Comparative Meta-Analysis of Chemical and Biological Strategies for the Management of Wheat Stripe Rust (Puccinia striiformis f. sp. tritici) Under Global Agro-Ecological Conditions
Abstract
1. Introduction
2. Results
2.1. Chemical Control
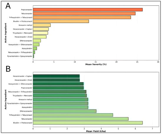
2.1.1. Effect of Chemical Control on Stripe Rust Disease Severity and Yield
2.1.2. Publication Bias Assessment for Chemical Control Studies
2.1.3. Cultivar-Specific Responses to Chemical Control Against Stripe Rust
2.2. Biological Control
2.2.1. Effect of Biological Control on Stripe Rust Disease Severity and Yield
2.2.2. Publication Bias Assessment for Biological Control Studies
2.2.3. Strain-Specific Efficacy of Biological Control Agents Against Stripe Rust
2.2.4. Protective and Curative Efficacy of Bacterial Biocontrol Agents Against Stripe Rust
2.3. Comparative Efficacy Analysis for Stripe Rust Management
3. Discussion
4. Materials and Methods
4.1. Data Selection
4.2. Statistical Analysis
5. Conclusions
Supplementary Materials
Author Contributions
Funding
Data Availability Statement
Acknowledgments
Conflicts of Interest
Abbreviations
| ANOVA | Analysis of variance |
| CI | Confidence interval |
| DMI | Demethylation-inhibiting fungicide class |
| FAO | Food and Agriculture Organization |
| FL | Fermented liquid |
| FLBC | Fermented liquid with bacterial cells |
| FRAC | Fungicide Resistance Action Committee |
| GS | Growth stage |
| IDM | Integrated disease management |
| ISR | Induced systemic resistance |
| IV | Inverse variance |
| MBI-R | Melanin Biosynthesis Inhibitors—Reductase |
| ONSSA | Office National de Sécurité Sanitaire des Produits Alimentaires |
| PAL | Phenylalanine Ammonia-Lyase |
| POD | Peroxidase |
| PPO | Polyphenol Oxidase |
| PR | Pathogenesis-Related |
| PRISMA | Preferred Reporting Items for Systematic Reviews and Meta-Analyses |
| Pst | Puccinia striiformis f. sp. tritici |
| QoI | Quinone outside-inhibiting fungicide class |
| SAR | Systemic acquired resistance |
| SBIs | Sterol Biosynthesis Inhibitors |
| SDHI | Succinate dehydrogenase-inhibiting fungicide class |
| SMD | Standardized mean difference |
| SOD | Superoxide Dismutase |
| Yr | Yellow rust |
| hai | Hours after inoculation |
| hbi | Hours before inoculation |
| t/ha | Tons per hectare |
References
- Bouvet, L.; Holdgate, S.; James, L.; Thomas, J.; Mackay, I.J.; Cockram, J. The Evolving Battle between Yellow Rust and Wheat: Implications for Global Food Security. Theor. Appl. Genet. 2022, 135, 741–753. [Google Scholar] [CrossRef]
- Zakharova, N.N.; Zakharov, N.G. Wheat Grain Production in the World and Its Dynamics. 2024. Available online: https://www.e3s-conferences.org/articles/e3sconf/abs/2024/10/e3sconf_eea2023_03001/e3sconf_eea2023_03001.html (accessed on 31 December 2025).
- Erenstein, O.; Jaleta, M.; Sonder, K.; Mottaleb, K.; Prasanna, B.M. Global Maize Production, Consumption and Trade: Trends and R&D Implications. Food Secur. 2022, 14, 1295–1319. [Google Scholar] [CrossRef]
- Sharma, K.; Kumar Sharma, P. Wheat as a Nutritional Powerhouse: Shaping Global Food Security; IntechOpen: London, UK, 2025. [Google Scholar]
- Bartali, E.H.; Boutfirass, M.; Yigezu, Y.A.; Niane, A.A.; Boughlala, M.; Belmakki, M.; Halila, H. Estimates of Food Losses and Wastes at Each Node of the Wheat Value Chain in Morocco: Implications on Food and Energy Security, Natural Resources, and Greenhouse Gas Emissions. Sustainability 2022, 14, 16561. [Google Scholar] [CrossRef]
- Wellings, C.R. Global Status of Stripe Rust: A Review of Historical and Current Threats. Euphytica 2011, 179, 129–141. [Google Scholar] [CrossRef]
- Chen, W.; Wellings, C.; Chen, X.; Kang, Z.; Liu, T. Wheat Stripe (Yellow) Rust Caused by Puccinia striiformis f. sp. Tritici. Mol. Plant Pathol. 2014, 15, 433–446. [Google Scholar] [CrossRef] [PubMed]
- Dehbi, I.; Jarroudi, M.E.L.; Hamidi, C.E.L.; Hamss, H.E.L.; Ezzouggari, R.; Bourak, K.; Belabess, Z.; Laasli, S.; Mazouz, H.; Lahlali, R. Response of the flag leaf for Moroccan bread wheat varieties in the field, highlighting its biochemical composition in its resistance mechanism against yellow rust. Not. Sci. Biol. 2024, 16, 12053. [Google Scholar] [CrossRef]
- Chen, X. Pathogens Which Threaten Food Security: Puccinia striiformis, the Wheat Stripe Rust Pathogen. Food Secur. 2020, 12, 239–251. [Google Scholar] [CrossRef]
- Sørensen, C.K.; Thach, T.; Hovmøller, M.S. Evaluation of Spray and Point Inoculation Methods for the Phenotyping of Puccinia striiformis on Wheat. Plant Dis. 2016, 100, 1064–1070. [Google Scholar] [CrossRef] [PubMed]
- El Jarroudi, M.; Lahlali, R.; Kouadio, L.; Denis, A.; Belleflamme, A.; El Jarroudi, M.; Boulif, M.; Mahyou, H.; Tychon, B. Weather-Based Predictive Modeling of Wheat Stripe Rust Infection in Morocco. Agronomy 2020, 10, 280. [Google Scholar] [CrossRef]
- Gomes, C.; Almeida, A.S.; Coutinho, J.; Costa, R.; Pinheiro, N.; Coco, J.; Costa, A.; Bagulho, A.S.; Maçãs, B. Foliar Fungicide Application as Management Strategie to Minimize the Growing Threat of Yellow Rust on Wheat in Portugal. Emir. J. Food Agric. 2018, 30, 715–724. [Google Scholar] [CrossRef]
- Mengesha, G.G. Management of Yellow Rust (Puccinia striiformis f.sp. Tritici) and Stem Rust (Puccinia graminis f.Sp Tritici) of Bread Wheat through Host Resistance and Fungicide Application in Southern Ethiopia. Cogent Food Agric. 2020, 6, 1739493. [Google Scholar] [CrossRef]
- Kebede, M.; Shikur, E.; Handaro, F. Effect of Yellow Rust (Puccinia striiformis f.sp. Tritici) and Its Management on Yield and Yield Components of Bread Wheat. Arch. Phytopathol. Plant Prot. 2023, 55, 2382–2404. [Google Scholar] [CrossRef]
- Belay, A.F.; Jenber, A.J. Integrated Management of Stripe Rust (Puccinia striiformis f. sp. Tritici) and Its Impact on the Growth and Yield of Bread Wheat (Triticum aestivum) in Ethiopia. Arch. Phytopathol. Plant Prot. 2024, 57, 112–141. [Google Scholar] [CrossRef]
- Oliver, R.P. A Reassessment of the Risk of Rust Fungi Developing Resistance to Fungicides. Pest Manag. Sci. 2014, 70, 1641–1645. [Google Scholar] [CrossRef]
- Carmona, M.; Sautua, F.; Pérez-Hérnandez, O.; Reis, E.M. Role of Fungicide Applications on the Integrated Management of Wheat Stripe Rust. Front. Plant Sci. 2020, 11, 733. [Google Scholar] [CrossRef] [PubMed]
- Li, H.; Zhao, J.; Feng, H.; Huang, L.; Kang, Z. Biological Control of Wheat Stripe Rust by an Endophytic Bacillus Subtilis Strain E1R-j in Greenhouse and Field Trials. Crop Prot. 2013, 43, 201–206. [Google Scholar] [CrossRef]
- Khan, M.A.; Raheel, M.; Khan, S.A.; Abid, A.D.; Shahzad, S.; Siddiqui, H.Z.; Atif, M.; Hanif, A. Eco-Friendly Management of Wheat Stripe Rust through Application of Bacillus subtilis in Combination with Plant Defense Activators. J. King Saud Univ.-Sci. 2023, 35, 102587. [Google Scholar] [CrossRef]
- El-Kazzaz, M.K.; Ghoniem, K.E.; Ashmawy, M.A.; Omar, G.E.; Hafez, Y.M. Suppression of Wheat Strip Rust Disease Caused by Puccinia striiformis f.sp. Tritici by Eco-Friendly Bio-Control Agents Correlated with Yield Improvement. Fresenius Environ. Bull. 2020, 29, 8385–8393. [Google Scholar]
- Reiss, A.; Jørgensen, L.N. Biological Control of Yellow Rust of Wheat (Puccinia striiformis) with Serenade®ASO (Bacillus Subtilis Strain QST713). Crop Prot. 2017, 93, 1–8. [Google Scholar] [CrossRef]
- Omara, R.I.; El-Kot, G.A.; Fadel, F.M.; Abdelaal, K.A.A.; Saleh, E.M. Efficacy of Certain Bioagents on Patho-Physiological Characters of Wheat Plants under Wheat Leaf Rust Stress. Physiol. Mol. Plant Pathol. 2019, 106, 102–108. [Google Scholar] [CrossRef]
- Pang, F.; Wang, T.; Zhao, C.; Tao, A.; Yu, Z.; Huang, S.; Yu, G. Novel Bacterial Endophytes Isolated from Winter Wheat Plants as Biocontrol Agent against Stripe Rust of Wheat. BioControl 2016, 61, 207–219. [Google Scholar] [CrossRef]
- Esmail, S.M.; Draz, I.S.; Saleem, M.H.; Mumtaz, S.; Elsharkawy, M.M. Penicillium simplicissimum and Trichoderma asperellum Counteract the Challenge of Puccinia striiformis f. sp. Tritici in Wheat Plants. Egypt. J. Biol. Pest Control 2022, 32, 116. [Google Scholar]
- Compant, S.; Samad, A.; Faist, H.; Sessitsch, A. A Review on the Plant Microbiome: Ecology, Functions, and Emerging Trends in Microbial Application. J. Adv. Res. 2019, 19, 29–37. [Google Scholar] [CrossRef]
- Altieri, M.A.; Nicholls, C.I.; Dinelli, G.; Negri, L. Towards an Agroecological Approach to Crop Health: Reducing Pest Incidence through Synergies between Plant Diversity and Soil Microbial Ecology. npj Sustain. Agric. 2024, 2, 6. [Google Scholar] [CrossRef]
- Borenstein, M.; Hedges, L.V.; Higgins, J.P.T.; Rothstein, H.R. Introduction to Meta-Analysis, 1st ed.; John Wiley & Sons, Ltd.: Chichester, UK, 2009; pp. 3–387. [Google Scholar]
- Risoli, S.; Cotrozzi, L.; Pisuttu, C.; Nali, C. Biocontrol Agents of Fusarium Head Blight in Wheat: A Meta-Analytic Approach to Elucidate Their Strengths and Weaknesses. Biol. Control Microb. Ecol. 2024, 114, 521–537. [Google Scholar] [CrossRef]
- Huang, C.; Sun, Z.; Wang, H.; Luo, Y.; Ma, Z. Effects of Wheat Cultivar Mixtures on Stripe Rust: A Meta-Analysis on Field Trials. Crop Prot. 2012, 33, 52–58. [Google Scholar] [CrossRef]
- Basandrai, A.K.; Mehta, A.; Rathee, V.K.; Basandrai, D.; Sharma, B.K. Efficacy of Fungicides in Managing Yellow Rust of Wheat. J. Cereal Res. 2020, 12, 103–108. [Google Scholar]
- Kiani, T.; Mehboob, F.; Hyder, M.Z.; Zainy, Z.; Xu, L.; Huang, L.; Farrakh, S. Control of Stripe Rust of Wheat Using Indigenous Endophytic Bacteria at Seedling and Adult Plant Stage. Sci. Rep. 2021, 11, 14473. [Google Scholar] [CrossRef]
- Chen, X.M. Integration of Cultivar Resistance and Fungicide Application for Control of Wheat Stripe Rust. Can. J. Plant Pathol. 2014, 36, 311–326. [Google Scholar] [CrossRef]
- Naseri, B.; Younesi, H. Physiological and Molecular Plant Pathology Beneficial Microbes in Biocontrol of Root Rots in Bean Crops: A Meta-Analysis (1990–2020). Physiol. Mol. Plant Pathol. 2021, 116, 101712. [Google Scholar] [CrossRef]
- Peterson, R.F.; Campbell, A.B.; Hannah, A.E. A Diagrammatic Scale for Estimating Rust Intensity on Leaves and Stems of Cereals. Can. J. Res. 1948, 26, 496–500. [Google Scholar] [CrossRef]
- Reynolds, M.; Foulkes, M.J.; Slafer, G.A.; Berry, P.; Parry, M.A.J.; Snape, J.W.; Angus, W.J. Raising Yield Potential in Wheat. J. Exp. Bot. 2009, 60, 1899–1918. [Google Scholar] [CrossRef]
- Aisawi, K.A.B.; Reynolds, M.P.; Singh, R.P.; Foulkes, M.J. The Physiological Basis of the Genetic Progress in Yield Potential of CIMMYT Spring Wheat Cultivars from 1966 to 2009. Crop Sci. 2015, 55, 1749–1764. [Google Scholar] [CrossRef]
- Luo, Y.; Funada, S.; Yoshida, K.; Noma, H.; Sahker, E.; Furukawa, T.A. Large Variation Existed in Standardized Mean Difference Estimates Using Different Calculation Methods in Clinical Trials. J. Clin. Epidemiol. 2022, 149, 89–97. [Google Scholar] [CrossRef] [PubMed]
- Borenstein, M.; Higgins, J.P.T.; Hedges, L.V.; Rothstein, H.R. Basics of Meta-analysis: I2 Is Not an Absolute Measure of Heterogeneity. Res. Synth. Methods 2017, 8, 5–18. [Google Scholar] [CrossRef] [PubMed]











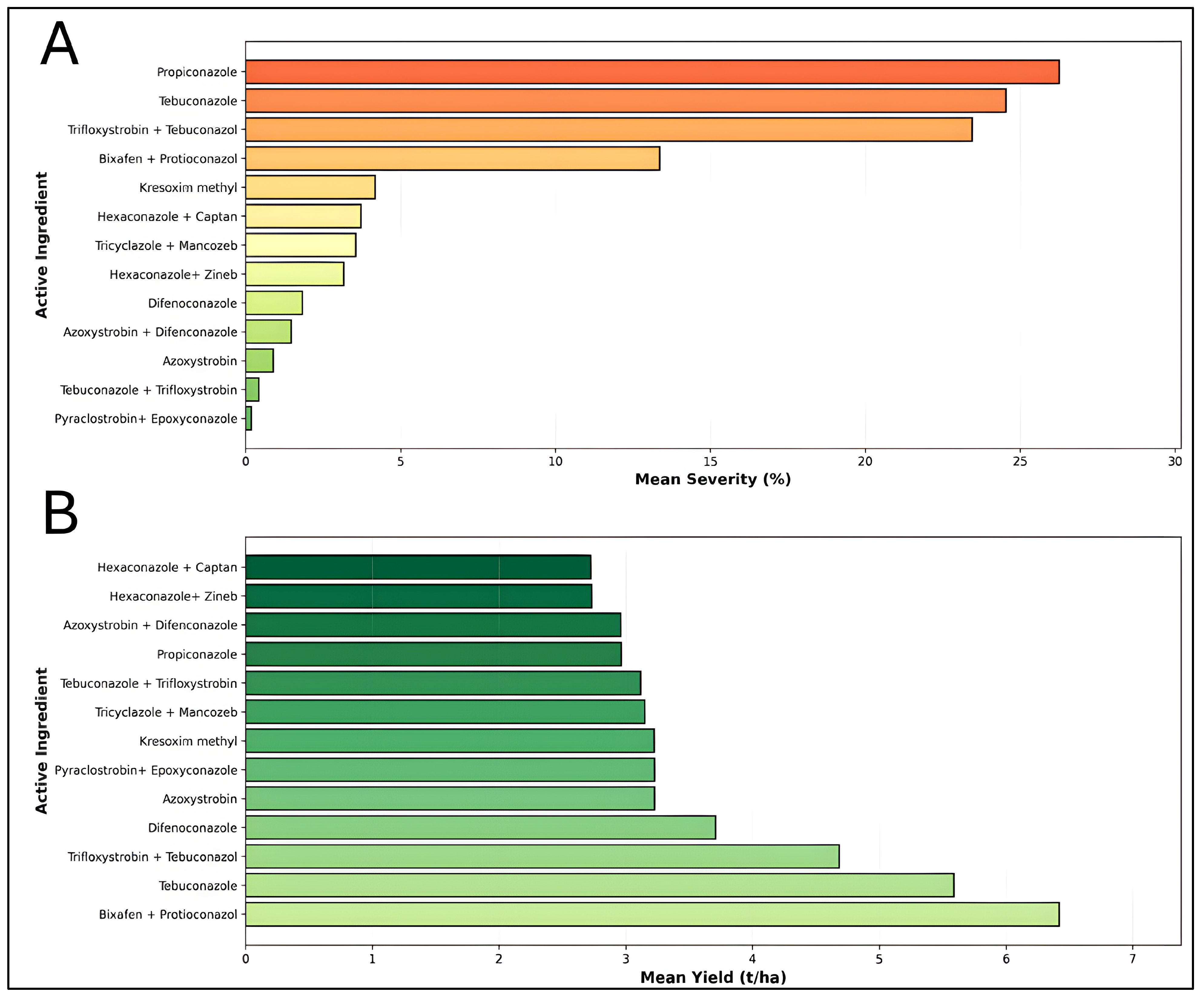
| Fungicide Active Ingredient | Target Site of Action | Fungicides Classes | Fungicide Resistance Action Committee (FRAC) Code | Application Spray Times | Fungicide Application Timing | References |
|---|---|---|---|---|---|---|
| Bixafen + Propiconazole | C2 + G1 | SDHI + DMI (SBIs) | 7 + 3 | 1 | GS34 (jointing) | [12] |
| 2 | GS34 (jointing) and GS44 (booting) | |||||
| Tebuconazole | G1 | DMI (SBIs) | 3 | 1 | Growth stage | [13] |
| 2 | Appearance of disease | [30] | ||||
| Propiconazole | G1 | DMI (SBIs) | 3 | 1 | Growth stage, booting, heading | [13] |
| 2 | Appearance of disease, booting, heading, Tillering-Booting | [30] | ||||
| 3 | Booting, heading | [15] | ||||
| Tebuconazole + Trifloxystrobin | G1 + C3 | DMI + QoI | 3 + 11 | 1 | Tillering-Booting | [14] |
| 2 | Appearance of disease | [30] | ||||
| Azoxystrobin + Difenconazole | C3 + G1 | QoI + DMI | 11 + 3 | 2 | Appearance of disease | [30] |
| Azoxystrobin | C3 | QoI | 11 | |||
| Tricyclazole (triazolobenzo- thiazole) + Mancozeb (dithio-carbamates) | I1 + Multi-site contact activity | MBI-R + Dithiocarbamates and relatives (electrophiles) | 16.1 + M 03 | |||
| Hexaconazole (triazoles) + Zineb (Zinc ethylenebis-(dithiocarbamate) | G1 + Multi-site contact activity | DMI + Dithiocarbamates and relatives (electrophiles) | 3 + M 03 | |||
| Pyraclostrobin (methoxy-carbamates) + Epoxiconazole | C3 + G1 | QoI + DMI | 11 + 3 | |||
| Hexaconazole + Captan (phthalimides) | G1 + Multi-site contact activity | DMI + Phthalimides (electrophiles) | 3 + M 04 | |||
| Kresoxim-methyl (oximino-acetates) | C3 | QoI | 11 | |||
| Difenoconazole | G1 | DMI | 3 |
Disclaimer/Publisher’s Note: The statements, opinions and data contained in all publications are solely those of the individual author(s) and contributor(s) and not of MDPI and/or the editor(s). MDPI and/or the editor(s) disclaim responsibility for any injury to people or property resulting from any ideas, methods, instructions or products referred to in the content. |
© 2026 by the authors. Licensee MDPI, Basel, Switzerland. This article is an open access article distributed under the terms and conditions of the Creative Commons Attribution (CC BY) license.
Share and Cite
Dehbi, I.; Laasli, S.-E.; Janati, M.; Benamar, K.; El Jarroudi, M.; Mazouz, H.; Lahlali, R. Comparative Meta-Analysis of Chemical and Biological Strategies for the Management of Wheat Stripe Rust (Puccinia striiformis f. sp. tritici) Under Global Agro-Ecological Conditions. Plants 2026, 15, 412. https://doi.org/10.3390/plants15030412
Dehbi I, Laasli S-E, Janati M, Benamar K, El Jarroudi M, Mazouz H, Lahlali R. Comparative Meta-Analysis of Chemical and Biological Strategies for the Management of Wheat Stripe Rust (Puccinia striiformis f. sp. tritici) Under Global Agro-Ecological Conditions. Plants. 2026; 15(3):412. https://doi.org/10.3390/plants15030412
Chicago/Turabian StyleDehbi, Ilham, Salah-Eddine Laasli, Mouna Janati, Khadija Benamar, Moussa El Jarroudi, Hamid Mazouz, and Rachid Lahlali. 2026. "Comparative Meta-Analysis of Chemical and Biological Strategies for the Management of Wheat Stripe Rust (Puccinia striiformis f. sp. tritici) Under Global Agro-Ecological Conditions" Plants 15, no. 3: 412. https://doi.org/10.3390/plants15030412
APA StyleDehbi, I., Laasli, S.-E., Janati, M., Benamar, K., El Jarroudi, M., Mazouz, H., & Lahlali, R. (2026). Comparative Meta-Analysis of Chemical and Biological Strategies for the Management of Wheat Stripe Rust (Puccinia striiformis f. sp. tritici) Under Global Agro-Ecological Conditions. Plants, 15(3), 412. https://doi.org/10.3390/plants15030412

