Altitude-Dependent Morphophysiological, Anatomical, and Metabolomic Adaptations in Rhodiola linearifolia Boriss.
Abstract
1. Introduction
2. Results
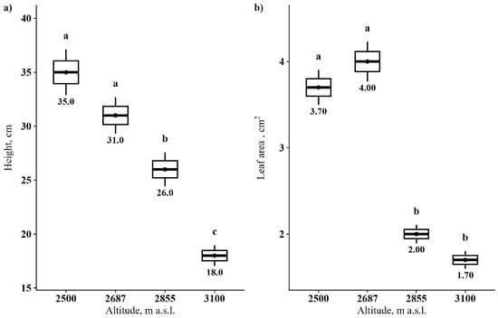
2.1. Morphometric Parameters
2.2. Anatomical Parameters
2.3. Metabolome Alterations
3. Discussion
4. Materials and Methods
4.1. Plant Materials
4.2. Anatomical and Morphological Structure Analysis
4.3. Photosynthetic Pigment Content Determination
4.4. Metabolomic Analysis
4.5. Statistical Analysis
5. Conclusions
Supplementary Materials
Author Contributions
Funding
Data Availability Statement
Conflicts of Interest
References
- Devadoss, J.; Falco, N.; Dafflon, B.; Wu, Y.; Franklin, M.; Hermes, A.; Hinckley, E.-L.S.; Wainwright, H. Remote Sensing-Informed Zonation for Understanding Snow, Plant and Soil Moisture Dynamics within a Mountain Ecosystem. Remote Sens. 2020, 12, 2733. [Google Scholar] [CrossRef]
- Gao, M.; Wang, X.; Meng, F.; Liu, Q.; Li, X.; Zhang, Y.; Piao, S. Three-Dimensional Change in Temperature Sensitivity of Northern Vegetation Phenology. Glob. Chang. Biol. 2020, 26, 5189–5201. [Google Scholar] [CrossRef]
- Rodríguez-Hernández, D. Secondary Metabolites as a Survival Strategy in Plants of High Mountain Habitats. Boletín Latinoam. Y Del Caribe Plantas Med. Y Aromática 2019, 18, 444–458. [Google Scholar] [CrossRef]
- Li, Y.; Kong, D.; Fu, Y.; Sussman, M.R.; Wu, H. The Effect of Developmental and Environmental Factors on Secondary Metabolites in Medicinal Plants. Plant Physiol. Biochem. 2020, 148, 80–89. [Google Scholar] [CrossRef]
- Terletskaya, N.V.; Korbozova, N.K.; Kudrina, N.O.; Kobylina, T.N.; Kurmanbayeva, M.S.; Meduntseva, N.D.; Tolstikova, T.G. The Influence of Abiotic Stress Factors on the Morphophysiological and Phytochemical Aspects of the Acclimation of the Plant Rhodiola semenowii Boriss. Plants 2021, 10, 1196. [Google Scholar] [CrossRef]
- Terletskaya, N.V.; Seitimova, G.A.; Kudrina, N.O.; Meduntseva, N.D.; Ashimuly, K. The Reactions of Photosynthetic Capacity and Plant Metabolites of Sedum hybridum L. in Response to Mild and Moderate Abiotic Stresses. Plants 2022, 11, 828. [Google Scholar] [CrossRef]
- Terletskaya, N.V.; Shadenova, E.A.; Litvinenko, Y.A.; Ashimuly, K.; Erbay, M.; Mamirova, A.; Nazarova, I.; Meduntseva, N.D.; Kudrina, N.O.; Korbozova, N.K.; et al. Influence of Cold Stress on Physiological and Phytochemical Characteristics and Secondary Metabolite Accumulation in Microclones of Juglans regia L. Int. J. Mol. Sci. 2024, 25, 4991. [Google Scholar] [CrossRef] [PubMed]
- Rahman, I.U.; Afzal, A.; Iqbal, Z.; Hart, R.; Abd_Allah, E.F.; Alqarawi, A.A.; Alsubeie, M.S.; Calixto, E.S.; Ijaz, F.; Ali, N.; et al. Response of Plant Physiological Attributes to Altitudinal Gradient: Plant Adaptation to Temperature Variation in the Himalayan Region. Sci. Total Environ. 2020, 706, 135714. [Google Scholar] [CrossRef]
- Pan, L.; Yang, N.; Sui, Y.; Li, Y.; Zhao, W.; Zhang, L.; Mu, L.; Tang, Z. Altitudinal Variation on Metabolites, Elements, and Antioxidant Activities of Medicinal Plant Asarum. Metabolites 2023, 13, 1193. [Google Scholar] [CrossRef]
- Veselova, L.K.; Geldiyeva, G.V.; Medeu, A.R. Landscapes, Physical-Geographical Zoning; Gylym: Almaty, Kazakhstan, 2010. [Google Scholar]
- Ivaschenko, A.A. Flowering Plants of the Southeast of Kazakhstan. Field Guide to the Most Common Species; Association for the Conservation of Biodiversity of Kazakhstan: Almaty, Kazakhstan, 2008. [Google Scholar]
- Saratikov, A.S.; Krasnov, E.A. Rhodiola Rosea (Golden Root); Tomsk University Publishing House: Tomsk, Russia, 2004. [Google Scholar]
- Chaldanbaeva, A.K. Biological-Pharmacognostic and Pharmacological Properties of Rhodiola linearifolia of Kyrgyzstan. In Proceedings of the 10th International Congress of Phytopharm 2006 “Current Issues of Creating New Medicinal Products of Natural origin”, St. Petersburg, Russia, 2006; pp. 364–370. [Google Scholar]
- Peters, K.; Worrich, A.; Weinhold, A.; Alka, O.; Balcke, G.; Birkemeyer, C.; Bruelheide, H.; Calf, O.W.; Dietz, S.; Dührkop, K.; et al. Current Challenges in Plant Eco-Metabolomics. Int. J. Mol. Sci. 2018, 19, 1385. [Google Scholar] [CrossRef]
- Kumari, A.; Parida, A.K. Metabolomics and Network Analysis Reveal the Potential Metabolites and Biological Pathways Involved in Salinity Tolerance of the Halophyte Salvadora persica. Environ. Exp. Bot. 2018, 148, 85–99. [Google Scholar] [CrossRef]
- Shih, M.-L.; Morgan, J.A. Metabolic Flux Analysis of Secondary Metabolism in Plants. Metab. Eng. Commun. 2020, 10, e00123. [Google Scholar] [CrossRef]
- Körner, C. The Use of ‘Altitude’ in Ecological Research. Trends Ecol. Evol. 2007, 22, 569–574. [Google Scholar] [CrossRef]
- Ullah, R.; Khan, N.; Ali, K. Which Factor Explains the Life-History of Xanthium strumarium L., an Aggressive Alien Invasive Plant Species, along Its Altitudinal Gradient? Plant Direct 2022, 6, e375. [Google Scholar] [CrossRef]
- Jahdi, R.; Arabi, M.; Bussotti, F. Effect of Environmental Gradients on Leaf Morphological Traits in the Fandoghlo Forest Region (NW Iran). Iforest Biogeosciences For. 2020, 13, 523. [Google Scholar] [CrossRef]
- Dorogina, O.V.; Kuban, I.N.; Achimova, A.A.; Williams, N.; Lashchinskiy, N.N.; Zhmud, E.V. Morphometric Characteristics and Genetic Issr Marker Variability in Rhodiola rosea L. (Crassulaceae) in Different Ecological and Geographic Conditions in the Altai Republic. Int. J. Mol. Sci. 2023, 24, 15224. [Google Scholar] [CrossRef] [PubMed]
- Cairns, D.M. Alpine Treelines: Functional Ecology of the Global High Elevation Tree Limits. By Christian Körner. Arct. Antarct. Alp. Res. 2013, 45, 420–421. [Google Scholar] [CrossRef]
- Tian, M.; Yu, G.; He, N.; Hou, J. Leaf Morphological and Anatomical Traits from Tropical to Temperate Coniferous Forests: Mechanisms and Influencing Factors. Sci. Rep. 2016, 6, 19703. [Google Scholar] [CrossRef]
- Körner, C. The Nutritional Status of Plants from High Altitudes. Oecologia 1989, 81, 379–391. [Google Scholar] [CrossRef]
- Heriyanto; Michalik, M.; Brotosudarmo, T.H.P.; Limantara, L.; Fiedor, L. Reconstitution Approach to Tune Spectral Features of Light Harvesting Complexes for Improved Light Absorption and Energy Transfer. Energy Procedia 2014, 47, 113–122. [Google Scholar] [CrossRef]
- Nevo, R.; Charuvi, D.; Tsabari, O.; Reich, Z. Composition, Architecture and Dynamics of the Photosynthetic Apparatus in Higher Plants. Plant J. 2012, 70, 157–176. [Google Scholar] [CrossRef] [PubMed]
- Zielewicz, W.; Wróbel, B.; Niedbała, G. Quantification of Chlorophyll and Carotene Pigments Content in Mountain Melick (Melica nutans L.) in Relation to Edaphic Variables. Forests 2020, 11, 1197. [Google Scholar] [CrossRef]
- Li, Y.; He, N.; Hou, J.; Xu, L.; Liu, C.; Zhang, J.; Wang, Q.; Zhang, X.; Wu, X. Factors Influencing Leaf Chlorophyll Content in Natural Forests at the Biome Scale. Front. Ecol. Evol. 2018, 6, 64. [Google Scholar] [CrossRef]
- Lakhanov, A.P.; Kolomeichenko, V.V.; Fesenko, N.V.; Napolova, G.V.; Muzalevskaya, R.S.; Savkin, V.I.; Fesenko, A.N. Morphophysiology and Production Process of Buckwheat; Alexander Vorobyov: Orel, Russia, 2004. [Google Scholar]
- Rozentsvet, O.A.; Nesterov, V.N.; Bogdanova, E.S. The role of the structural organization of the photosynthetic apparatus in the stability of halophytes. In Proceedings of the Ecology and Geography of Plants and Plant Communities: Materials of the IV International Scientific Conference, Yekaterinburg, Russia, 16–19 April 2018; Ural University Publishing House, Humanitarian Institute: Ekaterinburg, Russia, 2018; pp. 814–817. [Google Scholar]
- Ivanov, L.A.; Migalina, S.V.; Ronzhina, D.A.; Tumurjav, S.; Gundsambuu, T.; Bazha, S.N.; Ivanova, L.A. Altitude-Dependent Variation in Leaf Structure and Pigment Content Provides the Performance of a Relict Shrub in Mountains of Mongolia. Ann. Appl. Biol. 2022, 181, 321–331. [Google Scholar] [CrossRef]
- Vasileva, V.; Ilieva, A. Some Physiological Parameters in Mixtures of Cocksfoot and Tall Fescue with Subterranean Clover. Bulg. J. Agric. Sci. 2017, 23, 71–75. [Google Scholar]
- Dymova, O.V. Pigment Complex of Plants in the Taiga Zone of the European Northeast (Organization and Functioning). Doctoral Thesis, Bashkir State University, Ufa, Russia, 2019. [Google Scholar]
- Kurenkova, S.V. Pigment System of Cultivated Plants in the Conditions of the Middle Taiga Subzone of the European North-East; Ekaterinburg Institute of Biology: Ekaterinburg, Russia, 1998. [Google Scholar]
- Santos, C.V. Regulation of Chlorophyll Biosynthesis and Degradation by Salt Stress in Sunflower Leaves. Sci. Hortic. 2004, 103, 93–99. [Google Scholar] [CrossRef]
- Mauchamp, A.; Méthy, M. Submergence-Induced Damage of Photosynthetic Apparatus in Phragmites australis. Environ. Exp. Bot. 2004, 51, 227–235. [Google Scholar] [CrossRef]
- Eckardt, N.A. A New Chlorophyll Degradation Pathway. Plant Cell 2009, 21, 700. [Google Scholar] [CrossRef]
- Li, Y.; Yang, D.; Xiang, S.; Li, G. Different Responses in Leaf Pigments and Leaf Mass per Area to Altitude between Evergreen and Deciduous Woody Species. Aust. J. Bot. 2013, 61, 424–435. [Google Scholar] [CrossRef]
- Akram, N.; Ashraf, M. Improvement in Growth, Chlorophyll Pigments and Photosynthetic Performance in Salt-Stressed Plants of Sunflower (Helianthus annuus L.) by Foliar Application of 5-Aminolevulinic Acid. Agrochimica 2011, 55, 94–104. [Google Scholar] [CrossRef]
- Silveira, J.A.G.; Carvalho, F.E.L. Proteomics, Photosynthesis and Salt Resistance in Crops: An Integrative View. J. Proteom. 2016, 143, 24–35. [Google Scholar] [CrossRef] [PubMed]
- Cuttriss, A.; Pogson, B. Carotenoids, Plant Pigments and Their Manipulation. In Carotenoids Chapter: Plant Pigments and Their Manipulation; Davies, K.M., Ed.; Blackwell Publishing Ltd.: Hoboken, NJ, USA, 2004; pp. 57–91. [Google Scholar]
- Demmig-Adams, B.; Gilmore, A.M.; Iii, W.W.A. In Vivo Functions of Carotenoids in Higher Plants. FASEB J. 1996, 10, 403–412. [Google Scholar] [CrossRef] [PubMed]
- Zheng, W.; Yu, S.; Zhang, W.; Zhang, S.; Fu, J.; Ying, H.; Pingcuo, G.; Liu, S.; Zhao, F.; Wu, Q.; et al. The Content and Diversity of Carotenoids Associated with High-Altitude Adaptation in Tibetan Peach Fruit. Food Chem. 2023, 398, 133909. [Google Scholar] [CrossRef] [PubMed]
- Maslova, T.; Popova, I. Adaptive Properties of the Plant Pigment Systems. Photosynthetica 1993, 29, 195–203. [Google Scholar] [CrossRef]
- Llorente, B.; Torres-Montilla, S.; Morelli, L.; Florez-Sarasa, I.; Matus, J.T.; Ezquerro, M.; D’Andrea, L.; Houhou, F.; Majer, E.; Picó, B.; et al. Synthetic Conversion of Leaf Chloroplasts into Carotenoid-Rich Plastids Reveals Mechanistic Basis of Natural Chromoplast Development. Proc. Natl. Acad. Sci. USA 2020, 117, 21796–21803. [Google Scholar] [CrossRef]
- Sun, T.; Rao, S.; Zhou, X.; Li, L. Plant Carotenoids: Recent Advances and Future Perspectives. Mol. Hortic. 2022, 2, 3. [Google Scholar] [CrossRef]
- Torres-Montilla, S.; Rodriguez-Concepcion, M. Making Extra Room for Carotenoids in Plant Cells: New Opportunities for Biofortification. Prog. Lipid Res. 2021, 84, 101128. [Google Scholar] [CrossRef]
- Wang, Y.; Zhang, C.; Dong, B.; Fu, J.; Hu, S.; Zhao, H. Carotenoid Accumulation and Its Contribution to Flower Coloration of Osmanthus fragrans. Front. Plant Sci. 2018, 9, 1499. [Google Scholar] [CrossRef]
- Terletskaya, N.V.; Korbozova, N.K.; Grazhdannikov, A.E.; Seitimova, G.A.; Meduntseva, N.D.; Kudrina, N.O. Accumulation of Secondary Metabolites of Rhodiola semenovii Boriss. In Situ in the Dynamics of Growth and Development. Metabolites 2022, 12, 622. [Google Scholar] [CrossRef]
- Marak, H.B.; Biere, A.; Damme, J.M.M.V. Fitness Costs of Chemical Defense in Plantago Lanceolata l.: Effects of Nutrient and Competition Stress. Evolution 2003, 57, 2519–2530. [Google Scholar] [CrossRef]
- Rasmann, S.; Pellissier, L.; Defossez, E.; Jactel, H.; Kunstler, G. Climate-Driven Change in Plant–Insect Interactions along Elevation Gradients. Funct. Ecol. 2014, 28, 46–54. [Google Scholar] [CrossRef]
- Körner, C. Alpine Treelines. In Alpine Plant Life: Functional Plant Ecology of High Mountain Ecosystems; Körner, C., Ed.; Springer International Publishing: Cham, Switzerland, 2021; pp. 141–173. ISBN 978-3-030-59538-8. [Google Scholar]
- He, M.; He, C.-Q.; Ding, N.-Z. Abiotic Stresses: General Defenses of Land Plants and Chances for Engineering Multistress Tolerance. Front. Plant Sci. 2018, 9, 1771. [Google Scholar] [CrossRef] [PubMed]
- Boncan, D.A.T.; Tsang, S.S.K.; Li, C.; Lee, I.H.T.; Lam, H.-M.; Chan, T.-F.; Hui, J.H.L. Terpenes and Terpenoids in Plants: Interactions with Environment and Insects. Int. J. Mol. Sci. 2020, 21, 7382. [Google Scholar] [CrossRef]
- Yuldasheva, N.K.; Gusakova, S.D.; Nurullaeva, D.K.; Farmanova, N.T.; Zakirova, R.P.; Kurbanova, E.R. Neutral Lipids of Oats Fruit (Avena sativa L.). Drug Dev. Regist. 2020, 9, 40–43. [Google Scholar] [CrossRef]
- Lee, J.; Moraes-Vieira, P.M.; Castoldi, A.; Aryal, P.; Yee, E.U.; Vickers, C.; Parnas, O.; Donaldson, C.J.; Saghatelian, A.; Kahn, B.B. Branched Fatty Acid Esters of Hydroxy Fatty Acids (FAHFAs) Protect against Colitis by Regulating Gut Innate and Adaptive Immune Responses. J. Biol. Chem. 2016, 291, 22207–22217. [Google Scholar] [CrossRef] [PubMed]
- Martinière, A.; Gayral, P.; Hawes, C.; Runions, J. Building Bridges: Formin1 of Arabidopsis Forms a Connection between the Cell Wall and the Actin Cytoskeleton. Plant J. 2011, 66, 354–365. [Google Scholar] [CrossRef] [PubMed]
- Sui, N.; Han, G. Salt-Induced Photoinhibition of PSII Is Alleviated in Halophyte Thellungiella halophila by Increases of Unsaturated Fatty Acids in Membrane Lipids. Acta Physiol. Plant 2014, 36, 983–992. [Google Scholar] [CrossRef]
- Liu, S.; Wang, W.; Li, M.; Wan, S.; Sui, N. Antioxidants and Unsaturated Fatty Acids Are Involved in Salt Tolerance in Peanut. Acta Physiol. Plant 2017, 39, 207. [Google Scholar] [CrossRef]
- Polturak, G.; Heinig, U.; Grossman, N.; Battat, M.; Leshkowitz, D.; Malitsky, S.; Rogachev, I.; Aharoni, A. Transcriptome and Metabolic Profiling Provides Insights into Betalain Biosynthesis and Evolution in Mirabilis jalapa. Mol. Plant 2018, 11, 189–204. [Google Scholar] [CrossRef]
- Cara, C.; Gauvin-Lepage, J.; Lefebvre, H.; Létourneau, D.; Alderson, M.; Larue, C.; Beauchamp, J.; Gagnon, L.; Casimir, M.; Girard, F.; et al. Le Modèle humaniste des soins infirmiers -UdeM: Perspective novatrice et pragmatique. Rech. En Soins Infirm. 2016, 125, 20–31. [Google Scholar] [CrossRef]
- Farmer, E.E. Surface-to-Air Signals. Nature 2001, 411, 854–856. [Google Scholar] [CrossRef] [PubMed]
- Sharkey, T.D.; Yeh, S. Isoprene Emission from Plants. Annu. Rev. Plant Biol. 2001, 52, 407–436. [Google Scholar] [CrossRef] [PubMed]
- De Jersey, J.; Zerner, B. Spontaneous and Enzyme-Catalyzed Hydrolysis of Saturated Oxazolinones. Biochemistry 1969, 8, 1967–1974. [Google Scholar] [CrossRef] [PubMed]
- Aryan, Y. 5-Substituted Furfurylidene (Benzylidene)-1,3-Oxazol-4-Ones: Synthesis, Stereostructure, Reactions and Biological Action. Ph.D. Thesis, Kuban State Technological University, Krasnodar, Russia, 2005. [Google Scholar]
- Alonso-Amelot, M.E.; Usubillaga, A.; Ávila-Núñez, J.L.; Oliveros-Bastidas, A.; Avendaño, M. Effects of Minthostachys Mollis Essential Oil and Volatiles on Seedlings of Lettuce, Tomato, Cucumber and Bidens pilosa. Allelopath. J. 2006, 18, 267–276. [Google Scholar]
- Camas, N.; Radusiene, J.; Ivanauskas, L.; Jakstas, V.; Cirak, C. Altitudinal Changes in the Content of Bioactive Substances in Hypericum orientale and Hypericum pallens. Acta Physiol. Plant 2014, 36, 675–686. [Google Scholar] [CrossRef]
- Padilla-González, G.F.; Diazgranados, M.; Da Costa, F.B. Biogeography Shaped the Metabolome of the Genus Espeletia: A Phytochemical Perspective on an Andean Adaptive Radiation. Sci. Rep. 2017, 7, 8835. [Google Scholar] [CrossRef]
- Nasri, Z.; Ahmadi, M.; Striesow, J.; Ravandeh, M.; von Woedtke, T.; Wende, K. Insight into the Impact of Oxidative Stress on the Barrier Properties of Lipid Bilayer Models. Int. J. Mol. Sci. 2022, 23, 5932. [Google Scholar] [CrossRef]
- Hashim, A.M.; Alharbi, B.M.; Abdulmajeed, A.M.; Elkelish, A.; Hozzein, W.N.; Hassan, H.M. Oxidative Stress Responses of Some Endemic Plants to High Altitudes by Intensifying Antioxidants and Secondary Metabolites Content. Plants 2020, 9, 869. [Google Scholar] [CrossRef]
- Toderich, K.N.; Terletskaya, N.V.; Zorbekova, A.N.; Saidova, L.T.; Ashimuly, K.; Mamirova, A.; Shuyskaya, E.V. Abiotic Stresses Utilisation for Altering the Natural Antioxidant Biosynthesis in Chenopodium quinoa L. Russ. J. Plant Physiol. 2023, 70, 155. [Google Scholar] [CrossRef]
- Gleadow, R.M.; Møller, B.L. Cyanogenic Glycosides: Synthesis, Physiology, and Phenotypic Plasticity. Annu. Rev. Plant Biol. 2014, 65, 155–185. [Google Scholar] [CrossRef]
- Sibbesen, O.; Koch, B.M.; Rouze, P.; Moller, B.L.; Halkier, B.A. Biosynthesis of Cyanogenic Glucosides. In Elucidation of the Pathway and Characterization of the Cytochromes P-450 Involved in Amino Acids and Their Derivatives in Higher Plants; Wallsgrove, R.M., Ed.; University Press: Cambridge, UK, 1995; pp. 227–241. ISBN 0309-6831. [Google Scholar]
- Lesovskaya, M. Antioxidant Activity of Cyanogenic Vegetable Raw Materials; The Scientific Heritage: Budapest, Hungary, 2020; pp. 37–41. [Google Scholar]
- Barykina, R.; Veselova, T.; Devyatov, A.; Dzhalilova, K.K.; Ilyina, G.; Chubatova, N. Guide on Botanical Microtechique. In Basics and Methods; MSU: Moscow, Russia, 2004; p. 312. [Google Scholar]
- Lichtenthaler, H.K. [34] Chlorophylls and Carotenoids: Pigments of Photosynthetic Biomembranes. In Methods in Enzymology; Plant Cell Membranes; Academic Press: Cambridge, MA, USA, 1987; Volume 148, pp. 350–382. [Google Scholar]









| Parameter | Altitude, m a.s.l. | p-Value | |||
|---|---|---|---|---|---|
| 2500 | 2687 | 2855 | 3100 | ||
| Adaxial epidermis T | 31.0 ± 3.58 | 29.2 ± 1.53 | 29.0 ± 1.59 | 26.6 ± 4.58 | 0.445 |
| Abaxial epidermis T | 43.5 ± 2.38 a | 41.9 ± 1.70 a | 41.6 ± 1.13 a | 35.3 ± 3.07 b | <0.01 |
| Central vein T | 615 ± 29.1 b | 703 ± 53.9 a | 629 ± 19.8 ab | 567 ± 3.67 b | <0.01 |
| Central vascular bundle D | 277 ± 25.1 b | 347 ± 26.2 a | 216 ± 3.85 c | 299 ± 19.1 ab | <0.001 |
| Mesophyll T | 319 ± 24.0 | 314 ± 47.5 | 296 ± 19.9 | 312 ± 21.7 | 0.808 |
| Mesophyll cell D | 43.4 ± 3.69 | 48.4 ± 6.46 | 43.2 ± 4.51 | 39.2 ± 2.42 | 0.181 |
| Parameter | Altitude, m a.s.l. | p-Value | |||
|---|---|---|---|---|---|
| 2500 | 2687 | 2855 | 3100 | ||
| Epidermis T | 31.5 ± 3.56 | 30.2 ± 4.57 | 28.0 ± 4.16 | 26.6 ± 2.73 | 0.443 |
| Collenchyma T | 56.8 ± 2.18 ab | 69.3 ± 5.10 a | 50.1 ± 9.05 b | 50.6 ± 4.54 b | <0.05 |
| Chlorenchyma T | 513 ± 4.74 b | 608 ± 60.9 a | 378 ± 20.1 c | 399 ± 25.9 c | <0.001 |
| Conductive bundle D | 489 ± 29.3 a | 390 ± 32.9 b | 268 ± 4.28 c | 294 ± 15.4 c | <0.001 |
| Parenchyma T | 120 ± 8.98 ab | 131 ± 13.9 a | 92.3 ± 8.97 c | 102 ± 6.60 bc | <0.01 |
| Sclerenchyma T | 61.2 ± 4.82 | 56.5 ± 8.59 | 55.8 ± 7.74 | 53.8 ± 8.96 | 0.696 |
| Endoderm T | 55.1 ± 4.56 a | 51.8 ± 6.52 a | 47.0 ± 3.97 ab | 39.0 ± 3.94 b | <0.05 |
| Cell D | 115 ± 13.4 a | 113 ± 11.4 a | 90.8 ± 4.71 ab | 85.1 ± 5.13 b | <0.01 |
| Parameter | Unit | Sampling Sites | |||
|---|---|---|---|---|---|
| No. 1 | No. 2 | No. 3 | No. 4 | ||
| Altitude | m a.s.l. | 2500 | 2687 | 2855 | 3100 |
| Temperature | °C | 28.5 | 27.3 | 26.2 | 24.6 |
| Relative humidity | % | 52 | 52 | 51 | 46 |
Disclaimer/Publisher’s Note: The statements, opinions and data contained in all publications are solely those of the individual author(s) and contributor(s) and not of MDPI and/or the editor(s). MDPI and/or the editor(s) disclaim responsibility for any injury to people or property resulting from any ideas, methods, instructions or products referred to in the content. |
© 2024 by the authors. Licensee MDPI, Basel, Switzerland. This article is an open access article distributed under the terms and conditions of the Creative Commons Attribution (CC BY) license (https://creativecommons.org/licenses/by/4.0/).
Share and Cite
Terletskaya, N.V.; Erbay, M.; Mamirova, A.; Ashimuly, K.; Korbozova, N.K.; Zorbekova, A.N.; Kudrina, N.O.; Hoffmann, M.H. Altitude-Dependent Morphophysiological, Anatomical, and Metabolomic Adaptations in Rhodiola linearifolia Boriss. Plants 2024, 13, 2698. https://doi.org/10.3390/plants13192698
Terletskaya NV, Erbay M, Mamirova A, Ashimuly K, Korbozova NK, Zorbekova AN, Kudrina NO, Hoffmann MH. Altitude-Dependent Morphophysiological, Anatomical, and Metabolomic Adaptations in Rhodiola linearifolia Boriss. Plants. 2024; 13(19):2698. https://doi.org/10.3390/plants13192698
Chicago/Turabian StyleTerletskaya, Nina V., Malika Erbay, Aigerim Mamirova, Kazhybek Ashimuly, Nazym K. Korbozova, Aigerim N. Zorbekova, Nataliya O. Kudrina, and Matthias H. Hoffmann. 2024. "Altitude-Dependent Morphophysiological, Anatomical, and Metabolomic Adaptations in Rhodiola linearifolia Boriss." Plants 13, no. 19: 2698. https://doi.org/10.3390/plants13192698
APA StyleTerletskaya, N. V., Erbay, M., Mamirova, A., Ashimuly, K., Korbozova, N. K., Zorbekova, A. N., Kudrina, N. O., & Hoffmann, M. H. (2024). Altitude-Dependent Morphophysiological, Anatomical, and Metabolomic Adaptations in Rhodiola linearifolia Boriss. Plants, 13(19), 2698. https://doi.org/10.3390/plants13192698

