Identification of Triploid Plants in Seed-Derived Progeny of Cultivated Olive
Abstract
1. Introduction
2. Results
2.1. Triploid Olive
2.2. Identification of the Potential Parents of the Triploid Olive Using InDel Molecular Markers
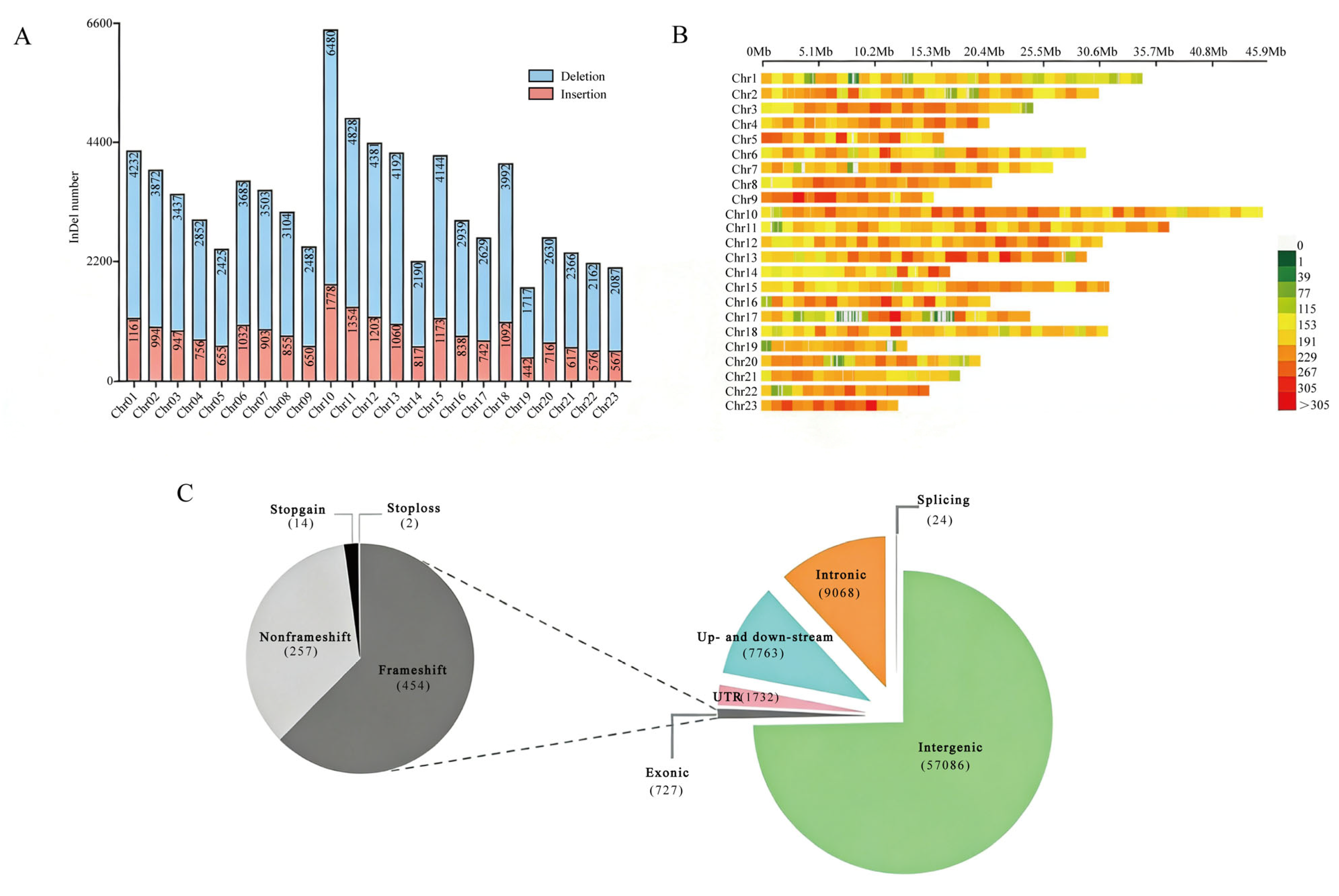
2.2.1. Development of InDel Markers
2.2.2. Development and Validation of InDel Primers and Screening of Polymorphic Markers
2.2.3. Analysis of the Potential Parentage of the Triploid
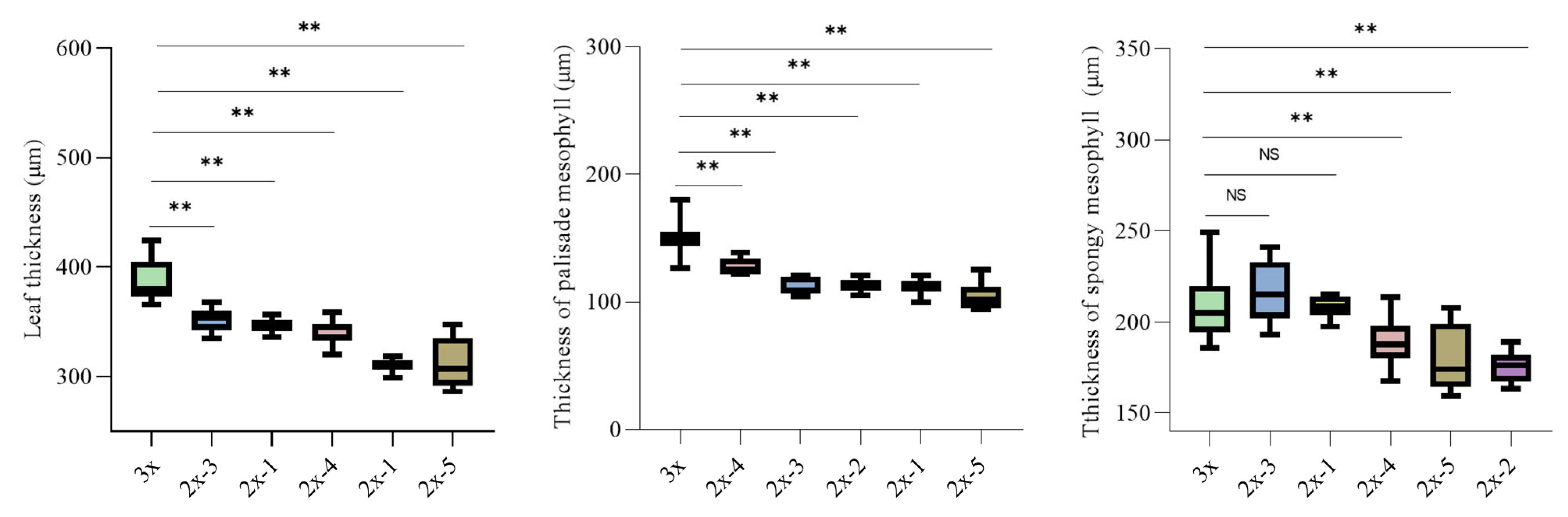
2.3. Morphological Comparison of Olive Trees with Different Ploidy Levels
3. Discussion
3.1. Origins and Characteristics of Triploid Olive
3.2. Utilization Potential of Triploid Olive
3.3. Future Perspectives
4. Conclusions
5. Materials and Methods
5.1. Materials
5.2. Methods
5.2.1. Seedling Cultivation
5.2.2. Polyploid Screening and Identification
- (1)
- Identification by flow cytometry
- (2)
- Chromosome counting method
5.2.3. Identification of Polyploidy Using InDel Molecular Markers
- (1)
- Development of InDel molecular markers using genome resequencing
- (2)
- Validation of molecular markers and screening of polymorphic markers
- (3)
- Analysis of triploids
5.2.4. Morphological Observation at the Seedling Stage
Supplementary Materials
Author Contributions
Funding
Data Availability Statement
Acknowledgments
Conflicts of Interest
Abbreviations
| InDel | Insertion-Deletion |
| PCR | Polymerase Chain Reaction |
| OP | open-pollinated |
| SNP | Single Nucleotide Polymorphism |
| DAPI | 4′,6-diamidino-2-phenylindole |
References
- Besnard, G.; Terral, J.F.; Cornille, A. On the origins and domestication of the olive: A review and perspectives. Ann. Bot. 2018, 121, 385–403. [Google Scholar] [CrossRef]
- Gutiérrez-Luna, K.; Ansorena, D.; Astiasarán, I. Fatty acid profile, sterols, and squalene content comparison between two conventional (olive oil and linseed oil) and three non-conventional vegetable oils (echium oil, hempseed oil, and moringa oil). J. Food Sci. 2022, 87, 1489–1499. [Google Scholar] [CrossRef]
- Raederstorff, D. Antioxidant Activity of olive polyphenols in humans: A review. Int. J. Vitam. Nutr. Res. 2009, 79, 152–165. [Google Scholar] [CrossRef]
- Rigacci, S.; Stefani, M. Nutraceutical properties of olive oil polyphenols. An itinerary from cultured cells through animal models to humans. Int. J. Mol. Sci. 2016, 17, 843. [Google Scholar] [CrossRef] [PubMed]
- Vargas, P.; Kadereit, J.W. Molecular fingerprinting evidence (ISSR, Inter-Simple Sequence Repeats) for a wild status of Olea europaea L. (Oleaceae) in the Eurosiberian North of the Iberian Peninsula. Flora 2001, 196, 142–152. [Google Scholar] [CrossRef]
- Servili, M.; Taticchi, A.; Esposto, S.; Urbani, S.; Selvaggini, R.; Montedoro, G. Effect of olive stoning on the volatile and phenolic composition of virgin olive oil. J. Agric. Food Chem. 2007, 55, 7028–7035. [Google Scholar] [CrossRef] [PubMed]
- Frangipane, M.T.; Cecchini, M.; Massantini, R.; Monarca, D. Extra virgin olive oil from destoned fruits to improve the quality of the oil and environmental sustainability. Foods 2022, 11, 1479. [Google Scholar] [CrossRef]
- Nucciarelli, D.; García-González, D.L.; Veneziani, G.; Urbani, S.; Daidone, L.; Esposto, S.; Taticchi, A.; Selvaggini, R.; Servili, M. Extra virgin olive oil from stoned olives with oxygen supply during processing: Impact on volatile and phenolic fraction and sensory characteristics. Foods 2024, 13, 3073. [Google Scholar] [CrossRef]
- Martin, G.; Baurens, F.C.; Labadie, K.; Hervouet, C.; Salmon, F.; Marius, F.; Paulo-de-la-Reberdiere, N.; Van den Houwe, I.; Aury, J.M.; D’Hont, A.; et al. Shared pedigree relationships and transmission of unreduced gametes in cultivated banana. Ann. Bot. 2023, 131, 1149–1161. [Google Scholar] [CrossRef]
- Wang, F.; Fang, C.Q.; Jiang, S.Q.; Lin, S.H.; Ou, C.Q.; Li, L.W.; Ma, L. A new triploid pear cultivar ‘Huaxing’ with large fruit size and high quality. Acta Hortic. Sin. 2014, 41, 2355–2356. (In Chinese) [Google Scholar] [CrossRef]
- Liang, G.L.; Wang, W.X.; Li, X.L.; Guo, Q.G.; Xiang, S.Q.; He, Q. Selection of large-Fruited triploid plants of loquat. Acta Hortic. 2011, 887, 95–100. [Google Scholar] [CrossRef]
- Wang, T.T.; Song, X.; Zhang, M.; Fan, Y.J.; Ren, J.; Duan, Y.Y.; Guan, S.P.; Luo, X.; Yang, W.H.; Cao, H.X.; et al. CsCPC, an R3-MYB transcription factor, acts as a negative regulator of citric acid accumulation in Citrus. Plant J. 2025, 121, e17189. [Google Scholar] [CrossRef]
- Liu, X.S.; Chen, L.; Wang, J.X.; Li, L.; Peng, J.Y. Discovery and identification of natural triploid ploidy of Chinese jujube cultivar ‘Pingguozao’. Acta Hortic. Sin. 2013, 40, 426–432. (In Chinese) [Google Scholar] [CrossRef]
- Peng, J.Y.; Liu, P.; Zhou, J.Y.; Peng, S.Q.; Cao, Q.G.; Chu, X.F. Karyotype Analysis and Chromosome Numbers of Different Strains in Ziziphus jujuba Mill. ‘Zanhuang Dazao’. Acta Hortic. Sin. 2005, 32, 33–36. (In Chinese) [Google Scholar] [CrossRef]
- Obayashi, S.; Yahata, M.; Nakajo, Y.; Fujii, A.; Mukai, H.; Harada, H.; Takagi, T. Characteristics of the reproductive organ and the ploidy level in Japanese plum ‘Kiyo’. Hort. Res. 2009, 8, 407–412. [Google Scholar] [CrossRef][Green Version]
- Liu, P.; Liu, M.J.; Liu, Z.G.; Wang, J.R.; Song, T.L.; Chu, X.F.; Li, X.S.; Hu, L. A New Multi-use Excellent Chinese Jujube Cultivar ‘Zanshuo’. Acta Hortic. Sin. 2016, 43, 2711–2712. (In Chinese) [Google Scholar]
- Li, X.; Zhang, L.; Wei, X.; Datta, T.; Wei, F.; Xie, Z. Polyploidization: A biological force that enhances stress resistance. Int. J. Mol. Sci. 2024, 25, 1957. [Google Scholar] [CrossRef]
- Ozherelieva, Z.; Sedov, E. Low temperature tolerance of apple cultivars of different ploidy at different times of the winter. Proc. Latvian Acad. Sci. B 2017, 71, 127–131. [Google Scholar] [CrossRef]
- Greaves, E.; Davies, T.; Myles, S.; Migicovsky, Z. Comparing diploid and triploid apples from a diverse collection. Fruit Res. 2025, 5, e008. [Google Scholar] [CrossRef]
- Bian, W.; Liu, X.; Zhang, Z.; Zhang, H. Transcriptome analysis of diploid and triploid Populus tomentosa. PeerJ 2020, 8, e10204. [Google Scholar] [CrossRef] [PubMed]
- Kang, X.; Wei, H. Breeding polyploid Populus: Progress and perspective. For. Res. 2022, 2, 4. [Google Scholar] [CrossRef]
- Bracci, T.; Busconi, M.; Fogher, C.; Sebastiani, L. Molecular studies in olive (Olea europaea L.): Overview on DNA markers applications and recent advances in genome analysis. Plant Cell Rep. 2011, 30, 449–462. [Google Scholar] [CrossRef]
- Besnard, G.; Garcia-Verdugo, C.; De Casas, R.R.; Treier, U.A.; Galland, N.; Vargas, P. Polyploidy in the olive complex (Olea europaea): Evidence from flow cytometry and nuclear microsatellite analyses. Ann. Bot. 2008, 101, 25–30. [Google Scholar] [CrossRef] [PubMed]
- Besnard, G.; Baali-Cherif, D. Coexistence of diploids and triploids in a Saharan relict olive: Evidence from nuclear microsatellite and flow cytometry analyses. Comptes Rendus Biol. 2009, 332, 1115–1120. [Google Scholar] [CrossRef]
- Petruccioli, G.; Filippucci, B.; Donini, B. Impiego della mutagenesi per l’ottenimento di forme nanizzate nell’olivo. Primi risultati di un quinquennio. [Radiation techniques to obtain dwarf forms of olive trees. Results for five years]. In Proceedings of the Giomate di Studio sull’uso di Tecniche Nucleari per il Miglioramento e la Difesa dei Fruttiferi, CSN Casaccia, Roma, Italy, 8–10 April 1974; pp. 95–100. Available online: https://agris.fao.org/search/en/providers/123819/records/647359c0e17b74d222511f42 (accessed on 2 December 2025).
- Panneli, G.; Famiani, F.; Rugini, E.; Bignami, D.; Natali, S.; Mannino, P. Preliminary Characterization of Olive Somatic Mutants from Gamma Irradiated ‘Frantoio’ and ‘Leccino’ Plantlets. In Proceedings of the International Symposium on Olive Growing 286, Cordoba, Spain, 26–29 September 1989. [Google Scholar] [CrossRef]
- Pannelli, G.; Famiani, F.; Rugini, E.; Bignami, D.; Natali, S.; Mannino, P. Effects of a Change in Ploidy Level on Anatomical, Cytological, Reproductive and Growth Performance Changes and Polyamine Contents, in Mutants of Gamma Irradiated Olive Plants. In Proceedings of the Fruit Breeding and Genetics, Firenze, Italy, 27 August–1 September 1992. [Google Scholar] [CrossRef]
- Rugini, E.; Pannelli, G.; Ceccarelli, M.; Muganu, M. Isolation of triploid and tetraploid olive (Olea europaea L.) plants from mixoploid cv. ‘Frantoio’ and ‘Leccino’ mutants by in vivo and in vitro selection. Plant Breed. 1996, 115, 23–27. [Google Scholar] [CrossRef]
- Rugini, E.; Silvestri, C.; Ceccarelli, M.; Muleo, R.; Cristofori, V. Mutagenesis and biotechnology techniques as tools for selecting new stable diploid and tetraploid olive genotypes and their dwarfing agronomical characterization. HortScience 2016, 51, 799–804. [Google Scholar] [CrossRef]
- Duan, T.; Sicard, A.; Glémin, S.; Lascoux, M. Separating phases of allopolyploid evolution with resynthesized and natural Capsella bursa-pastoris. eLife 2024, 12, RP88398. [Google Scholar] [CrossRef]
- Rauf, S.; Ortiz, R.; Malinowski, D.P.; Clarindo, W.R.; Kainat, W.; Shehzad, M.; Waheed, U.; Hassan, S.W. Induced polyploidy: A tool for forage species improvement. Agriculture 2021, 11, 210. [Google Scholar] [CrossRef]
- Aleza, P.; Juárez, J.; Cuenca, J.; Ollitrault, P.; Navarro, L. Recovery of citrus triploid hybrids by embryo rescue and flow cytometry from 2x × 2x sexual hybridisation and its application to extensive breeding programs. Plant Cell Rep. 2010, 29, 1023–1034. [Google Scholar] [CrossRef] [PubMed]
- Rouiss, H.; Cuenca, J.; Navarro, L.; Ollitrault, P.; Aleza, P. Unreduced Megagametophyte Production in Lemon Occurs via Three Meiotic Mechanisms, Predominantly Second-Division Restitution. Front. Plant Sci. 2017, 8, 1211. [Google Scholar] [CrossRef]
- Song, Y.; Dang, J.; Chen, W.; Wen, G.; He, Q.; Li, X.L.; Lin, S.K.; Liang, G.L.; Guo, Q.G. An allotriploid hybrid developed from a female 2n gamete was obtained from Eriobotrya japonica (Thunb.) Lindl. × E. deflexa (Hemsl.) Nakai. Euphytica 2020, 216, 192. [Google Scholar] [CrossRef]
- Elsheikh, M.H.; Abdallah, A.S.E.; Elsabagh, A.S. Morphological characterization and genetic analysis using RAPD and ISSR markers of some olive cultivars grown in Egypt. World Appl. Sci. J. 2014, 30, 420–427. [Google Scholar]
- Saddoud Debbabi, O.; Rahmani Mnasri, S.; Ben Amar, F.; Ben Naceur, M.; Montemurro, C.; Miazzi, M.M. Applications of microsatellite markers for the characterization of olive genetic resources of Tunisia. Genes 2021, 12, 286. [Google Scholar] [CrossRef]
- Li, D.; Long, C.; Pang, X.; Ning, D.; Wu, T.; Dong, M.; Han, X.; Guo, H. The newly developed genomic-SSR markers uncover the genetic characteristics and relationships of olive accessions. PeerJ 2020, 8, e8573. [Google Scholar] [CrossRef] [PubMed]
- Weber, J.L.; David, D.; Heil, J.; Fan, Y.; Zhao, C.; Marth, G. Human diallelic insertion/deletion polymorphisms. Am. J. Hum. Genet. 2002, 71, 854–862. [Google Scholar] [CrossRef]
- Wu, D.H.; Wu, H.P.; Wang, C.S.; Tseng, H.Y.; Hwu, K.K. Genome-wide InDel marker system for application in rice breeding and mapping studies. Euphytica 2013, 192, 131–143. [Google Scholar] [CrossRef]
- Muñoz-Espinoza, C.; Di Genova, A.; Sánchez, A.; Correa, J.; Espinoza, A.; Meneses, C.; Maass, A.; Orellana, A.; Hinrichsen, P. Identification of SNPs and InDels associated with berry size in table grapes integrating genetic and transcriptomic approaches. BMC Plant Biol. 2020, 20, 365. [Google Scholar] [CrossRef]
- Wang, X.; Shen, F.; Gao, Y.; Wang, K.; Chen, R.; Luo, J.; Yang, L.; Zhang, X.; Qiu, C.; Li, W.; et al. Application of genome-wide insertion/deletion markers on genetic structure analysis and identity signature of Malus accessions. BMC Plant Biol. 2020, 20, 540. [Google Scholar] [CrossRef]
- Noda, T.; Daiou, K.; Mihara, T.; Nagano, Y. Potential application of simple easy-to-use insertion-deletion (InDel) markers in citrus cultivar identification. Breed. Sci. 2021, 71, 601–608. [Google Scholar] [CrossRef]
- Jokari, S.; Shekafandeh, A.; Jowkar, A. In vitro tetraploidy induction in Mexican lime and sour orange and evaluation of their morphological and physiological characteristics. Plant Cell Tissue Organ Cult. 2022, 150, 651–668. [Google Scholar] [CrossRef]
- Khan, M.N.E.A.; Hassan, J.; Biswas, M.S.; Khan, H.I.; Sultana, H.; Suborna, M.N.; Rajib, M.M.R.; Akter, J.; Gomasta, J.; Anik, A.A.M. Morphological and anatomical characterization of colchicine-induced polyploids in watermelon. Hortic. Environ. Biotechnol. 2023, 64, 461–474. [Google Scholar] [CrossRef]
- Shi, Y.; Ma, R.; Han, Q.; Zhang, J.; Shi, Z.; Qi, Z.; Huang, Y.; Sha, G.; Ge, H. Transcriptome analysis for deep understanding the dwarfing mechanism of Malus dwarf mutant rootstock A1d. Sci. Hortic. 2023, 319, 112163. [Google Scholar] [CrossRef]
- Dang, J.B.; Song, Q.; Li, C.; Guo, Q.G.; Liang, G.L. Application status and breeding prospects of triploid in horticultural plant. Acta Horticulturae Sinica 2018, 45, 1813–1830. (In Chinese) [Google Scholar] [CrossRef]
- Liu, M.; Wang, P.; Wei, X.; Liu, Q.; Li, X.; Liang, G.; Guo, Q. Effects of triploidization of loquat [Eriobotrya japonica (Thunb.) Lindl.] on flavonoids and phenolics and antioxidant activities in leaves and flower buds. HortScience 2019, 54, 1310–1318. [Google Scholar] [CrossRef]
- Grosser, J.W.; An, H.J.; Calovic, M.; Lee, D.H.; Chen, C.; Vasconcellos, M.; Gmitter, F.G., Jr. Production of new allotetraploid and autotetraploid citrus breeding parents: Focus on Zipperskin mandarins. HortScience 2010, 45, 1160–1163. [Google Scholar] [CrossRef]
- Wang, X.; Cheng, Z.M.; Zhi, S.; Xu, F. Breeding triploid plants: A review. Czech J. Genet. Plant Breed. 2016, 52, 41–54. [Google Scholar] [CrossRef]
- Wang, Y.H.; Wen, D.L. Morphological characteristics of triploid jujube ‘Zanhuangdazan’. Deciduous Fruits 1990, 4, 1–3. (In Chinese) [Google Scholar] [CrossRef]
- Kikuchi, S.; Iwasuna, M.; Kobori, A.; Tsutaki, Y.; Yoshida, A.; Murota, Y.; Nishino, E.; Sassa, H.; Koba, T. Seed formation in triploid loquat (Eriobotrya japonica) through cross-hybridization with pollen of diploid cultivars. Breed. Sci. 2014, 64, 176–182. [Google Scholar] [CrossRef]
- Wang, P.; Yang, Y.; Lei, C.G.; Xia, Q.Q.; Wu, D.; He, Q.; Jing, D.L.; Guo, Q.G.; Liang, G.L.; Dang, J.B. A female fertile triploid loquat line produces fruits with less seed and aneuploid germplasm. Sci. Hortic. 2023, 319, 112141. [Google Scholar] [CrossRef]
- Ramsey, J.; Schemske, D.W. Pathways, mechanisms, and rates of polyploid formation in flowering plants. Annu. Rev. Ecol. Syst. 1998, 29, 467–501. [Google Scholar] [CrossRef]
- Liang, S.L.; Dang, J.B.; Liang, G.L.; Guo, Q.G. Meiosis observation and fertility analysis in natural tetraploid loquat of ‘B431’. Acta Hortic. Sin. 2018, 45, 1895–1904. (In Chinese) [Google Scholar] [CrossRef]
- Dang, J.B.; Liang, G.L.; Guo, Q.G.; Li, X.L.; Sun, H.Y.; He, Q. A Buffer Solution and Its Preparation and Use for Ploidy Identification in Multiple Plant Species. Chinese Patent CN106248561B, 10 July 2020. [Google Scholar]
- Wu, W.J.; Zhao, M.J.; Qi, J.L.; Chen, W.Q.; Jiang, C.Y. Selection of olive cultivar ‘E-Zhi 8’. Chin. J. Fruit Sci. 2020, 5, 111–113+141. (In Chinese) [Google Scholar] [CrossRef]
- Julca, I.; Marcet-Houben, M.; Cruz, F.; Gómez-Garrido, J.; Gaut, B.S.; Díez, C.M.; Gut, I.G.; Alioto, T.S.; Vargas, P.; Gabaldón, T. Genomic evidence for recurrent genetic admixture during the domestication of Mediterranean olive trees (Olea europaea L.). BMC Biol. 2020, 18, 148. [Google Scholar] [CrossRef] [PubMed]
- Unver, T.; Wu, Z.; Sterck, L.; Turktas, M.; Lohaus, R.; Li, Z.; Yang, M.; He, L.; Deng, T.; Escalante, F.J.; et al. Genome of wild olive and the evolution of oil biosynthesis. Proc. Natl. Acad. Sci. USA 2017, 114, E9413–E9422. [Google Scholar] [CrossRef] [PubMed]
- Dai, X.G.; Chen, C.; Xue, L.J.; Wu, H.T.; Yin, T.M. Identification of interspecific hybrids between Populus deltoides and P. simonii by using species-specific InDel marker. Sci. Silvae Sin. 2021, 57, 79–84. (In Chinese) [Google Scholar] [CrossRef]
- Yan, S. Resistance Inheritance and Molecular Markers Development of Anthracnose in Loquat. Master’s Thesis, Southwest University, Chongqing, China, 2022. (In Chinese) [Google Scholar] [CrossRef]
- Wen, G.; Sun, H.P.; Dang, J.B.; Jiang, P.F.; Wang, J.Y.; Yang, Y.; Guo, Q.G.; Liang, G.L. A preliminary study on leaf characteristics and drought resistance of polyploid and diploid loquat. J. Fruit Sci. 2019, 36, 968–979. (In Chinese) [Google Scholar] [CrossRef]










| Sample | Number | Cultivar | Primary Fruit Use | Source |
|---|---|---|---|---|
| Seeds | 1 | Leccino | Oil olive | Fujiang Olive Plantation in the Wudu District of Longnan City, Gansu Province |
| 2 | Picual | Oil olive | ||
| 3 | Ezhi 8 | Oil olive | ||
| 4 | Pendolino | Oil olive | ||
| 5 | Mixed-cultivar seeds | - | ||
| Diploid seedlings (OP ‘Koroneiki’) | 1 | Koroneiki | Oil olive | |
| Young leaves | 1 | Picual | Oil olive | |
| 2 | Arbosana I | Oil olive | ||
| 3 | Arbequina I | Oil olive | ||
| 4 | Coratina | Oil olive | ||
| 5 | Leccino | Oil olive | ||
| 6 | Frantoio | Oil olive | ||
| 7 | Pendolino | Oil olive | ||
| 8 | Picholine | Dual-purpose | ||
| 9 | Koroneiki | Oil olive | ||
| 10 | Golden Leaves | Dual-purpose | ||
| 11 | Ezhi 8# I | Oil olive | ||
| 12 | Yuntai | Oil olive | ||
| 13 | Arbosana II | Oil olive | Jiangyuan Olive Plantation in the Hechuan District of Chongqing Municipality | |
| 14 | Arbequina II | Oil olive | ||
| 15 | Ezhi 8# II | Oil olive |
Disclaimer/Publisher’s Note: The statements, opinions and data contained in all publications are solely those of the individual author(s) and contributor(s) and not of MDPI and/or the editor(s). MDPI and/or the editor(s) disclaim responsibility for any injury to people or property resulting from any ideas, methods, instructions or products referred to in the content. |
© 2025 by the authors. Licensee MDPI, Basel, Switzerland. This article is an open access article distributed under the terms and conditions of the Creative Commons Attribution (CC BY) license.
Share and Cite
Lei, C.; Wu, G.; Liu, Y.; Yang, C.; Dai, Q.; Zhu, Y.; Xiao, F.; Zhu, H.; Dang, J. Identification of Triploid Plants in Seed-Derived Progeny of Cultivated Olive. Plants 2026, 15, 127. https://doi.org/10.3390/plants15010127
Lei C, Wu G, Liu Y, Yang C, Dai Q, Zhu Y, Xiao F, Zhu H, Dang J. Identification of Triploid Plants in Seed-Derived Progeny of Cultivated Olive. Plants. 2026; 15(1):127. https://doi.org/10.3390/plants15010127
Chicago/Turabian StyleLei, Chenggong, Guangmin Wu, Yingjia Liu, Chengdu Yang, Qianli Dai, Yingchun Zhu, Fa Xiao, Hengxing Zhu, and Jiangbo Dang. 2026. "Identification of Triploid Plants in Seed-Derived Progeny of Cultivated Olive" Plants 15, no. 1: 127. https://doi.org/10.3390/plants15010127
APA StyleLei, C., Wu, G., Liu, Y., Yang, C., Dai, Q., Zhu, Y., Xiao, F., Zhu, H., & Dang, J. (2026). Identification of Triploid Plants in Seed-Derived Progeny of Cultivated Olive. Plants, 15(1), 127. https://doi.org/10.3390/plants15010127

