Synergistic and Antagonistic Effects of Mixed-Leaf Litter Decomposition on Nutrient Cycling
Abstract
1. Introduction
- A larger trait divergence of the litter quality of the species in a mixture results in a faster mass loss of the mixture than expected based on the single species;
- Mixed leaf litter results in a more balanced and sustained nutrient release compared to single-species leaf biomass, due to complementary decomposition rates and nutrient profiles.
2. Results
2.1. Observed and Predicted Decay Rate Constants
2.2. Mass Lossover Time
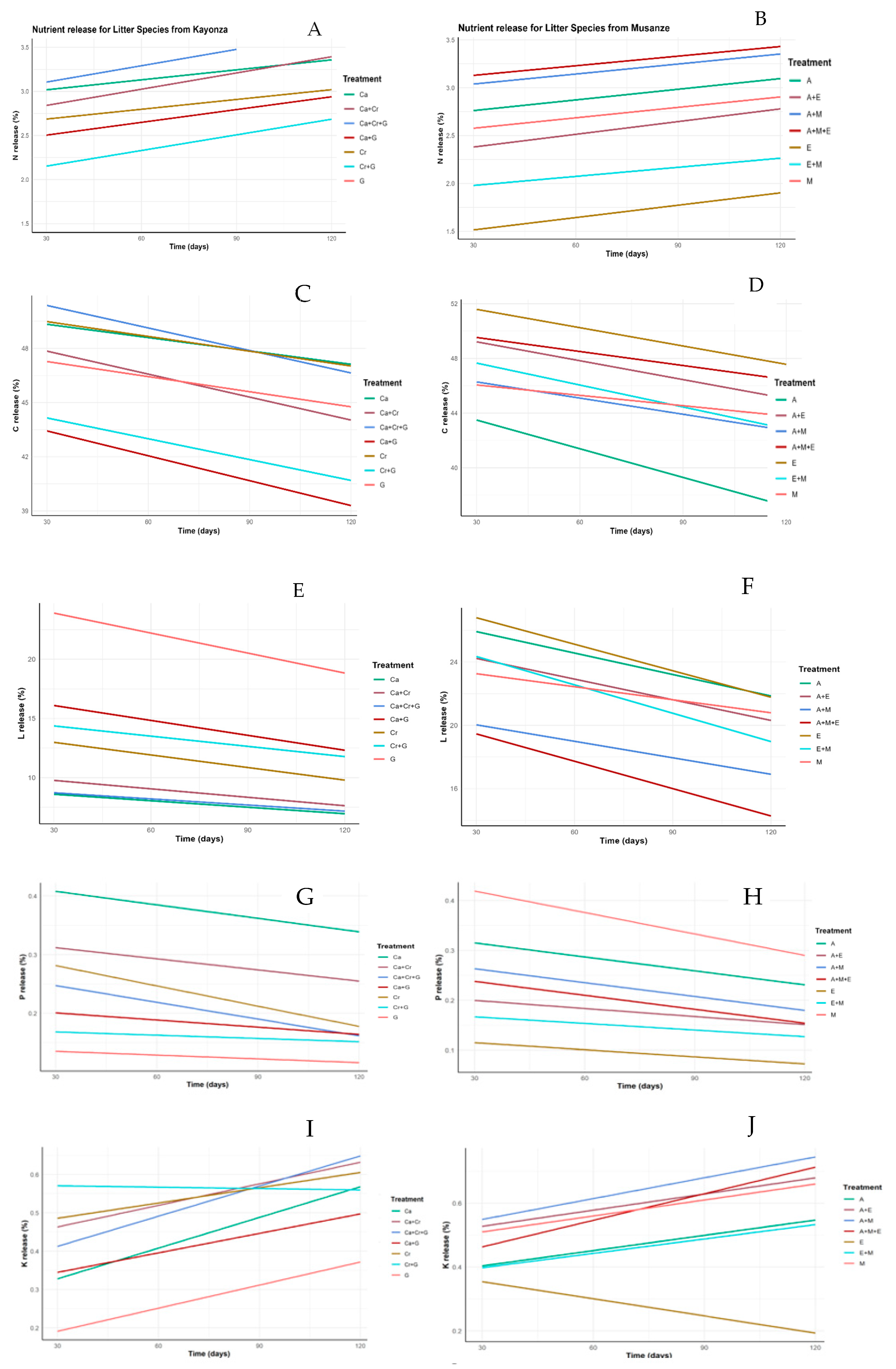
2.3. Nutrient Release
3. Discussion
3.1. Mass Loss
3.2. Nutrients
4. Materials and Methods
4.1. Study Site
4.2. Experimental Design
4.3. Variables Measured
4.3.1. Mass Loss and Decomposition Rate Constant k
- The observed mass loss of leaf samples was determined by comparing the initial air-dry mass with the remaining air-dry mass after a specified period. The percentage of both single-species and mixed-species litter mass loss was calculated as below:
- 2.
- To assess the decomposition rate and amounts of nutrients released, the species litter remaining in each litterbag retrieved on each sampling occasion was weighed separately. The percentage dry weight of decomposed leaf litter at time t, Rt (%), was calculated as follows:
- 3.
- To describe the decomposition pattern and calculate decomposition rate constants (k), data for each species in each treatment were modeled using a single exponential model [36]:
- 4.
- To determine whether interactions in litter mixtures occurred, the predicted mass loss for a litter mixture is calculated based on the individual mass loss rates of the species involved, adjusted for their proportional contributions to the mixture. The calculation assumes that there are no interactions between the litter species in the mixture, meaning that each species decomposes independently of the others. This was calculated as follows according to [37], where PLML stands for predicted litter mass loss:
- 5.
- Observed mass loss for the mixture: The actual mass loss observed in the mixed-species litterbag is measured directly from the experiment.
- 6.
- Comparison of predicted vs. observed mass loss: The analysis compares the predicted mass loss (PLML) to the observed mass loss of the litter mixture to determine if there is a difference.
4.3.2. Chemical Analysis of Litter Samples
4.3.3. Statistical Analysis
5. Conclusions
Author Contributions
Funding
Data Availability Statement
Acknowledgments
Conflicts of Interest
Appendix A
| Litter Species from Kayonza | Litter Species from Musanze | ||||
|---|---|---|---|---|---|
| Predictors | Estimates (CI) | p | Predictors | Estimates (CI) | p |
| (Intercept) | 3.58 (3.48–3.67) | <0.001 | (Intercept) | 3.68(3.56–3.79) | <0.001 |
| Treatment [Ca + Cr] | −0.39(−0.52–−0.26) | <0.001 | Treatment [A + E] | −0.68−0.84–−0.51 | <0.001 |
| Treatment [Ca + Cr + G] | −0.21(−0.34–−0.07) | 0.003 | Treatment [A + M] | −0.31(−0.47–−0.14) | <0.001 |
| Treatment [Ca + G] | −0.53(−0.67–−0.40) | <0.001 | Treatment [A + M + E] | −0.49(−0.66–−0.33) | <0.001 |
| Treatment [Cr] | −0.81(−0.94–−0.67) | <0.001 | Treatment [E] | −1.03(−1.20–−0.87) | <0.001 |
| Treatment [Cr + G] | −0.76(−0.89–−0.62) | <0.001 | Treatment [E + M] | −0.85(−1.01–−0.68) | <0.001 |
| Treatment [G] | −1.13(−1.27–−1.00) | <0.001 | Treatment [M] | 0.08(−0.08–0.25) | 0.321 |
| Time | 0.01(0.01–0.01) | <0.001 | Time | 0.01(0.00–0.01) | <0.001 |
| Treatment [Ca + Cr] × Time | 0.00(0.00–0.00) | 0.002 | Treatment [A + E] × Time | 0.01(0.00–0.01) | <0.001 |
| Treatment [Ca + Cr + G] × Time | 0.00(0.00–0.00) | 0.043 | Treatment [A + M] × Time | 0.00 (0.00–0.00) | 0.009 |
| Treatment [Ca + G] × Time | 0.00(0.00–0.00) | 0.003 | Treatment [A + M + E] × Time | 0.00 (0.00–0.01) | <0.001 |
| Treatment [Cr] × Time | 0.01 (0.00–0.01) | <0.001 | Treatment [E] × Time | 0.01 (0.01– 0.01) | <0.001 |
| Treatment [Cr + G] × Time | 0.00 (0.00–0.01) | <0.001 | Treatment [E + M] × Time | 0.01(0.00–0.01) | <0.001 |
| Treatment [G] × Time | 0.01 (0.00–0.01) | <0.001 | Treatment [M] × Time | 0.00 (−0.00–0.00) | 0.978 |
| Random Effects | |||||
| σ2 | 0.01 | σ2 | 0.01 | ||
| τ00 Block | 0.00 | τ00 Block | 0.00 | ||
| ICC | 0.00 | ICC | - | ||
| N Block | 5 | N Block | 5 | ||
| Observations | 140 | Observations | 140 | ||
| Marginal R2/Conditional R2 | 0.959/0.959 | Marginal R2/Conditional R2 | 0.925/NA | ||
References
- Porre, R.J.; Van der Werf, W.; De Deyn, G.B.; Stomph, T.J.; Hoffland, E. Is litter decomposition enhanced in species mixtures? A meta-analysis. Soil Biol. Biochem. 2020, 145, 107791. [Google Scholar] [CrossRef]
- Bankole, O.A.; Fawibe, O.O.; Mwangi, N.P.; Gichua, K.M. Litter diversity improves litterfall and nutrient sustainability in an agroforestry system in a semi-arid ecosystem in Juja, Kenya. J. Res. For. Wildl. Environ. 2023, 15, 235–244. [Google Scholar]
- Lin, H.; Li, Y.; Bruelheide, H.; Zhang, S.; Ren, H.; Zhang, N.; Ma, K. What drives leaf litter decomposition and the decomposer community in subtropical forests—The richness of the aboveground tree community or that of the leaf litter? Soil Biol. Biochem. 2021, 160, 108314. [Google Scholar] [CrossRef]
- Giweta, M. Role of litter production and its decomposition, and factors affecting the processes in a tropical forest ecosystem: A review. J. Ecol. Environ. 2020, 44, 11. [Google Scholar] [CrossRef]
- Berg, B.; McClaugherty, C. Decomposition as a Process—Some Main Features. In Plant Litter: Decomposition, Humus Formation, Carbon Sequestration; Springer: Berlin/Heidelberg, Germany, 2020; pp. 13–43. [Google Scholar] [CrossRef]
- Yin, M.; Liu, L.; Wu, Y.; Sheng, W.; Ma, X.; Du, N.; Guo, W. Effects of litter species and genetic diversity on plant litter decomposition in coastal wetland. Ecol. Indic. 2022, 144, 109439. [Google Scholar] [CrossRef]
- He, W.; Lei, L.; Ma, Z.; Teng, M.; Wang, P.; Yan, Z.; Huang, Z.; Zeng, L.; Xiao, W. Non additive effects of decomposing mixed foliar litter on the release of several metallic elements in a Pinus massoniana Lamb. Forest. Ann. For. Sci. 2020, 77, 46. [Google Scholar] [CrossRef]
- Li, Q.; Zhang, M.; Geng, Q.; Jin, C.; Zhu, J.; Ruan, H.; Xu, X. The roles of initial litter traits in regulating litter decomposition: A “common plot” experiment in a subtropical evergreen broadleaf forest. Plant Soil 2020, 452, 207–216. [Google Scholar] [CrossRef]
- Pérez Harguindeguy, N.; Blundo, C.M.; Gurvich, D.E.; Díaz, S.; Cuevas, E. More than the sum of its parts? Assessing litter heterogeneity effects on the decomposition of litter mixtures through leaf chemistry. Plant Soil 2008, 303, 151–159. [Google Scholar] [CrossRef]
- Chen, Y.; Ma, S.; Jiang, H.; Yangzom, D.; Cheng, G.; Lu, X. Decomposition time, chemical traits, and climatic factors determine litter-mixing effects on decomposition in an alpine steppe ecosystem in Northern Tibet. Plant Soil 2021, 459, 23–35. [Google Scholar] [CrossRef]
- Handa, I.T.; Aerts, R.; Berendse, F.; Berg, M.P.; Bruder, A.; Butenschoen, O.; Chauvet, E.; Gessner, M.O.; Jabiol, J.; Makkonen, M.; et al. Consequences of biodiversity loss for litter decomposition across biomes. Nature 2014, 509, 218–221. [Google Scholar] [CrossRef]
- Zhang, L.; Liu, J.; Yin, R.; Xu, Z.; You, C.; Li, H.; Wang, L.; Liu, S.; Xu, H.; Xu, L.; et al. Soil fauna accelerated litter C and N release by improving litter quality across an elevational gradient. Ecol. Process. 2023, 12, 47. [Google Scholar] [CrossRef]
- Rachid, C.T.; Balieiro, F.C.; Peixoto, R.S.; Fonseca, E.S.; Jesus, H.E.; Novotny, E.H.; Chaer, G.M.; Santos, F.M.; Tiedje, J.M.; Rosado, A.S. Mycobiome structure does not affect field litter decomposition in Eucalyptus and Acacia plantations. Front. Microbiol. 2023, 14, 1106422. [Google Scholar] [CrossRef]
- Rwibasira, P. Soil Quality and Microbial Responses to Tree Species and Land Terracing in Rwanda. Ph.D. Thesis, University of Liège, Liège, Belgium, 2023. [Google Scholar]
- International Union for Conservation of Nature (IUCN). A Thousand Hills Turn Green: How Rwanda Became a Leader in Forest Landscape Restoration. The International Union for Conservation of Nature. 2020. Available online: https://iucn.maps.arcgis.com/apps/MapJournal/index.html?appid=0c40be7f83c64bb9b7c8f3372358c6f9 (accessed on 4 June 2024).
- Gartner, T.B.; Cardon, Z.G. Decomposition dynamics in mixed-species leaf litter. Oikos 2004, 104, 230–246. [Google Scholar] [CrossRef]
- Zhang, L.; Li, J.; Wang, Z.; Zhang, D.; Liu, H.; Wang, J.; Wu, F.; Wang, X.; Zhou, X. Litter mixing promoted decomposition and altered microbial community in common bean root litter. BMC Microbiol. 2023, 23, 148. [Google Scholar] [CrossRef]
- Liu, J.; Liu, X.; Song, Q.; Compson, Z.G.; LeRoy, C.J.; Luan, F.; Wang, H.; Hu, Y.; Yang, Q. Synergistic effects: A common theme in mixed-species litter decomposition. New Phytol. 2020, 227, 757–765. [Google Scholar] [CrossRef]
- Gnankambary, Z.; Bayala, J.; Malmer, A.; Nyberg, G.; Hien, V. Decomposition and nutrient release from mixed plant litters of contrasting quality in an agroforestry parkland in the south-Sudanese zone of West Africa. Nutr. Cycl. Agroecosyst. 2008, 82, 1–13. [Google Scholar] [CrossRef]
- Xiang, W.; Bauhus, J. Does the addition of litter from N-fixing Acacia mearnsii accelerate leaf decomposition of Eucalyptus globulus? Aust. J. Bot. 2007, 55, 576–583. [Google Scholar] [CrossRef]
- Berhe, A.A.; Torn, M.S. Erosional redistribution of topsoil controls soil nitrogen dynamics. Biogeochemistry 2017, 132, 37–54. [Google Scholar] [CrossRef]
- Yang, K.; Zhu, J.; Zhang, W.; Zhang, Q.; Lu, D.; Zhang, Y.; Zheng, X.; Xu, S.; Wang, G.G. Litter decomposition and nutrient release from monospecific and mixed litters: Comparisons of litter quality, fauna, and decomposition site effects. J. Ecol. 2022, 110, 1673–1686. [Google Scholar] [CrossRef]
- Hättenschwiler, S.; Tiunov, A.V.; Scheu, S. Biodiversity and litter decomposition in terrestrial ecosystems. Annu. Rev. Ecol. Evol. Syst. 2005, 36, 191–218. [Google Scholar] [CrossRef]
- Cornwell, W.K.; Cornelissen, J.H.; Amatangelo, K.; Dorrepaal, E.; Eviner, V.T.; Godoy, O.; Hobbie, S.E.; Hoorens, B.; Kurokawa, H.; Pérez-Harguindeguy, N.; et al. Plant species traits are the predominant control on litter decomposition rates within biomes worldwide. Ecol. Lett. 2008, 11, 1065–1071. [Google Scholar] [CrossRef]
- Cotrufo, M.F.; Wallenstein, M.D.; Boot, C.M.; Denef, K.; Paul, E. The Microbial Efficiency-Matrix Stabilization (MEMS) framework integrates plant litter decomposition with soil organic matter stabilization: Do labile plant inputs form stable soil organic matter? Glob. Chang. Biol. 2013, 19, 988–995. [Google Scholar] [CrossRef]
- Kögel-Knabner, I. The macromolecular organic composition of plant and microbial residues as inputs to soil organic matter. Soil Biol. Biochem. 2002, 34, 139–162. [Google Scholar] [CrossRef]
- Wang, L.; Chen, Y.; Zhou, Y.; Xu, Z.; Tan, B.; You, C.; Zhang, L.; Li, H.; Zheng, H.; Guo, L.; et al. Environmental conditions and litter nutrients are key determinants of soluble C, N, and P release during litter mixture decomposition. Soil Tillage Res. 2021, 209, 104928. [Google Scholar] [CrossRef]
- Zhao, L.; Hu, Y.L.; Lin, G.G.; Gao, Y.C.; Fang, Y.T.; Zeng, D.H. Mixing effects of understory plant litter on decomposition and nutrient release of tree litter in two plantations in Northeast China. PLoS ONE 2013, 8, e76334. [Google Scholar] [CrossRef]
- Jin, X.; Wang, Z.; Wu, F.; Li, X.; Zhou, X. Litter mixing alters microbial decomposer community to accelerate tomato root litter decomposition. Microbiol. Spectr. 2022, 10, e00186-22. [Google Scholar] [CrossRef]
- Ngaboyisonga, C.; Gafishi, M.K.; Nyirigira, A.; Ndayishimiye, T.; Sallah, P.Y.K. Performance of maize germplasm introductions in the mid-altitude zone of Rwanda. In Proceedings of the Sustainable Agriculture Productivity for Improved Security and Livelihoods, Proceedings of the National Conference on Agricultural Outputs, Kigali, ISAR, Kigali, Rwanda, 26–27 March 2007; pp. 26–27. [Google Scholar]
- Ndayambaje, J.D.; Mugiraneza, T.; Mohren, G.M.J. Woody biomass on farms and in the landscapes of Rwanda. Agrofor. Syst. 2014, 88, 101–124. [Google Scholar] [CrossRef]
- Nsabimana, A.; Van Staden, J. Assessment of genetic diversity of Highland bananas from the National Banana Germplasm Collection at Rubona, Rwanda using RAPD markers. Sci. Hortic. 2007, 113, 293–299. [Google Scholar] [CrossRef]
- Twahirwa, A.; Oludhe, C.; Omondi, P.; Rwanyiziri, G.; Sebaziga Ndakize, J. Assessing variability and trends of rainfall and temperature for the district of Musanze in Rwanda. Adv. Meteorol. 2023, 2023, 7177776. [Google Scholar] [CrossRef]
- Sebaziga, J.N.; Twahirwa, A.; Kazora, J.; Rusanganwa, F.; Mbati, M.M.; Higiro, S.; Guhirwa, S.; Nyandwi, J.C.; Niyitegeka, J.M.V. Spatial and Temporal Analysis of Rainfall Variability and Trends for Improved Climate Risk Management in Kayonza District, Eastern Rwanda. Adv. Meteorol. 2023, 2023, 5372701. [Google Scholar] [CrossRef]
- Karberg, N.J.; Scott, N.A.; Giardina, C.P. Methods for estimating litter decomposition. In Field Measurements for Forest Carbon Monitoring: A Landscape-Scale Approach; Springer: Berlin/Heidelberg, Germany, 2008; pp. 103–111. [Google Scholar] [CrossRef]
- Olson, J.S. Energy storage and the balance of producers and decomposers in ecological systems. Ecology 1963, 44, 322–331. [Google Scholar] [CrossRef]
- Hoorens, B.; Aerts, R.; Stroetenga, M. Does initial litter chemistry explain litter mixture effects on decomposition? Oecologia 2003, 137, 578–586. [Google Scholar] [CrossRef]
- Sahrawat, K.L.; Kumar, G.R.; Murthy, K.V.S. Sulfuric acid–selenium digestion for multi-element analysis in a single plant digest. Commun. Soil Sci. Plant Anal. 2002, 33, 3757–3765. [Google Scholar] [CrossRef]
- Ciavatta, C.; Govi, M.; Antisari, L.V.; Sequi, P. Determination of organic carbon in aqueous extracts of soils and fertilizers. Commun. Soil Sci. Plant Anal. 1991, 22, 795–807. [Google Scholar] [CrossRef]
- Lu, F.; Wang, C.; Chen, M.; Yue, F.; Ralph, J. A facile spectroscopic method for measuring lignin content in lignocellulosic biomass. Green Chem. 2021, 23, 5106–5112. [Google Scholar] [CrossRef]
- Bates, D.; Mächler, M.; Bolker, B.; Walker, S. Fitting Linear Mixed-Effects Models Using lme4. J. Stat. Softw. 2015, 67, 1–48. [Google Scholar] [CrossRef]








| Site | Treatment | Observed | M.R. (%) | Predicted | M.R. (%) | ||
|---|---|---|---|---|---|---|---|
| k | R2 | K | R2 | ||||
| Kayonza | Ca | 0.959 | 0.917 | 36.42 ± 1.28 | 0.864 | 0.867 | 40.06 ± 0.70 |
| Kayonza | Cr | 0.613 | 0.988 | 55.51 ± 0.25 | 0.552 | 0.938 | 61.06 ± 1.23 |
| Kayonza | G | 0.474 | 0.913 | 65.04 ± 1.00 | 0.427 | 0.863 | 71.54 ± 1.10 |
| Kayonza | Ca + Cr | 0.775 | 0.833 | 46.32 ± 0.94 | 0.697 | 0.783 | 50.96 ± 1.37 |
| Kayonza | Ca + G | 0.662 | 0.851 | 54.26 ± 0.54 | 0.596 | 0.801 | 59.69 ± 1.43 |
| Kayonza | Cr + G | 0.581 | 0.925 | 58.87 ± 0.70 | 0.523 | 0.875 | 64.76 ± 0.76 |
| Kayonza | Ca + Cr + G | 0.872 | 0.859 | 40.46 ± 0.47 | 0.784 | 0.809 | 44.51 ± 0.89 |
| Musanze | A | 0.767 | 0.878 | 48.24 ± 1.15 | 0.69 | 0.828 | 53.06 ± 0.85 |
| Musanze | M | 0.791 | 0.826 | 45.2 ± 0.41 | 0.712 | 0.776 | 49.71 ± 0.42 |
| Musanze | E | 0.566 | 0.981 | 58.41 ± 1.52 | 0.509 | 0.931 | 64.25 ± 1.93 |
| Musanze | A + M | 1.007 | 0.998 | 34.23 ± 0.55 | 0.906 | 0.948 | 37.65 ± 0.36 |
| Musanze | A + E | 0.699 | 0.997 | 50.63 ± 0.42 | 0.629 | 0.947 | 55.69 ± 0.38 |
| Musanze | E + M | 0.638 | 0.941 | 53.94 ± 1.13 | 0.574 | 0.891 | 59.33 ± 0.65 |
| Musanze | A + M + E | 1.044 | 0.857 | 32.03 ± 1.46 | 0.939 | 0.807 | 35.24 ± 1.01 |
| Treatment | Mean Mass Loss (%) |
|---|---|
| A. acuminata + E. globulus (A + E) | 49.37 ± 4.11 |
| A. acuminata + M. lutea (A + M) | 65.77 ± 3.35 |
| E. globulus + M. lutea (E + M) | 46.06 ± 4.33 |
| A. acuminata + M. lutea + E. globulus (A + M + E) | 60.78 ± 2.29 |
| C. calothyrsus + G. robusta (Ca + G) | 45.74 ± 3.39 |
| C. calothyrsus + C. megalocarpus (Ca + Cr) | 53.68 ± 4.02 |
| C. megalocarpus + G. robusta (Cr + G) | 41.13 ± 3.49 |
| C. calothyrsus + C. megalocarpus + G. robusta (Ca + Cr + G) | 59.54 ± 3.99 |
Disclaimer/Publisher’s Note: The statements, opinions and data contained in all publications are solely those of the individual author(s) and contributor(s) and not of MDPI and/or the editor(s). MDPI and/or the editor(s) disclaim responsibility for any injury to people or property resulting from any ideas, methods, instructions or products referred to in the content. |
© 2024 by the authors. Licensee MDPI, Basel, Switzerland. This article is an open access article distributed under the terms and conditions of the Creative Commons Attribution (CC BY) license (https://creativecommons.org/licenses/by/4.0/).
Share and Cite
Mukamparirwa, V.; Maliondo, S.M.S.; Mugunga, C.P. Synergistic and Antagonistic Effects of Mixed-Leaf Litter Decomposition on Nutrient Cycling. Plants 2024, 13, 3204. https://doi.org/10.3390/plants13223204
Mukamparirwa V, Maliondo SMS, Mugunga CP. Synergistic and Antagonistic Effects of Mixed-Leaf Litter Decomposition on Nutrient Cycling. Plants. 2024; 13(22):3204. https://doi.org/10.3390/plants13223204
Chicago/Turabian StyleMukamparirwa, Vestine, Salim M. S. Maliondo, and Canisius Patrick Mugunga. 2024. "Synergistic and Antagonistic Effects of Mixed-Leaf Litter Decomposition on Nutrient Cycling" Plants 13, no. 22: 3204. https://doi.org/10.3390/plants13223204
APA StyleMukamparirwa, V., Maliondo, S. M. S., & Mugunga, C. P. (2024). Synergistic and Antagonistic Effects of Mixed-Leaf Litter Decomposition on Nutrient Cycling. Plants, 13(22), 3204. https://doi.org/10.3390/plants13223204

