A Salinity-Impact Analysis of Polarization Division Multiplexing-Based Underwater Optical Wireless Communication System with High-Speed Data Transmission
Abstract
:1. Introduction
2. Related Works
- (a)
- Increased Transmission Capacity: The use of PDM allows for the simultaneous transmission of multiple data streams over the same optical channel. As a result, the data rate of our proposed PDM-UWOC system is significantly higher than existing UWOC systems that rely on single-polarization transmission. This enhancement in transmission capacity opens up new possibilities for high-data-rate underwater communication applications.
- (b)
- Improved Spectral Efficiency: With the simultaneous transmission of data in two polarization states, our PDM-UWOC system achieves improved spectral efficiency. By efficiently utilizing the available optical spectrum, our system can transmit more data within the same bandwidth, making it a promising solution for increasing the efficiency of underwater communication links.
- (c)
- Mitigation of Polarization-Induced Fading: The implementation of PDM helps mitigate the adverse effects of polarization-induced fading, which is a common issue in underwater communication. By transmitting data in two orthogonal polarization states, we enhance the robustness and reliability of the communication link, leading to improved overall system performance.
3. UWOC Channel Modeling
4. Proposed PDM-Based UWOC Link Description
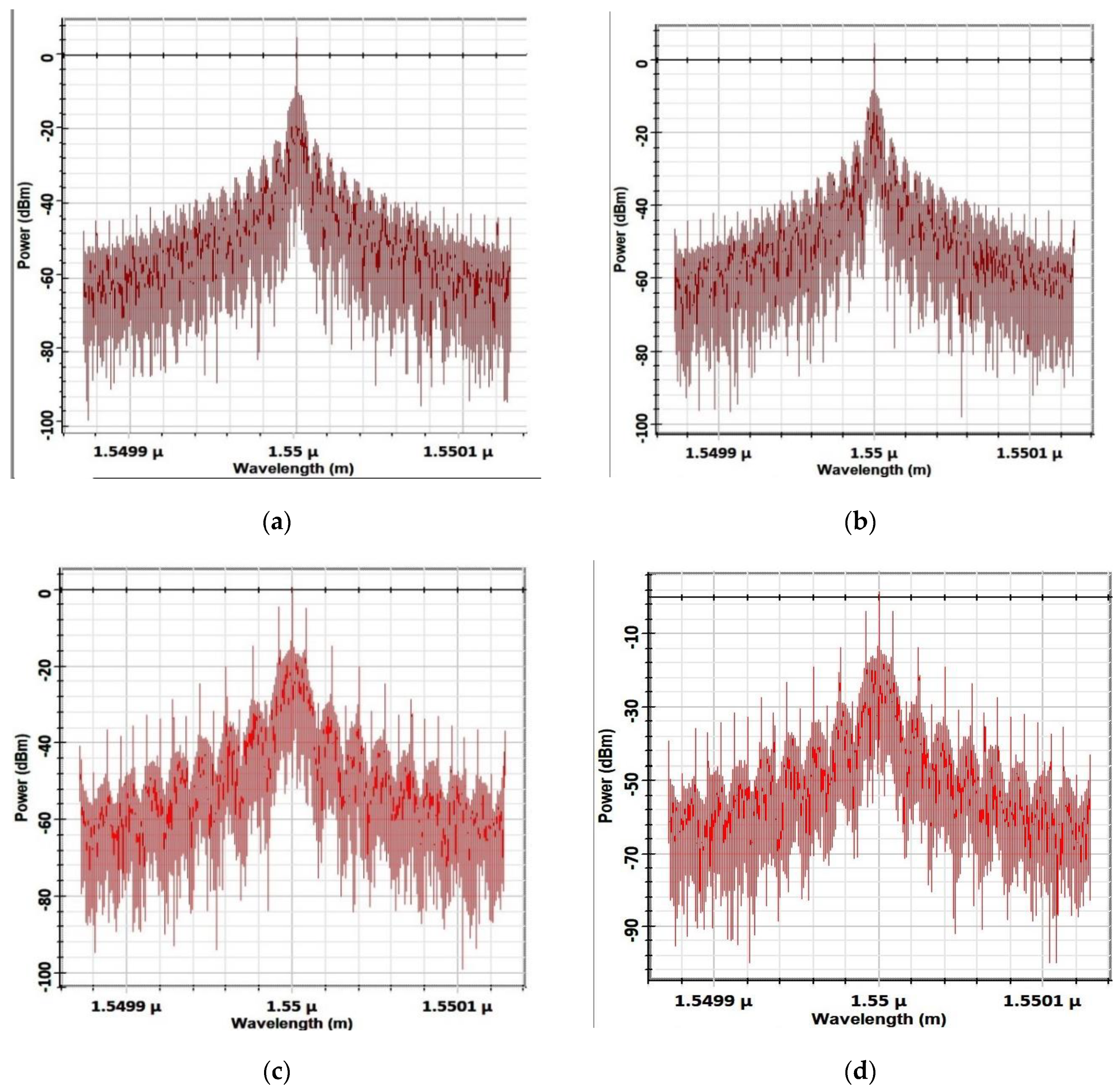
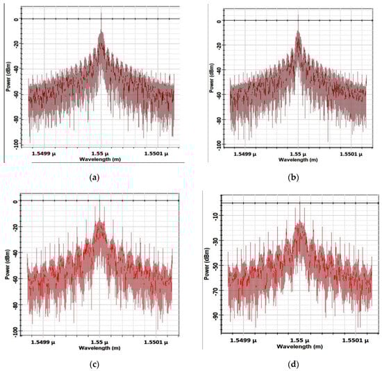
5. Results and Discussion
6. Contribution to Sensor and Actuator Networks
- (I)
- Integration with Sensor and Actuator NetworksOur proposed UWOC system offers several features that align with the requirements of sensor and actuator networks. One of the primary strengths of our system is its ability to transmit data at high rates with low latency, making it particularly suitable for real-time data collection and control applications. By seamlessly integrating our UWOC system into sensor networks, we can achieve faster and more efficient data transmission, enabling enhanced decision-making processes and real-time monitoring of remote environments.
- (II)
- Use Cases and Applications
- (a)
- Remote Environmental MonitoringIn sensor and actuator networks for environmental monitoring, the timely collection of data from remote sensors is critical. Our UWOC system can enable high-speed data transmission from underwater sensors to central monitoring stations, facilitating the rapid assessment of environmental conditions. This can have applications in monitoring oceanographic data, assessing water quality, and tracking marine life.
- (b)
- Underwater Robotics and ActuationIn underwater robotics and actuation systems, real-time communication is vital for remote vehicle control and data retrieval. By employing our UWOC technology, underwater robots can benefit from improved data rates and reduced communication delays, leading to more precise control and efficient exploration of aquatic environments.
- (III)
- Potential ImpactThe integration of our proposed UWOC system into sensor and actuator networks can yield significant benefits. It can enhance the capabilities of remote monitoring system:
- (a)
- Expand the scope of underwater data collection and analysis.
- (b)
- Improve the reliability of underwater communication networks.
- (c)
- Enhance real-time control and actuation in aquatic environments.
7. Conclusions
Author Contributions
Funding
Data Availability Statement
Acknowledgments
Conflicts of Interest
References
- Bello, O.; Zeadally, S. Internet of underwater things communication: Architecture, technologies, research challenges and future opportunities. Ad Hoc Netw. 2022, 135, 102933. [Google Scholar] [CrossRef]
- Menaka, D.; Gauni, S.; Manimegalai, C.T.; Kalimuthu, K. Challenges and vision of wireless optical and acoustic communication in underwater environment. Int. J. Commun. Syst. 2022, 35, e5227. [Google Scholar] [CrossRef]
- Mohsan, S.A.H.; Mazinani, A.; Othman, N.Q.H.; Amjad, H. Towards the internet of underwater things: A comprehensive survey. Earth Sci. Inform. 2022, 15, 735–764. [Google Scholar] [CrossRef]
- Pozzebon, A.; Cappelli, I.; Campagnaro, F.; Francescon, R.; Zorzi, M. LoRaWAN Transmissions in Salt Water for Superficial Marine Sensor Networking: Laboratory and Field Tests. Sensors 2023, 23, 4726. [Google Scholar] [CrossRef] [PubMed]
- Stojanovic, M.; Preisig, J. Underwater acoustic communication channels: Propagation models and statistical characterization. IEEE Commun. Mag. 2009, 47, 84–89. [Google Scholar] [CrossRef]
- Tuna, G.; Gungor, V.C. A survey on deployment techniques, localization algorithms, and research challenges for underwater acoustic sensor networks. Int. J. Commun. Syst. 2017, 30, e3350. [Google Scholar] [CrossRef]
- Domingo, M.C. An overview of the internet of underwater things. J. Netw. Comput. Appl. 2012, 35, 1879–1890. [Google Scholar] [CrossRef]
- Codd-Downey, R.; Jenkin, M. LightByte: Communicating Wirelessly with an Underwater Robot using Light. In Proceedings of the 15th International Conference on Informatics in Control, Automation and Robotics—ICINCO (2), Porto, Portugal, 29–31 July 2018; pp. 309–316. [Google Scholar]
- Shen, C.; Alkhazragi, O.; Sun, X.; Guo, Y.; Ng, T.K.; Ooi, B.S. Laser-based visible light communications and underwater wireless optical communications: A device perspective. In Novel in-Plane Semiconductor Lasers XVIII; SPIE: San Francisco, CA, USA, 2019; Volume 10939, pp. 29–37. [Google Scholar]
- Qasem, Z.A.; Ali, A.; Deng, B.; Li, Q.; Fu, H. Unipolar X-Transform OFDM with Index Modulation for Underwater Optical Wireless Communications. IEEE Photonics Technol. Lett. 2023, 35, 581–584. [Google Scholar] [CrossRef]
- Qasem, Z.A.; Ali, A.; Deng, B.; Li, Q.; Fu, H. Index modulation-based efficient technique for underwater wireless optical communications. Opt. Laser Technol. 2023, 167, 109683. [Google Scholar] [CrossRef]
- Ali, M.F.; Jayakody, D.N.K.; Chursin, Y.A.; Affes, S.; Dmitry, S. Recent advances and future directions on underwater wireless communications. Arch. Comput. Methods Eng. 2020, 27, 1379–1412. [Google Scholar] [CrossRef]
- Ali, M.F.; Jayakody, D.N.K.; Li, Y. Recent trends in underwater visible light communication (UVLC) systems. IEEE Access 2022, 10, 22169–22225. [Google Scholar] [CrossRef]
- Zhang, X. An investigation on large capacity transmission technologies for UWOC systems. J. Phys. Conf. Ser. 2021, 1920, 012018. [Google Scholar] [CrossRef]
- Jiang, H.; He, N.; Liao, X.; Popoola, W.; Rajbhandari, S. The BER Performance of the LDPC-Coded MPPM over Turbulence UWOC Channels. Photonics 2022, 9, 349. [Google Scholar] [CrossRef]
- Xu, X.; Li, Y.; Huang, P.; Ju, M.; Tan, G. BER Performance of UWOC with APD Receiver in Wide Range Oceanic Turbulence. IEEE Access 2022, 10, 25203–25218. [Google Scholar] [CrossRef]
- Chen, H.; Niu, W.; Li, J.; Zhao, Y.; Shi, J.; Zhang, J.; He, Z.; Chi, N. Low-Complexity Multi-Symbol Multi-Modulus Weighted Lookup Table Predistortion in UWOC System. J. Light. Technol. 2022, 40, 4224–4236. [Google Scholar] [CrossRef]
- Liang, Y.; Yin, H.; Jing, L.; Ji, X.; Wang, J. Solution for Self-Interference of NOMA-Based Wireless Optical Communication System in Underwater Turbulence Environment. IEEE Access 2023, 11, 30223–30236. [Google Scholar] [CrossRef]
- Salim, O.N.M.; Adnan, S.A.; Mutlag, A.H. Underwater optical wireless communication system performance improvement using convolutional neural networks. AIP Adv. 2023, 13, 045302. [Google Scholar] [CrossRef]
- Sharma, A.; Chaudhary, S.; Thakur, D.; Dhasratan, V. A cost-effective high-speed radio over fibre system for millimeter wave applications. J. Opt. Commun. 2020, 41, 177–180. [Google Scholar] [CrossRef]
- Sharma, A.; Kaur, S.; Chaudhary, S. Performance analysis of 320 Gbps DWDM—FSO system under the effect of different atmospheric conditions. Opt. Quantum Electron. 2021, 53, 239. [Google Scholar] [CrossRef]
- Deng, B.; Wang, J.; Wang, Z.; Qasem, Z.A.H.; Li, Q.; Tang, X.; Chen, C.; Fu, H.Y. Polarization Multiplexing Based UOWC Systems Under Bubble Turbulence. J. Light. Technol. 2023, 41, 5588–5598. [Google Scholar] [CrossRef]
- Chaudhary, S.; Choudhary, S.; Tang, X.; Wei, X. Empirical evaluation of high-speed cost-effective Ro-FSO system by incorporating OCDMA-PDM scheme under the presence of fog. J. Opt. Commun. 2020. [Google Scholar] [CrossRef]
- Chaudhary, S.; Chaudhary, N.; Sharma, S.; Choudhary, B. High speed inter-satellite communication system by incorporating hybrid polarization-wavelength division multiplexing scheme. J. Opt. Commun. 2017, 39, 87–92. [Google Scholar] [CrossRef]
- Sharma, A.; Malhotra, J.; Chaudhary, S.; Thappa, V. Analysis of 2 × 10 Gbps MDM enabled inter satellite optical wireless communication under the impact of pointing errors. Optik 2021, 227, 165250. [Google Scholar] [CrossRef]
- Upadhyay, K.K.; Shukla, N.K.; Chaudhary, S. A high speed 100 Gbps MDM-SAC-OCDMA multimode transmission system for short haul communication. Optik 2020, 202, 163665. [Google Scholar] [CrossRef]
- Choyon, A.S.J.; Chowdhury, R. Nonlinearity compensation and link margin analysis of 112-Gbps circular-polarization division multiplexed fiber optic communication system using a digital coherent receiver over 800-km SSMF link. J. Opt. 2021, 50, 512–521. [Google Scholar] [CrossRef]
- Wang, F.; Yu, J.; Wang, Y.; Li, W.; Zhu, B.; Ding, J.; Wang, K.; Liu, C.; Wang, C.; Kong, M.; et al. Delivery of Polarization-Division-Multiplexing Wireless Millimeter-Wave Signal Over 4.6-km at W-Band. J. Light. Technol. 2022, 40, 6339–6346. [Google Scholar] [CrossRef]
- Vasani, E.; Shah, V. An Effective Design of Hybrid Spectrum Slicing WDM–PDM in FSO Communication System Under Different Weather Conditions. Wirel. Pers. Commun. 2023, 130, 777–800. [Google Scholar] [CrossRef]
- Bosu, R.; Prince, S. Perturbation methods to track wireless optical wave propagation in a random medium. J. Opt. Soc. Am. A 2016, 33, 244–250. [Google Scholar] [CrossRef]
- Kaushal, H.; Kaddoum, G. Underwater optical wireless communication. IEEE Access 2016, 4, 1518–1547. [Google Scholar] [CrossRef]
- Jerlov, N.G. Marine Optics; Elsevier: Amsterdam, The Netherlands, 1976. [Google Scholar]
- Hulburt, E. Optics of distilled and natural water. J. Opt. Soc. Am. 1945, 35, 698–705. [Google Scholar] [CrossRef]
- Korotkova, O.; Farwell, N.; Shchepakina, E. Light scintillation in oceanic turbulence. Waves Random Complex Media 2012, 22, 260–266. [Google Scholar] [CrossRef]
- Jamali, M.V.; Nabavi, P.; Salehi, J.A. MIMO Underwater Visible Light Communications: Comprehensive Channel Study, Performance Analysis, and Multiple-Symbol Detection. IEEE Trans. Veh. Technol. 2018, 67, 8223–8237. [Google Scholar] [CrossRef]
- Borowski, B. Characterization of a very shallow water acoustic communication channel. In Proceedings of the OCEANS 2009, Biloxi, MS, USA, 26–29 October 2009; pp. 1–10. [Google Scholar] [CrossRef]
- Boyd, C.E. Water Quality: An Introduction; Springer Nature: Berlin/Heidelberg, Germany, 2019. [Google Scholar]
- Zeng, Z.; Fu, S.; Zhang, H.; Dong, Y.; Cheng, J. A Survey of Underwater Optical Wireless Communications. IEEE Commun. Surv. Tutor. 2017, 19, 204–238. [Google Scholar] [CrossRef]
- Aravind, J.V.; Prince, S. Localizing an underwater sensor node using sonar and establishing underwater wireless optical communication for data transfer applications. Mar. Georesources Geotechnol. 2023, 1–17. [Google Scholar] [CrossRef]
- Ali, M.A.A.; Shaker, F.K. Performance of an underwater non-line-of-sight (NLOS) wireless optical communications system utilizing LED. J. Opt. 2023, 1–9. [Google Scholar] [CrossRef]
- Zhang, H.; Gao, Y.; Tong, Z.; Yang, X.; Zhang, Y.; Zhang, C.; Xu, J. Omnidirectional optical communication system designed for underwater swarm robotics. Opt. Express 2023, 31, 18630–18644. [Google Scholar] [CrossRef] [PubMed]
- Ren, Y.; Zhu, M.; Cui, K.; Li, L.; Wang, S. Simulation analysis of underwater wireless optical communication based on Monte Carlo method and experimental research in complex hydrological environment. AIP Adv. 2023, 13, 055226. [Google Scholar] [CrossRef]







| Component Name | Parameters | Value |
|---|---|---|
| Laser | Power | 100 mW |
| Wavelength | 1550 nm | |
| Linewidth | 10 MHz | |
| PRBS | Data rate | 1 Gbps |
| Sequence length | 1024 | |
| Samples | 32,768 | |
| UWOC Link | Receiver aperture diameter | 10 cm |
| Alkalinity | 7 pH | |
| Transmission loss | 80% | |
| Target reflectivity | 10% | |
| APD | Dark current | 10 nA |
| Gain | 3 | |
| Responsivity | 1 A/W | |
| Thermal noise |
| Year | Scheme | Max Transmission Range | Data Rate | Our Contributions and Novelty |
|---|---|---|---|---|
| 2023 [39] | NRZ | 3.06 m to 2.72 m | 500 Mbps–10 Gbps | Introduced PDM for higher data rates and improved connectivity in varying underwater conditions. |
| 2023 [40] | PPM | 10 m | Not reported | |
| 2023 [41] | OOK | 7 m | 5 Mbps | |
| 2023 [42] | OOK | 35 m | 5 Mbps–20 Mbps | |
| Our Work | NRZ/RZ | 10 m | 2 Gbps |
Disclaimer/Publisher’s Note: The statements, opinions and data contained in all publications are solely those of the individual author(s) and contributor(s) and not of MDPI and/or the editor(s). MDPI and/or the editor(s) disclaim responsibility for any injury to people or property resulting from any ideas, methods, instructions or products referred to in the content. |
© 2023 by the authors. Licensee MDPI, Basel, Switzerland. This article is an open access article distributed under the terms and conditions of the Creative Commons Attribution (CC BY) license (https://creativecommons.org/licenses/by/4.0/).
Share and Cite
Chaudhary, S.; Sharma, A.; Khichar, S.; Shah, S.; Ullah, R.; Parnianifard, A.; Wuttisittikulkij, L. A Salinity-Impact Analysis of Polarization Division Multiplexing-Based Underwater Optical Wireless Communication System with High-Speed Data Transmission. J. Sens. Actuator Netw. 2023, 12, 72. https://doi.org/10.3390/jsan12050072
Chaudhary S, Sharma A, Khichar S, Shah S, Ullah R, Parnianifard A, Wuttisittikulkij L. A Salinity-Impact Analysis of Polarization Division Multiplexing-Based Underwater Optical Wireless Communication System with High-Speed Data Transmission. Journal of Sensor and Actuator Networks. 2023; 12(5):72. https://doi.org/10.3390/jsan12050072
Chicago/Turabian StyleChaudhary, Sushank, Abhishek Sharma, Sunita Khichar, Shashi Shah, Rizwan Ullah, Amir Parnianifard, and Lunchakorn Wuttisittikulkij. 2023. "A Salinity-Impact Analysis of Polarization Division Multiplexing-Based Underwater Optical Wireless Communication System with High-Speed Data Transmission" Journal of Sensor and Actuator Networks 12, no. 5: 72. https://doi.org/10.3390/jsan12050072
APA StyleChaudhary, S., Sharma, A., Khichar, S., Shah, S., Ullah, R., Parnianifard, A., & Wuttisittikulkij, L. (2023). A Salinity-Impact Analysis of Polarization Division Multiplexing-Based Underwater Optical Wireless Communication System with High-Speed Data Transmission. Journal of Sensor and Actuator Networks, 12(5), 72. https://doi.org/10.3390/jsan12050072

