Abstract
High availability of the IoT network is challenging as the networks are prone to failures due to various faults occurring within the different layers of the IoT networks. Most of the failures in the device layer are due to furious signals created by the devices when the power left in the devices approaches the threshold level. Another frequent problem in this layer is communication failures due to a lack of fully functional communication paths. The fault tolerance of the IoT network gets depleted due to these failures.This paper introduces a novel method for predicting power fault occurrence and isolating such devices in the device layer. It also demonstrates the implementation of device clusters using different networking topologies, significantly enhancing the fault tolerance of IoT networks by providing multiple alternate communication paths. The proposed method has shown a remarkable improvement in the success rate (21 Percent), significantly increased the longevity of the IoT network (61 percent), and drastically reduced the false alarm rate (77 percent). It has also enhanced accuracy (1 Percent) compared to the nearest available models, demonstrating its effectiveness.
1. Introduction
The fault tolerance of any network is generally defined as the reliability of the availability of the IoT system under working conditions. The more reliable the IoT network, the more tolerable the network is, leading to the high acceptance of such a network. The IoT networks related to mission-critical systems must be tolerable to the extent of 99% [1].
IoT networks involve different networking topologies (butterfly, Crossbar, Hybrid) in different layers connecting small devices (sensors, actuators, controllers) and big devices such as high-end servers, base stations, gateways, and satellites. Small devices often fail and induce different faults, making the entire IoT network less fault tolerant [2].
Devices within an IoT system are heterogeneous and are driven by different protocols that require conversions, speed matching, and the use of several sophisticated algorithms for dealing with data transmission from the perspective of performance enhancements [3,4,5,6,7].
The fault tolerance of an IoT network can be measured in terms of success rate, failure rate, false alarm rate, and power depletion rate [8]. To compute these metrics, different computation models are used, including FTA (Fault Tree Analysis) [9] for linear models, probability models [10], hybrid models [11] that combine linear and probability models, empirical models [12], and bipartite flow graph models [13].
Small devices fail and induce different faults, sometimes rendering the entire IoT system unoperational or unreliable and producing unpredictable behavior. The types of faults that are generally induced in the IoT system include increasing faults [14,15], pattern faults [16] and device-to-device communication faults [17]. Norris et al. [18,19] have reviewed various faults occurring within devices.
Most of the methods presented in the literature focus on detecting a fault when the IoT network is operational and prescribe methods to sustain or enhance the fault tolerance capability of the IoT network. Sometimes, the fault propagates into the network before it is detected. Again, the connectivity between the devices is established as total connectivity, which considers every device connected to every other device. Computing the fault tolerance of such a network is complicated.
Mechanisms have not been prescribed to deal with alternative modes of communication when some communication links/paths fail when the IoT network is operational. No contributions predict the occurrence of power-based faults, which are severe issues with regard to devices that sense and transmit data.
Several methods have been implemented to enhance the fault tolerance of an IoT system in the presence of different kinds of fault, including communication, power, and pattern faults. They have proposed to improve fault tolerance of the IoT network through improved robustness, processing complex events [20], reducing bandwidth usage [21], implementing network topologies that provide alternate communication paths [22,23], and enhancing the ability to handle uncertainty [24].
Predicting the occurrence of faults within devices and the network is essential so that mitigation mechanisms can be enforced to ensure fault tolerance. An artificial intelligence-based method has been proposed to predict the fault tolerance level of the IoT network in the presence of network failures [25]. Some IoT systems are distributed, making fault finding and mitigation quite complex. A distributed fault tolerance method has been discussed to diagnose faults within a healthcare system [26].
Most of the methods presented in the literature have focused on computing the fault tolerance occurring within a device or a specific layer of the IoT system. The fault tolerance of the entire network as such has not been discussed. In the first instance, very few methods have been proposed to compute the fault tolerance of the entire IoT network. Graph-based [27,28] and FTA-based [28,29] are the two approaches available to compute the fault tolerance of the entire IoT network. Both approaches consider the IoT network to be linear. These approaches are unsuitable for computing the fault tolerance of an IoT network built using linear and composite networking, especially using mesh technologies.
Two factors are critical in managing the operational behaviour of the devices, including managing faults induced due to erratic behaviour resulting from power depletion within the sensing and actuating devices and affecting the data communication with cluster heads without any disruption. Power and network management are two important factors that must be considered to ensure that the IoT network is highly reliable.
- The research questions
- How will the device power depletion rate in the IoT network’s device layer affect its longevity and fault tolerance?
- At what power level of the devices will the power faults be inducted into the IoT network?
- To what extent does the success rate of an IoT improve due to the implementation of a cross-bar network connecting devices in the device layer to cluster heads, through which communication is carried to the base stations?
- Is there any effect on the fault tolerance of the IoT network due to an increase in the false alarm rate caused due to furious signals generated within the devices?
- Major Contributions of the Research
- A method of finding the power depletion rate of the devices using assert macros and predicting the possibility of the occurrence of the power fault and isolating such devices.
- A networking topology that helps connect cluster heads to devices and provides alternate paths for communication, thereby increasing the fault tolerance of the IoT network.
- A method to compute fault tolerance of an IoT network that has linear and mesh connectivity among devices and cluster heads through which communication is carried through base stations.
Contributions have been achieved by building a middleware in each device and introducing a crossbar network in the device layer. The middleware is built with assert macros that help predict fault injection. Different functions have been added to the middleware to compute the fault alarm rate, power depletion rate, data transmission rate, and time. Due to the introduction of a crossbar network, more communication paths have been added to the IoT network, increasing the fault tolerance level of the network.
- Usage and Applicability
Using the algorithms presented in this paper, the industry can change the firmware of devices and networking structures and help deliver highly tolerable networks, especially for implementing mission critical applications. The findings proposed in this paper can be implemented in any type of network, wireless or wired networks, whether the communication is carried out in serial mode or not, regardless of the type of network.
2. Related Work
A literature survey has been conducted to find out how faults within every device in an IoT network have been detected and mitigated and how the fault tolerance of an IoT network can be computed.
A survey has been conducted from the perspective of the occurrence of faults in power, energy, and external issues. The survey has not dealt with the combination of power-based failures with other types of failures, especially networking failures and cascading failures.
Knowledge of how embedded systems consume power [29] could be used to analyze the reliability of an IoT system from the perspectives of hardware faults and power characteristics. Methods have been presented in the literature to determine how different devices consume power within the IoT network [30].
The literature presents a synchronous data flow model that aims to improve the power efficiency of IoT devices and, thus, the fault tolerance of the IoT network [31].
Many learning models have been presented in the literature, including the SVM model [32], the hidden Markov chain model [33], multi-objective deep hidden [34], cluster broker selection [35], the block chain model [36], the mode and effect analysis model [37], to learn the occurrence of the fault.
Some strategies suggested to take alternate actions to recover from faults. The literature considered power consumption patterns to diagnose the fault’s occurrence, but it has not suggested how such faults are handled.
In the literature, a time series analysis of the collected data has been presented to diagnose IoT network faults that do not conform to a particular type of error [38].
Few models have been presented in the literature to estimate the remaining battery life that drives the devices to detect and operate for data transmission. An adaptive approach based on the Kalman filter and the expectation maximum has been presented that considers the existence of uncertainty in the power depletion rate and computes the degradation of the battery system [39].
The existence of noise during power depletion affects the estimation of the model parameters. A method based on the maximization-unscented particle filter-Wilcoxon rank sum test (EM-UPF-W) approach has been presented that estimates the noise variables in the degradation model.
A degradation model based on the unity power factor (UPF) has been constructed for a single battery that adaptively estimates noise variables with the aid of the EM algorithm [40].
The distributions of offline and online data related to the power depletion of devices are different. More effort is needed to develop a single prediction model. A domain adaptation (DA) learning-oriented transfer learning (TL) model has been proposed, considering different distributions of offline and online data. Several degradation stages such as subdomains, long- and short-term memory variational autoencoder, and the weighted deep-subdomain adaptation network (VLSTM-LWSAN) have been proposed to estimate the power depletion rate [41].
An IoT network’s fault tolerance rate has been improved by building a rectangular interstitial network at the gateway of the IoT network [42].
The enhancement of fault tolerance through a dual base station system has been proposed [43]. Implementing ES networking at the controller level, implementing middleware within the microcontrollers, and connecting the controllers with service servers have been presented to enhance the fault tolerance of the IoT network [44]. Improving the fault tolerance of the IoT network by carrying machine-learned data correction systems in the service servers has been presented [45].
Noise and irregularities impact sensor data. Self-declaration of the reliability of sensor data is crucial for advancing Internet of Things applications and industrial automation. Many works on reliability include sensor self-attribution of data confidence and self-diagnosis of sensor faults using temporal data redundancy or neighboring sensor data. Models are built in edge devices and then transferred to sensors. These existing methods are computationally expensive, require real-time data from other sensors, and incur considerable transmission overhead. The existing methods are not suitable for independent assessment of sensor data reliability. Addressing these issues, Shafin et al. [46] introduced an independent self-declaration reliability method for sensors. Two Kalman-filter-inspired, block-based lightweight algorithms are designed that handle isolated and burst noises and estimate block data reliability. Reliability, thereby enhancing the reliability of the data network, is conveyed using reserved bits for TCP headers to avoid communication overhead. This method will help with data corrections at the server level of the services, thereby improving the reliability of the IoT network.
A fault tolerance computing framework has been proposed that shows different methods for fault tolerance of different types of IoT networks [28].
Table 1 compares the methods proposed in the literature with those proposed in the article. The comparison considers various elements, including data collection related to power degradation, the use of degradation domains, the filtering of noise in the data, and the use of prediction and detection methods.
Table 1.
Comparative Analysis of features of the methods presented in the Literature vs. Proposed method.
The methods presented in the literature did not focus much on the networking architecture in the device layer. They merely diagnosed faults at the device level based on the power consumption patterns. They did not suggest a mitigation pattern to enhance the device’s longevity through the least power depletion rate. No attempt is made to predict the possible occurrence of a fault due to power depletion or degradation. None has considered the issue of failure of communication paths between devices and cluster heads, which leads to zero fault tolerance of the IoT network.
3. Methods and Techniques
3.1. Existing Methods and Proposed Methods
Figure 1 shows the flow of dealing with power degradation faults, as recommended by the literature. It introduces existing and proposed methods introduced in the device layer to deal with power and communication faults and calculate the fault tolerance of the IoT network in the presence of such faults.
Figure 1.
Existing Models for Computing Fault Tolerance of an IoT Network in the Presence of Power Faults.
The main criteria are based on the type of power degradation data available, including labelled and unlabeled data. In all approaches, power degradation models are constructed to learn the existence of a fault and then estimate the fault tolerance of the IoT network based on the number of predicted faults. However, these models have not considered the combined occurrence of both power and communication faults.
This paper presents a new mechanism based on assert macros to predict the possibility of fault injection due to power depletion within devices and isolate such devices so that no power fault can be injected into the IoT network. The existence of a power-induced fault is checked using assert macros, and the leftover power in each of the devices is continuously monitored using real-time OS-supported functions. The device fault rate is computed on the basis of the leftover power. The fault alarm rate is also computed to identify a fault when the left power exceeds the threshold level. The device’s life is estimated based on its power depletion rate.
A method of introducing a crossbar network connecting the devices to the cluster heads has been presented so that none of the communication failures will reduce the IoT network’s fault tolerance. Thus, the proposed method considers faults that occur due to power depletion and communication failures that occur due to the failure of communication links.
3.2. Overall Methodology Used for Implementing the Proposed Changes in the IoT Network
Figure 2 shows the general methodology used for the investigation. First, empirical formulas have defined metrics for computing Failure/Success rate, False Alarm Rate, Longevity, and accuracy.
Figure 2.
Overall method to improve the fault tolerance of the IoT Network.
In the next step, a prototype IoT network is developed, its related fault tree is generated, and the fault rate is calculated.
In addition, the prototype IoT network has been modified to implement the crossbar network in the device layer that connects the devices to the cluster heads. The fault rate of the crossbar network is computed using its related probability model. The crossbar network is a single device assigned a fault rate computed using its related probability model. This leads to converting the composite IoT network into a linear IoT model. The linear IoT network is converted into a fault tree to calculate the rate. A fault tree is developed, and the success rate is computed.
In the next step, each device has been added with Firmware running under a real-time operating system into which assert macros have been built to predict the occurrence of power faults. The firmware is also added with software components that compute metrics, including device longevity and false alarm rate. The metrics are computed by making the IoT system operational.
The IoT network is modified by removing some of the devices from the network to simulate the isolation of those devices due to the prediction that those devices will induce power failures. A fault tree for the residual IoT network is generated, and the fault rate is calculated. The IoT network is subjected to a known set of examples, and the fault rate is calculated and compared with the expected fault rate. These calculations are used to arrive at the accuracy of the fault computation model. The metrics calculated for the prototype model and versions of the revised Crossbar model, Crossbar + Power Management, have been compared and improvements are shown.
3.3. Metrics for Computing the Fault Tolerance of an IoT Network
The fault tolerance of the IoT network also depends on the device’s longevity, false alarm generation rate, power depletion rate, and fault detection and mitigation accuracy. These metrics are computed and analyzed with reference to the fault tolerance level of the IoT network. They are calculated using empirical formulas explained in the following sections.
This section presents the computation of the fault rate of the revised IoT network with a crossbar network included in the device layer and the metrics used for computing the fault tolerance of an IoT network.
3.3.1. Metric for Computing the Fault Rate of a Device in an IoT Network
The fault rate of an individual standalone device can be computed using Equation (1).
where
- = Fault rate at the given supply voltage.
- = Raw fault rate at maximum voltage.
- = Maximum voltage.
- V = Supply voltage.
- = The amount of increase in fault rate with one step decrease in voltage.
The fault rate of a device located in a hierarchical IoT network that has been connected to other devices based on the precedence relationships can be computed using Equation (2).
where
= Fault rate of the n−1 device.
= Fault rate of the n−2 device.
3.3.2. Metrics for Computing the Fault Rate of an IoT Network
The fault rate of an IoT network can be computed using the fault tree analysis method, which is suitable for hierarchical IoT networks, and probability models, which are suitable for computing the fault rate of complex networking topologies and a hybrid model that considers both hierarchical and complex networking of the devices in the IoT network.
Fault rate of an IoT network = Fault rate of a root node = .
The fault rate of high-breed IoT networks is achieved through networking topologies such as crossbar networks can be computed using probability models as shown in Equation (3).
The fault rate of the crossbar model can be computed using Equation (3).
where
- = Probability that a Link is Faulty.
- = Probability that a link and a switch box are not faulty.
- N = Number of inputs.
- M = Number of outputs.
Hybrid IoT networks are developed using hierarchical and high-breed networking topologies, such as crossbar.
The fault Rate of the Hybrid model can be computed using Equation (4).
where
- = Fault rate of the hybrid model.
- = fault rate of the linear model computed using Equation (2).
- = Fault rate computed using the probability of model which applies to a networking topology such as Crossbar as shown in Equation (3).
3.4. Metrics for Computing Longuity, False Alarm Rate, Power Depletion Rate and Accuracy of Fault Tolerance Computation
The fault tolerance of an IoT network is also dependent on the device’s longevity, false alarm generation rate, power depletion rate, and fault detection and mitigation accuracy. These metrics are computed and analyzed using empirical formulas explained in the following sections, with the fault tolerance level of the IoT network as the reference point.
3.4.1. Metric for Computing Longuity of a Device in an IoT Network
The power depletion rate of the prototype network is computed using Equation (5).
where
- = Power depletion rate per byte.
- = Number of bytes of data transmitted.
The longevity of a device depends on the rate of power depletion per byte of transmitted data and the time it takes to transfer one byte of data. The longevity of the device Ld is calculated using Equation (6).
where
- = Lifetime of device d measured in microseconds.
- = Rate power of device d.
- = power depletion rate of the device d.
- = Byte Transmission time of the device in microseconds.
3.4.2. Metric for Computing the Fault Alarm Rate
A false alarm ratio, generally abbreviated as FAR, is the number of false alarms over true positive and negative signals, which can be computed using Equation (7).
where
- = number of false positives.
- = Number of True Negative.
- N = Total number of negatives.
3.4.3. Metric for Computing the Accuracy of an IoT Network
The accuracy of the fault tolerance computation of an IoT network can be calculated using Equation (8).
where
- = Total True Negatives (A set of examples that feed data representing the sensor output that lead to zero fault rate of the IoT network).
- = Total Positives (A set of examples that feed data representing the sensor output that lead to an exact calculation of the fault rate of the IoT network).
- = Total False Positives (a set of examples that feed data representing the sensor output that leads to the exact fault rate while the fault rate is expected to be zero).
- = Total False Negatives (A set of examples that feed data representing the sensor output that leads to zero fault rate while the actual fault rate is the expected fault rate).
3.5. Prototype IoT Network and FTA Development
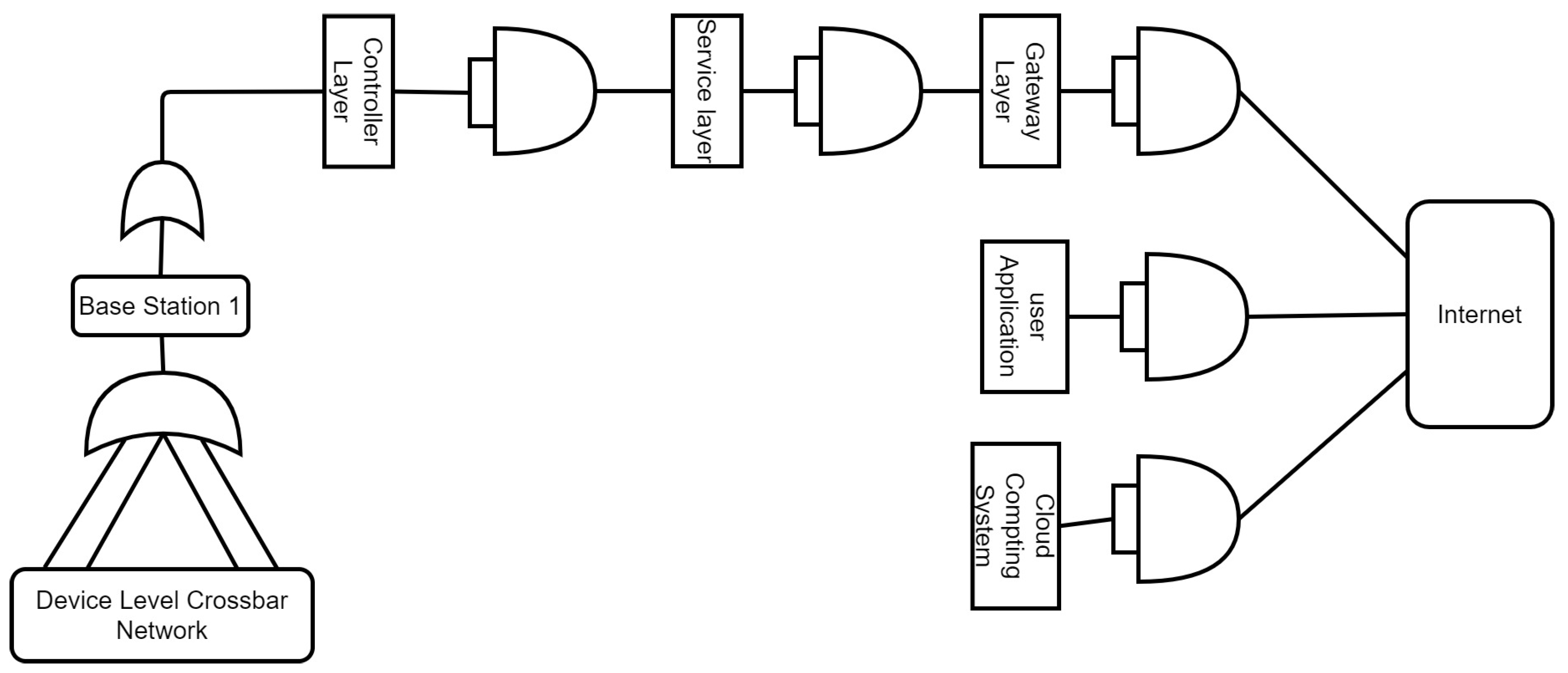
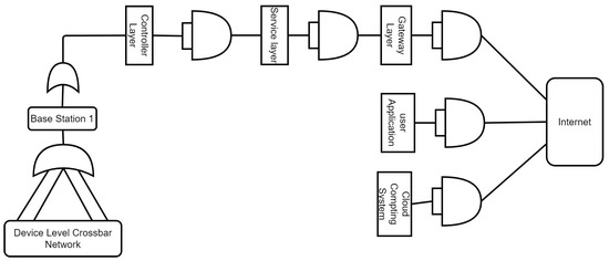
Figure 3 shows the prototype network developed and implemented to experiment with the findings of this paper. The network is called linear, as no complex network topologies are used. Four device clusters carrying three inputs are implemented as hierarchically connected networks. The device clusters communicate directly with the base station for onward communication.
Figure 3.
Prototype IoT Network.
An FTA diagram representing the prototype network shown in Figure 4 is generated following the data flow and connectivity of the devices designed into the IoT network. The devices are shown to be connected and formed into a hierarchical network using OR/AND gates. The OR/AND gates simulate the mutually exclusive and combined relationships of the devices.
Figure 4.
Fault Tree Diagram for Prototype IoT Network.
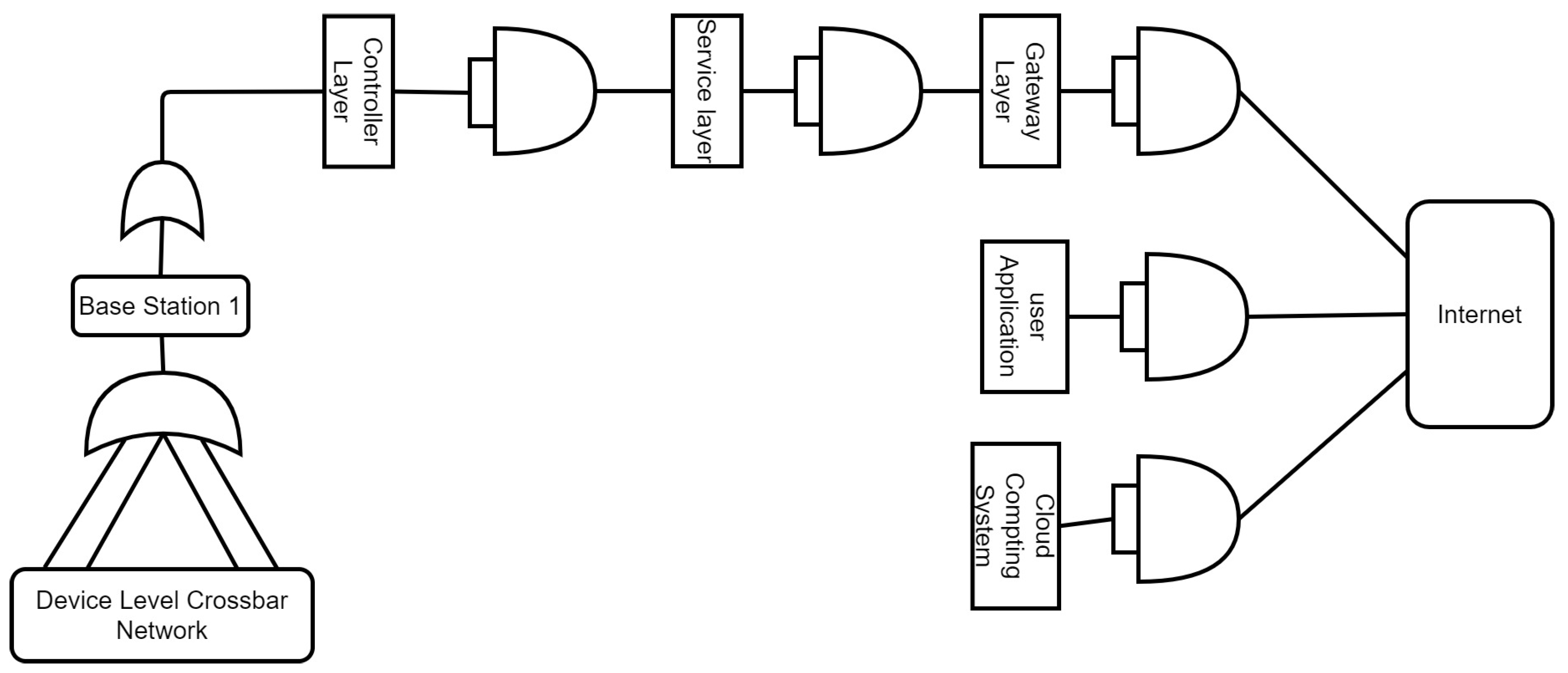
3.6. Computing the Fault Rate of the Revised IoT Network with Crossbar Network Included in the Device Layer
A crossbar network is introduced into the device layer, connecting the input devices and producing the outputs connected to a cluster head communicating with the Base Station to affect the onward transmission.
In the modified IoT network, a single station and four Cluster heads are connected through a crossbar network. 16 (2n) paths evolve to carry the inputs from the devices, where n is the number of inputs. There are n − 1 alternate paths for each path, which helps to improve transmission speed and make the IoT network highly reliable. The changed IoT network is shown in Figure 5.
Figure 5.
Crossbar topology introduced at the device layer.
Sixteen switches have been used to establish a crossbar network. The crossbar network now provides four alternate paths, leading to a high level of redundancy. The switches do the data routing and switching. When all the switches are working, the performance of the IoT network is expected to be high. The failure of one switch will not hamper the network, as only one communication path will die down.
Figure 6 shows the FTA diagram for the IoT network with a built-in crossbar network in the device layer. The fault rate of the crossbar network is computed using its related probability model (Equation (5)), and the crossbar model is replaced using the single device that is attached with the success rate computed through the probability model, thus forming a liner network which is used to compute overall success rate using the FTA model.
Figure 6.
FTA of IoT network with Crossbar topology implemented in Device Layer.
3.7. Computing the Fault Rate Considering Cross Bar Network and Firmware in the Devices
A device in an IoT network ceases to exist when it enters the zero-power state. The fault rate of a device can be computed using the supply voltage and the maximum rated power of the device using Equation (2).
The failure rate of the device depends on its residual power. The rated power of a device is depleted as the sensors transmit the data received by the actuators.
Firmware can compute the amount of power left over, the size of the data transmitted, and the transmission time used. It can also compute the power depletion rate and the time it takes to transmit a data byte.
System calls can compute the left power of the device and the device’s data transmission interface can compute the transmission time and the number of bytes of data transmitted. Based on the leftover power, the MTBF (mean time before failures), which is estimated on the basis of the device’s failure rate, can be computed.
The behavior of the tiny devices is erratic when gradual power depletion occurs due to radios being used to transmit the data. The erratic behavior of a device that causes a fault is judged by measuring the available power and checking the quality of the output power signal of the battery fitted into the device. A false alarm rate is computed when the battery’s output signal is erroneous while the battery power is within the threshold level.
The output signal quality is verified using the assert macros in the device’s firmware. The use of assert macros helps to determine if a fault exists. Assert Macros take a single parameter as an argument and evaluate it to find its true value. The assert macros do nothing if the parameter is evaluated to the true value. Assert Macros cause the program to crash if the parameter is evaluated as false. In that case, the entire device will be out of service, leading to data loss from that device, but no harm shall be caused when an element of redundancy is included in the system. A device is expected to be faulty; no fault is induced when isolated.
A device’s output signal can be mapped to a variable assigned to PIN. The variable is tested for null values. If the signal is null when adequate power is in the device, it is construed as a false alarm. Assert macros are modified to ensure that the system is never halted due to furious signals. Assert macros are also used to determine the false alarm rate and compute the remaining power of the battery.
The device’s Lifetime is calculated considering the output generated through Algorithm 1, which includes False Alarm Rate, Battery Leftover Power, Number of Bytes Transmitted, Power Depletion Rate, and Response Time for Transmission using the metrics explained in Section 4 and Section 5.
The device that has resulted in spurious signals or when the left-over-power < Threshold power is taken out of service, and the FTA of the IoT network is computed using the hybrid model.
| Algorithm 1 algorithm caption |
| INPUT Battery-rated power Battery-Thresh-Hold Value Outputframe-of-battery Data-buff OUTPUT False-Alarm Rate Battery-Left-Over-Power Number-Of Bytes-Transmitted Power depletion rate Response-Time-For-Transmission PROCESS Initialize WiFi While (TRUE) { BatteryManager ( ) CommunicationManager ( ) DeviceSensingManager ( ) } BatteryManager( ) { Compute Battery Leftover power. Trace Outputframe Compute False Alaran Rate if Outframe – NULL and Battery Leftover power > Threshold power level. Display Battery Left Over Power Display False Alarm Rate Display Outputframe of battery Display Number Of Bytes Transmitted Display Power Depletion Rate Display Response Time For Transmission } CommunicationManager ( ) { Time1 = Current CPU Time Transmit Data buff Time2 = Current CPU Time Response Time For Transmission += (Time2 − Time1) Number Of Bytes Transmitted += Size(Databuff) } DeviceSensingManager ( ) { Read Data-Buff } Output Metrics
|
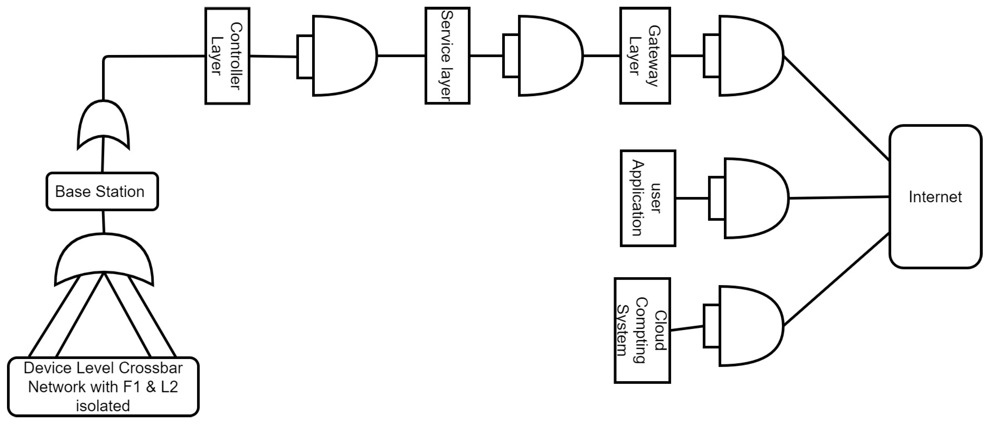
3.8. Modelling Residual Crossbar Model
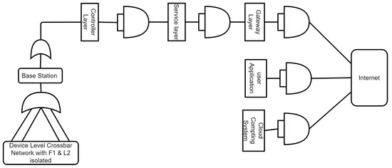
Consider devices “FAN-1” and “Light-2” that have been isolated either due to spurious power signals or due to the reason that leftover power < threshold value.
Figure 7 shows the adjusted IoT diagram built with a Crossbar network in the device layer. Figure 8 shows the FTA diagram related to the adjusted diagram. The FTA diagram is developed using the same principle as that of replacing the crossbar network with a device included in the linearized IoT network.
Figure 7.
Adjusted Crossbar network with two devices placed in an isolated state.
Figure 8.
FTA for Adjusted Crossbar network with two devices placed in an isolated state.
4. Results and Discussion
The Success rate, Longevity, False alarm rate, Power depletion rate, Accuracy of the Prototype model, prototype network implemented with a Crossbar network, and a power fault diagnosis and mitigation system implemented within the firmware are computed separately.
The calculations are done using Equations (1) and (5)–(8). The inputs have been varied from 12 to 28, considering all three types of networks. The computations related to the prototype network are shown in Table 2.
Table 2.
Metric computation in respect of the prototype model varying the inputs from 12 to 28.
In contrast, the computations related to prototype networks extended with the crossbar network are shown in Table 3.
Table 3.
Metric Computationn in respect of the prototype model with a built-in crossbar network in the device layer varying the inputs from 12 to 28.
The calculations related to the third alternative, which implements a crossbar network in the device layer, and the implementation of the fault prediction system within the firmware are shown in Table 4.
Table 4.
Metric Computationn in respect of Prototype with Built-in Crossbar at the device layer and induced power faults varying the inputs from 12 to 28.
The tables show the details related to the Total number of inputs, Bytes Transmitted per input, Total Number of Bytes Transmitted, Power depletion per byte of transmission in watts, Total power depleted in watts, Total longevity in months, No. of True Negative (TN), No. of False Positive (FP), No. of True Positive (TP), No. of False Negative (FN), False Alarm Rate, Accuracy, and Success rate.
The longevity is computed considering the total time taken to transmit the data until the entire power of the device is consumed. The false alarm rate is computed by experimenting with the IoT model using 1000 examples and measuring True positives and Negatives, False positives and negatives.
The success rate computations for IoT implemented with crossbar topology and Firmware are shown in Table 5. Figure 9, Figure 10 and Figure 11 show the variation in the success rate, false alarm rate, and accuracy as the number of inputs changes. The figures show that as the number of inputs increases, the success rate, the false alarm rate, and the precision increase. In contrast, the Success Rate and Accuracy improve, and the false alarm rate increases due to increased input.
Table 5.
FTA calculations for Prototype with Built-in crossbar at device layer and induced power faults.
Figure 9.
Prototype—Number of Inputs vs. Success Rate, False Alarm Rate, Accuracy.
Figure 10.
Prototype with Crossbar—Number of Inputs vs. Success Rate, False Alarm Rate, Accuracy.
Figure 11.
Prototype with Built-in Crossbar at device layer and induced power faults—Number of Inputs vs. Success Rate, False Alarm Rate, Accuracy.
The fault alarm rate increases in all three models (prototype, prototype with crossbar, prototype + crossbar + fault injection prediction) as the number of inputs increases. More devices will be added to detect more inputs and as the number of devices increases, more false alarms can be seen.
In all three alternative IoT networks described above, the data transmitted per input decreases as the number of inputs increases. This is because the same amount of data needs to be transmitted with a change in inputs and because alternate paths for communication are available in both enhanced IoT models. Increasing the paths for transmitting data from the device has improved the system. The failure of a few paths does not affect the fault tolerance level of the IoT network.
The enhancements by implementing a crossbar network and a power failure prediction system have significantly improved all metric values. The power-related fault prediction and mitigation model has also been implemented as an integral part of application-related firmware. Table 4 shows the metrics (Success Rate, False Alarm Rate, Longevity, Accuracy) computed based on the data transfer rate. The Table Shows the details of the metrics computed considering different enhancements to the prototype network, including implementing a Crossbar network and a fault prediction and mitigation system at the device level.
The fault rate of the crossbar network is computed using its related probability model (Equation (9)), shown below.
where
- = Probability that a Link is Faulty.
- = Probability that a link and a switch box are not faulty.
- N = Number of inputs.
- M = Number of outputs.
In the adjusted and updated network N = 12, M = 4, = 9.98, Q = 0.987.
The crossbar network is replaced by a single device, which is assigned the crossbar network fault rate, thus creating the linearized hierarchical fault tolerance analysis model. Table 5 shows the calculation of the fault rate of the modified and adjusted IoT model. The table shows the computational details, which show the precedence relationships among the devices and carry the success rate based on the OR/AND relationship.
The calculations related to the longevity, false alarm rate, power depletion rat, and accuracy of the adjusted and modified IoT network are shown below, considering 12 inputs fed into the IoT network. The following are the sample calculations based on the details shown in Table 6.
Table 6.
Stage improvements due to enhancement implemented within the IoT network.
- Longuity calculation
- Calculation of false alarm rate
The false alarm rate of the prototype network with a built crossbar in the device layer and induced power faults is calculated using Equation (8). Sample computations considering 12 inputs are placed below:
- Power depletion rate computation
The power depletion rate of the Prototype with a Built-in Crossbar at the device layer and induced power faults is computed using Equation (9). The following sample computations considering 12 inputs are placed below.
- Computation of accuracy
Equations (1), (8) and (10) and Table 6 are used to calculate the success rate, false alarm rate, and power depletion rate.
Some strategies suggested to take alternate actions to recover from faults. A time series analysis was presented to diagnose faults in the IoT network that do not correspond to a particular type of error [18].
Comparative Analysis
Several learning models, such as the SVM model [34], the Hidden Markov Chain model [35], the Multi-Objective Deep Hidden Model [36], the Cluster Broker Selection [37], the Block Chain model [38], the Mode and Effects Analysis model [39], have been used to learn the occurrence of the fault. Table 6 shows the comparative analysis of metrics achieved by different competing models. In the Table 7, the longevity improved from 31 to 59 months, the false alarm rate decreased by 77%, the accuracy improved by 5%, and the fault tolerance level improved by 21%.
Table 7.
Comparative analysis of Metrics computed using different literature-reported models.
5. Conclusions and Future Scope
Communication failures are often due to fewer paths, especially at the device level, leading to reduced fault tolerance levels. Advanced network topologies will help increase the number of available paths, thereby enhancing the fault tolerance level of the IoT network. Small devices are power-constrained. As the power in the small devices depletes and reaches the threshold level, spurious signals are generated, inducing faults in the system. The method presented in this paper diagnoses spurious signals that can lead to an injunction of the faults. Once isolated, the devices that tend to induce faults will not cause any injection of faults into the system.
Better fault tolerance at the device layer is achieved in two stages. In stage-1, a crossbar network is implemented to connect the cluster to the cluster head and achieve enhancements in different metrics, which lead to a higher fault tolerance level of the IoT network (longitudinal increase of 13 months, reduction of the false alarm rate by 0.201, increase in accuracy by 5. 9%, increase in success rate by 11%).
The fault tolerance of the IoT network was further enhanced due to the implementation of a fault diagnosis and mitigation system within the sensor/actuator firmware (increase in longevity by 9 months, reduction of the false alarm rate by 0.006, increase in precision by 1%, increase in success rate by 6%.
The two methods implemented at the device level lead to a higher level of fault tolerance than the nearest model (increase in longevity by 61%, reduction of false alarm rate by 77%, increase in accuracy by 5%, increase in success rate by 21%).
The findings of this paper can be implemented in the device layer of any mission-critical IoT-based system. The number of device clusters must be considered based on the number and type of sensed input. A trade analysis must be performed, considering the criticality and expense of implementing the findings presented in this paper.
Author Contributions
Conceptualization, K.R.S.J.; Methodology, K.R.S.J. and B.C.; Software, B.K.D.; Validation, B.K.D.; Formal analysis, K.R.S.J., B.C. and S.B.J.; Investigation, K.R.S.J., B.C. and S.B.J.; Resources, B.C., S.B.J. and B.K.D.; Data curation, B.K.D.; Writing—original draft, K.R.S.J.; Writing—review & editing, K.R.S.J. and S.B.J.; Visualization, B.K.D.; Project administration, K.R.S.J.; Funding acquisition, S.B.J. All authors have read and agreed to the published version of the manuscript.
Funding
This research received no external funding.
Institutional Review Board Statement
Not applicable.
Informed Consent Statement
Not applicable.
Data Availability Statement
The original contributions presented in the study are included in the article. Further inquiries can be directed to the corresponding author.
Conflicts of Interest
The authors declare no conflicts of interest.
References
- Ciccozzi, F.; Crnkovic, I.; Di Ruscio, D.; Malavolta, I.; Pelliccione, P.; Spalazzese, R. Model-Driven Engineering for Mission-Critical IoT Systems. IEEE Soft. 2017, 34, 46–53. [Google Scholar] [CrossRef]
- Mardiyah, N.; Setyawan, N.; Retno, B.; Has, Z. Active Fault Tolerance Control for Sensor Fault Problem in Wind Turbine Using SMO with LMI Approach. In Proceedings of the 2018 5th International Conference on Electrical Engineering, Computer Science, and Informatics (EECSI), Malang, Indonesia, 16–18 October 2018; pp. 336–340. [Google Scholar] [CrossRef]
- Sowmya, K.V.; Sastry, J.K.R. Performance optimization within the device layer of IoT networks. J. Eng. Sci. Technol. 2021, 16, 5087–5109. [Google Scholar]
- Sowmya, K.V.; Sastry, J.K.R. Improving the Performance of Heterogeneous IoT Networks through Multi-Stage and Parallel Computing Systems. Iran. Sci. 2003, 30, 1714–1730. [Google Scholar] [CrossRef]
- Young, M. The Technical Writer’s Handbook; University Science: Mill Valley, CA, USA, 1989. [Google Scholar]
- Sowmya, K.V.; Sastry, J.K.R. Implementing load-balanced concurrent service layer to improve an IoT network’s response time. J. Eng. Sci. Technol. 2022, 17, 4487–4504. [Google Scholar]
- Sowmya, K.; Sastry, J.K.R. Enhancing Performance of IoT Networks through High-Performance Computing. Int. J. Adv. Trends Comput. Sci. Eng. 2019, 8, 432–442. [Google Scholar] [CrossRef]
- Mohsin, A.; Naqvi, S.I.R.; Khan, A.U.; Naeem, T.; AsadUllah, M.A. A comprehensive framework to quantify fault tolerance metrics of web centric mobile applications. In Proceedings of the 2017 International Conference on Communication Technologies (ComTech), Rawalpindi, Pakistan, 19–21 April 2017. [Google Scholar] [CrossRef]
- Dugan, J.B.; Bavuso, S.J. Dynamic Fault-Tree Models for Fault-Tolerant Computer Systems. IEEE Trans. Reliab. 1992, 41, 3–9. [Google Scholar] [CrossRef]
- Yazdi, M.; Nikfar, F.; Nasrabadi, M. Failure probability analysis by employing fuzzy fault tree analysis. Int. J. Syst. Assur. Eng. Manag. 2017, 8 (Suppl. 2), 1177–1193. [Google Scholar] [CrossRef]
- Chokara, B.; Jammalamadaka, S.K.R. Hybrid Models for Computing Fault Tolerance of IoT Networks. Telkomnika Telecommun. Comput. Electron. Control 2023, 21, 333–345. [Google Scholar] [CrossRef]
- Rathore, S.S.; Kumar, S. An empirical study of some software fault prediction techniques for the number of faults prediction. Soft Comput. 2017, 21, 7417–7434. [Google Scholar] [CrossRef]
- Lin, J.; Chelliah, P.R.; Hsu, M.; Hou, J. Efficient Fault-Tolerant Routing in IoT Wireless Sensor Networks Based on Bipartite-Flow Graph Modeling. IEEE Access 2019, 7, 14022–14034. [Google Scholar] [CrossRef]
- Biabani, M.; Yazdani, N.; Fotouhi, H. REFIT: Robustness Enhancement Against Cascading Failure in IoT Networks. IEEE Access 2021, 9, 40768–40782. [Google Scholar] [CrossRef]
- Xing, L. Cascading Failures in Internet of Things: Review and Perspectives on Reliability and Resilience. IEEE Internet Things J. 2021, 8, 44–64. [Google Scholar] [CrossRef]
- Power, A.; Kotonya, G. BoboCEP: Distributed Complex Event Processing for Resilient Fault-Tolerance Support in IoT. In Proceedings of the 2020 IEEE Sixth International Conference on Big Data Computing Service and Applications (Bigdata Service), Oxford, UK, 3–6 August 2020; pp. 109–112. [Google Scholar]
- Malarski, K.M.; Ballal, K.D.; Ruepp, S. D2D-enabled Failure-tolerance in Cellular IoT. In Proceedings of the 2021 12th International Conference on Network of the Future (NoF), Coimbra, Portugal, 6–8 October 2021; pp. 1–5. [Google Scholar] [CrossRef]
- Safari, S.; Ansari, M.; Khdr, H.; Gohari-Nazari, P.; Yari-Karin, S.; Yeganeh-Khaksar, A.; Hessabi, S.; Ejlali, A.; Henkel, J. A Survey of Fault-Tolerance Techniques for Embedded Systems From the Perspective of Power, Energy, and Thermal Issues. IEEE Access 2022, 10, 12229–12251. [Google Scholar] [CrossRef]
- Norris, M.; Celik, B.; Venkatesh, P.; Zhao, S.; McDaniel, P.; Sivasubramaniam, A.; Tan, G. IoTRepair: Systematically Addressing Device Faults in Commodity IoT. In Proceedings of the 2020 IEEE/ACM Fifth International Conference on Internet-of-Things Design and Implementation (IoTDI), Sydney, Australia, 21–24 April 2020; pp. 142–148. [Google Scholar] [CrossRef]
- Power, A.; Kotonya, G. Complex Patterns of Failure: Fault Tolerance via Complex Event Processing for IoT Systems. In Proceedings of the 2019 International Conference on Internet of Things (iThings) and IEEE Green Computing and Communications (GreenCom) and IEEE Cyber, Physical and Social Computing (CPSCom) and IEEE Smart Data (SmartData), Atlanta, GA, USA, 14–17 July 2019; pp. 986–993. [Google Scholar]
- Zhao, X.; Lucani, D.E.; Shen, X.; Wang, H. Minimizing Bandwidth Use in IoT Storage with Random Device Failures. In Proceedings of the European Wireless 2019, 25th European Wireless Conference, Aarhus, Denmark, 2–4 May 2019; pp. 1–5. [Google Scholar]
- Sastry, J.K.R.; Bhupathi, S. Enhancing Fault Tolerance of IoT Networks within Device Layer. Int. J. Emerg. Trends Eng. Res. 2020, 8, 491–509. [Google Scholar] [CrossRef]
- Geethika Reddy, A.; Upendra, Y.; Sastry, J.K.R.; Bhupathi, S. An Approach to Compute Fault Tolerance of an IoT Network Having Clustered Devices Using Cross Bar Networks. Int. J. Emerg. Trends Eng. Res. 2020, 8, 987–1004. [Google Scholar] [CrossRef]
- Samanta, A.; Esposito, F.; Nguyen, T.G. Fault-Tolerant Mechanism for Edge-Based IoT Networks with Demand Uncertainty. IEEE Internet Things J. 2021, 8, 16963–16971. [Google Scholar] [CrossRef]
- Kumar, S.; Ranjan, P.; Singh, P.; Tripathy, M.R. Design and Implementation of Fault Tolerance Technique for Internet of Things (IoT). In Proceedings of the 2020 12th International Conference on Computational Intelligence and Communication Networks (CICN), Bhimtal, India, 25–26 September 2020; pp. 154–159. [Google Scholar]
- Zaiter, M.; Hacini, S. A Distributed Fault Tolerance Mechanism for an IoT Healthcare system. In Proceedings of the 2020 21st International Arab Conference on Information Technology (ACIT), Giza, Egypt, 28–30 November 2020; pp. 1–6. [Google Scholar]
- Thomas, D.; Orgun, M.; Hitchens, M.; Shankaran, R.; Mukhopadhyay, S.C.; Ni, W. A Graph-Based Fault-Tolerant Approach to Modeling QoS for IoT-Based Surveillance Applications. IEEE Internet Things J. 2021, 8, 3587–3604. [Google Scholar] [CrossRef]
- Bhupathi, J.K.R.; Sastry, A. Framework for effecting fault tolerance within IoT network. J. Adv. Res. Dyn. Control Syst. 2018, 10, 424–432. [Google Scholar]
- Salehi, M.; Kriebel, F.; Rehman, S.; Shafique, M. Power-Aware Fault-Tolerance for Embedded Systems. In Dependable Embedded Systems; Springer: Cham, Switzerland, 2021. [Google Scholar] [CrossRef]
- Rajaiyan, A.; Sobati-Moghadam, S. Optimized Power Consumption Formula for Designing IoT-Based Systems. In Proceedings of the 2022 Second International Conference on Distributed Computing and High-Performance Computing (DCHPC), Qom, Iran, 2–3 March 2022; pp. 74–77. [Google Scholar] [CrossRef]
- Xu, T.; Potkonjak, M. Energy-efficient fault tolerance approach for Internet of Things applications. In Proceedings of the 2016 IEEE/ACM International Conference on Computer-Aided Design (ICCAD), Austin, TX, USA, 7–10 November 2016; pp. 1–8. [Google Scholar]
- Lavanya, S.; Prasanth, A.; Jayachitra, S.; Shenbagarajan, A. A Tuned classification approach for efficient heterogeneous fault diagnosis in IoT-enabled WSN applications. Measurement 2021, 183, 109771. [Google Scholar] [CrossRef]
- Prasanth, A. Certain Investigations on Energy-Efficient Fault Detection and Recovery Management in Underwater Wireless Sensor Networks. J. Circuits Syst. Comput. 2020, 30, 2150137. [Google Scholar] [CrossRef]
- Agarwal, V.; Tapaswi, S.; Chanak, P. Intelligent Fault-Tolerance Data Routing Scheme for IoT-enabled WSNs. IEEE Internet Things J. 2022, 9, 16332–16342. [Google Scholar] [CrossRef]
- Bukhsh, M.; Abdullah, S.; Rahman, A.; Asghar, M.N.; Arshad, H.; Alabdulatif, A. An Energy-Aware, Highly Available, and Fault-Tolerant Method for Reliable IoT Systems. IEEE Access 2021, 9, 145363–145381. [Google Scholar] [CrossRef]
- Zhang, W.; Lu, Q.; Yu, Q.; Li, Z.; Liu, Y.; Lo, S.K.; Chen, S.; Xu, X.; Zhu, L. Blockchain-Based Federated Learning for Device Failure Detection in Industrial IoT. IEEE Internet Things J. 2021, 8, 5926–5937. [Google Scholar] [CrossRef]
- Li, J.; Xuan, C.; Shao, B.; Ji, H.; Ren, C. A new connected device-based Failure Mode and Effects Analysis model. In Proceedings of the 2014 IEEE International Conference on Service Operations and Logistics, and Informatics, Qingdao, China, 8–10 October 2014; pp. 1–5. [Google Scholar] [CrossRef]
- Ara, T.; Prabhakar, M.; Bali, M. Fault Prediction in Wireless Sensor Networks using Soft Computing. In Proceedings of the 2020 International Conference on Smart Technologies in Computing, Electrical and Electronics (ICSTCEE), Bengaluru, India, 9–10 October 2020; pp. 532–538. [Google Scholar]
- Zhang, J.; Jiang, Y.; Li, X.; Huo, M.; Luo, H.; Yin, S. An adaptive remaining useful life prediction approach for single battery with unlabeled small sample data and parameter uncertainty. Reliab. Eng. Syst. Saf. 2022, 222, 108357. [Google Scholar] [CrossRef]
- Zhang, J.; Jiang, Y.; Li, X.; Luo, H.; Yin, S.; Kaynak, O. Remaining Useful Life Prediction of Lithium-Ion Battery with Adaptive Noise Estimation and Capacity Regeneration Detection. IEEE/Asme Trans. Mechatron. 2022, 28, 632–643. [Google Scholar] [CrossRef]
- Zhang, J.; Li, X.; Tian, J.; Jiang, Y.; Luo, H.; Yin, S. A variational local weighted deep sub-domain adaptation network for remaining useful life prediction facing cross-domain conditions. Reliab. Eng. Syst. Saf. 2023, 231, 108986. [Google Scholar] [CrossRef]
- Sastry, J.K.R.; Ch, B.; Budaraju, R.R. Implementing Dual Base Stations within an IoT Network for Sustaining the Fault Tolerance of an IoT Network through an Efficient Path Finding Algorithm. Sensors 2023, 23, 4032. [Google Scholar] [CrossRef]
- Jammalamadaka, S.K.R.; Chokara, B.; Jammalamadaka, S.B.; Duvvuri, B.K.; Budaraju, R. Enhancing the Fault Tolerance of a Multi-Layered IoT Network through Rectangular and Interstitial Mesh in the Gateway Layer. Sens. Actuator Netw. 2023, 12, 76. [Google Scholar] [CrossRef]
- Jammalamadaka, S.K.R.; Chokara, B.; Jammalamadaka, S.B.; Duvvuri, B.K. Using DL Models in the Service Layer to Enhance the Fault Tolerance of IoT Networks. J. Electron. 2024, 13, 4334. [Google Scholar] [CrossRef]
- Jammalamadaka, S.K.R.; Chokara, B.; Jammalamadaka, S.B.; Duvvuri, B.K. Networking Microcontrollers and Balancing the Load on the Service Servers to Enhance the Fault Tolerance of the IoT Networks. J. Math. 2024, 12, 3730. [Google Scholar] [CrossRef]
- Shafin, S.S.; Karmakar, G.; Mareels, I.; Balasubramanian, V.; Kolluri, R.R. Sensor Self-Declaration of Numeric Data Reliability in the Internet of Things. IEEE Trans. Reliab. 2024, 99, 1–15. [Google Scholar] [CrossRef]
Disclaimer/Publisher’s Note: The statements, opinions and data contained in all publications are solely those of the individual author(s) and contributor(s) and not of MDPI and/or the editor(s). MDPI and/or the editor(s) disclaim responsibility for any injury to people or property resulting from any ideas, methods, instructions or products referred to in the content. |
© 2025 by the authors. Licensee MDPI, Basel, Switzerland. This article is an open access article distributed under the terms and conditions of the Creative Commons Attribution (CC BY) license (https://creativecommons.org/licenses/by/4.0/).










