Evaluating Approximate Point Forecasting of Count Processes
Abstract
:1. Introduction
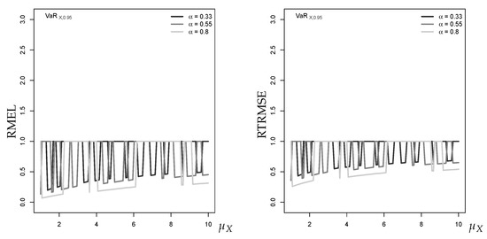
2. Evaluating the Performance of Coherent Point Forecasts
3. Baseline Model Poi-INAR(1): Approximate Forecasting and Performance Evaluation
3.1. INAR(1) Model and Gaussian Approximation
- If the DGP’s parameterization is assumed to be known, we implement the Gaussian approximation according to the “X-method” considered by Homburg (2018), which calls for setting and , and the Gaussian variance is chosen such that (see Appendix B for details).
- If the DGP’s parameterization is assumed to be unknown, we directly fit the Gaussian approximate model to the given count time series. Then, we use the scenario with estimated parameters to consider the joint effect of approximation and estimation error.
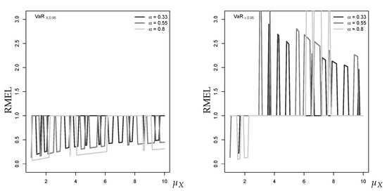
3.2. Evaluating Poi-INAR(1) Forecast Approximations
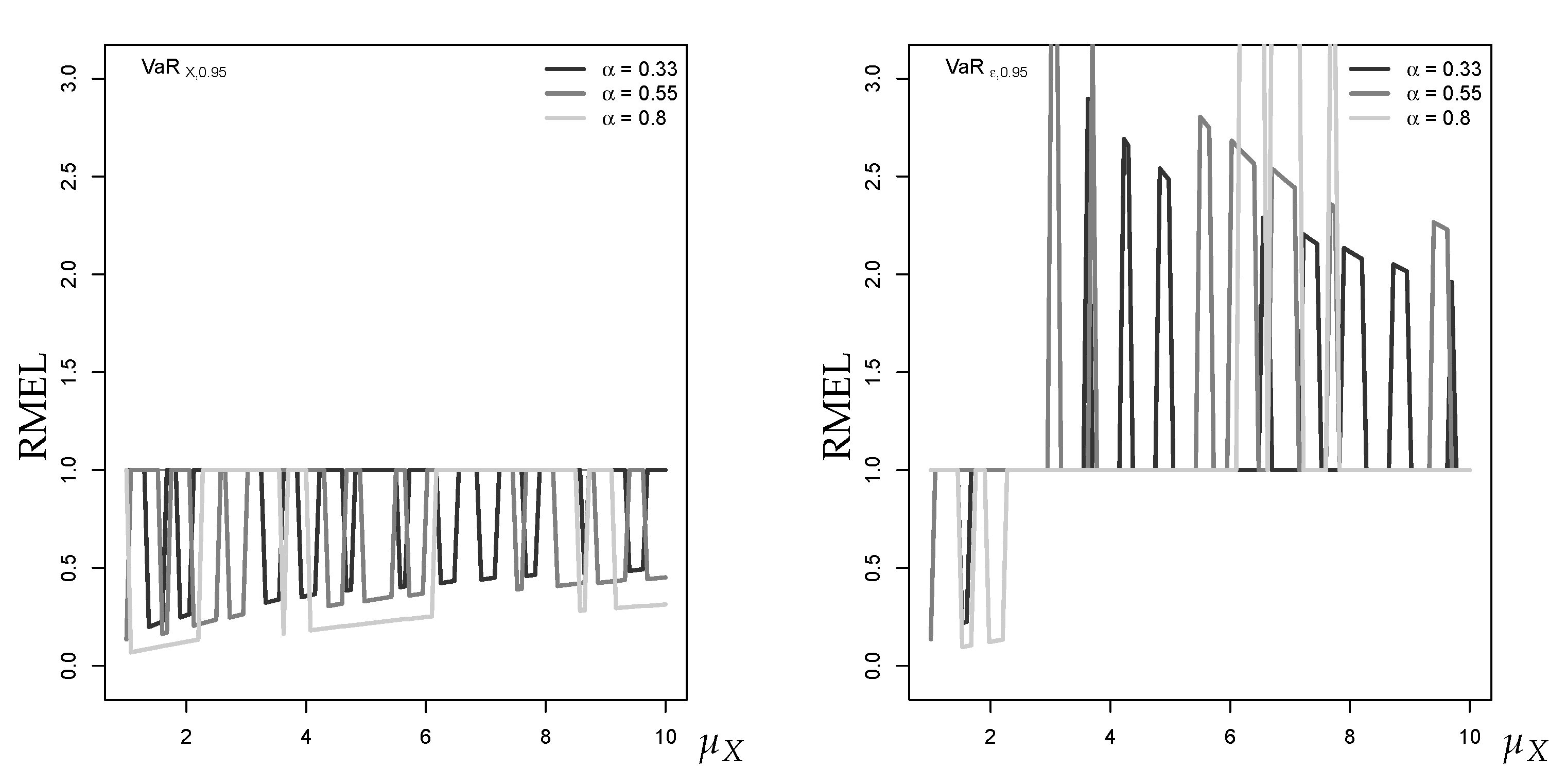
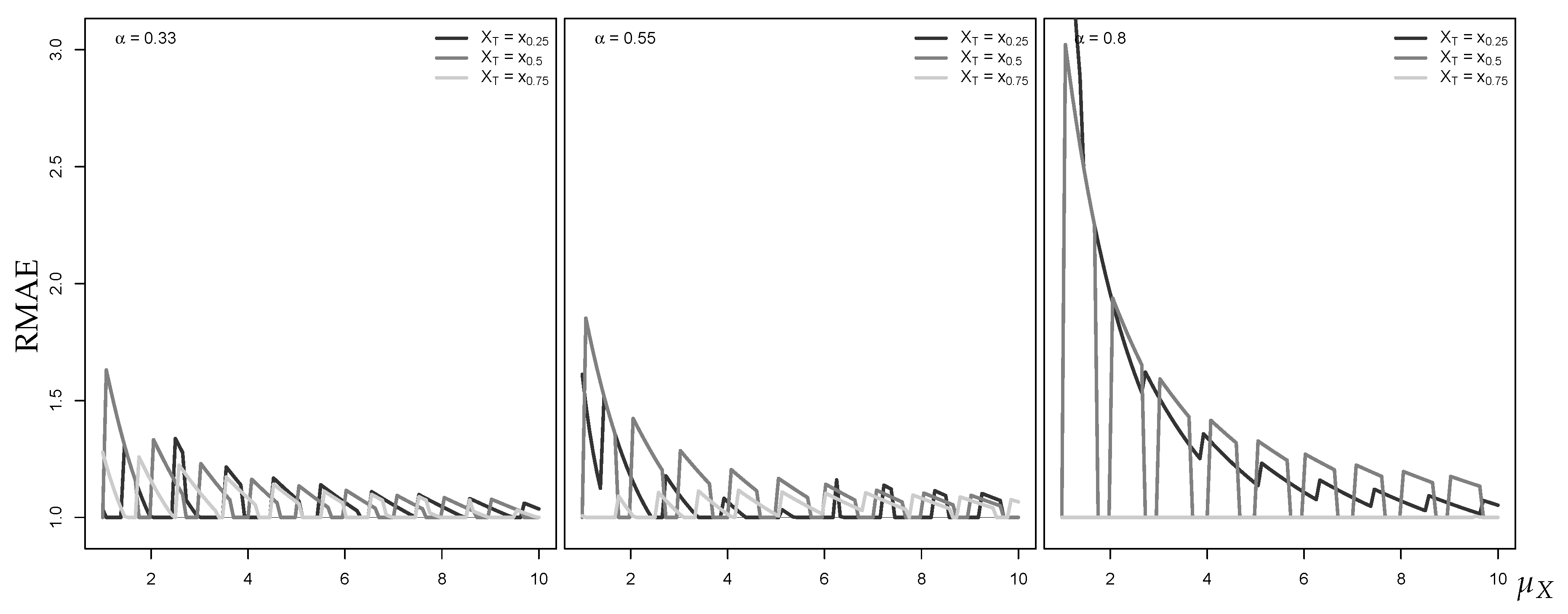
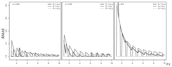
3.3. Effect of Last Observation
- If , then leads to , to , and to .
- If , then leads to , to , and to .
- If , then leads to , to , and to .
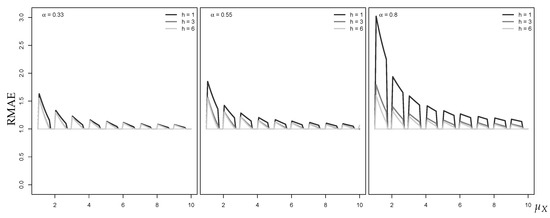
3.4. Effect of Forecast Horizon h
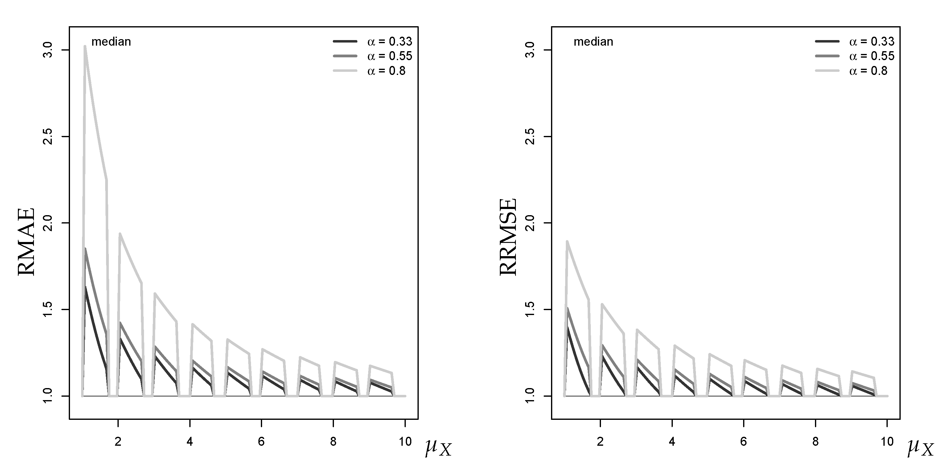
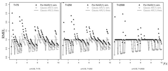
3.5. Point Forecasts of Poi-INAR(1) Processes under Estimation Uncertainty
4. Point Forecasting for Diverse Types of DGPs
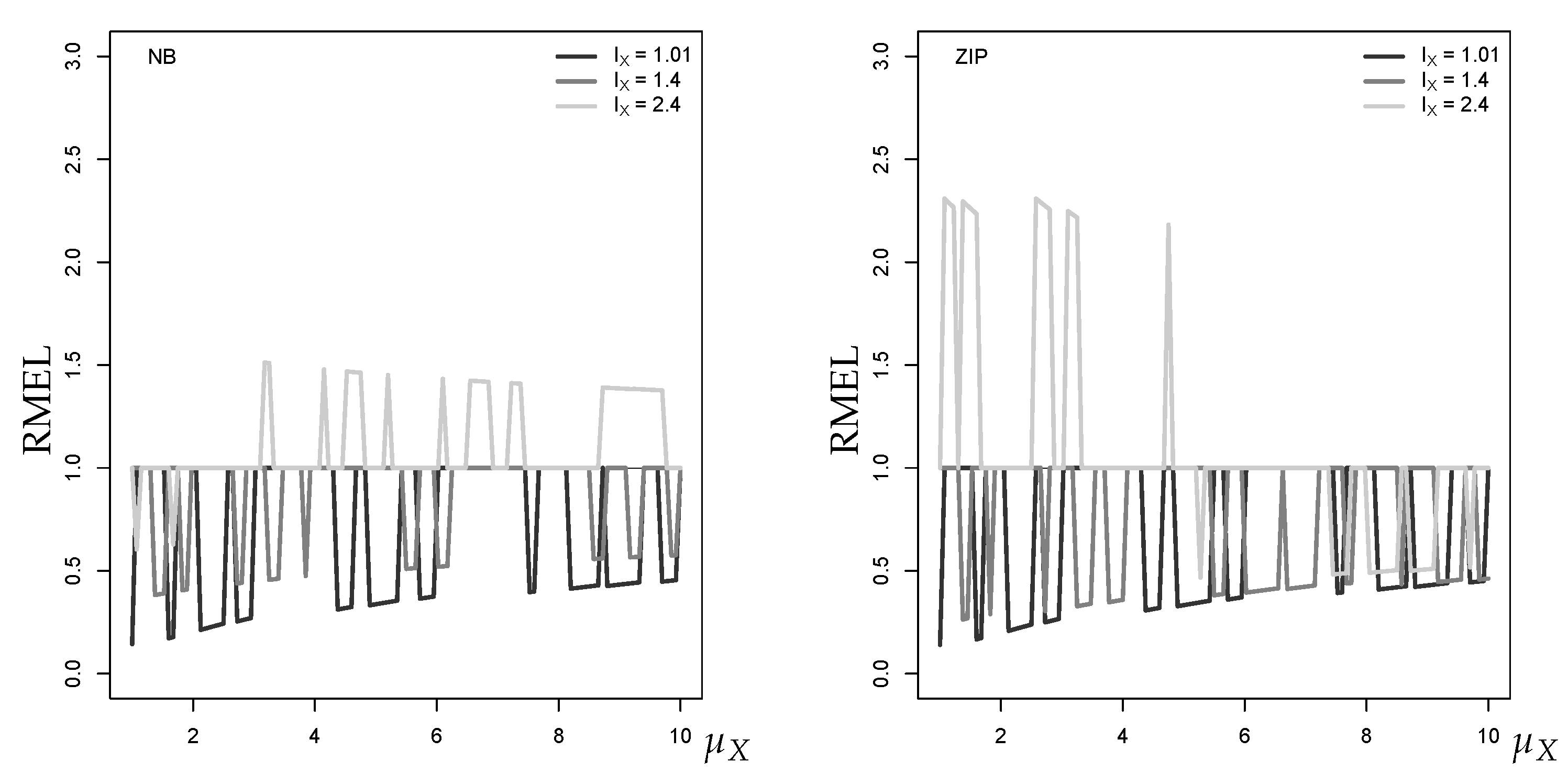
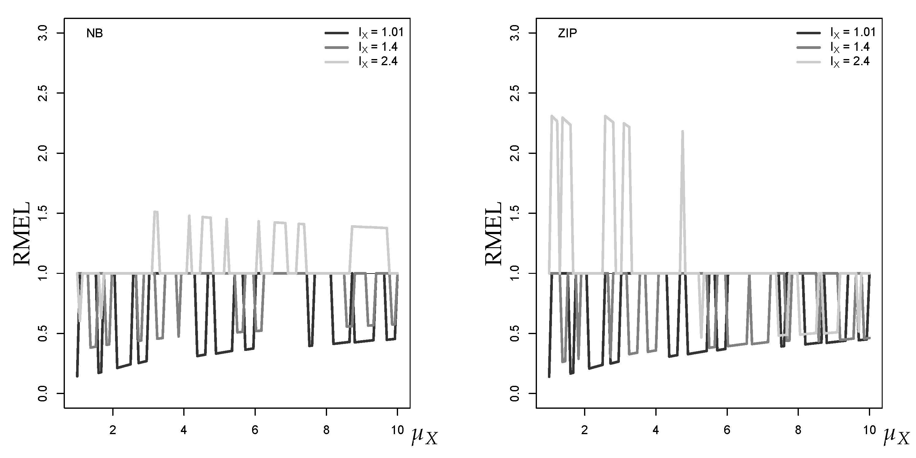
4.1. Point Forecasts of INAR(1) Processes with Overdispersion or Zero Inflation
4.2. Point Forecasts of Poisson INAR(2) Processes
4.3. Point Forecasts of INARCH Processes
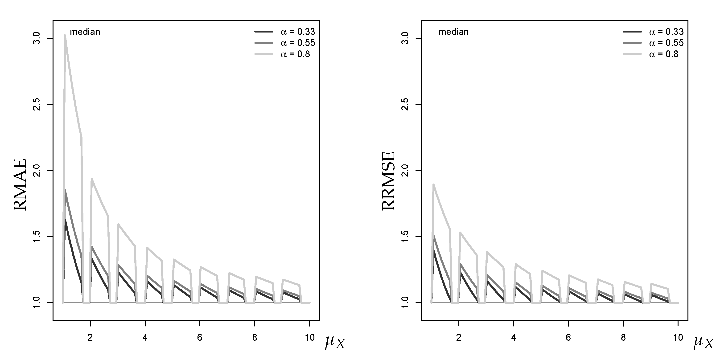
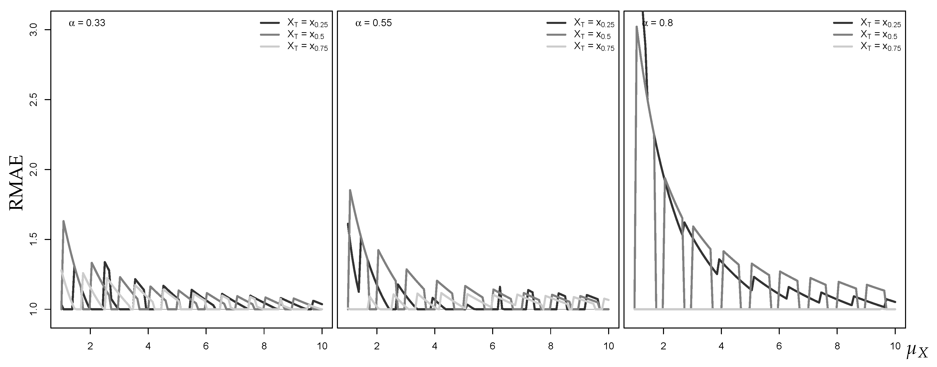
4.4. Point Forecasts of Bounded Counts Processes
4.5. Point Forecasts under Seasonality and Trend
5. Conclusions and Future Research
Author Contributions
Funding
Acknowledgments
Conflicts of Interest
Appendix A. Considered Models for Count Time Series
Appendix A.1. Important Count Distributions
Appendix A.2. Thinning-Based Models
Appendix A.3. Regression Models
Appendix A.4. Computation of Inaccuracy Measures
Appendix B. About Gaussian Approximations of INAR(1) Processes

Appendix C. MSE-Based Performance Evaluation of Point Forecasts


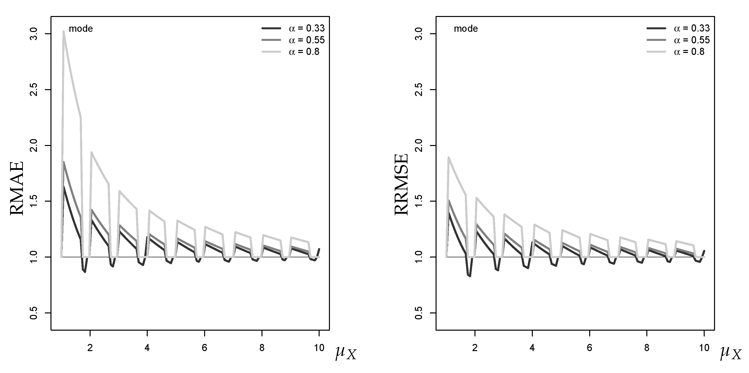
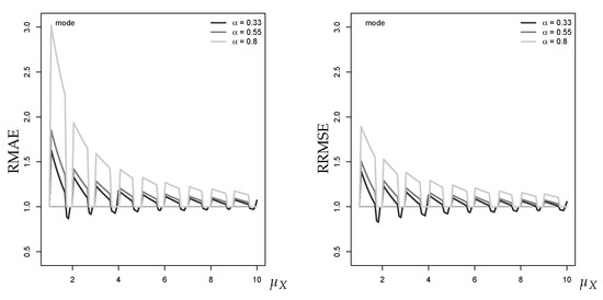
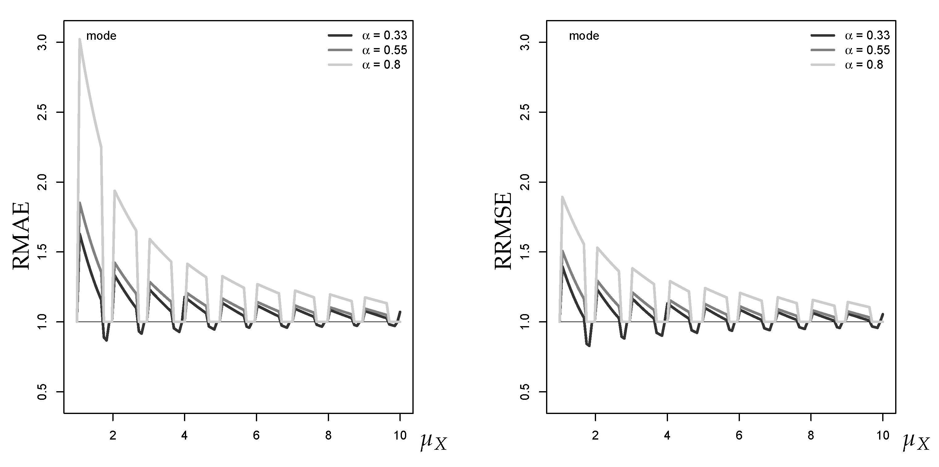
Appendix D. About the Mode as a Coherent Central Point Forecast

References
- Alwan, Layth C., and Christian H. Weiß. 2017. INAR implementation of newsvendor model for serially dependent demand counts. International Journal of Production Research 55: 1085–99. [Google Scholar] [CrossRef]
- Bisaglia, Luisa, and Antonio Canale. 2016. Bayesian nonparametric forecasting for INAR models. Computational Statistics and Data Analysis 100: 70–78. [Google Scholar] [CrossRef]
- Bisaglia, Luisa, and Margherita Gerolimetto. 2015. Forecasting integer autoregressive processes of order 1: Are simple AR competitive? Economics Bulletin 35: 1652–60. [Google Scholar]
- Box, George EP, and Gwilym M. Jenkins. 1970. Time Series Analysis: Forecasting and Control, 1st ed. San Francisco: Holden-Day. [Google Scholar]
- Brockwell, Peter J., and Richard A. Davis. 2016. Introduction to Time Series and Forecasting, 3rd ed. Basel: Springer International Publishing Switzerland. [Google Scholar]
- Christoffersen, Peter F., and Francis X. Diebold. 1997. Optimal prediction under asymmetric loss. Econometric Theory 13: 808–17. [Google Scholar] [CrossRef]
- Du, Jin-Guan, and Yuan Li. 1991. The integer-valued autoregressive (INAR(p)) model. Journal of Time Series Analysis 12: 129–42. [Google Scholar]
- Ferland, René, Alain Latour, and Driss Oraichi. 2006. Integer-valued GARCH processes. Journal of Time Series Analysis 27: 923–42. [Google Scholar] [CrossRef]
- Freeland, R. Keith, and Brendan PM McCabe. 2004. Forecasting discrete valued low count time series. International Journal of Forecasting 20: 427–34. [Google Scholar] [CrossRef]
- Gneiting, Tilmann. 2011. Quantiles as optimal point forecasts. International Journal of Forecasting 27: 197–207. [Google Scholar] [CrossRef]
- Göb, Rainer. 2011. Estimating Value at Risk and conditional Value at Risk for count variables. Quality and Reliability Engineering International 27: 659–72. [Google Scholar] [CrossRef]
- Hendricks, Darryll. 1996. Evaluation of value-at-risk models using historical data. Economic Policy Review 2: 39–69. [Google Scholar] [CrossRef]
- Homburg, Annika. 2018. Criteria for evaluating approximations of count distributions. Communications in Statistics—Simulation and Computation. forthcoming. [Google Scholar] [CrossRef]
- Jazi, Mansour A., Geoff Jones, and Chin-Diew Lai. 2012. First-order integer valued AR processes with zero inflated Poisson innovations. Journal of Time Series Analysis 33: 954–63. [Google Scholar] [CrossRef]
- Jolliffe, Ian T. 1995. Sample sizes and the central limit theorem: The Poisson distribution as an illustration. American Statistician 49: 269. [Google Scholar]
- Jung, Robert C., and Andrew R. Tremayne. 2006. Coherent forecasting in integer time series models. International Journal of Forecasting 22: 223–38. [Google Scholar] [CrossRef]
- Larsen, Nicklas, Helmut Mausser, and Stanislav Uryasev. 2002. Algorithms for optimization of value-at-risk. In Financial Engineering, E-commerce and Supply Chain. Edited by Panos M. Pardalos and Vassilis Tsitsiringos. Boston: Springer. [Google Scholar]
- Lopez, Jose A. 1998. Methods for evaluating Value-at-Risk estimates. Economic Policy Review 4: 119–24. [Google Scholar] [CrossRef]
- Maiti, Raju, Atanu Biswas, and Samarjit Das. 2016. Coherent forecasting for count time series using Box-Jenkins’s AR(p) model. Statistica Neerlandica 70: 123–45. [Google Scholar] [CrossRef]
- McCabe, Brendan PM, and Gael M. Martin. 2005. Bayesian predictions of low count time series. International Journal of Forecasting 21: 315–30. [Google Scholar] [CrossRef]
- McCabe, Brendan PM, Gael M. Martin, and David Harris. 2011. Efficient probabilistic forecasts for counts. Journal of the Royal Statistical Society, Series B 73: 253–72. [Google Scholar] [CrossRef]
- McKenzie, Ed. 1985. Some simple models for discrete variate time series. Water Resources Bulletin 21: 645–50. [Google Scholar] [CrossRef]
- Quddus, Mohammed A. 2008. Time series count data models: An empirical application to traffic accidents. Accident Analysis and Prevention 40: 1732–41. [Google Scholar] [CrossRef]
- Shcherbakov, Maxim V., Adriaan Brebels, Nataliya L. Shcherbakova, Anton P. Tyukov, Timur A. Janovsky, and Valeriy A. Kamaev. 2013. A survey of forecast error measures. World Applied Sciences Journal 7: 119–34. [Google Scholar]
- Silva, Nélia, Isabel Pereira, and M. Eduarda Silva. 2009. Forecasting in INAR(1) model. REVSTAT 24: 171–6. [Google Scholar]
- Steutel, Fred W., and Klaas van Harn. 1979. Discrete analogues of self-decomposability and stability. Annals of Probability 7: 893–9. [Google Scholar] [CrossRef]
- Su, Chun, and Qi-he Tang. 2003. Characterizations on heavy-tailed distributions by means of hazard rate. Acta Mathematicae Applicatae Sinica, English Series 19: 135–42. [Google Scholar] [CrossRef]
- Weiß, Christian H. 2018. An Introduction to Discrete-Valued Time Series. Chichester: John Wiley and Sons, Inc. [Google Scholar]
- Weiß, Christian H., and Philip K. Pollett. 2014. Binomial autoregressive processes with density dependent thinning. Journal of Time Series Analysis 35: 115–32. [Google Scholar] [CrossRef]
- Zeger, Scott L., and Bahjat Qaqish. 1988. Markov regression models for time series: A quasi-likelihood approach. Biometrics 44: 1019–31. [Google Scholar] [CrossRef] [PubMed]
| 1 | In a risk context (see Göb 2011), the term “conditional VaR” is sometimes used synonymously with the tail conditional expectation or to the expected shortfall. These measures provide additional information about the mean extend of an exceedance of Va and do thus not lead to integer values. |
| 2 | Alternative ways of discretizing a real-valued forecast would be rounding (to the nearest integer; this corresponds to the Gaussian approximation with continuity correction) or flooring (i.e., mapping real numbers x to the greatest integer ), but these are not further considered here. Note that, in the work by Homburg (2018), the median approximation with ceiling or with rounding lead to similar results, whereas the Va approximation was improved by using ceiling (or no continuity correction, respectively). |
| 3 | Usually, this restriction is not problematic because positive autocorrelation is most commonly encountered in practice. However, there are also models for count time series allowing for negative autocorrelation (see Appendix A for details). |
| 4 | The tail behavior of the normal and the NB distribution can be distinguished, for example, based on the mean excess for a given threshold value (see Su and Tang 2003). While converges to 0 with increasing c in case of a normal distribution, it can converge to any positive real number for an NB-distribution. |
| 5 | We still use a Gaussian AR approximation, not ARCH approximation. Despite their controversial name (Weiß 2018), the INARCH models are just AR-type models for count processes (see Appendix A.3). |



















| RMAE | RMEL | ||||||||||||
|---|---|---|---|---|---|---|---|---|---|---|---|---|---|
| 0 | 0.001 | 0.002 | 0 | 0.001 | 0.002 | ||||||||
| Poi | Gau | Poi | Gau | Poi | Gau | Poi | Gau | Poi | Gau | Poi | Gau | ||
| 0 | 0 | 1.011 | 1.186 | 1.012 | 1.185 | 1.012 | 1.178 | 1.604 | 1.078 | 1.401 | 1.044 | 1.093 | 0.889 |
| (0.874) | (0.386) | (0.880) | (0.350) | (0.849) | (0.280) | (0.691) | (0.679) | (0.699) | (0.607) | (0.741) | (0.589) | ||
| 0.1 | 0.3 | 1.026 | 1.186 | 1.027 | 1.188 | 1.029 | 1.175 | 1.359 | 0.939 | 1.339 | 1.043 | 1.304 | 1.109 |
| (0.769) | (0.395) | (0.763) | (0.361) | (0.750) | (0.398) | (0.611) | (0.486) | (0.603) | (0.509) | (0.579) | (0.501) | ||
| 0.2 | 0.6 | 1.028 | 1.183 | 1.029 | 1.198 | 1.026 | 1.186 | 1.450 | 0.996 | 1.326 | 1.042 | 1.356 | 1.225 |
| (0.743) | (0.387) | (0.759) | (0.365) | (0.721) | (0.376) | (0.633) | (0.424) | (0.603) | (0.367) | (0.599) | (0.370) | ||
| 0 | 0 | 1.002 | 1.195 | 1.003 | 1.131 | 1.006 | 1.102 | 1.348 | 0.949 | 1.174 | 1.100 | 0.897 | 1.105 |
| (0.944) | (0.365) | (0.835) | (0.273) | (0.900) | (0.388) | (0.849) | (0.766) | (0.851) | (0.638) | (0.755) | (0.536) | ||
| 0.1 | 0.3 | 1.007 | 1.154 | 1.007 | 1.149 | 1.009 | 1.108 | 1.203 | 0.845 | 1.219 | 1.033 | 1.169 | 1.266 |
| (0.862) | (0.408) | (0.856) | (0.345) | (0.814) | (0.369) | (0.792) | (0.576) | (0.699) | (0.542) | (0.710) | (0.503) | ||
| 0.2 | 0.6 | 1.008 | 1.159 | 1.008 | 1.157 | 1.010 | 1.132 | 1.271 | 0.925 | 1.119 | 0.965 | 1.212 | 1.279 |
| (0.853) | (0.351) | (0.820) | (0.341) | (0.802) | (0.340) | (0.761) | (0.420) | (0.724) | (0.362) | (0.675) | (0.287) | ||
| RMAE | RMEL | ||||||||||||
|---|---|---|---|---|---|---|---|---|---|---|---|---|---|
| 0 | 0.001 | 0.002 | 0 | 0.001 | 0.002 | ||||||||
| Poi | Gau | Poi | Gau | Poi | Gau | Poi | Gau | Poi | Gau | Poi | Gau | ||
| 0 | 0 | 1.002 | 1.101 | 1.007 | 1.085 | 1.006 | 1.061 | 0.884 | 0.696 | 1.064 | 1.016 | 1.078 | 1.419 |
| (0.950) | (0.369) | (0.807) | (0.464) | (0.768) | (0.474) | (0.793) | (0.543) | (0.776) | (0.590) | (0.694) | (0.368) | ||
| 0.1 | 0.3 | 1.006 | 1.114 | 1.010 | 1.088 | 1.012 | 1.070 | 1.097 | 0.866 | 1.149 | 1.118 | 1.148 | 1.353 |
| (0.860) | (0.309) | (0.776) | (0.354) | (0.725) | (0.387) | (0.777) | (0.509) | (0.660) | (0.491) | (0.622) | (0.454) | ||
| 0.2 | 0.6 | 1.006 | 1.116 | 1.009 | 1.105 | 1.012 | 1.089 | 1.074 | 0.840 | 1.097 | 1.189 | 1.196 | 1.483 |
| (0.852) | (0.316) | (0.785) | (0.337) | (0.711) | (0.386) | (0.768) | (0.302) | (0.711) | (0.275) | (0.614) | (0.264) | ||
| 0 | 0 | 1.002 | 1.038 | 1.007 | 1.035 | 1.008 | 1.024 | 1.012 | 0.856 | 1.095 | 1.174 | 1.075 | 1.449 |
| (0.791) | (0.443) | (0.681) | (0.426) | (0.637) | (0.372) | (0.766) | (0.546) | (0.597) | (0.461) | (0.562) | (0.366) | ||
| 0.1 | 0.3 | 1.008 | 1.043 | 1.012 | 1.042 | 1.013 | 1.033 | 1.097 | 0.932 | 1.066 | 1.209 | 1.110 | 1.687 |
| (0.713) | (0.400) | (0.619) | (0.391) | (0.540) | (0.382) | (0.658) | (0.431) | (0.538) | (0.333) | (0.460) | (0.289) | ||
| 0.2 | 0.6 | 1.007 | 1.063 | 1.012 | 1.066 | 1.013 | 1.084 | 1.113 | 0.978 | 1.098 | 1.318 | 1.117 | 1.650 |
| (0.729) | (0.336) | (0.600) | (0.305) | (0.593) | (0.194) | (0.676) | (0.212) | (0.528) | (0.152) | (0.492) | (0.107) | ||
© 2019 by the authors. Licensee MDPI, Basel, Switzerland. This article is an open access article distributed under the terms and conditions of the Creative Commons Attribution (CC BY) license (http://creativecommons.org/licenses/by/4.0/).
Share and Cite
Homburg, A.; Weiß, C.H.; Alwan, L.C.; Frahm, G.; Göb, R. Evaluating Approximate Point Forecasting of Count Processes. Econometrics 2019, 7, 30. https://doi.org/10.3390/econometrics7030030
Homburg A, Weiß CH, Alwan LC, Frahm G, Göb R. Evaluating Approximate Point Forecasting of Count Processes. Econometrics. 2019; 7(3):30. https://doi.org/10.3390/econometrics7030030
Chicago/Turabian StyleHomburg, Annika, Christian H. Weiß, Layth C. Alwan, Gabriel Frahm, and Rainer Göb. 2019. "Evaluating Approximate Point Forecasting of Count Processes" Econometrics 7, no. 3: 30. https://doi.org/10.3390/econometrics7030030
APA StyleHomburg, A., Weiß, C. H., Alwan, L. C., Frahm, G., & Göb, R. (2019). Evaluating Approximate Point Forecasting of Count Processes. Econometrics, 7(3), 30. https://doi.org/10.3390/econometrics7030030

