented that they used skid marks at the runway to obtain sufficiently good visual references. Moreover, the fixations of both pilots showed accumulations at the PFD during nearly all flight phases except for LA. Pilot A’s fixation distribution deviates as he used some information of the PFD only during AP. In addition, he did not need the torque indicator or rotor RPM during TA and DE. It is remarkable that accumulations can be found that offered no specific information. All pilots mainly looked straight ahead OTW and focused the runway.

4.3. Simulated Flight

According to ALT AGL and TAS, Pilots A and B show a similar flight performance during fixed-based simulation. Pilot C’s flight performance deviated as the glide slope was flatter and the climbing gradient was smaller. Pilot D shows a comparable glide slope with Pilots A and B, but the climb rate is higher than that of the other pilots (see Figure 10a). The recorded flight test data during motion simulation were similar (see Figure 10b).
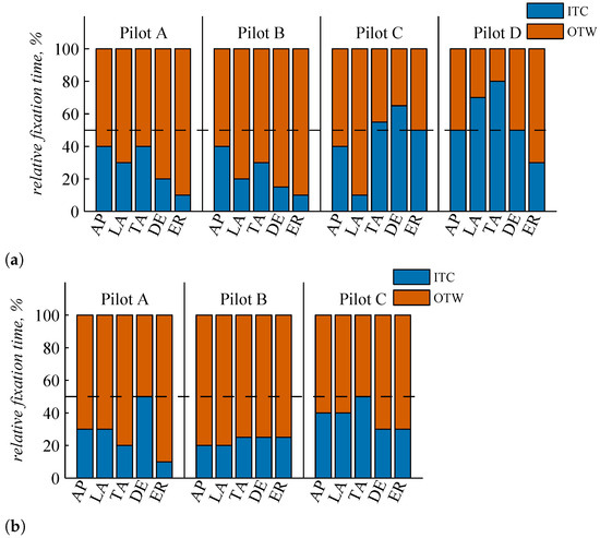
The distribution of time looking ITC or OTW was similar between all four pilots (see Figure 11). The relative fixation time ITC was always below 10% during LA (except 18% ITC for Pilot D) and, therefore, smallest compared with all other flight phases. All pilots showed the same qualitative behavior as the amount of relative fixation time ITC decreased towards the final landing (compare flight phases AP and LA), whereas it increased after take-off was initiated (compare flight phases TA and DE). This v-shaped distribution of relative fixation time ITC between the flight phases AP, LA, and TA can also be found during real flight (see Pilots C and D, Figure 8) and, in 7 out of 10 cases, can be extended by the flight phase DE. For all pilots and flight phases, the relative fixation time OTW is always higher than 50% (except Pilot D during the flight phase DE in the fixed-based simulator study). In comparison with Pilots A, C, and D, Pilot B spent more time looking OTW.
The fixation distribution during fixed-based and motion simulation was similar between all pilots and is shown in Figure 12 for Pilot C. During the flight phases TA and DE, a technical parameter, e.g., the First Limit Indicator (FLI), was observed only sometimes. All pilots commented that especially the instruments for the technical condition of the helicopter, e.g., FLI and fuel gauges, were not simulated correctly and were therefore useless. When looking ITC, the pilots received almost all of their necessary information from the PFD, where fixation accumulations could be found. All pilots mainly looked straight ahead OTW and focused on the runway regardless of the flight phase.

4.4. En-Route ER

The flight phase ER can be abstracted as a stationary forward flight. Pilot A’s hit maps have in common that he observed the outside environment and used the PFD to obtain information about the flight state of the helicopter. Sometimes he also collected technical information from, e.g., the FLI (see Figure 13c) or the fuel gauge (see Figure 13b). This gaze behavior could also be observed for the other pilots. During real flight, the amount of relative fixation time ITC of Pilots A, C, and D is smaller in comparison with the amount of relative fixation time ITC during the simulator studies (compare Figure 8 and Figure 11).
The fixation distribution of Pilot A according to the fixation duration of each fixation is shown in Figure 14. The fixations of all flight phases were combined to obtain enough fixation and were only separated according to the real flight or fixed and motion simulation. All distributions have a bin size of 60 ms and show a highly left-shifted distribution, as it was described by Galley et al. [25]. The modal value approximately corresponds to the reference value by [25]. In a further analysis, all fixations were classified into short/express (<150 ms), cognitive (150 ms ≤ t ≤ 900 ms), and long fixations (>900 ms) according to their duration (see Figure 15). The amount of short/express fixation was lower in the simulator than in the real flight, whereas the amount of long fixations increased from real flight to the simulator. The amount of cognitive fixation remained similar as well as the distributions between fixed and motion simulation.

4.5. Pilots’ Gaze Distribution at the PFD

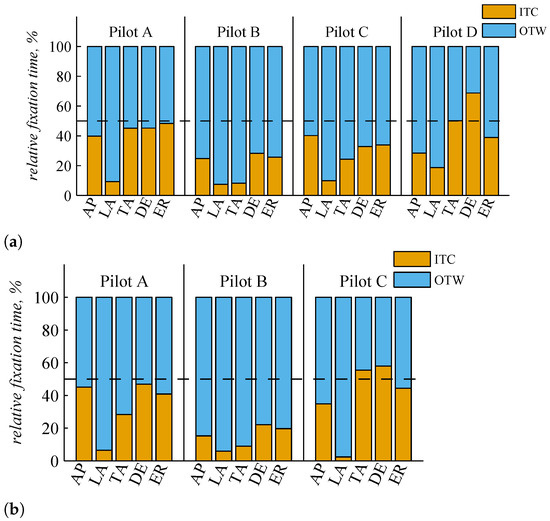
The pilots’ gaze distribution at the PFD is used to describe the pilots’ information demand according to the helicopter’s flight state. None of the pilots reported any differences between the used helicopter types according to the gaze behavior or the information demand. In order to derive a general information demand from the pilots’ gaze behavior, the PFD was first divided into the basic flight instruments, e.g., IAS, artificial horizon, ALT, heading, and VSI. Afterwards, every hit map of all test series of all pilots was investigated whether fixation accumulations occurred on the respective flight instruments, and coarsely sorted by “many” (++), “few” (+), or “no” (o) fixations. The accumulations found must be evaluated differently because the recording timespan of each flight phase differs, and thus, so does the total amount of fixation. Essentially, the evaluation method was about whether or not the pilot could have used the information from a particular instrument. Even one fixation may be sufficient to meet the criterion “few” (+), as long as it is sufficiently well placed on the instrument to preserve the essential information. If there is an accumulation of at least three fixations that is also well placed, this meets the criterion “many” (++). Figure 16 shows the hit maps of Pilot C during motion simulation for each flight phase as an example. Pilot C needed only few to no information during LA and TA, whereas he used IAS and ALT during AP, DE, and ER many times. He also used VSI many times during DE and a few times during ER. Information by the heading indicator was not needed in any flight phase. The artificial horizon was used a few times during DE and ER.
The results of the rated hit maps were compared between real flight and fixed-based and motion simulation and between the different pilots. The results of Pilot A during real flight had to be discarded because his gaze behavior ITC was very different from the others (compare Figure 8). The fixation accumulations during real flight were often not as pronounced as in the simulator studies and the fixation accumulations of Pilot B. Therefore, the recorded gaze data of Pilot B were not used. However, the results of Pilots A, C, and D were qualitatively comparable independent of real flight, fixed-based, or motion simulation. The summarized fixation distribution is shown in Table 5. Based on this, Pilots A, C, and D used IAS and ALT many times especially during AP, DE, and ER. Flight instruments of less importance were the artificial horizon during all flight phases except for LA and VSI during DE and ER. During LA and TA, the pilots used almost none of the evaluated flight instruments. Note that the underlying data of the results in Table 5 contain the recorded eye movements of seven test series by three different pilots and are therefore only of limited significance. However, they provide a first approach and must necessarily be supported by further studies.

4.6. Pilot Questionnaires

In addition to BWR (see Figure 6), Figure 17 presents the online questioning directly after each flight phase during motion simulation. ISA and BWR are in good agreement, which is also indicated by a coefficient of determination (R2) of 0.635.
In a tailor-made questionnaire, the pilots rated the motion fidelity with the help of the HMR Scale (see Figure 18). The given answers of Pilots A and C were equal to or below 3, which indicates a motion fidelity close to real flight. Pilot B’s perception was an acceptable motion cueing without loss of performance or disorientation. All pilots commented that even if the motion fidelity was close or acceptable to reality, they did not expect noticeable motion cues during some flight phases because there were no accelerations during un-accelerated flight phases that the motion platform could reproduce. Therefore, Pilot B chose to give a rating of 10 during DE and ER because no motion cueing was perceived.
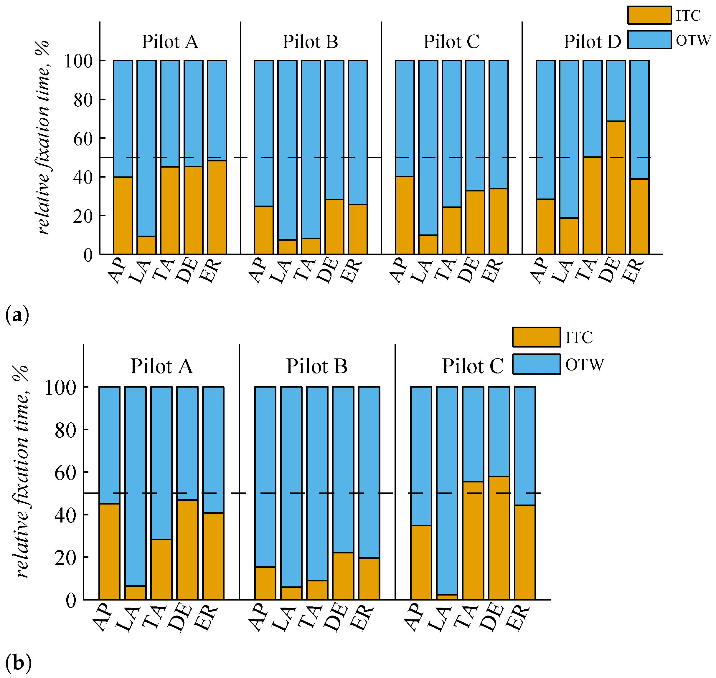
As the last part of the questionnaire, the pilots completed a self-assessment regarding their gaze distribution (see Figure 19). The answers given after the fixed-based simulator study show that the pilots were qualitatively aware of their gaze distribution because the results corresponded to the v-shaped distribution that was measured with the eye tracker (see Figure 11). However, the results do not show quantitative agreement. The answers given after the motion simulator study, which was conducted later on, are neither qualitatively nor quantitatively consistent with the previous answers nor with the measured gaze distributions.

5. Discussion

With the results shown, a general pilot gaze behavior with a limited validity can be derived according to the four pilots participating in the case study. This gaze behavior can also be broken down into the investigated flight phases of the simplified mission profile. The ratio of the relative fixation time between ITC and OTW showed a v-shaped distribution according to the amount of relative fixation time ITC of the flight phases AP, LA, and TA. In combination with the results of the simulator studies, this v-shaped distribution also included DE. This result can be interpreted to be in line with earlier simulator studies found in the literature. However, they contradict each other regarding the gaze behavior of novice pilots. The pilot’s information demand ITC is characterized by technical information (e.g., rotor RPM and torque) only during TA and DE and information by the PFD during all flight phases except for LA. In more detail, the pilot’s gaze behavior at the PFD received most of the information demand from IAS and ALT, followed by the artificial horizon and sometimes VSI. In comparison with the task limits that have mostly been defined by ALT and IAS, a logical connection can be made between the task definition and the observed fixation accumulations representing the pilot’s information demand at the PFD. The monitoring of the PFD increased during simulator studies because the pilots were able to better focus on the task limits. Potential distractions, e.g., air traffic control and ongoing air traffic, did not occur in the simulator.
The comparatively deviating gaze behavior of Pilot A during real flight LA and TA must be set in the context of flight performance. Pilot A performed the maneuver much more aggressively in comparison with Pilots C and D according to TAS. This led to an adapted gaze behavior with a less consistent monitoring of the flight instruments ITC. The gaze behavior of Pilots C and D during real flight LA is pilot specific as both pilots commented to have used aircraft skid marks on the runway as a visual reference because they offered enough details and contrast ratio in comparison with the environment. This gaze behavior could not be found throughout the simulator tests because skid marks were missing on the runway. Especially, such small details are important to achieve a high realistic, visual simulation fidelity.
No major differences could be found according to the gaze distribution between real flight and the simulator. However, all pilots mentioned simulator deficiencies that had an influence on their gaze behavior. The information by FLI and the fuel gauge were useless because they had not been simulated correctly. Nevertheless, some pilots trended to look at those flight instruments because of their normal, practiced gaze behavior according to their comments. Therefore, the found accumulations at instruments, which did not display the information correctly, are misleading as the pilot could not obtain the desired information. In order to evaluate the results of a simulator study correctly, it is therefore absolutely necessary to take the limits of the simulation into account.
The fixation classification according to their duration showed differences between real flight and the simulator study, but not between fixed-based and motion simulation. The information gathering and handling process was faster during real flight, which is indicated by the larger amount of short/express fixation. This leads to the assumption that the pilots’ information gathering process was easier during real flight than in the simulator. The modal value of the fixation duration distribution is in line with the reference value found in the literature. In comparison with an earlier flight test, where the modal value was much smaller during a hover task, this metric seems to be maneuver dependent.
The gaze distribution according to the pilots’ self-assessment does not quantitatively agree with the measured distributions. Among each other, they match neither quantitatively nor qualitatively. However, the gaze distribution of the fixed-based simulation shows the v-shaped distribution that was also found in the measured ITC/OTW distributions. The differences between the two self-assessments of one pilot indicate that none of the pilots were aware of their general gaze behavior. This result is in line with earlier simulator studies that can be found in the literature.

6. Conclusions

This paper presents the first published results of eye tracking during a standard mission profile, where results of a real helicopter flight were compared with the results of a fixed-based and a motion simulator study. The recorded gaze data were complemented by flight test data and the pilot questionnaire. Due to the small number of pilots available, no statistical analysis was carried out, and therefore, no results with statistical significance could be determined. The authors would like to emphasize that important findings were nevertheless obtained in this case study, but these are to be understood as initial results and must be substantiated by further studies.
Against this background, the following conclusions can be drawn:
  • The general pilot gaze behavior during a standard mission profile could be determined. In general, the pilots look OTW most of the time. The time spent looking ITC decreased from AP to LA and increased from TA to DE. Only during TA and DE did the pilots use instruments containing technical information about the helicopter, e.g., rotor RPM and torque. The most important information by the PFD was IAS and ALT, followed by the artificial horizon. VSI was of less importance.
  • No differences could be found between real and simulated flight in terms of information demand. The time spent looking ITC or OTW corresponds to the same order of magnitude, and the used instruments ITC are similar. However, the gaze behavior was influenced by simulator deficiencies. Thus, it is important to know the simulation fidelity’s limits to evaluate the results correctly.
  • Further analysis of the recorded gaze data shows differences between real and simulated flight but not between a fixed-based and a motion simulator. The amount of short/express fixations is lower in the simulator than during real flight, whereas the amount of long fixations is larger. This indicates a more complex information gathering and handling process of the pilots because of the simulator environment.
  • The pilots’ self-assessment confirms the mismatch between pilots’ self-awareness and measured gaze distributions that was indicated by previous studies. Moreover, the individual pilot’s answers differ quantitatively and qualitatively when repeated later on. This underlines the high potential of using eye tracking devices during pilot training to improve the pilot’s self-awareness.
  • The online conducted ISA workload rating could be validated with the tailor-made BWR. Thus, ISA offers the potential to be used during real flight tests as a subjective workload rating scale.
  • The results contradict those of previous studies regarding the dependence of gaze movements on flight experience in terms of the pilot’s flight hours. The amount of relative fixation time ITC of the participating novice pilot is by far the lowest in comparison with the other pilots for all flight phases.
The results of the presented case study give a first insight into the helicopter pilot’s information demand during a standard mission profile based on actual measured eye movements. This forms the basis for using the new knowledge to improve pilot training and pilot assistance systems. However, this could only be a first step because the underlying database is small and has to be extended by further studies to validate the results. This case study shows that the results of a simulator study are applicable to a real-world environment according to the pilot’s gaze distribution. However, more in-depth metrics indicate differences between real flight and the simulator that need to be further investigated through the application of additional metrics. For evaluation, only fixations were used. Future studies should also consider further aspects of pilots’ gaze behavior, like saccades, smooth pursuits, and peripheral visual perception.

Author Contributions

Conceptualization, D.H.G.; methodology, D.H.G.; formal analysis, D.H.G. and M.F.; investigation, D.H.G. and M.F.; writing—original draft preparation, D.H.G. and M.F.; writing—review and editing, D.H.G. and M.F.; visualization, D.H.G.; supervision, D.H.G. All authors have read and agreed to the published version of the manuscript.

Funding

This research received no external funding.

Institutional Review Board Statement

The study was conducted in accordance with the Declaration of Helsinki. All participating pilots gave their written consent to participate in the studies.

Informed Consent Statement

Informed consent was obtained from all subjects involved in the study.

Data Availability Statement

Data available on request due to restrictions (privacy) The data presented in this study are available on request from the corresponding author.

Acknowledgments

The authors would like to thank the participating pilots for spending their time on this research and sharing their insights.

Conflicts of Interest

The authors declare no conflicts of interest.

Abbreviations

The following abbreviations are used in this manuscript:
ACT/FHSActive Control Technology/Flying Helicopter Simulator
AGLAbove Ground Level
ALTAltitude
AOIArea of Interest
APApproach
AVESAir Vehicle Simulator
BWRBedfordWorkload Rating
DEDeparture
DLRGerman Aerospace Center
EREn-Route
FLIFirst Limit Indicator
FoVField-of-View
HFHuman Factors
HMRHodge Motion Rating
HPHuman Performance
IASIndicated Airspeed
ISAInstant Self Assessment
ITCInside-the-Cockpit
LALanding
LDPLanding-Decision-Point
OTWOut-the-Window
PFDPrimary Flight Display
TATake-off
TASTrue Airspeed
TDPTake-off-Decision-Point
VSIVertical Speed Indicator

References

  1. European Union Aviation Safety Agency. Annual Safety Review 2022; European Union Aviation Safety Agency: Cologne, Germany, 2022. [CrossRef]
  2. Maibach, M.J.; Jones, M.; Walko, C. Using augmented reality to reduce workload in offshore environments. CEAS Aeronaut. J. 2022, 13, 559–573. [Google Scholar] [CrossRef]
  3. Müllhäuser, M.R.; Lusardi, J. US-german Joint In-flight and Simulator Evaluation of Collective Tactile Cueing for Torque Limit Avoidance: Shaker Versus Soft Stop. J. Am. Helicopter Soc. 2022, 67, 69–84. [Google Scholar] [CrossRef]
  4. Akamatsu, M.; Okuwa, M.; Funakawa, M.; Kitajima, M.; Onuki, M.; Life, Q.; Co, M.P. Whole-View Driving Simulator for Measuring Driving Behavior in Town Environment, 2001. In Proceedings of the DSC 2001: Driving Simulation Conference, Sophia Antipolis (Nice), France, 5–7 September 2001. [Google Scholar]
  5. Kapitaniak, B.; Walczak, M.; Kosobudzki, M.; Jóźwiak, Z.; Bortkiewicz, A. Application of eye-tracking in the testing of drivers: A review of research. Int. J. Occup. Med. Environ. Health 2015, 28, 941–954. [Google Scholar] [CrossRef] [PubMed]
  6. Palinko, O.; Kun, A.L.; Shyrokov, A.; Heeman, P. Estimating cognitive load using remote eye tracking in a driving simulator, 2010. In Proceedings of the 2010 Symposium on Eye-Tracking Research & Applications—ETRA ’10, Austin, TX, USA, 22–24 March 2010. [Google Scholar] [CrossRef]
  7. Madlenak, R.; Masek, J.; Madlenakova, L.; Chinoracky, R. Eye-Tracking Investigation of the Train Driver’s: A Case Study. Appl. Sci. 2023, 13, 2437. [Google Scholar] [CrossRef]
  8. Wegrzyn, P.; Kepski, M.; Grabska-Gradzińska, I. Eye Tracking Measurement of Train Drivers’ Attention Based on Quasi-static Areas of Interest. In Proceedings of the Bio-Inspired Systems and Applications: From Robotics to Ambient Intelligence, Puerto de la Cruz, Spain, 31 May–3 June 2022; Ferrández Vicente, J.M., Álvarez-Sánchez, J.R., de La Paz López, F., Adeli, H., Eds.; Springer: Cham, Switzerland, 2022; Volume 13259, pp. 3–12. [Google Scholar] [CrossRef]
  9. Kirby, C.E.; Kennedy, Q.; Yang, J.H. Helicopter pilot scan techniques during low-altitude high-speed flight. Aviat. Space Environ. Med. 2014, 85, 740–744. [Google Scholar] [CrossRef]
  10. Rainieri, G.; Fraboni, F.; Russo, G.; Tul, M.; Pingitore, A.; Tessari, A.; Pietrantoni, L. Visual Scanning Techniques and Mental Workload of Helicopter Pilots during Simulated Flight. Aerosp. Med. Hum. Perform. 2021, 92, 11–19. [Google Scholar] [CrossRef] [PubMed]
  11. Sullivan, J.; Yang, J.H.; Day, M.; Kennedy, Q. Training simulation for helicopter navigation by characterizing visual scan patterns. Aviat. Space Environ. Med. 2011, 82, 871–878. [Google Scholar] [CrossRef]
  12. Robinski, M.; Stein, M. Tracking Visual Scanning Techniques in Training Simulation for Helicopter Landing. J. Eye Mov. Res. 2013, 6, 1–17. [Google Scholar] [CrossRef]
  13. Glaholt, M.G. Eye Tracking in the Cockpit: A Review of the Relationships between Eye Movements and the Aviator’s Cognitive State, 2014; Technical Report DRDC-RDDC-2014-R153; Defence Research and Development Canada—Toronto Research Centre: Toronto, ON, Canada, 2014.
  14. Ziv, G. The Need for Eye Tracking Studies in Helicopter Pilots: A Position Stand, 2020. In Proceedings of the 1st International Workshop on Eye Tracking in Aviation (ETAVI 2020), Toulouse, France, 17 March 2020. [Google Scholar] [CrossRef]
  15. Maibach, M.J.; Greiwe, D.H.; Müllhäuser, M. Helicopter In-Flight Eye Tracking: System Integration Aspects and First Results, 2023. In Proceedings of the Vertical Flight Society International 79th Annual Forum & Technology Display, West Palm Beach, FL, USA, 16–18 May 2023. [Google Scholar] [CrossRef]
  16. Greiwe, D.H.; Friedrich, M.; Petit, P. Gaze Movements of Helicopter Pilots during Hover Flight at different Altitudes, 2022. In Proceedings of the 71st Deutscher Luft- und Raumfahrtkongress, Dresden, Germany, 27–29 September 2022. [Google Scholar]
  17. Greiwe, D.H.; Friedrich, M. Gaze Movements of Helicopter Pilots during real and simulated Take-Off and Landing Maneuvers, 2023. In Proceedings of the Vertical Flight Society International 79th Annual Forum & Technology Display, West Palm Beach, FL, USA, 16–18 May 2023. [Google Scholar] [CrossRef]
  18. Seifert, K.; Rötting, M.; Jung, R. Registrierung von Blickbewegungen im Kraftfahrzeug. In Kraftfahrzeugführung; Jürgensohn, T., Timpe, K.P., Eds.; Springer: Berlin/Heidelberg, Germany, 2001; pp. 207–228. [Google Scholar] [CrossRef]
  19. Duchowski, A.T. Eye Tracking Methodology: Theory and Practice; Springer: London, UK, 2007. [Google Scholar] [CrossRef]
  20. Holmqvist, K.; Nyström, M.; Andersson, R.; Dewhurst, R.; Jarodzka, H.; de van Weijer, J. Eye Tracking: A Comprehensive Guide to Methods and Measures; Oxford University Press: Oxford, UK; New York, NY, USA; Auckland, New Zealand, 2011. [Google Scholar]
  21. Reimer, B.; Sodhi, M. Detecting eye movements in dynamic environments. Behav. Res. Methods 2006, 38, 667–682. [Google Scholar] [CrossRef][Green Version]
  22. Salvucci, D.D.; Goldberg, J.H. Identifying fixations and saccades in eye-tracking protocols, 2000. In Proceedings of the 2000 Symposium on Eye Tracking Research and Application, Palm Beach, FL, USA, 6–8 November 2000. [Google Scholar] [CrossRef]
  23. Just, M.A.; Carpenter, P.A. Eye fixations and cognitive processes. Cogn. Psychol. 1976, 8, 441–480. [Google Scholar] [CrossRef]
  24. Deubel, H.; Schneider, W.X. Saccade target selection and object recognition: Evidence for a common attentional mechanism. Vis. Res. 1996, 36, 1827–1837. [Google Scholar] [CrossRef] [PubMed]
  25. Galley, N.; Biniossek, D.B.C. Fixation durations—Why are they so highly variable. 2015; unpublished. [Google Scholar] [CrossRef]
  26. Cooper, G.E.; Harper, R.P. The Use of Pilot Rating in the Evaluation of Aircraft Handling Qualities, 1969; Technical Note NASA-TN-D-5153; Advisory Group for Aerospace Research & Development, North Atlantic Treaty Organization: Rue Ancelle, France, 1969. [Google Scholar]
  27. Cotting, M.C. UAV Performance Rating Scale Based on the Cooper-Harper Piloted Rating Scale, 2011. In Proceedings of the 49th AIAA Aerospace Sciences Meeting Including New Horizons Forum and Aerospace Exposition, Orlando, FL, USA, 4–7 January 2011. [Google Scholar] [CrossRef]
  28. Cummings, M.; Myers, K.; Scott, S.D. Modified Cooper Harper evaluation tool for unmanned vehicle displays, 2006. In Proceedings of the 4th Annual Conference of UVS Canada: Conference of Unmanned Vehicle Systems Canada, Montebello, QC, Canada, 6–10 November 2006. [Google Scholar]
  29. Moehlenbrink, C.; Papenfuss, A.; Jakobi, J. The Role of Workload for Work Organization in a Remote Tower Control Center. Air Traffic Control. Q. 2012, 20, 5–26. [Google Scholar] [CrossRef]
  30. Friedrich, M.; Timmermann, F.; Jakobi, J. Active Supervision in a Remote Tower Center: Rethinking of a New Position in the ATC Domain. In Engineering Psychology and Cognitive Ergonomics; Harris, D., Li, W.C., Eds.; Springer International Publishing: Cham, Switzerland, 2022; Volume 13307, pp. 265–278. [Google Scholar] [CrossRef]
  31. Hodge, S.J.; Perfect, P.; Padfield, G.D.; White, M.D. Optimising the yaw motion cues available from a short stroke hexapod motion platform. Aeronaut. J. 2015, 119, 1–21. [Google Scholar] [CrossRef]
  32. Miller, S. Workload Measures, 2001; Document ID: N01-006; National Advanced Driving Simulator, The Univeristy of Iowa: Iowa City, IA, USA, 2001. [Google Scholar]
  33. Hulbert, T. A Comparison of the “NASA-TLX” and “ISA” Subjective Workload Rating Techniques: Internal Report, 1989; Internal Report; Civil Aviation Aothority Air Traffic Control Evaluation Uni: Bournemouth, UK, 1989. [Google Scholar]
  34. Hart, S.G.; Staveland, L.E. Development of NASA-TLX (Task Load Index): Results of Empirical and Theoretical Research. Adv. Psychol. 1988, 52, 139–183. [Google Scholar] [CrossRef]
  35. Roscoe, A.H.; Ellis, G.A. A Subjective Rating Scale for Assessing Pilot Workload in Flight: A Decade of Practical Use, 1990; Technical Report TR 90019; Royal Aerospace Establishment, Ministry of Defence: Farnborough, UK, 1990.
  36. BO 105 CB-5/CBS-5 Approved Rotorcraft Flight Manual, Rev. 1; EUROCOPTER Deutschland GmbH: Donauwörth, Germany, 1995.
  37. EC 135 T1(CPDS) Approved Rotorcraft Flight Manual, Rev. 23; EUROCOPTER Deutschland GmbH: Donauwörth, Germany, 1999.
  38. OpenStreetMap Contributors. Planet Dump. 2022. Available online: https://www.openstreetmap.org (accessed on 19 October 2022).
  39. Elvesjo, J.; Skogo, M.; Elvers, G. Method and Installation for Detecting and following an Eye and the Gaze Direction Thereof. U.S. Patent No. 7,572,008, 11 August 2009. [Google Scholar]
  40. Tobii Pro Glasses 3: User Manual; EUROCOPTER Deutschland GmbH: Donauwörth, Germany, 2022.
  41. Olsen, A. The Tobii I-VT Fixation Filter: Algorithm Description. 2012. Available online: http://www.vinis.co.kr/ivt_filter.pdf (accessed on 12 October 2022).
  42. Duda, H.; Advani, S.K.; Potter, M. Design of the DLR AVES Research Flight Simulator, 2013. In Proceedings of the AIAA Modeling and Simulation Technologies Conference, Boston, MA, USA, 19–22 August 2013. [Google Scholar] [CrossRef]
  43. Stewart, D. A Platform with Six Degrees of Freedom. Proc. Inst. Mech. Eng. 1965, 180, 371–386. [Google Scholar] [CrossRef]
  44. Jones, M. Enhancing motion cueing using an optimisation technique. Aeronaut. J. 2018, 122, 487–518. [Google Scholar] [CrossRef]
  45. European Union Aviation Safety Agency. Certification Specifications for Helicopter Flight Simulation Training Devices; European Union Aviation Safety Agency: Cologne, Germany, 2012.
  46. Kaletka, J.; Kurscheid, H.; Butter, U. FHS, the new research helicopter: Ready for service. Aerosp. Sci. Technol. 2005, 9, 456–467. [Google Scholar] [CrossRef]
  47. Rohlfs, M.; von Grünhagen, W.; Kaletka, J. Nonlinear Rotorcraft Modeling and Identification, 1998. In Proceedings of the RTO Systems Concepts and Integration Panel (SCI) Symposium, Madrid, Spain, 5–7 May 1998. [Google Scholar]
  48. Štrbac, A.; Martini, T.; Greiwe, D.H.; Hoffmann, F.; Jones, M. Analysis of rotorcraft wind turbine wake encounters using piloted simulation. CEAS Aeronaut. J. 2021, 12, 273–290. [Google Scholar] [CrossRef]
Figure 1. Experimental setup with Eye Tracking in a simulated environment during a final approach in a maritime scenario.
Figure 1. Experimental setup with Eye Tracking in a simulated environment during a final approach in a maritime scenario.
Aerospace 11 00429 g001
Figure 2. Simplified mission profile consisting of the flight phases Take-Off (TA), Departure (DE), En-Route (ER), Approach (AP), and Landing (LA).
Figure 2. Simplified mission profile consisting of the flight phases Take-Off (TA), Departure (DE), En-Route (ER), Approach (AP), and Landing (LA).
Aerospace 11 00429 g002
Figure 3. Flight Route, modified map based on [38].
Figure 3. Flight Route, modified map based on [38].
Aerospace 11 00429 g003
Figure 4. Tobii Pro Glasses 3.
Figure 4. Tobii Pro Glasses 3.
Aerospace 11 00429 g004
Figure 5. Pilot’s view during LA: (a) Pilot C, real; (b) Pilot C, simulator.
Figure 5. Pilot’s view during LA: (a) Pilot C, real; (b) Pilot C, simulator.
Aerospace 11 00429 g005
Figure 6. BWR scale from 1 (workload insignificant) to 10 (task abandoned): (a) fixed-based; (b) motion.
Figure 6. BWR scale from 1 (workload insignificant) to 10 (task abandoned): (a) fixed-based; (b) motion.
Aerospace 11 00429 g006
Figure 7. Flight performance in real flight.
Figure 7. Flight performance in real flight.
Aerospace 11 00429 g007
Figure 8. ITC/OTW distribution in real flight.
Figure 8. ITC/OTW distribution in real flight.
Aerospace 11 00429 g008
Figure 9. Hit maps of the pilots during real flight: (a) Pilot A, (b) Pilot C, and (c) Pilot D.
Figure 9. Hit maps of the pilots during real flight: (a) Pilot A, (b) Pilot C, and (c) Pilot D.
Aerospace 11 00429 g009
Figure 10. Flight performance during simulated flight tests: (a) flight performance, fixed-based; (b) flight performance, motion.
Figure 10. Flight performance during simulated flight tests: (a) flight performance, fixed-based; (b) flight performance, motion.
Aerospace 11 00429 g010
Figure 11. ITC/OTW distribution during simulated flight tests: (a) ITC/OTW distribution, fixed-based; (b) ITC/OTW distribution, motion.
Figure 11. ITC/OTW distribution during simulated flight tests: (a) ITC/OTW distribution, fixed-based; (b) ITC/OTW distribution, motion.
Aerospace 11 00429 g011
Figure 12. Hit maps of Pilot C during simulated flights: (a) hit map of Pilot C, fixed-based; (b) hit map of Pilot C, motion.
Figure 12. Hit maps of Pilot C during simulated flights: (a) hit map of Pilot C, fixed-based; (b) hit map of Pilot C, motion.
Aerospace 11 00429 g012
Figure 13. Hit maps of Pilot A during en-route: (a) real flight, (b) fixed-based, and (c) motion.
Figure 13. Hit maps of Pilot A during en-route: (a) real flight, (b) fixed-based, and (c) motion.
Aerospace 11 00429 g013
Figure 14. Fixation duration distribution, Pilot A.
Figure 14. Fixation duration distribution, Pilot A.
Aerospace 11 00429 g014
Figure 15. Fixation classification.
Figure 15. Fixation classification.
Aerospace 11 00429 g015
Figure 16. Hit maps of Pilot C during motion simulation: (a) hit maps during AP and LA, (b) hit maps during TA and DE, and (c) hit map during ER.
Figure 16. Hit maps of Pilot C during motion simulation: (a) hit maps during AP and LA, (b) hit maps during TA and DE, and (c) hit map during ER.
Aerospace 11 00429 g016
Figure 17. ISA workload during flight phases.
Figure 17. ISA workload during flight phases.
Aerospace 11 00429 g017
Figure 18. Hodge motion rating.
Figure 18. Hodge motion rating.
Aerospace 11 00429 g018
Figure 19. Gaze distribution according to Pilots’ self-assessment: (a) gaze distribution, fixed-based; (b) gaze distribution, motion.
Figure 19. Gaze distribution according to Pilots’ self-assessment: (a) gaze distribution, fixed-based; (b) gaze distribution, motion.
Aerospace 11 00429 g019
Table 1. Pilot experience.
Table 1. Pilot experience.
PilotABCD
Pilot license (years)430.54214
Test pilot (y/n)ynnn
Flight hours, total69307287501300
Flight hours, BO105320001780750
Flight hours, EC135133002700300
Familiar with Research Flight Tests? (y/n)ynny
Table 2. TDP/LDP definition according to Normal Procedure [36,37].
Table 2. TDP/LDP definition according to Normal Procedure [36,37].
IASALT AGL
TDP, BO1054020
TDP, EC1353020
LDP, BO10540100
LDP, EC1354080
Table 3. Weather conditions during the flight tests.
Table 3. Weather conditions during the flight tests.
PilotMETAR
AEDVE 260920Z 24009KT 9999 FEW012 12/09 Q1019
CEDVE 271020Z 23011KT 9999 OVC026 14/10 Q1023
DEDVE 261150Z 26012KT 220V290 9999 SCT022 BKN025 14/08 Q1019
Table 4. Fixation over time.
Table 4. Fixation over time.
PilotReal, %Fixed, %Motion, %Mean, %
A92.498.697.296.1
B-95.598.797.1
C75.993.192.087.0
D88.891.5-90.2
Table 5. Summarized fixation distribution at the PFD (++: many, +: few, o: no).
Table 5. Summarized fixation distribution at the PFD (++: many, +: few, o: no).
Flight PhaseIASArtificial HorizonALTHeadingVSI
AP+++++oo
LAooooo
TA++ooo
DE+++++o+
ER+++++o+
Disclaimer/Publisher’s Note: The statements, opinions and data contained in all publications are solely those of the individual author(s) and contributor(s) and not of MDPI and/or the editor(s). MDPI and/or the editor(s) disclaim responsibility for any injury to people or property resulting from any ideas, methods, instructions or products referred to in the content.

Share and Cite

MDPI and ACS Style

Greiwe, D.H.; Friedrich, M. Gaze Movements of Helicopter Pilots during Real and Simulated Take-Off and Landing Maneuvers. Aerospace 2024, 11, 429. https://doi.org/10.3390/aerospace11060429

AMA Style

Greiwe DH, Friedrich M. Gaze Movements of Helicopter Pilots during Real and Simulated Take-Off and Landing Maneuvers. Aerospace. 2024; 11(6):429. https://doi.org/10.3390/aerospace11060429

Chicago/Turabian Style

Greiwe, Daniel H., and Maik Friedrich. 2024. "Gaze Movements of Helicopter Pilots during Real and Simulated Take-Off and Landing Maneuvers" Aerospace 11, no. 6: 429. https://doi.org/10.3390/aerospace11060429

APA Style

Greiwe, D. H., & Friedrich, M. (2024). Gaze Movements of Helicopter Pilots during Real and Simulated Take-Off and Landing Maneuvers. Aerospace, 11(6), 429. https://doi.org/10.3390/aerospace11060429

Note that from the first issue of 2016, this journal uses article numbers instead of page numbers. See further details here.

Article Metrics

Back to TopTop