Withania somnifera (L.) Dunal, a Potential Source of Phytochemicals for Treating Neurodegenerative Diseases: A Systematic Review
Abstract
1. Introduction
1.1. Phytochemistry of W. somnifera
1.1.1. Withanolides
1.1.2. Withanolide Glycosides
Withanamides
Withanosides
1.1.3. Sominone
2. Results and Discussion
2.1. Study Characteristics
2.2. Whitania somnifera (L.) Dunal and Alzheimer’s Disease
2.2.1. Effect of W. somnifera on Axon Degeneration and Synaptic Reconstruction
2.2.2. Neuroprotective Effects of W. somnifera
2.2.3. Anti-Neuroinflammation Activity of W. somnifera
2.2.4. Effect of W. somnifera on Clearance of Aβ
2.2.5. Effect of W. somnifera on Scopolamine Toxicity
2.2.6. Effect of W. somnifera on Glutamate Toxicity
2.3. Withania somnifera L. and Parkinson’s Disease
2.3.1. Effect of W. somnifera on Oxidative Stress
2.3.2. Effect of W. somnifera on Catecholamines Level
2.3.3. Effect of W. somnifera on Apoptotic Pathways
2.3.4. Effect of W. somnifera on Aggregation of α-Synuclein Protein
2.3.5. Synergistic Effect of W. somnifera
2.4. Withania somnifera L. and Huntington’s Disease
2.5. Withania somnifera L. and Amyotrophic Lateral Sclerosis Disease (ALS)
2.6. Clinical Studies
3. Materials and Methods
3.1. Search Strategy
3.2. Study Selection
3.3. Data Extraction
3.4. Methodological Quality Assessment
4. Conclusions
Author Contributions
Funding
Data Availability Statement
Conflicts of Interest
Abbreviations
| Ach | Acetylcholine |
| AchE | Acetylcholinesterase |
| ADAM10 | A disintegrin and metallopeptidase 10 |
| APP | Amyloid precursor protein |
| BAP | β-amyloid protein |
| BACE1 | Beta-site amyloid precursor protein cleaving enzyme 1 |
| BAX | Bcl2-Associated X Protein |
| Bcl-2 | Anti-apoptotic protein B-cell lymphoma 2 |
| BDNF | Brain-derived neurotrophic factor |
| BHA | Butylhydroxyanisole |
| BHT | Butylated hydroxytoluene |
| C6 | Glial cell line |
| CAT | Catalase |
| CB | Cerebellum |
| CC | Cerebral cortex |
| CHME5 | Microglial cell lines |
| ChAT | Choline acetyltransferase |
| CNS | Central nervous system |
| COX-2 | Cyclooxygenase 2 |
| DA | Dopamine |
| DOPAC | 3,4-dihydroxyphenylacetic acid |
| DMSO | Dimethylsulfoxide |
| ER | Endoplasmic reticulum |
| ERK1/2 | Extracellular signal-regulated kinase 1/2 |
| GAP 43 | Growth associated protein 43 |
| GDNF | Glial cell line-derived neurotrophic factor |
| GFAP | Glial fibrillary acidic protein |
| GPX | Glutathione peroxidase |
| GSH | Glutathione |
| HC | Hippocampus |
| HD150Q | Huntingtin mutant mouse neuroblastoma cell line |
| HSF1 | Heat shock factor 1 |
| HSPs | Heat shock proteins |
| Hsp70 | Heat Shock Protein 70 |
| HSP25 | Heat Shock Protein 25 |
| HSR | Heat shock response |
| HT | Hypothalamus |
| HVA | Homovanillic acid |
| IDE | Insulin-degrading enzyme |
| IL-6 | Interleukin-6 |
| IL-1β | Interleukin-1β |
| IKBKB | Inhibitor of nuclear factor kappa B kinase subunit beta |
| IKBKG | Inhibitor of nuclear factor kappa B kinase regulatory subunit gamma |
| IMR32 | Neuronal cell line |
| JNK | c-Jun N-terminal kinase |
| L-DOPA | Levodopa |
| LPO | Lipid hydroperoxide |
| LRP | Low-density lipoprotein receptor-related protein |
| sLRP | Soluble form of LRP |
| LRR | Leucine rich repeat |
| LRRK2 | Leucine-rich repeat kinase 2 |
| MAO | Monoamine oxidase |
| MAP2 | Microtubule-associated protein 2 |
| MAPK | Mitogen-activated protein kinase |
| MCI | Mild cognitive impairment |
| MCP-1 | Monocyte chemoattractant protein-1 |
| MDA | Malondialdehyde |
| MK-801 | Non-competitive NMDA receptor antagonist |
| MPTP | 1-methyl-4-phenyl-1,2,3,6-tetrahydropyridine |
| 3-NP | 3-nitropropionic acid |
| NCAM | Neural cell adhesion molecule |
| NCX3 | Na+-Ca2+ exchanger isoform 3 |
| NF-H | Phosphorylated neurofilament-H |
| NF-kB | Nuclear factor-kb |
| NFTs | Neurofibrillary tangles |
| NGF | Nerve growth factor |
| NLRP3 | Pyrin domain containing 3 |
| NMDARs | N-methyl-D-aspartate receptors |
| NMJs | Neuromuscular junctions |
| NO | Nitric oxide |
| NOD | Nucleotide-binding oligomerisation domain |
| P38 | MAP kinase |
| PC 12 | Rat adrenal pheochromocytoma cell line |
| PPAR | Peroxisome proliferator-activated receptor |
| PS1 | Presenilin 1 |
| PSA-NCAM | Polysialylated-neural cell adhesion molecule |
| PSD-95 | Postsynaptic density protein-95 |
| RELA | Transcription factor p65 |
| RET | Rearranged during transfection |
| ROS | Reactive oxygen species |
| SH-APP | Human neuroblastoma cell line |
| SH-SY5Y | Human neuroblastoma cell line |
| SK-N-MC | Human neuroblastoma cell line |
| SK-N-SH | Human neuroblastoma cell line |
| SOD | Superoxide dismutase |
| STAT | Signal transducer and activator of transcription |
| TBHQ | Ter-butylhydroxyhydroquinone |
| TDP-43 | Transactive response DNA binding protein 43 |
| TNF-α | Tumor necrosis factor-α |
| WA | Withanamides |
| WC | Withanamides |
| WS-2 | Withanone |
References
- Balkrishna, A.; Misra, L. Chemo-botanical and neurological accounts of some ayurvedic plants useful in mental health. Nat. Prod. 2018, 8, 14–31. [Google Scholar] [CrossRef]
- Ahmad, M.; Dar, N. Withania somnifera: Ethnobotany, pharmacology, and therapeutic functions in sustained energy for enhanced human functions and activity. Sustain. Energy Enhanc. Hum. Funct. Act. 2017, 137–154. [Google Scholar] [CrossRef]
- Dar, N.J.; Hamid, A.; Ahmad, M. Pharmacologic overview of Withania somnifera, the Indian Ginseng. Cell. Mol. Life Sci. 2015, 72, 4445–4460. [Google Scholar] [CrossRef] [PubMed]
- Kulkarni, S.K.; Dhir, A. Withania somnifera: An Indian ginseng. Prog. Neuro-Psychopharmacol. Biol. Psychiatry 2008, 32, 1093–1105. [Google Scholar] [CrossRef] [PubMed]
- Behl, T.; Sharma, A.; Sharma, L.; Sehgal, A.; Zengin, G.; Brata, R.; Fratila, O.; Bungau, S. Exploring the multifaceted therapeutic potential of withaferin A and its derivatives. Biomedicines 2020, 8, 571. [Google Scholar] [CrossRef] [PubMed]
- Logie, E.; Vanden Berghe, W. Tackling Chronic Inflammation with Withanolide Phytochemicals-A Withaferin a Perspective. Antioxidants 2020, 9, 1107. [Google Scholar] [CrossRef] [PubMed]
- Mandlik Ingawale, D.S.; Namdeo, A.G. Pharmacological evaluation of Ashwagandha highlighting its healthcare claims, safety, and toxicity aspects. J. Diet. Suppl. 2021, 18, 183–226. [Google Scholar] [CrossRef] [PubMed]
- Mabberley, D.J. Mabberley’s Plant-Book: A Portable Dictionary of Plants, Their Classification and Uses; Cambridge University Press: Cambridge, UK, 2017. [Google Scholar]
- Mirjalili, M.H.; Moyano, E.; Bonfill, M.; Cusido, R.M.; Palazón, J. Steroidal lactones from Withania somnifera, an ancient plant for novel medicine. Molecules 2009, 14, 2373–2393. [Google Scholar] [CrossRef]
- Uddin, Q.; Samiulla, L.; Singh, V.; Jamil, S. Phytochemical and pharmacological profile of Withania somnifera Dunal: A review. J. Appl. Pharm. Sci. 2012, 170–175. [Google Scholar]
- Singh, N.; Bhalla, M.; de Jager, P.; Gilca, M. An overview on ashwagandha: A Rasayana (rejuvenator) of Ayurveda. Afr. J. Tradit. Complement. Altern. Med. 2011, 8, 208–213. [Google Scholar] [CrossRef]
- Reed, T.T. Lipid peroxidation and neurodegenerative disease. Free Radic. Biol. Med. 2011, 51, 1302–1319. [Google Scholar] [CrossRef] [PubMed]
- Zuo, L.; Zhou, T.; Pannell, B.K.; Ziegler, A.C.; Best, T.M. Biological and physiological role of reactive oxygen species—The good, the bad and the ugly. Acta Physiol. 2015, 214, 329–348. [Google Scholar] [CrossRef] [PubMed]
- Lela, L.; Russo, D.; De Biasio, F.; Gorgoglione, D.; Ostuni, A.; Ponticelli, M.; Milella, L. Solanum aethiopicum L. from the Basilicata Region Prevents Lipid Absorption, Fat Accumulation, Oxidative Stress, and Inflammation in OA-Treated HepG2 and Caco-2 Cell Lines. Plants 2023, 12, 2859. [Google Scholar] [CrossRef] [PubMed]
- Liu, Z.; Zhou, T.; Ziegler, A.C.; Dimitrion, P.; Zuo, L. Oxidative Stress in Neurodegenerative Diseases: From Molecular Mechanisms to Clinical Applications. Oxid. Med. Cell. Longev. 2017, 2017, 2525967. [Google Scholar] [CrossRef]
- Dhar, R.S.; Verma, V.; Suri, K.A.; Sangwan, R.S.; Satti, N.K.; Kumar, A.; Tuli, R.; Qazi, G.N. Phytochemical and genetic analysis in selected chemotypes of Withania somnifera. Phytochemistry 2006, 67, 2269–2276. [Google Scholar] [CrossRef]
- Chatterjee, S.; Srivastava, S.; Khalid, A.; Singh, N.; Sangwan, R.S.; Sidhu, O.P.; Roy, R.; Khetrapal, C.; Tuli, R. Comprehensive metabolic fingerprinting of Withania somnifera leaf and root extracts. Phytochemistry 2010, 71, 1085–1094. [Google Scholar] [CrossRef]
- Xu, Y.M.; Gao, S.; Bunting, D.P.; Gunatilaka, A.A. Unusual withanolides from aeroponically grown Withania somnifera. Phytochemistry 2011, 72, 518–522. [Google Scholar] [CrossRef]
- Saleem, S.; Muhammad, G.; Hussain, M.A.; Altaf, M.; Bukhari, S.N.A. Withania somnifera L.: Insights into the phytochemical profile, therapeutic potential, clinical trials, and future prospective. Iran. J. Basic Med. Sci. 2020, 23, 1501–1526. [Google Scholar] [CrossRef]
- Ghoshal, S.; Ghule, C.; Mirgal, A.; Girme, A.; Hingorani, L. Recent findings by high-performance thin-layer chromatographic separation for a comprehensive analysis of Withania somnifera by densitometry and mass spectrometry: An assessment to quality and adulteration. JPC J. Planar Chromatogr. Mod. TLC 2022, 35, 439–451. [Google Scholar] [CrossRef]
- Saini, D.; Madan, K.; Chauhan, S. Screening of Phytoconstituents from Traditional Plants against SARSCoV-2 using Molecular Docking Approach. Lett. Drug Des. Discov. 2022, 19, 1022–1038. [Google Scholar] [CrossRef]
- Kuboyama, T.; Tohda, C.; Komatsu, K. Withanoside IV and its active metabolite, sominone, attenuate Abeta(25-35)-induced neurodegeneration. Eur. J. Neurosci. 2006, 23, 1417–1426. [Google Scholar] [CrossRef]
- Matsuda, H.; Murakami, T.; Kishi, A.; Yoshikawa, M. Structures of withanosides I, II, III, IV, V, VI, and VII, new withanolide glycosides, from the roots of Indian Withania somnifera DUNAL. and inhibitory activity for tachyphylaxis to clonidine in isolated guinea-pig ileum. Bioorg. Med. Chem. 2001, 9, 1499–1507. [Google Scholar] [CrossRef]
- Jayaprakasam, B.; Strasburg, G.A.; Nair, M.G. Potent lipid peroxidation inhibitors from Withania somnifera fruits. Tetrahedron 2004, 60, 3109–3121. [Google Scholar] [CrossRef]
- Kapoor, L. Handbook of Ayurvedic Medicinal Plants; CRC Press Inc.: Boca Raton, FL, USA, 1990. [Google Scholar]
- Misra, L.; Mishra, P.; Pandey, A.; Sangwan, R.S.; Sangwan, N.S.; Tuli, R. Withanolides from Withania somnifera roots. Phytochemistry 2008, 69, 1000–1004. [Google Scholar] [CrossRef] [PubMed]
- Dubey, S.; Kallubai, M.; Sarkar, A.; Subramanyam, R. Elucidating the active interaction mechanism of phytochemicals withanolide and withanoside derivatives with human serum albumin. PLoS ONE 2018, 13, e0200053. [Google Scholar] [CrossRef]
- Dubey, S.; Kallubai, M.; Subramanyam, R. Improving the inhibition of β-amyloid aggregation by withanolide and withanoside derivatives. Int. J. Biol. Macromol. 2021, 173, 56–65. [Google Scholar] [CrossRef]
- Gupta, A.P.; Verma, R.K.; Misra, H.O.; Gupta, M.M. Quantitative determination of withanferin-A in different plant parts of Withania somnifera by TLC densitometry. J. Med. Aromat. Plant Sci. 1996, 18, 788–790. [Google Scholar]
- Ganzera, M.; Choudhary, M.; Khan, I. Quantitative HPLC analysis of withanolides in Withania somnifera. Fitoterapia 2003, 74, 68–76. [Google Scholar] [CrossRef] [PubMed]
- Pandey, A.; Bani, S.; Dutt, P.; Kumar Satti, N.; Avtar Suri, K.; Nabi Qazi, G. Multifunctional neuroprotective effect of Withanone, a compound from Withania somnifera roots in alleviating cognitive dysfunction. Cytokine 2018, 102, 211–221. [Google Scholar] [CrossRef] [PubMed]
- Jayaprakasam, B.; Padmanabhan, K.; Nair, M.G. Withanamides in Withania somnifera fruit protect PC-12 cells from beta-amyloid responsible for Alzheimer’s disease. Phytother. Res. PTR 2010, 24, 859–863. [Google Scholar] [CrossRef]
- Kuboyama, T.; Tohda, C.; Zhao, J.; Nakamura, N.; Hattori, M.; Komatsu, K. Axon- or dendrite-predominant outgrowth induced by constituents from Ashwagandha. Neuroreport 2002, 13, 1715–1720. [Google Scholar] [CrossRef] [PubMed]
- Arshad Jamal, S.; Iqbal Choudhary, M. Two new withanolides from Withania somnifera. Heterocycles 1992, 34, 689–698. [Google Scholar] [CrossRef]
- Benedetto, N.; Carlucci, V.; Faraone, I.; Lela, L.; Ponticelli, M.; Russo, D.; Mangieri, C.; Tzvetkov, N.T.; Milella, L. An Insight into Citrus medica Linn.: A Systematic Review on Phytochemical Profile and Biological Activities. Plants 2023, 12, 2267. [Google Scholar] [CrossRef] [PubMed]
- Page, M.J.; McKenzie, J.E.; Bossuyt, P.M.; Boutron, I.; Hoffmann, T.C.; Mulrow, C.D.; Shamseer, L.; Tetzlaff, J.M.; Akl, E.A.; Brennan, S.E. The PRISMA 2020 statement: An updated guideline for reporting systematic reviews. Int. J. Surg. 2021, 88, 105906. [Google Scholar] [CrossRef] [PubMed]
- Du, X.; Wang, X.; Geng, M. Alzheimer’s disease hypothesis and related therapies. Transl. Neurodegener. 2018, 7, 2. [Google Scholar] [CrossRef]
- Sharma, P.; Srivastava, P.; Seth, A.; Tripathi, P.N.; Banerjee, A.G.; Shrivastava, S.K. Comprehensive review of mechanisms of pathogenesis involved in Alzheimer’s disease and potential therapeutic strategies. Prog. Neurobiol. 2019, 174, 53–89. [Google Scholar] [CrossRef]
- Kinney, J.W.; Bemiller, S.M.; Murtishaw, A.S.; Leisgang, A.M.; Salazar, A.M.; Lamb, B.T. Inflammation as a central mechanism in Alzheimer’s disease. Alzheimer’s Dement. 2018, 4, 575–590. [Google Scholar] [CrossRef]
- Grodzicki, W.; Dziendzikowska, K. The Role of Selected Bioactive Compounds in the Prevention of Alzheimer’s Disease. Antioxidants 2020, 9, 229. [Google Scholar] [CrossRef]
- Yiannopoulou, K.G.; Papageorgiou, S.G. Current and Future Treatments in Alzheimer Disease: An Update. J. Cent. Nerv. Syst. Dis. 2020, 12, 1179573520907397. [Google Scholar] [CrossRef]
- Dickson, T.C.; Vickers, J.C. The morphological phenotype of beta-amyloid plaques and associated neuritic changes in Alzheimer’s disease. Neuroscience 2001, 105, 99–107. [Google Scholar] [CrossRef]
- Perl, D.P. Neuropathology of Alzheimer’s disease. Mt. Sinai J. Med. J. Transl. Pers. Med. 2010, 77, 32–42. [Google Scholar] [CrossRef]
- Terry, R.D.; Masliah, E.; Salmon, D.P.; Butters, N.; DeTeresa, R.; Hill, R.; Hansen, L.A.; Katzman, R. Physical basis of cognitive alterations in Alzheimer’s disease: Synapse loss is the major correlate of cognitive impairment. Ann. Neurol. 1991, 30, 572–580. [Google Scholar] [CrossRef] [PubMed]
- Tohda, C.; Kuboyama, T.; Komatsu, K. Dendrite extension by methanol extract of Ashwagandha (roots of Withania somnifera) in SK-N-SH cells. Neuroreport 2000, 11, 1981–1985. [Google Scholar] [CrossRef]
- Zhao, J.; Nakamura, N.; Hattori, M.; Kuboyama, T.; Tohda, C.; Komatsu, K. Withanolide derivatives from the roots of Withania somnifera and their neurite outgrowth activities. Chem. Pharm. Bull. 2002, 50, 760–765. [Google Scholar] [CrossRef] [PubMed]
- Kuboyama, T.; Tohda, C.; Komatsu, K. Neuritic regeneration and synaptic reconstruction induced by withanolide A. Br. J. Pharmacol. 2005, 144, 961–971. [Google Scholar] [CrossRef] [PubMed]
- Joyashiki, E.; Matsuya, Y.; Tohda, C. Sominone improves memory impairments and increases axonal density in Alzheimer’s disease model mice, 5XFAD. Int. J. Neurosci. 2011, 121, 181–190. [Google Scholar] [CrossRef]
- Tohda, C.; Joyashiki, E. Sominone enhances neurite outgrowth and spatial memory mediated by the neurotrophic factor receptor, RET. Br. J. Pharmacol. 2009, 157, 1427–1440. [Google Scholar] [CrossRef]
- Patil, S.P.; Maki, S.; Khedkar, S.A.; Rigby, A.C.; Chan, C. Withanolide A and asiatic acid modulate multiple targets associated with amyloid-beta precursor protein processing and amyloid-beta protein clearance. J. Nat. Prod. 2010, 73, 1196–1202. [Google Scholar] [CrossRef]
- Prox, J.; Rittger, A.; Saftig, P. Physiological functions of the amyloid precursor protein secretases ADAM10, BACE1, and presenilin. Exp. Brain Res. 2012, 217, 331–341. [Google Scholar] [CrossRef]
- Afewerky, H.K.; Li, H.; Zhang, T.; Li, X.; Mahaman, Y.A.R.; Duan, L.; Qin, P.; Zheng, J.; Pei, L.; Lu, Y. Sodium–calcium exchanger isoform-3 targeted Withania somnifera (L.) Dunal therapeutic intervention ameliorates cognition in the 5xFAD mouse model of Alzheimer’s disease. Sci. Rep. 2022, 12, 1537. [Google Scholar] [CrossRef]
- Green, K.N. Calcium in the initiation, progression and as an effector of Alzheimer’s disease pathology. J. Cell. Mol. Med. 2009, 13, 2787–2799. [Google Scholar] [CrossRef] [PubMed]
- Kurapati, K.R.; Atluri, V.S.; Samikkannu, T.; Nair, M.P. Ashwagandha (Withania somnifera) reverses β-amyloid1-42 induced toxicity in human neuronal cells: Implications in HIV-associated neurocognitive disorders (HAND). PLoS ONE 2013, 8, e77624. [Google Scholar] [CrossRef] [PubMed]
- Kurapati, K.R.; Samikkannu, T.; Atluri, V.S.; Kaftanovskaya, E.; Yndart, A.; Nair, M.P. β-Amyloid1-42, HIV-1Ba-L (clade B) infection and drugs of abuse induced degeneration in human neuronal cells and protective effects of ashwagandha (Withania somnifera) and its constituent Withanolide A. PLoS ONE 2014, 9, e112818. [Google Scholar] [CrossRef] [PubMed]
- Maria, M.; Thimmappa, S.; Edward, H.; Byung, S.; Joseph, Q.; Reddy, P. Mitochondria are a direct site of Aß accumulation in Alzheimer’s disease neurons: Implications for free radical generation and oxidative damage in disease progression. Hum. Mol. Genet. 2006, 15, 1437–1449. [Google Scholar] [CrossRef]
- Mohamed, A.; Posse de Chaves, E. Aβ internalization by neurons and glia. Int. J. Alzheimer’s Dis. 2011, 2011, 127984. [Google Scholar] [CrossRef]
- Mandrekar-Colucci, S.; Karlo, J.C.; Landreth, G.E. Mechanisms underlying the rapid peroxisome proliferator-activated receptor-γ-mediated amyloid clearance and reversal of cognitive deficits in a murine model of Alzheimer’s disease. J. Neurosci. Off. J. Soc. Neurosci. 2012, 32, 10117–10128. [Google Scholar] [CrossRef] [PubMed]
- Kumar, S.; Seal, C.J.; Howes, M.J.; Kite, G.C.; Okello, E.J. In vitro protective effects of Withania somnifera (L.) dunal root extract against hydrogen peroxide and β-amyloid(1-42)-induced cytotoxicity in differentiated PC12 cells. Phytother. Res. PTR 2010, 24, 1567–1574. [Google Scholar] [CrossRef] [PubMed]
- Stan, S.D.; Zeng, Y.; Singh, S.V. Ayurvedic medicine constituent withaferin a causes G2 and M phase cell cycle arrest in human breast cancer cells. Nutr. Cancer 2008, 60 (Suppl. 1), 51–60. [Google Scholar] [CrossRef]
- Harris, J.R. In vitro fibrillogenesis of the amyloid beta 1-42 peptide: Cholesterol potentiation and aspirin inhibition. Micron 2002, 33, 609–626. [Google Scholar] [CrossRef]
- Harris, J.R. Cholesterol binding to amyloid-beta fibrils: A TEM study. Micron 2008, 39, 1192–1196. [Google Scholar] [CrossRef]
- Kumar, S.; Harris, R.J.; Seal, C.J.; Okello, E.J. An aqueous extract of Withania somnifera root inhibits amyloid β fibril formation in vitro. Phytother. Res. PTR 2012, 26, 113–117. [Google Scholar] [CrossRef]
- Tiwari, S.; Atluri, V.S.R.; Yndart Arias, A.; Jayant, R.D.; Kaushik, A.; Geiger, J.; Nair, M.N. Withaferin A Suppresses Beta Amyloid in APP Expressing Cells: Studies for Tat and Cocaine Associated Neurological Dysfunctions. Front. Aging Neurosci. 2018, 10, 291. [Google Scholar] [CrossRef]
- Atluri, V.S.R.; Tiwari, S.; Rodriguez, M.; Kaushik, A.; Yndart, A.; Kolishetti, N.; Yatham, M.; Nair, M. Inhibition of Amyloid-Beta production, associated neuroinflammation, and Histone Deacetylase 2-mediated epigenetic modifications prevent neuropathology in Alzheimer’s disease in vitro Model. Front. Aging Neurosci. 2020, 11, 342. [Google Scholar] [CrossRef]
- Akiyama, H.; Barger, S.; Barnum, S.; Bradt, B.; Bauer, J.; Cole, G.M.; Cooper, N.R.; Eikelenboom, P.; Emmerling, M.; Fiebich, B.L. Inflammation and Alzheimer’s disease. Neurobiol. Aging 2000, 21, 383–421. [Google Scholar] [CrossRef]
- Bonaiuto, C.; McDonald, P.P.; Rossi, F.; Cassatella, M.A. Activation of nuclear factor-κB by β-amyloid peptides and interferon-γ in murine microglia. J. Neuroimmunol. 1997, 77, 51–56. [Google Scholar] [CrossRef]
- Agostinho, P.; Cunha, R.A.; Oliveira, C. Neuroinflammation, oxidative stress and the pathogenesis of Alzheimer’s disease. Curr. Pharm. Des. 2010, 16, 2766–2778. [Google Scholar] [CrossRef]
- Cameron, B.; Landreth, G.E. Inflammation, microglia, and Alzheimer’s disease. Neurobiol. Dis. 2010, 37, 503–509. [Google Scholar] [CrossRef] [PubMed]
- Mandrekar-Colucci, S.; Landreth, G.E. Microglia and inflammation in Alzheimer’s disease. J. CNS Neurol. Disord.-Drug Targets 2010, 9, 156–167. [Google Scholar] [CrossRef] [PubMed]
- Heneka, M.T.; Kummer, M.P.; Stutz, A.; Delekate, A.; Schwartz, S.; Vieira-Saecker, A.; Griep, A.; Axt, D.; Remus, A.; Tzeng, T.C.; et al. NLRP3 is activated in Alzheimer’s disease and contributes to pathology in APP/PS1 mice. Nature 2013, 493, 674–678. [Google Scholar] [CrossRef] [PubMed]
- Heyninck, K.; Lahtela-Kakkonen, M.; Van der Veken, P.; Haegeman, G.; Vanden Berghe, W. Withaferin A inhibits NF-kappaB activation by targeting cysteine 179 in IKKβ. Biochem. Pharmacol. 2014, 91, 501–509. [Google Scholar] [CrossRef] [PubMed]
- Martorana, F.; Guidotti, G.; Brambilla, L.; Rossi, D. Withaferin A inhibits nuclear factor-κB-dependent pro-inflammatory and stress response pathways in the astrocytes. J. Neural Plast. 2015, 2015, 381964. [Google Scholar] [CrossRef]
- Sehgal, N.; Gupta, A.; Valli, R.K.; Joshi, S.D.; Mills, J.T.; Hamel, E.; Khanna, P.; Jain, S.C.; Thakur, S.S.; Ravindranath, V. Withania somnifera reverses Alzheimer’s disease pathology by enhancing low-density lipoprotein receptor-related protein in liver. Proc. Natl. Acad. Sci. USA 2012, 109, 3510–3515. [Google Scholar] [CrossRef]
- Shibata, M.; Yamada, S.; Kumar, S.R.; Calero, M.; Bading, J.; Frangione, B.; Holtzman, D.M.; Miller, C.A.; Strickland, D.K.; Ghiso, J.; et al. Clearance of Alzheimer’s amyloid-ss(1-40) peptide from brain by LDL receptor-related protein-1 at the blood-brain barrier. J. Clin. Investig. 2000, 106, 1489–1499. [Google Scholar] [CrossRef]
- Deane, R.; Wu, Z.; Sagare, A.; Davis, J.; Du Yan, S.; Hamm, K.; Xu, F.; Parisi, M.; LaRue, B.; Hu, H.W.; et al. LRP/amyloid beta-peptide interaction mediates differential brain efflux of Abeta isoforms. Neuron 2004, 43, 333–344. [Google Scholar] [CrossRef] [PubMed]
- Ellis, J.R.; Ellis, K.A.; Bartholomeusz, C.F.; Harrison, B.J.; Wesnes, K.A.; Erskine, F.F.; Vitetta, L.; Nathan, P.J. Muscarinic and nicotinic receptors synergistically modulate working memory and attention in humans. Int. J. Neuropsychopharmacol. 2006, 9, 175–189. [Google Scholar] [CrossRef] [PubMed]
- Klinkenberg, I.; Blokland, A. The validity of scopolamine as a pharmacological model for cognitive impairment: A review of animal behavioral studies. Neurosci. Biobehav. Rev. 2010, 34, 1307–1350. [Google Scholar] [CrossRef] [PubMed]
- Konar, A.; Shah, N.; Singh, R.; Saxena, N.; Kaul, S.C.; Wadhwa, R.; Thakur, M.K. Protective role of Ashwagandha leaf extract and its component withanone on scopolamine-induced changes in the brain and brain-derived cells. PLoS ONE 2011, 6, e27265. [Google Scholar] [CrossRef] [PubMed]
- Gautam, A.; Wadhwa, R.; Thakur, M.K. Assessment of Cholinergic Properties of Ashwagandha Leaf-Extract in the Amnesic Mouse Brain. Ann. Neurosci. 2016, 23, 68–75. [Google Scholar] [CrossRef]
- Konar, A.; Gupta, R.; Shukla, R.K.; Maloney, B.; Khanna, V.K.; Wadhwa, R.; Lahiri, D.K.; Thakur, M.K. M1 muscarinic receptor is a key target of neuroprotection, neuroregeneration and memory recovery by i-Extract from Withania somnifera. Sci. Rep. 2019, 9, 13990. [Google Scholar] [CrossRef] [PubMed]
- Bhatnagar, M.; Suhalka, P.; Sukhwal, P.; Jain, A.; Sharma, D. Inhibition of acetylcholinesterase and NO synthase activity in the mice brain: Effect of a Withania somnifera leaf juice. Neurophysiology 2012, 44, 301–308. [Google Scholar] [CrossRef]
- Vinutha, B.; Prashanth, D.; Salma, K.; Sreeja, S.L.; Pratiti, D.; Padmaja, R.; Radhika, S.; Amit, A.; Venkateshwarlu, K.; Deepak, M. Screening of selected Indian medicinal plants for acetylcholinesterase inhibitory activity. J. Ethnopharmacol. 2007, 109, 359–363. [Google Scholar] [CrossRef] [PubMed]
- Visweswari, G.; Christopher, R.; Rajendra, W. Dose-dependent effect of Withania somnifera on the cholinergic system in scopolamine-induced alzheimer’s disease in rats. Int. J. Pharm. Sci. Res. 2014, 5, 4240–4248. [Google Scholar] [CrossRef]
- Hynd, M.R.; Scott, H.L.; Dodd, P.R. Glutamate-mediated excitotoxicity and neurodegeneration in Alzheimer’s disease. Neurochem. Int. 2004, 45, 583–595. [Google Scholar] [CrossRef] [PubMed]
- Dar, N.J.; Bhat, J.A.; Satti, N.K.; Sharma, P.R.; Hamid, A.; Ahmad, M. Withanone, an active constituent from Withania somnifera, affords protection against NMDA-induced excitotoxicity in neuron-like cells. Mol. Neurobiol. 2017, 54, 5061–5073. [Google Scholar] [CrossRef]
- Sattler, R.; Charlton, M.P.; Hafner, M.; Tymianski, M. Distinct influx pathways, not calcium load, determine neuronal vulnerability to calcium neurotoxicity. J. Neurochem. 1998, 71, 2349–2364. [Google Scholar] [CrossRef]
- Dar, N.J.; Satti, N.K.; Dutt, P.; Hamid, A.; Ahmad, M. Attenuation of glutamate-induced excitotoxicity by withanolide-A in neuron-like cells: Role for PI3K/Akt/MAPK signaling pathway. Mol. Neurobiol. 2018, 55, 2725–2739. [Google Scholar] [CrossRef]
- Kataria, H.; Wadhwa, R.; Kaul, S.C.; Kaur, G. Water extract from the leaves of Withania somnifera protect RA differentiated C6 and IMR-32 cells against glutamate-induced excitotoxicity. PLoS ONE 2012, 7, e37080. [Google Scholar] [CrossRef] [PubMed]
- Reich, S.G.; Savitt, J.M. Parkinson’s Disease. Med. Clin. N. Am. 2019, 103, 337–350. [Google Scholar] [CrossRef]
- Puspita, L.; Chung, S.Y.; Shim, J.W. Oxidative stress and cellular pathologies in Parkinson’s disease. Mol. Brain 2017, 10, 53. [Google Scholar] [CrossRef]
- Wang, Q.; Liu, Y.; Zhou, J. Neuroinflammation in Parkinson’s disease and its potential as therapeutic target. Transl. Neurodegener. 2015, 4, 19. [Google Scholar] [CrossRef]
- Maxwell, S.R. Prospects for the use of antioxidant therapies. Drugs 1995, 49, 345–361. [Google Scholar] [CrossRef] [PubMed]
- Bhattacharya, S.K.; Satyan, K.S.; Ghosal, S. Antioxidant activity of glycowithanolides from Withania somnifera. Indian J. Exp. Biol. 1997, 35, 236–239. [Google Scholar] [PubMed]
- Jayawanth Manjunath, M. Effect of Withania somnifera supplementation on rotenone-induced oxidative damage in cerebellum and striatum of the male mice brain. J. Cent. Nerv. Syst. Agents Med. Chem. 2013, 13, 43–56. [Google Scholar] [CrossRef] [PubMed]
- Manjunath, M.J.; Muralidhara. Standardized extract of Withania somnifera (Ashwagandha) markedly offsets rotenone-induced locomotor deficits, oxidative impairments and neurotoxicity in Drosophila melanogaster. J. Food Sci. Technol. 2015, 52, 1971–1981. [Google Scholar] [CrossRef] [PubMed]
- De Rose, F.; Marotta, R.; Poddighe, S.; Talani, G.; Catelani, T.; Setzu, M.D.; Solla, P.; Marrosu, F.; Sanna, E.; Kasture, S. Functional and morphological correlates in the Drosophila LRRK2 loss-of-function model of Parkinson’s disease: Drug effects of Withania somnifera (Dunal) administration. PLoS ONE 2016, 11, e0146140. [Google Scholar] [CrossRef]
- Wongtrakul, J.; Thongtan, T.; Kumrapich, B.; Saisawang, C.; Ketterman, A.J. Neuroprotective effects of Withania somnifera in the SH-SY5Y Parkinson cell model. Heliyon 2021, 7, e08172. [Google Scholar] [CrossRef] [PubMed]
- Ahmad, M.; Saleem, S.; Ahmad, A.S.; Ansari, M.A.; Yousuf, S.; Hoda, M.N.; Islam, F. Neuroprotective effects of Withania somnifera on 6-hydroxydopamine induced Parkinsonism in rats. Hum. Exp. Toxicol. 2005, 24, 137–147. [Google Scholar] [CrossRef] [PubMed]
- Prakash, J.; Yadav, S.K.; Chouhan, S.; Singh, S.P. Neuroprotective role of Withania somnifera root extract in maneb-paraquat induced mouse model of parkinsonism. Neurochem. Res. 2013, 38, 972–980. [Google Scholar] [CrossRef]
- Prakash, J.; Chouhan, S.; Yadav, S.K.; Westfall, S.; Rai, S.N.; Singh, S.P. Withania somnifera alleviates parkinsonian phenotypes by inhibiting apoptotic pathways in dopaminergic neurons. Neurochem. Res. 2014, 39, 2527–2536. [Google Scholar] [CrossRef]
- Zang, L.Y.; Misra, H.P. Generation of reactive oxygen species during the monoamine oxidase-catalyzed oxidation of the neurotoxicant, 1-methyl-4-phenyl-1,2,3,6-tetrahydropyridine. J. Biol. Chem. 1993, 268, 16504–16512. [Google Scholar] [CrossRef]
- Sankar, S.R.; Manivasagam, T.; Krishnamurti, A.; Ramanathan, M. The neuroprotective effect of Withania somnifera root extract in MPTP-intoxicated mice: An analysis of behavioral and biochemical variables. Cell. Mol. Biol. Lett. 2007, 12, 473–481. [Google Scholar] [CrossRef]
- Sankar, S.R.; Manivasagam, T.; Singh, V.A.; Krishnamurti, A.; Ramanathan, M. Prophylatic efficacy of Withania somnifera against mptp induced parkinson’s disease in mice. J. Cell Tissue Res. 2007, 7, 975. [Google Scholar]
- RajaSankar, S.; Manivasagam, T.; Sankar, V.; Prakash, S.; Muthusamy, R.; Krishnamurti, A.; Surendran, S. Withania somnifera root extract improves catecholamines and physiological abnormalities seen in a Parkinson’s disease model mouse. J. Ethnopharmacol. 2009, 125, 369–373. [Google Scholar] [CrossRef] [PubMed]
- Rajasankar, S.; Manivasagam, T.; Surendran, S. Ashwagandha leaf extract: A potential agent in treating oxidative damage and physiological abnormalities seen in a mouse model of Parkinson’s disease. Neurosci. Lett. 2009, 454, 11–15. [Google Scholar] [CrossRef] [PubMed]
- Dhanasekaran, M.; Uthayathas, S.; Karuppagounder, S.S.; Parameshwaran, K.; Suppiramaniam, V.; Ebadi, M.; Brown-Borg, H.M. Ebselen effects on MPTP-induced neurotoxicity. Brain Res. 2006, 1118, 251–254. [Google Scholar] [CrossRef] [PubMed]
- Surendran, S.; Rajasankar, S. Parkinson’s disease: Oxidative stress and therapeutic approaches. Neurol. Sci. Off. J. Ital. Neurol. Soc. Ital. Soc. Clin. Neurophysiol. 2010, 31, 531–540. [Google Scholar] [CrossRef]
- Halliwell, B. Role of free radicals in the neurodegenerative diseases: Therapeutic implications for antioxidant treatment. Drugs Aging 2001, 18, 685–716. [Google Scholar] [CrossRef] [PubMed]
- Koutsilieri, E.; Scheller, C.; Grünblatt, E.; Nara, K.; Li, J.; Riederer, P. Free radicals in Parkinson’s disease. Neurology 2002, 249, ii01–ii05. [Google Scholar] [CrossRef]
- Blum, D.; Torch, S.; Lambeng, N.; Nissou, M.-F.; Benabid, A.-L.; Sadoul, R.; Verna, J.-M. Molecular pathways involved in the neurotoxicity of 6-OHDA, dopamine and MPTP: Contribution to the apoptotic theory in Parkinson’s disease. Prog. Neurobiol. 2001, 65, 135–172. [Google Scholar] [CrossRef]
- Yang, L.; Matthews, R.T.; Schulz, J.B.; Klockgether, T.; Liao, A.W.; Martinou, J.C.; Penney, J.B., Jr.; Hyman, B.T.; Beal, M.F. 1-Methyl-4-phenyl-1,2,3,6-tetrahydropyride neurotoxicity is attenuated in mice overexpressing Bcl-2. J. Neurosci. Off. J. Soc. Neurosci. 1998, 18, 8145–8152. [Google Scholar] [CrossRef]
- Anjaneyulu, J.; Vidyashankar, R.; Godbole, A. Differential effect of Ayurvedic nootropics on C. elegans models of Parkinson’s disease. Ayurveda Integr. Med. 2020, 11, 440–447. [Google Scholar] [CrossRef] [PubMed]
- Akhoon, B.A.; Pandey, S.; Tiwari, S.; Pandey, R. Withanolide A offers neuroprotection, ameliorates stress resistance and prolongs the life expectancy of Caenorhabditis elegans. Exp. Gerontol. 2016, 78, 47–56. [Google Scholar] [CrossRef] [PubMed]
- Gupta, G.; Avtar, C. Synergistic effect of Withania somnifera dunal and L-dopa in the inhiition of haloperidol-induced catalepsy in mice. Pharmacogn. Mag. 2009, 5, 46–50. [Google Scholar]
- Prakash, J.; Yadav, S.K.; Chouhan, S.; Prakash, S.; Singh, S.P. Synergistic effect of Mucuna pruriens and Withania somnifera in a paraquat induced Parkinsonian mouse model. Adv. Biosci. Biotechnol. 2013, 4, 1–9. [Google Scholar] [CrossRef][Green Version]
- Maheswari, T.; Dhanraj, V.; Natchiyar, R.; Kalaivani, K.; Raja Sankar, S.; Tamilselvam, K.; Manivasagam, T. Synergistic neuropreventive effect of Withania somnifera root powder and mucuna pruriens seed powder in parkinsonic mice model. Herb. Med. Toxicol. 2010, 4, 63–69. [Google Scholar]
- Yadav, S.K.; Prakash, J.; Chouhan, S.; Singh, S.P. Mucuna pruriens seed extract reduces oxidative stress in nigrostriatal tissue and improves neurobehavioral activity in paraquat-induced Parkinsonian mouse model. Neurochem. Int. 2013, 62, 1039–1047. [Google Scholar] [CrossRef]
- Vegh, C.; Wear, D.; Okaj, I.; Huggard, R.; Culmone, L.; Eren, S.; Cohen, J.; Rishi, A.K.; Pandey, S. Combined Ubisol-Q(10) and Ashwagandha Root Extract Target Multiple Biochemical Mechanisms and Reduces Neurodegeneration in a Paraquat-Induced Rat Model of Parkinson’s Disease. Antioxidants 2021, 10, 563. [Google Scholar] [CrossRef]
- MacDonald, M.E.; Ambrose, C.M.; Duyao, M.P.; Myers, R.H.; Lin, C.; Srinidhi, L.; Barnes, G.; Taylor, S.A.; James, M.; Groot, N.; et al. A novel gene containing a trinucleotide repeat that is expanded and unstable on Huntington’s disease chromosomes. The Huntington’s Disease Collaborative Research Group. Cell 1993, 72, 971–983. [Google Scholar] [CrossRef]
- DiFiglia, M.; Sapp, E.; Chase, K.O.; Davies, S.W.; Bates, G.P.; Vonsattel, J.P.; Aronin, N. Aggregation of huntingtin in neuronal intranuclear inclusions and dystrophic neurites in brain. Science 1997, 277, 1990–1993. [Google Scholar] [CrossRef]
- Papoutsi, M.; Labuschagne, I.; Tabrizi, S.J.; Stout, J.C. The cognitive burden in Huntington’s disease: Pathology, phenotype, and mechanisms of compensation. Mov. Disord. Off. J. Mov. Disord. Soc. 2014, 29, 673–683. [Google Scholar] [CrossRef] [PubMed]
- Kaur, N.; Kumar, P.; Jamwal, S.; Deshmukh, R.; Gauttam, V. Tetrabenazine: Spotlight on Drug Review. Ann. Neurosci. 2016, 23, 176–185. [Google Scholar] [CrossRef]
- Kumar, P.; Kumar, A. Effects of root extract of Withania somnifera in 3-Nitropropionic acid-induced cognitive dysfunction and oxidative damage in rats. Int. J. Health Res. 2008, 1, 139–149. [Google Scholar] [CrossRef]
- Kumar, P.; Kumar, A. Possible neuroprotective effect of Withania somnifera root extract against 3-nitropropionic acid-induced behavioral, biochemical, and mitochondrial dysfunction in an animal model of Huntington’s disease. J. Med. Food 2009, 12, 591–600. [Google Scholar] [CrossRef] [PubMed]
- Joshi, T.; Kumar, V.; Kaznacheyeva, E.V.; Jana, N.R. Withaferin A Induces Heat Shock Response and Ameliorates Disease Progression in a Mouse Model of Huntington’s Disease. Mol. Neurobiol. 2021, 58, 3992–4006. [Google Scholar] [CrossRef] [PubMed]
- Venkatramaniah, C.; Praba, A. A Study on the Behaviour of Huntington’s Chorea Rat Models on Rotarod: Treated with Withanolide a and the Ethanolic Extract of Withania somnifera. Int. J. Anat. Res. 2015, 3, 1510–1514. [Google Scholar] [CrossRef]
- Gandhi, J.; Antonelli, A.C.; Afridi, A.; Vatsia, S.; Joshi, G.; Romanov, V.; Murray, I.V.J.; Khan, S.A. Protein misfolding and aggregation in neurodegenerative diseases: A review of pathogeneses, novel detection strategies, and potential therapeutics. Rev. Neurosci. 2019, 30, 339–358. [Google Scholar] [CrossRef] [PubMed]
- Casas, C.; Herrando-Grabulosa, M.; Manzano, R.; Mancuso, R.; Osta, R.; Navarro, X. Early presymptomatic cholinergic dysfunction in a murine model of amyotrophic lateral sclerosis. Brain Behav. 2013, 3, 145–158. [Google Scholar] [CrossRef] [PubMed]
- Swarup, V.; Phaneuf, D.; Dupré, N.; Petri, S.; Strong, M.; Kriz, J.; Julien, J.P. Deregulation of TDP-43 in amyotrophic lateral sclerosis triggers nuclear factor κB-mediated pathogenic pathways. J. Exp. Med. 2011, 208, 2429–2447. [Google Scholar] [CrossRef] [PubMed]
- Patel, P.; Julien, J.P.; Kriz, J. Early-stage treatment with Withaferin A reduces levels of misfolded superoxide dismutase 1 and extends lifespan in a mouse model of amyotrophic lateral sclerosis. Neurotherapeutics 2015, 12, 217–233. [Google Scholar] [CrossRef] [PubMed]
- Dutta, K.; Patel, P.; Julien, J.P. Protective effects of Withania somnifera extract in SOD1(G93A) mouse model of amyotrophic lateral sclerosis. Exp. Neurol. 2018, 309, 193–204. [Google Scholar] [CrossRef]
- Khan, S.; Rammeloo, A.W.; Heikkila, J.J. Withaferin A induces proteasome inhibition, endoplasmic reticulum stress, the heat shock response and acquisition of thermotolerance. PLoS ONE 2012, 7, e50547. [Google Scholar] [CrossRef] [PubMed]
- Hahm, E.R.; Singh, S.V. Autophagy fails to alter withaferin A-mediated lethality in human breast cancer cells. Curr. Cancer Drug Targets 2013, 13, 640–650. [Google Scholar] [CrossRef] [PubMed]
- Swarup, V.; Phaneuf, D.; Bareil, C.; Robertson, J.; Rouleau, G.A.; Kriz, J.; Julien, J.P. Pathological hallmarks of amyotrophic lateral sclerosis/frontotemporal lobar degeneration in transgenic mice produced with TDP-43 genomic fragments. Brain J. Neurol. 2011, 134, 2610–2626. [Google Scholar] [CrossRef] [PubMed]
- Dutta, K.; Patel, P.; Rahimian, R.; Phaneuf, D.; Julien, J.P. Withania somnifera Reverses Transactive Response DNA Binding Protein 43 Proteinopathy in a Mouse Model of Amyotrophic Lateral Sclerosis/Frontotemporal Lobar Degeneration. Neurotherapeutics 2017, 14, 447–462. [Google Scholar] [CrossRef] [PubMed]
- Beaulieu, J.-M.; Jacomy, H.; Julien, J.-P. Formation of intermediate filament protein aggregates with disparate effects in two transgenic mouse models lacking the neurofilament light subunit. J. Neurosci. 2000, 20, 5321–5328. [Google Scholar] [CrossRef] [PubMed]
- Beaulieu, J.-M.; Nguyen, M.D.; Julien, J.-P. Late onset death of motor neurons in mice overexpressing wild-type peripherin. J. Cell Biol. 1999, 147, 531–544. [Google Scholar] [CrossRef]
- Choudhary, D.; Bhattacharyya, S.; Bose, S. Efficacy and safety of Ashwagandha (Withania somnifera (L.) Dunal) root extract in improving memory and cognitive functions. Diet. Suppl. 2017, 14, 599–612. [Google Scholar] [CrossRef]
- Pingali, U.; Pilli, R.; Fatima, N. Effect of standardized aqueous extract of Withania somnifera on tests of cognitive and psychomotor performance in healthy human participants. Pharmacogn. Res. 2014, 6, 12. [Google Scholar] [CrossRef]
- Xing, D.; Yoo, C.; Gonzalez, D.; Jenkins, V.; Nottingham, K.; Dickerson, B.; Leonard, M.; Ko, J.; Faries, M.; Kephart, W.; et al. Effects of Acute Ashwagandha Ingestion on Cognitive Function. Int. J. Environ. Res. Public Health 2022, 19, 11852. [Google Scholar] [CrossRef]
- Visweswari, G.; Christopher, R.; Rajendra, W. Withania somnifera against glutamate excitotoxicity and neuronal cell loss in a scopolamine-induced rat model of Alzheimer’s disease. Eur. J. Biol. Res. 2021, 11, 156–167. [Google Scholar] [CrossRef]
- Ahmed, M.E.; Javed, H.; Khan, M.M.; Vaibhav, K.; Ahmad, A.; Khan, A.; Tabassum, R.; Islam, F.; Safhi, M.M.; Islam, F. Attenuation of oxidative damage-associated cognitive decline by Withania somnifera in rat model of streptozotocin-induced cognitive impairment. Protoplasma 2013, 250, 1067–1078. [Google Scholar] [CrossRef] [PubMed]
- Ponticelli, M.; Lela, L.; Moles, M.; Mangieri, C.; Bisaccia, D.; Faraone, I.; Falabella, R.; Milella, L. The healing bitterness of Gentiana lutea L., phytochemistry and biological activities: A systematic review. Phytochemistry 2023, 206, 113518. [Google Scholar] [CrossRef] [PubMed]





| Compound | Molecular Formula | Structure | Part of W. somnifera (L.) Dunal | Ref. |
|---|---|---|---|---|
| WITHANOLIDE STEROIDAL LACTONES | ||||
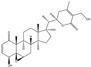
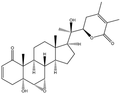
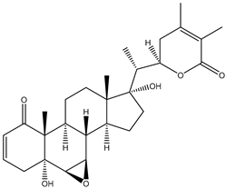
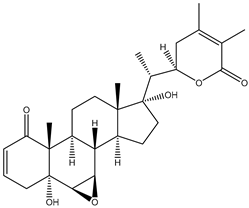
| Withaferina A | C28 H38 O6 | ![]() | Leaves, Roots | [16] |
| Withanolide A | C28 H38 O6 | ![]() | Leaves, Roots | [16] |
| Withanolide B | C28 H38 O5 | ![]() | Leaves, Roots | [16] |
| Withanone | C28 H38 O6 | ![]() | Leaves, Roots | [16] |
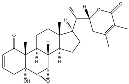
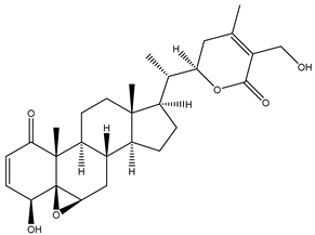
| Sominone (aglycone of withanoside IV) | C28 H42 O5 | ![]() | Roots (it was obtained by enzymatic hydrolysis with beta-glucosidase from withanoside IV) | [22] |
| WITHANOLIDE GLYCOSIDES | ||||
| WITHANOSIDE | ||||
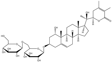
| Withanoside IV | C40 H62 O15 | ![]() | Roots, fruits | [23,24] |
| Withanoside V | C40 H62 O14 | ![]() | Roots, fruits | [23,24] |
| Withanoside VI | C40 H62 O15 | ![]() | Roots, fruits | [23,24] |
| WITHANAMIDE (general structure) | ![]() | |||
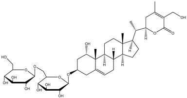
| Withanamide A | C40 H62 N2 O13 | ![]() | Roots, fruits | [24] |
| Withanamide C | C38 H63 N2 O13 | ![]() | Roots, fruits | [24] |
| Extract/Compound | Assay/Model | Treatment Time | Doses/Concentration | Biological Activity | Ref. |
|---|---|---|---|---|---|
| ANTI-ALZHEIMER ACTIVITY | |||||
| Methanol root extract of W. somnifera | SK-N-SH cells | 5 days | 5 μg/mL | ↑MAP2 ↑PSD-95 ↑neurite outgrowth | [45] |
| Methanol root extract of W. somnifera Withanolide A Withanoside IV Withanoside VI | SH-SY5Y cells | 6 days | 5 μg/mL 1 µM | ↑neurite outgrowth | [46] |
| Aqueous root extract of W. somnifera | Aβ (50 μg/mL) peptide co-incubated with cholesterol (0.2 mg/mL) Aβ (5 μg/mL) PC12 cells + H2O2 (200 µM) | 24 h 24 h | 50 μg/mL 6.25–50 μg/mL 50–100 μg/mL | ↓Aβ fibrillogenesis ↓H2O2 cytotoxicity ↓Aβ1-42-induced cytotoxicity | [59,63] |
| Withanolide A Withanolide B Withanoside IV Withanoside V | SK-N-SH cells + 25 μM of Aβ for 6 h | 48 h | 10, 20, 40, 60, 80, 100 μM | ↓fibrillization ↓cytotoxic effects of amyloid β fibrillation ↓ROS ↓number of apoptotic cells | [28] |
| Withaferina A | SH-APP cells and microglial cells (CHME5) | 24 h 48 h | 50 nM–1 μM 1 μM | ↓Aβ40 ↓NF-kB | [65] |
| Withanolide A | primary rat cortical neurons (rat pups) | 24 h | 100 μM | ↓BACE1 ↑ADAM10 ↑IDE | [50] |
| Withanamides A (WA) and Withanamides C (WC) (methanolic fruits extract) | PC-12 cells + β-amyloid (25–35) | 48 h | 50 μg/mL | ↓cell death ↓BAP | [32] |
| Withanoside IV (methanol root extract) Sominone Withanolide A (root of W. somnifera) | In vivo: Male ddY mice Aβ (25–35) (25 nmol) injected into the right ventricle (i.c.v. injection) In vitro: rat cortical neurons damaged by 10 µM Aβ (25–35) for 4 days | administered orally once daily for 13 days 7 days | 10 μmol/kg/day 1 µM | ↓neuritic losses ↓synaptic loses ↑pre- and postsynapses in the neurons ↓memory deficits ↑Axons length ↑Dendrites length ↑numbers of synapses | [22,47] |
| Withanosides IV and VI Withanolide A | rat cortical neurons | 6 days | 1 µM 1 µM | ↑MAP2-positive neurites ↑Dendrites length ↑NF-H-positive neurites ↑Axons length | [33] |
| Methanol:Chloroform (3:1) extract of W. somnifera Withanolide A | human neuronal SK-N-MC cell line + β-amyloid 1-42 | cells were pre-incubated with the extract for 3 h and then exposed to Aβ (5 µM) for 24 h | 0.15 µg/mL 1.25 µg/mL–20 µg/mL | ↓cytotoxic effects of β-amyloid ↓amyloid-β 1–42 Internalization ↓MAP2 ↓AChE activity | [54,55] |
| Withaferin A | SH-APP cells | 48 h | 0.5–10 μM results showed that 2 μM of Withaferin A reduces the secreted Aβ40 | ↓Aβ40 | [64] |
| Withanone (WS-2) | Male Wistar rats, 20–24 weeks old with a weight range of 320–360 g and female balb/c mice, 10–12 weeks old weighing 24–28 g | 21 days | 5, 10 and 20 mg/kg p.o. (most effective dose being 20 mg/kg) | ↓amyloid β-42 ↓TNF alpha ↓IL-1 beta, IL-6, MCP-1, Nitric oxide, lipid peroxidation ↓β- and γ-secretases ↑Ach | [31] |
| Fresh leaf juice | In vivo: Adult albino mice (45 days old, body mass 25 ± 5 g) of both sexes In vitro: Primary hippocampal cell cultures of mice pups | daily single doses (4 mL/kg) | ↓AchE activity ↓NADPH-d | [82] | |
| Methanol and aqueous extracts from W. somnifera (root) | Adult male Wistar rats, 4 months of age (300–350 g) + Scopolamine: (2 mg/Kg b.w. i.p.) | 10 days | methanol extract: 100, 200 and 300 mg/Kg b.w. oral aqueous extract: 100, 200 and 300 mg/Kg b.w. oral Donepezil (a reference control) 5 mg/Kg b.w. oral | ↓AChE activity | [84] |
| Sominone | In vitro: Rat cortical neurons In vivo: Male ddY mice | 4 days | 0.001–10 µM (max dose 0.1 µM for axon extension and 1 µM for dendrite extension) 10 µmol/kg (injected i.p.) | ↑Axons length ↑Dendrites length ↑spatial memory ↑phosphorylation level of RET | [49] |
| W. somnifera roots methanolic extract | Male 5xFAD mice (1-month-old, weighing 16.5 ± 2.6 g) The mice were divided into 4 groups of 12 in each and were treated with intra-gastric gavage daily for 45 days (P30-75) | 45 days | 200–400 mg/kg/day Barnes circular maze task and Y-maze spontaneous alternation task test | ↑expression of NCX3 in the cortex and hippocampus ↓Aβ1–42 aggregation ↑spatial working memory | [52] |
| Sominone | APP/PS1 doubly transgenic mice (5XFAD mice, Tg6799 line) Rat (SD, embryonic day 18) cortical neurons + 5 μM Aβ(1–42) for 3 days | 5 days | 10 μmol/kg/day, i.p. | ↑axonal density ↑recognition memory | [48] |
| Partially purified W. somnifera extract consisting of 75% withanolides and 20% withanosides | male APP/PS1 mice (middle-aged 9–10 month old) | 30 days | 1 g/kg body weight o.s. | ↑levels of sLRP in plasma ↑expression of LRP and NEP in the liver ↑plasma Aβ42/40 ↓brain Aβ monomer levels | [74] |
| Alcoholic extract of W. somnifera leaves (i-Extract) | Young (12 ± 2 weeks) male Swiss albino strain mice + 3 mg/kg bw scopolamine hydrobromide | 7 days | 200 mg/kg bw i-Extract dissolved in 0.05% DMSO | ↓AChE mRNA level ↓AChE activity ↑ChAT activity ↑ChAT mRNA ↑Arc protein | [80] |
| I-Extract and whitanone | Male Swiss albino strain mice of 12 weeks (25–30 g) + intraperitoneally injected with scopolamine 3 mg/kg BW Glioma C6 (rat) and neuronal IMR32 (human) cell lines + scopolamine (3 mM) was added to the cells for 1 to 2 h | 7 days 24 h | i-Extract (100 mg, 200 mg, 300 mg/kg BW) i-Extract, 0.8 mg/mL and withanone 5 mg/mL | ↑neurite and axon growth ↑MAP-2 ↑GAP-43 protein ↑NF-H ↑PSD-95 ↓apoptosis ↑BDNF ↑GFAP | [79] |
| Methanolic and water extracts of W. somnifera root | Wistar strain male albino rats having body weights 300–350 g + scopolamine (2 mg/Kg body wt) injected intraperitoneally | 30 days | methanolic extract 300 mg/Kg body wt; water extract (300 mg/Kg body wt); donepezil hydrochloride (a standard control) 5 mg/Kg body wt | ↓glutamate levels ↑GDH activity | [142] |
| Withanolide-A | Neuro2a mouse neuroblastoma cell line | 24 h | pre-treatment with 2.5, 5, 10, and 20 μM of withanolide-A and then exposition to 10 mM glutamate for 2 h | ↓apoptosis ↓Intracellular calcium ↓ROS ↓p53 ↓Bax/Bcl-2 ratio | [88] |
| Water extract of leaves of Ashwagandha (ASH-WEX) | C6 and IMR-32 cells | 24 h | Pretreatment with ASH-WEX (0.1%) 0.5 mM–1 mM glutamate | ↓apoptosis ↓GFAP ↓GFAP mRNA ↑HSP70 ↓MMP2 e MMP9 ↑NCAM | [89] |
| Withanone | differentiated Neuro2a cells | 1 h | pre-treated with 5, 10 and 20 μM doses of Withanone and then exposed to 3 mm NMDA | ↓apoptosis ↓Bax/Bcl-2 ratio ↓Intracellular calcium ↓ROS ↓cytochrome c ↑pro caspase-3 ↑pro caspase-9 ↓cleaved caspase-3 ↓MDA | [86] |
| I-Extract (alcoholic extract of W. somnifera leaves) | In vivo: Male Swiss albino strain mice (8 ± 1 weeks) In vitro: pimary hippocampal neurons | 7 days | 200 mg/kg o.s. Scopolamine Hydrobromide 3 mg/kg | ↑KLK8 ↑MAP2 | [81] |
| W. somnifera alcoholic extract (withaferin-A) | Male Wistar rats (1 year old) weighing 400 ± 20 g | 3 weeks | Pre-treatment: 100–200–300 mg/kg bilateral ICV injection of STZ (3 mg/kg body weight in saline, 5 μL/injection) | ↓cognitive deficits ↓AChE activity ↑ChAT expression ↓caspase-3 activity | [143] |
| ANTI-PARKINSON ACTIVITY | |||||
| W. somnifera (roots) methanolic extracts | Caenorhabditis elegans BZ555 and NL5901 strains | 66 mg/mL | ↓α-synuclein aggregation | [113] | |
| Standardized root methanolic extract of W. somnifera (Wse) | Adult wild type (WT) LRRK2 WD40 mutant Drosophila melanogaster (Dm) males. | 0.1, 1 and 10% w/w | ↑lifespan of mutants ↓time to climb ↓mutation-related loss of mitochondrial structural integrity | [97] | |
| Water root extract of W. somnifera (KSM-66 extract) | human neuroblastoma SH-SY5Y cell line + 6-OHDA (3.9–2000 μM) | 24 h | 0.25–10 mg/mL (KSM-66 extract was cytotoxic at concentrations greater than 1 mg/mL) | ↑cell survival ↑thioltransferase activities ↑peroxidase activity ↑peroxiredoxin-1 ↑VGF ↓vimentin ↓protein glutathionylation ↑intracellular ATP levels ↓mitochondrial dysfunction | [98] |
| Ethanolic crude extract of W. somnifera | Male Wistar rats (weighing 150–200 g) + 6-OHDA | 3 weeks | 100–200–300 mg/kg o.s. | ↓TBARS ↑GSH ↑GST ↑GPx ↑SOD activity ↑CAT activity ↓D2 receptor ↑DA, DOPAC and HVA | [99] |
| Ethanolic root extract | Male Swiss albino mice weighing 25 ± 5 g + MB (30 mg/kg b.w., intraperitoneally) and PQ (10 mg/kg b.w., intraperitoneally) | 3–6–9 weeks | 100 mg/kg body weight, orally daily | ↓walking errors ↑Stride length ↓MDA level ↓levels of nitrite ↑level of catalase ↑TH-positive dopaminergic neurons ↑motor coordination ↑dopamine, DOPAC, and HVA levels ↑Bcl-2 protein ↓Bax ↓iNOS and iNOS mRNA ↓GFAP expression | [100,101] |
| Ethanolic root extract 1:10 (w/v) | male Long-Evans hooded rats + received 5 intraperitoneal injections of PQ dissolved in 1 × phosphate-buffered saline (PBS) at 10 mg/kg (One injection occurred every 5 days over 20 days) | 4 months | 2 mg/mL | ↑Pro-BDNF ↑TH ↓4-HNE ↑CARP1 ↑GDNF | [119] |
| Standard root extract of W. somnifera powder | Prepubertal male mice (4 wk old, 25 ± 2 g) + ROT (0.5 and 1.0 mg/kg b.w/d for 7 consecutive days, i.p.) | 4 weeks | 100–200–400 mg/ kg b.w/o.s | in Cerebellum (cb) and Striatum (st): ↓ROS, MDA, ↓hydroperoxides ↓Nitric oxide levels ↑reduced glutathione ↑total thiol content ↑SOD, CAT, GPx ↑GSH ↓AChE activity ↑Stride length | [95] |
| W. somnifera root extract standard powder, (withanolides, 2.57%; withaferin A, 2.38%) | Drosophila melanogaster flies (8–10 d) + ROT (IC50: 500 μM, 7 d) | 5 days | 0.005, 0.01, 0.05% | ↓Incidence of mortality ↓motor dysfunctions ↓ROS ↓LPO ↓HP (hydroperoxides) ↑NPT (non-protein thiols) ↑GSH ↑SOD ↓AChE activity ↑SDH activity ↑MTT activity ↑dopamine levels ↑complex I–III and complex II–III enzymes | [96] |
| W. somnifera root extract Ashwagandha leaf extract (A-Extract) | Male Albino mice weighed between 30 and 35 g + MPTP 20 mg/kg body weight/day for 4 days i.p. | 7–28 days | 100 mg/kg body weight | Midbrain and corpus striatum: ↑DA ↑DOPAC ↑HVA ↑GSH ↑GPx ↓TBARS ↓MDA activity ↑motor function ↓SOD activity ↓CAT activity | [103,104,105,106] |
| Withanolide A (root extract) | C. elegans strain (NL5901) | 72 h | 5 μM | ↓α-synuclein levels | [114] |
| ANTI-HUNTINGTON ACTIVITY | |||||
| W. somnifera root extract | Male Wistar rats (weighing between 250 and 300 g) + 3-NP (10 mg/kg, i.p.) for 14 days | 14 days | 100–200 mg/Kg o.s | Striatum and cortex: ↑motor activity ↑muscle grip strength ↓MDA ↓nitrite ↓SOD ↑catalase enzyme activity ↓LDH activity ↑mitochondrial enzyme complexes (I, II, and III) ↑memory performance (Morris water maze test and elevated plus maze paradigms) In striatum cortex and hippocampus region: ↑glutathione ↓AChE activity | [124,125] |
| Withaferin A | HD150Q cells that inducibly expresses truncated N-terminal mutant huntingtin containing 150Q fused with GFP (tNhtt-150Q-GFP) Mouse model of Huntington’s disease (strain B6CBA-Tg (HDexon1) 62Gpb/3 J) (also referred as R6/2 line) | 48 h 12 weeks | 0.1–0.5 µM 1 mg/kg body weight (15 doses were administered via intra-peritoneal route every alternate day starting at their age of 56th day until the 84th day) | ↓tNhtt-150Q-GFP aggregation ↓soluble level of tNhtt-150Q-GFP protein ↑HSP70 ↑body weight ↑average lifespan ↓motor deficits partial restoration of striatal atrophy ↓number of nuclear aggregates in the striatal, cortical and hippocampal areas ↓insoluble mutant huntingtin ↓level of soluble transgenic mutant huntingtin ↓number of activated microglia and Iba1 | [126] |
| W. somnifera ethanolic extract withanolide A | adult male Sprague Dawly rats weighing (200–240 g) + Kainic acid was dissolved in 0.9% NaCl. 0.5 micrograms in 0.5 μL of kainic acid | 25 mg/kg body weight 100 mg/kg body weight | ↓abnormal movement or posture | [127] | |
| ANTI-ALS ACTIVITY | |||||
| W. somnifera root (11:1) extract | Transgenic mice carrying G93A sod1 mutant | 50 days | 5 mg of root powder (by gavage) as a suspension in 200 μL sterile buffered saline every alternate day beginning at 50 days of age and continued till the mice were capable to ingest. | ↑survival ↑motor performance ↓misfolded SOD1 species ↑Hsp-70, Hsp-27 levels ↑motor neurons in the ventral horn of spinal cords ↑motor axons in the ventral roots ↓TLR2 and CD68 levels ↓COX-2 ↓phosphorylation of p65 NF-κB ↓p62 levels | [132] |
| Withaferin A | SOD1 (G93A) or SOD1 (G37R) transgenic mice | 4 mg/kg of body weight i.p. (twice a week) | ↑survival ↓the loss of motor function ↓the loss of body weight ↓levels of misfolded SOD1 ↑Hsp25 and Hsp70 ↓Iba-1 and Toll-like receptor 2 expression ↓astrogliosis and microgliosis. | [131] | |
| W. somnifera root (11:1 extract from the plant root) | hTDP-43A315T mice (transgenic mice expressing a genomic fragment encoding human TDP-43A315T mutant) | 8–16 weeks | 5 mg root powder (by gavage) as a suspension in 200 μL sterile buffered saline every alternate day | ↑motor and cognitive performance ↑innervated neuromuscular junctions (NMJs) ↓astrogliosis and microgliosis ↓phophorylated p65 NF-κB ↓peripherin levels | [136] |
| Withaferin A | cultures of primary cortical neurons and microglia from transgenic mice overexpressing TDP-43WT or TDP-43 mutants TDP-43WT; GFAP-luc double transgenic mice | 24 h 10 weeks | 1 μM 3 mg/kg body weight twice a week i.p. | ↓cell death ↓GFAP-luc expression in the spinal ↓p65 levels ↑motor performance ↓peripherin aggregates ↓activated microglia ↓number of partially denervated neuromuscular junctions (NMJs) | [130,135] |
| Checklist for Assessment of Risks of Bias in Pre-Clinical Studies |
|---|
| Are the hypothesis and objective of the study clearly described? |
| Are the main outcomes to be measured clearly described? |
| Are the main findings of the study clearly described? |
| Are the samples size calculations reported? |
| Are the animals randomly housed during the experiment? |
| Are the investigators blinded from knowledge which treatment used? |
| Are the outcome assessors blinded? |
| Is the dose/route of administration of the Withania somnifera (L.) Dunal properly reported? |
| Is the dose/route of administration of the drug in co-treatment properly reported? |
| Is the frequency of treatments adequately described? |
| Checklist for Assessment of Risks of Bias in Clinical Studies |
|---|
| Was the sample frame appropriate to address the target population? |
| Were study participants sampled in an appropriate way? |
| Was the sample size adequate? |
| Were the study subjects and the setting described in detail? |
| Was the data analysis conducted with sufficient coverage of the identified sample? |
| Were valid methods used for the identification of the condition? |
| Was the condition measured in a standard, reliable way for all participants? |
| Was there an appropriate statistical analysis? |
| Was the response rate adequate, and if not, was the low response rate managed appropriately? |
Disclaimer/Publisher’s Note: The statements, opinions and data contained in all publications are solely those of the individual author(s) and contributor(s) and not of MDPI and/or the editor(s). MDPI and/or the editor(s) disclaim responsibility for any injury to people or property resulting from any ideas, methods, instructions or products referred to in the content. |
© 2024 by the authors. Licensee MDPI, Basel, Switzerland. This article is an open access article distributed under the terms and conditions of the Creative Commons Attribution (CC BY) license (https://creativecommons.org/licenses/by/4.0/).
Share and Cite
Lerose, V.; Ponticelli, M.; Benedetto, N.; Carlucci, V.; Lela, L.; Tzvetkov, N.T.; Milella, L. Withania somnifera (L.) Dunal, a Potential Source of Phytochemicals for Treating Neurodegenerative Diseases: A Systematic Review. Plants 2024, 13, 771. https://doi.org/10.3390/plants13060771
Lerose V, Ponticelli M, Benedetto N, Carlucci V, Lela L, Tzvetkov NT, Milella L. Withania somnifera (L.) Dunal, a Potential Source of Phytochemicals for Treating Neurodegenerative Diseases: A Systematic Review. Plants. 2024; 13(6):771. https://doi.org/10.3390/plants13060771
Chicago/Turabian StyleLerose, Valentina, Maria Ponticelli, Nadia Benedetto, Vittorio Carlucci, Ludovica Lela, Nikolay T. Tzvetkov, and Luigi Milella. 2024. "Withania somnifera (L.) Dunal, a Potential Source of Phytochemicals for Treating Neurodegenerative Diseases: A Systematic Review" Plants 13, no. 6: 771. https://doi.org/10.3390/plants13060771
APA StyleLerose, V., Ponticelli, M., Benedetto, N., Carlucci, V., Lela, L., Tzvetkov, N. T., & Milella, L. (2024). Withania somnifera (L.) Dunal, a Potential Source of Phytochemicals for Treating Neurodegenerative Diseases: A Systematic Review. Plants, 13(6), 771. https://doi.org/10.3390/plants13060771












