Recovery of Scots Pine Seedlings from Long-Term Zinc Toxicity
Abstract
1. Introduction
2. Results
2.1. Development of Scots Pine Seedlings at the Beginning of the Experiment
2.2. Seedlings Growth during Recovery from Zn Toxicity
2.3. Ion Homeostasis during Recovery from Zn Toxicity
2.3.1. Zinc
2.3.2. Magnesium
2.3.3. Iron
2.3.4. Manganese
2.3.5. Copper
2.4. Photosynthetic Pigments
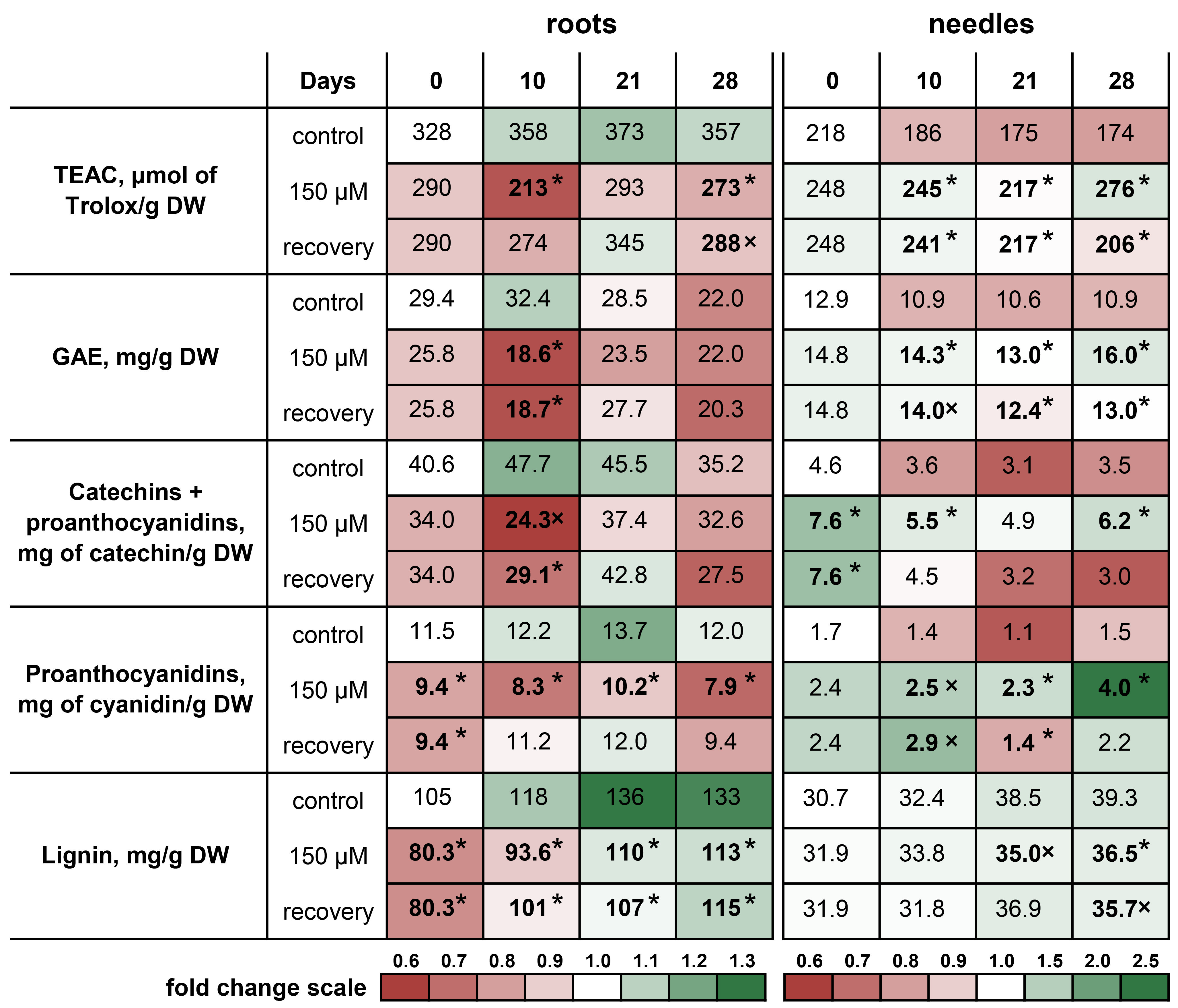
2.5. Contents of Low-Molecular-Weight Antioxidants, Total Phenolics, Catechins, and Proanthocyanidins during Recovery from Zn Toxicity
2.6. Lignin Content during Recovery from Zn Toxicity
3. Discussion
3.1. Restoration of Growth Processes
3.2. Recovery of Ion Homeostasis
3.3. Photosynthetic Pigments
3.4. Phenolic Compounds and Lignin Content
4. Materials and Methods
4.1. Experimental Design
4.2. Morphometric Parameters and Water Content
4.3. Determination of the Contents of Essential Elements
4.4. Analysis of Low-Molecular-Weight Antioxidants
4.5. Cell Wall Preparation and Lignin Quantification
4.6. Determination of Photosynthetic Pigments
4.7. Statistical Analysis
5. Conclusions
Supplementary Materials
Author Contributions
Funding
Data Availability Statement
Conflicts of Interest
References
- Azhar, U.; Ahmad, H.; Shafqat, H.; Babar, M.; Munir, H.M.S.; Sagir, M.; Arif, M.; Hassan, A.; Rachmadona, N.; Rajendran, S. Remediation Techniques for Elimination of Heavy Metal Pollutants from Soil: A Review. Environ. Res. 2022, 214, 113918. [Google Scholar] [CrossRef] [PubMed]
- Ghuge, S.A.; Nikalje, G.C.; Kadam, U.S.; Suprasanna, P.; Hong, J.C. Comprehensive Mechanisms of Heavy Metal Toxicity in Plants, Detoxification, and Remediation. J. Hazard. Mater. 2023, 450, 131039. [Google Scholar] [CrossRef] [PubMed]
- Zeng, J.; Luo, X.; Cheng, Y.; Ke, W.; Hartley, W.; Li, C.; Jiang, J.; Zhu, F.; Xue, S. Spatial Distribution of Toxic Metal (Loid) s at an Abandoned Zinc Smelting Site, Southern China. J. Hazard. Mater. 2022, 425, 127970. [Google Scholar] [CrossRef]
- Kasassi, A.; Rakimbei, P.; Karagiannidis, A.; Zabaniotou, A.; Tsiouvaras, K.; Nastis, A.; Tzafeiropoulou, K. Soil Contamination by Heavy Metals: Measurements from a Closed Unlined Landfill. Bioresour. Technol. 2008, 99, 8578–8584. [Google Scholar] [CrossRef]
- Chmielowska-Bąk, J.; Deckert, J. Plant Recovery after Metal Stress—A Review. Plants 2021, 10, 450. [Google Scholar] [CrossRef] [PubMed]
- Kosolapov, V.M.; Cherniavskih, V.I.; Dumacheva, E.V.; Sajfutdinova, L.D.; Zavalin, A.A.; Glinushkin, A.P.; Kosolapova, V.G.; Kartabaeva, B.B.; Zamulina, I.V.; Kalinitchenko, V.P.; et al. Scots Pine (Pinus sylvestris L.) Ecotypes Response to Accumulation of Heavy Metals during Reforestation on Chalk Outcrops. Forests 2023, 14, 1492. [Google Scholar] [CrossRef]
- Rahmonov, O.; Sobala, M.; Środek, D.; Karkosz, D.; Pytel, S.; Rahmonov, M. The Spatial Distribution of Potentially Toxic Elements in the Mountain Forest Topsoils (the Silesian Beskids, Southern Poland). Sci. Rep. 2024, 14, 338. [Google Scholar] [CrossRef] [PubMed]
- Zhang, Y.; Li, T.; Guo, Z.; Xie, H.; Hu, Z.; Ran, H.; Li, C.; Jiang, Z. Spatial Heterogeneity and Source Apportionment of Soil Metal (Loid) s in an Abandoned Lead/Zinc Smelter. J. Environ. Sci. 2023, 127, 519–529. [Google Scholar] [CrossRef] [PubMed]
- Lagerwerff, J.V.; Specht, A.W. Contamination of Roadside Soil and Vegetation with Cadmium, Nickel, Lead, and Zinc. Environ. Sci. Technol. 1970, 4, 583–586. [Google Scholar] [CrossRef]
- Yang, J.; Zhao, Y.; Ruan, X.; Zhang, G. Anthropogenic Contribution and Migration of Soil Heavy Metals in the Vicinity of Typical Highways. Agronomy 2023, 13, 303. [Google Scholar] [CrossRef]
- Li, T.; Yang, H.; Yang, X.; Guo, Z.; Fu, D.; Liu, C.; Li, S.; Pan, Y.; Zhao, Y.; Xu, F.; et al. Community Assembly during Vegetation Succession after Metal Mining Is Driven by Multiple Processes with Temporal Variation. Ecol. Evol. 2022, 12, e8882. [Google Scholar] [CrossRef]
- Kozlov, M.V.; Zvereva, E.L. Industrial Barrens: Extreme Habitats Created by Non-Ferrous Metallurgy. Rev. Environ. Sci. Biotechnol. 2007, 6, 231–259. [Google Scholar] [CrossRef]
- Tatuśko-Krygier, N.; Diatta, J.; Chudzińska, E.; Waraczewska, Z.; Gawroński, D.; Youssef, N. Bioactive Levels of Zn, Pb, Cu, Cd and Mg, Fe in Pollution Sensitive and Tolerant Scots Pines Needles–Is Survival Mineral-Dependent? Ecol. Indic. 2023, 146, 109751. [Google Scholar] [CrossRef]
- Ivanov, Y.V.; Kartashov, A.V.; Ivanova, A.I.; Savochkin, Y.V.; Kuznetsov, V.V. Effects of Zinc on Scots Pine (Pinus sylvestris L.) Seedlings Grown in Hydroculture. Plant Physiol. Biochem. 2016, 102, 1–9. [Google Scholar] [CrossRef] [PubMed]
- Świątek, B.; Kraj, W.; Pietrzykowski, M. Adaptation of Betula Pendula Roth., Pinus sylvestris L., and Larix Decidua Mill. to Environmental Stress Caused by Tailings Waste Highly Contaminated by Trace Elements. Environ. Monit. Assess. 2024, 196, 52. [Google Scholar] [CrossRef] [PubMed]
- Spasić, M.; Vacek, O.; Vejvodová, K.; Tejnecký, V.; Vokurková, P.; Križová, P.; Polák, F.; Vašát, R.; Borůvka, L.; Drábek, O. Which Trees Form the Best Soil? Reclaimed Mine Soil Properties under 22 Tree Species: 50 Years Later—Assessment of Physical and Chemical Properties. Eur. J. For. Res. 2024, 143, 561–579. [Google Scholar] [CrossRef]
- Raklami, A.; Meddich, A.; Oufdou, K.; Baslam, M. Plants—Microorganisms-Based Bioremediation for Heavy Metal Cleanup: Recent Developments, Phytoremediation Techniques, Regulation Mechanisms, and Molecular Responses. Int. J. Mol. Sci. 2022, 23, 5031. [Google Scholar] [CrossRef] [PubMed]
- Ivanov, Y.V.; Kartashov, A.V.; Ivanova, A.I.; Ivanov, V.P.; Marchenko, S.I.; Nartov, D.I.; Kuznetsov, V.V. Long-Term Impact of Cement Plant Emissions on the Elemental Composition of Both Soils and Pine Stands and on the Formation of Scots Pine Seeds. Environ. Pollut. 2018, 243, 1383–1393. [Google Scholar] [CrossRef] [PubMed]
- Canadell, J.; Jackson, R.B.; Ehleringer, J.B.; Mooney, H.A.; Sala, O.E.; Schulze, E.-D. Maximum Rooting Depth of Vegetation Types at the Global Scale. Oecologia 1996, 108, 583–595. [Google Scholar] [CrossRef]
- Durrant, T.H.; De Rigo, D.; Caudullo, G. Pinus sylvestris in Europe: Distribution, Habitat, Usage and Threats. Eur. Atlas For. Tree Species 2016, 14, 845–846. [Google Scholar]
- Tzvetkova, N.; Hadjiivanova, C. Chemical Composition and Biochemical Changes in Needles of Scots Pine (Pinus sylvestris L.) Stands at Different Stages of Decline in Bulgaria. Trees 2006, 20, 405–409. [Google Scholar] [CrossRef]
- Kandziora-Ciupa, M.; Ciepał, R.; Nadgórska-Socha, A.; Barczyk, G. Accumulation of Heavy Metals and Antioxidant Responses in Pinus sylvestris L. Needles in Polluted and Non-Polluted Sites. Ecotoxicology 2016, 25, 970–981. [Google Scholar] [CrossRef] [PubMed]
- Ivanov, Y.V.; Kartashov, A.V.; Ivanova, A.I.; Savochkin, Y.V.; Kuznetsov, V.V. Effects of Copper Deficiency and Copper Toxicity on Organogenesis and Some Physiological and Biochemical Responses of Scots Pine (Pinus sylvestris L.) Seedlings Grown in Hydroculture. Environ. Sci. Pollut. Res. 2016, 23, 17332–17344. [Google Scholar] [CrossRef] [PubMed]
- Ivanov, Y.V.; Ivanova, A.I.; Kartashov, A.V.; Kuznetsov, V.V. Phytotoxicity of Short-Term Exposure to Excess Zinc or Copper in Scots Pine Seedlings in Relation to Growth, Water Status, Nutrient Balance, and Antioxidative Activity. Environ. Sci. Pollut. Res. 2021, 28, 14828–14843. [Google Scholar] [CrossRef] [PubMed]
- Rucińska-Sobkowiak, R. Water Relations in Plants Subjected to Heavy Metal Stresses. Acta Physiol. Plant 2016, 38, 257. [Google Scholar] [CrossRef]
- George, E.; Seith, B.; Schaeffer, C.; Marschner, H. Responses of Picea, Pinus and Pseudotsuga Roots to Heterogeneous Nutrient Distribution in Soil. Tree Physiol. 1997, 17, 39–45. [Google Scholar] [CrossRef] [PubMed]
- Davies, K.L.; Davies, M.S.; Francis, D. Zinc-induced Vacuolation in Root Meristematic Cells of Festuca rubra L. Plant Cell Environ. 1991, 14, 399–406. [Google Scholar] [CrossRef]
- Kaur, H.; Garg, N. Zinc Toxicity in Plants: A Review. Planta 2021, 253, 129. [Google Scholar] [CrossRef]
- Drost, W.; Matzke, M.; Backhaus, T. Heavy Metal Toxicity to Lemna Minor: Studies on the Time Dependence of Growth Inhibition and the Recovery after Exposure. Chemosphere 2007, 67, 36–43. [Google Scholar] [CrossRef]
- Landberg, T.; Jensén, P.; Greger, M. Strategies of Cadmium and Zinc Resistance in Willow by Regulation of Net Accumulation. Biol. Plant. 2011, 55, 133–140. [Google Scholar] [CrossRef]
- Alejandro, S.; Höller, S.; Meier, B.; Peiter, E. Manganese in Plants: From Acquisition to Subcellular Allocation. Front. Plant Sci. 2020, 11, 300. [Google Scholar] [CrossRef]
- Ivanov, Y.V.; Pashkovskiy, P.P.; Ivanova, A.I.; Kartashov, A.V.; Kuznetsov, V.V. Manganese Deficiency Suppresses Growth and Photosynthetic Processes but Causes an Increase in the Expression of Photosynthetic Genes in Scots Pine Seedlings. Cells 2022, 11, 3814. [Google Scholar] [CrossRef]
- Han, X.; Zhao, Y.; Chen, Y.; Xu, J.; Jiang, C.; Wang, X.; Zhuo, R.; Lu, M.-Z.; Zhang, J. Lignin Biosynthesis and Accumulation in Response to Abiotic Stresses in Woody Plants. For. Res. 2022, 2, 9. [Google Scholar] [CrossRef]
- Yadav, S.; Chattopadhyay, D. Lignin: The Building Block of Defense Responses to Stress in Plants. J. Plant Growth Regul. 2023, 42, 6652–6666. [Google Scholar] [CrossRef]
- Pawlak-Sprada, S.; Arasimowicz-Jelonek, M.; Podgórska, M.; Deckert, J. Activation of Phenylpropanoid Pathway in Legume Plants Exposed to Heavy Metals. Part I. Effects of Cadmium and Lead on Phenylalanine Ammonia-Lyase Gene Expression, Enzyme Activity and Lignin Content. Acta Biochim. Pol. 2011, 58, 211–216. [Google Scholar] [CrossRef]
- Krutul, D.; Zielenkiewicz, T.; Radomski, A.; Zawadzki, J.; Drożdżek, M.; Antczak, A. Influence of Urban Environment Originated Heavy Metals Pollution on the Content of Extractives, Cellulose and Lignin in the Oak Wood. Ann. Wars. Univ. Life Sci. SGGW. For. Wood Technol. 2010, 71, 410–416. [Google Scholar]
- Lim-Hing, S.; Gandhi, K.J.; Villari, C. The Role of Manganese in Tree Defenses against Pests and Pathogens. Plant Physiol. Biochem. 2024, 210, 108641. [Google Scholar] [CrossRef] [PubMed]
- Ivanov, Y.V.; Kartashov, A.V.; Zlobin, I.E.; Sarvin, B.; Stavrianidi, A.N.; Kuznetsov, V.V. Water Deficit-Dependent Changes in Non-Structural Carbohydrate Profiles, Growth and Mortality of Pine and Spruce Seedlings in Hydroculture. Environ. Exp. Bot. 2019, 157, 151–160. [Google Scholar] [CrossRef]
- Ivanov, Y.V.; Kartashov, A.V.; Ivanova, A.I. Selection of Suitable Methods for Sample Preparation and Desorbing Agents for Determination of Nutrient Contents in Scots Pine Roots. Russ. J. Plant Physiol. 2024, 71, 82. [Google Scholar] [CrossRef]
- Re, R.; Pellegrini, N.; Proteggente, A.; Pannala, A.; Yang, M.; Rice-Evans, C. Antioxidant Activity Applying an Improved ABTS Radical Cation Decolorization Assay. Free Radic. Biol. Med. 1999, 26, 1231–1237. [Google Scholar] [CrossRef]
- Singleton, V.L.; Rossi, J.A. Colorimetry of Total Phenolics with Phosphomolybdic-Phosphotungstic Acid Reagents. Am. J. Enol. Vitic. 1965, 16, 144–158. [Google Scholar] [CrossRef]
- Sun, B.; Ricardo-da-Silva, J.M.; Spranger, I. Critical Factors of Vanillin Assay for Catechins and Proanthocyanidins. J. Agric. Food Chem. 1998, 46, 4267–4274. [Google Scholar] [CrossRef]
- Varela, M.C.; Arslan, I.; Reginato, M.A.; Cenzano, A.M.; Luna, M.V. Phenolic Compounds as Indicators of Drought Resistance in Shrubs from Patagonian Shrublands (Argentina). Plant Physiol. Biochem. 2016, 104, 81–91. [Google Scholar] [CrossRef] [PubMed]
- Lange, B.M.; Lapierre, C.; Sandermann, H., Jr. Elicitor-Induced Spruce Stress Lignin (Structural Similarity to Early Developmental Lignins). Plant Physiol. 1995, 108, 1277–1287. [Google Scholar] [CrossRef]
- Pashkovskiy, P.; Ivanov, Y.; Ivanova, A.; Kartashov, A.; Zlobin, I.; Lyubimov, V.; Ashikhmin, A.; Bolshakov, M.; Kreslavski, V.; Kuznetsov, V. Effect of Light of Different Spectral Compositions on pro/Antioxidant Status, Content of Some Pigments and Secondary Metabolites and Expression of Related Genes in Scots Pine. Plants 2023, 12, 2552. [Google Scholar] [CrossRef]
- Lichtenthaler, H.K. [34] Chlorophylls and Carotenoids: Pigments of Photosynthetic Biomembranes. Methods Enzymol. 1987, 148, 350–382. [Google Scholar]






| Parameter | Roots | Hypocotyls | Cotyledons | Needles | ||||
|---|---|---|---|---|---|---|---|---|
| Control | 150 µM | Control | 150 µM | Control | 150 µM | Control | 150 µM | |
| Zinc content, µmol/g DW | 2.85 ± 0.34 | 61.88 ± 4.05 × | 1.46 ± 0.14 | 12.25 ± 1.13 * | 1.47 ± 0.06 | 9.64 ± 0.54 × | 1.04 ± 0.05 | 9.12 ± 0.42 × |
| Fresh weight, mg | 84.7 ± 4.1 | 61.8 ± 2.5 × | 14.9 ± 0.5 | 14.0 ± 0.4 | 21.1 ± 0.8 | 17.9 ± 0.7 × | 189.0 ± 12.3 | 138.4 ± 5.9 × |
| Dry weight, mg | 6.71 ± 0.44 | 4.90 ± 0.36 * | 4.03 ± 0.08 | 3.59 ± 0.18 | 3.91 ± 0.09 | 4.06 ± 0.22 | 33.03 ± 2.48 | 23.04 ± 1.59 * |
| Water content, % | 91.3 ± 0.2 | 91.1 ± 0.4 | 72.1 ± 1.9 | 74.3 ± 0.6 | 78.9 ± 1.0 | 78.0 ± 0.9 | 82.0 ± 0.2 | 81.1 ± 0.2 * |
| Length, mm | 276.8 ± 7.0 | 152.9 ± 3.5 × | 33.7 ± 0.6 | 31.6 ± 0.5 * | 26.6 ± 0.4 | 24.4 ± 0.4 × | ND | ND |
| Diameter, mm | ND | ND | 0.91 ± 0.02 | 0.81 ± 0.01 × | ND | ND | ND | ND |
| Variant | Initial Point | Day of the Experiment | ||||||||
|---|---|---|---|---|---|---|---|---|---|---|
| 1st | 3rd | 5th | 7th | 10th | 14th | 17th | 21st | 28th | ||
| Fresh weight, mg | ||||||||||
| Roots | ||||||||||
| Control | 84.7 ± 4.1 | 66.6 ± 5.4 | 73.3 ± 5.4 | 85.3 ± 9.6 | 84.5 ± 10.3 | 81.9 ± 7.1 | 110.1 ± 8.1 | 112.6 ± 11.1 | 132.6 ± 13.7 | 146.1 ± 17.1 |
| 150 µM Zn | 61.8 ± 2.5 × | 58.0 ± 4.6 | 69.0 ± 4.0 | 59.4 ± 4.2 | 58.3 ± 6.2 | 80.0 ± 7.4 | 102.9 ± 7.5 | 114.3 ± 12.2 | 147.3 ± 18.3 | 120.6 ± 21.6 |
| Recovery | 61.8 ± 2.5 × | 61.1 ± 5.0 | 71.8 ± 9.2 | 80.0 ± 6.9 | 68.8 ± 6.5 | 93.0 ± 11.6 | 106.3 ± 8.9 | 123.5 ± 10.5 | 147.6 ± 15.4 | 136.6 ± 14.2 |
| Hypocotyls | ||||||||||
| Control | 14.9 ± 0.5 | 14.9 ± 0.6 | 17.0 ± 1.0 | 17.1 ± 1.0 | 18.4 ± 1.3 | 19.8 ± 1.2 | 21.9 ± 0.9 | 23.0 ± 1.5 | 24.1 ± 1.4 | 32.7 ± 3.5 |
| 150 µM Zn | 14.0 ± 0.4 | 12.6 ± 0.6 * | 15.5 ± 0.9 | 13.4 ± 0.5 × | 14.4 ± 1.0 × | 17.1 ± 1.1 | 19.2 ± 0.9 | 20.7 ± 1.6 | 24.6 ± 2.0 | 29.3 ± 3.7 |
| Recovery | 14.0 ± 0.4 | 14.8 ± 0.9 | 15.3 ± 0.9 | 18.1 ± 0.9 | 14.7 ± 0.7 | 19.1 ± 1.3 | 20.5 ± 1.2 | 22.3 ± 1.5 | 23.8 ± 1.6 | 31.6 ± 2.4 |
| Cotyledons | ||||||||||
| Control | 21.1 ± 0.8 | 21.3 ± 0.8 | 21.2 ± 0.7 | 19.9 ± 1.1 | 22.4 ± 1.2 | 21.2 ± 1.0 | 22.2 ± 0.8 | 22.0 ± 0.8 | 22.1 ± 0.9 | 21.7 ± 0.9 |
| 150 µM Zn | 17.9 ± 0.7 × | 18.1 ± 0.9 × | 18.3 ± 0.9 × | 15.6 ± 0.7* | 17.0 ± 1.0× | 17.8 ± 1.1 * | 18.0 ± 0.8 × | 18.8 ± 1.1 × | 17.7 ± 1.1 * | 16.0 ± 1.0 * |
| Recovery | 17.9 ± 0.7 × | 19.2 ± 0.7 | 17.8 ± 0.7 * | 19.3 ± 0.8 | 17.4 ± 0.7× | 20.7 ± 1.5 | 18.6 ± 0.6 × | 18.6 ± 0.9 * | 18.5 ± 0.8 * | 16.4 ± 0.9 × |
| Needles | ||||||||||
| Control | 189.0 ± 12.3 | 182.0 ± 12.6 | 202.7 ± 13.7 | 214.4 ± 18.0 | 236.6 ± 21.2 | 254.1 ± 18.6 | 312.4 ± 18.1 | 303.0 ± 20.3 | 321.8 ± 21.4 | 468.9 ± 58.1 |
| 150 µM Zn | 138.4 ± 5.9 × | 131.9 ± 9.3 * | 157.0 ± 8.7 × | 154.8 ± 9.2 * | 151.7 ± 13.8 × | 197.3 ± 15.7 | 232.9 ± 18.1 * | 246.4 ± 21.9 | 282.6 ± 27.5 | 339.0 ± 56.2 * |
| Recovery | 138.4 ± 5.9 × | 151.0 ± 11.9 | 158.8 ± 13.0 × | 199.0 ± 13.2 | 170.1 ± 12.6 × | 218.4 ± 17.7 | 234.2 ± 15.6 × | 275.7 ± 20.1 | 302.8 ± 25.4 | 381.7 ± 38.4 |
| Dry weight, mg | ||||||||||
| Roots | ||||||||||
| Control | 6.71 ± 0.44 | 5.44 ± 0.39 | 5.69 ± 0.55 | 8.01 ± 1.07 | 10.20 ± 0.74 | 9.30 ± 0.36 | 11.18 ± 0.94 | 13.16 ± 1.34 | 13.10 ± 1.07 | 20.66 ± 2.78 |
| 150 µM Zn | 4.90 ± 0.36 * | 4.40 ± 0.35 | 5.60 ± 0.49 | 5.06 ± 0.33 * | 4.87 ± 0.40 * | 7.68 ± 0.60 * | 8.49 ± 0.97 | 10.66 ± 0.74 | 12.90 ± 1.74 | 15.71 ± 3.49 |
| Recovery | 4.90 ± 0.36 * | 4.68 ± 0.48 | 5.53 ± 0.95 | 6.33 ± 0.45 | 5.27 ± 0.64 * | 8.07 ± 1.21 | 9.66 ± 0.72 | 12.24 ± 0.92 | 10.46 ± 1.07 | 16.98 ± 2.02 |
| Hypocotyls | ||||||||||
| Control | 4.03 ± 0.08 | 3.82 ± 0.23 | 4.55 ± 0.38 | 4.89 ± 0.42 | 6.61 ± 0.33 | 6.37 ± 0.30 | 6.81 ± 0.25 | 7.61 ± 0.55 | 7.53 ± 0.56 | 12.54 ± 2.01 |
| 150 µM Zn | 3.59 ± 0.18 | 3.06 ± 0.28 | 3.84 ± 0.07 | 3.73 ± 0.26 | 4.32 ± 0.48 * | 5.27 ± 0.61 | 5.81 ± 0.46 | 6.97 ± 0.63 | 7.32 ± 0.93 | 8.99 ± 1.98 |
| Recovery | 3.59 ± 0.18 | 3.26 ± 0.15 | 3.58 ± 0.20 | 4.45 ± 0.18 | 3.66 ± 0.17 × | 5.83 ± 0.86 | 6.74 ± 0.67 | 6.38 ± 0.45 | 6.84 ± 0.38 | 9.41 ± 0.84 |
| Cotyledons | ||||||||||
| Control | 3.91 ± 0.09 | 3.87 ± 0.21 | 3.85 ± 0.14 | 4.24 ± 0.39 | 5.09 ± 0.27 | 4.47 ± 0.30 | 4.29 ± 0.42 | 4.30 ± 0.11 | 4.64 ± 0.23 | 4.89 ± 0.39 |
| 150 µM Zn | 4.06 ± 0.22 | 3.44 ± 0.31 | 3.64 ± 0.18 | 3.13 ± 0.24 * | 3.65 ± 0.24 * | 3.99 ± 0.21 | 3.51 ± 0.07 × | 4.05 ± 0.27 | 3.74 ± 0.40 | 4.33 ± 0.29 |
| Recovery | 4.06 ± 0.22 | 3.61 ± 0.26 | 3.44 ± 0.31 | 3.58 ± 0.14 | 3.36 ± 0.30 * | 3.99 ± 0.49 | 4.12 ± 0.19 | 3.95 ± 0.24 | 3.67 ± 0.12 * | 4.19 ± 0.30 |
| Needles | ||||||||||
| Control | 33.0 ± 2.48 | 31.2 ± 3.13 | 37.0 ± 4.74 | 43.3 ± 5.87 | 58.9 ± 4.06 | 59.2 ± 2.99 | 64.7 ± 3.90 | 72.2 ± 3.60 | 73.6 ± 4.79 | 123.6 ± 21.3 |
| 150 µM Zn | 23.0 ± 1.59 * | 23.8 ± 2.65 | 30.8 ± 2.26 | 29.0 ± 2.79 * | 33.0 ± 4.00 * | 41.8 ± 4.66 * | 46.7 ± 6.54 * | 52.7 ± 4.67 * | 58.9 ± 7.74 | 81.2 ± 21.6 |
| Recovery | 23.0 ± 1.59 * | 29.0 ± 3.43 | 28.3 ± 3.85 | 33.2 ± 2.70 | 28.6 ± 3.15 * | 45.3 ± 5.88 | 51.0 ± 4.85 * | 57.0 ± 4.48 * | 60.1 ± 6.64 | 77.9 ± 8.35 |
| Water content, % | ||||||||||
| Roots | ||||||||||
| Control | 91.3 ± 0.2 | 91.0 ± 0.5 | 91.5 ± 0.3 | 90.8 ± 0.4 | 91.5 ± 0.4 | 91.6 ± 0.2 | 91.5 ± 0.4 | 91.5 ± 0.3 | 91.9 ± 0.4 | 90.6 ± 0.3 |
| 150 µM Zn | 91.1 ± 0.4 | 91.3 ± 0.3 | 91.5 ± 0.4 | 90.4 ± 0.6 | 90.4 ± 0.2× | 91.1 ± 0.3 | 91.8 ± 0.3 | 91.8 ± 0.4 | 92.0 ± 0.4 | 90.3 ± 0.4 |
| Recovery | 91.1 ± 0.4 | 90.6 ± 0.6 | 91.1 ± 0.3 | 90.2 ± 0.4 | 91.3 ± 0.3 | 92.4 ± 0.5 | 92.2 ± 0.4 | 92.0 ± 0.2 | 91.9 ± 0.5 | 90.8 ± 0.4 |
| Hypocotyls | ||||||||||
| Control | 72.1 ± 1.9 | 73.6 ± 0.7 | 71.1 ± 1.9 | 73.3 ± 0.7 | 72.7 ± 0.6 | 73.8 ± 1.2 | 70.4 ± 1.3 | 73.9 ± 0.9 | 72.2 ± 1.1 | 72.2 ± 0.8 |
| 150 µM Zn | 74.3 ± 0.6 | 73.3 ± 1.2 | 73.2 ± 1.3 | 69.4 ± 0.8× | 70.6 ± 1.2 | 71.7 ± 1.7 | 69.7 ± 1.2 | 72.0 ± 1.8 | 71.9 ± 0.8 | 73.3 ± 1.0 |
| Recovery | 74.3 ± 0.6 | 73.7 ± 1.2 | 72.7 ± 1.3 | 72.5 ± 1.3 | 71.2 ± 1.7 | 72.2 ± 1.5 | 73.0 ± 0.9 | 73.4 ± 1.8 | 72.5 ± 1.1 | 71.5 ± 0.7 |
| Cotyledons | ||||||||||
| Control | 78.9 ± 1.0 | 80.4 ± 0.8 | 80.0 ± 0.8 | 78.4 ± 0.8 | 80.1 ± 1.1 | 80.2 ± 0.8 | 81.6 ± 0.8 | 81.5 ± 0.6 | 81.2 ± 0.6 | 80.4 ± 1.0 |
| 150 µM Zn | 78.0 ± 0.9 | 79.1 ± 0.7 | 77.6 ± 0.6 | 77.9 ± 0.8 | 75.9 ± 1.0 * | 79.7 ± 1.3 | 78.2 ± 1.4 | 78.0 ± 1.7 | 79.6 ± 1.3 | 76.4 ± 1.4 * |
| Recovery | 78.0 ± 0.9 | 80.8 ± 0.4 | 79.6 ± 1.2 | 79.5 ± 0.4 | 79.5 ± 0.7 | 81.8 ± 1.1 | 79.6 ± 0.8 | 79.6 ± 2.3 | 79.8 ± 1.7 | 78.9 ± 0.6 |
| Needles | ||||||||||
| Control | 82.0 ± 0.2 | 82.5 ± 0.2 | 82.3 ± 0.1 | 81.3 ± 0.2 | 81.6 ± 0.2 | 82.0 ± 0.2 | 81.7 ± 0.2 | 81.1 ± 0.2 | 81.7 ± 0.2 | 80.4 ± 0.2 |
| 150 µM Zn | 81.1 ± 0.2 * | 81.8 ± 0.2 * | 81.0 ± 0.1 * | 80.5 ± 0.3 * | 80.7 ± 0.2 * | 80.7 ± 0.1 * | 80.7 ± 0.2 * | 80.5 ± 0.2 * | 80.1 ± 0.3 * | 79.1 ± 0.2 * |
| Recovery | 81.1 ± 0.2 * | 81.5 ± 0.2 * | 81.0 ± 0.2 × | 80.9 ± 0.3 | 81.3 ± 0.2 | 81.1 ± 0.2 * | 80.9 ± 0.2 * | 81.1 ± 0.5 | 81.2 ± 0.2 | 80.4 ± 0.2 |
| Parameter | Variant | Day of the Experiment | |||
|---|---|---|---|---|---|
| Initial Point | 10th | 21st | 28th | ||
| Basal needles | |||||
| Chl a, mg/g DW | Control | 8.33 ± 0.18 | 8.05 ± 0.24 | 8.23 ± 0.32 | 9.43 ± 0.18 |
| 150 µM Zn | 7.72 ± 0.12 * | 7.80 ± 0.16 | 7.72 ± 0.25 | 8.07 ± 0.14 * | |
| Recovery | 7.72 ± 0.12 * | 7.71 ± 0.23 | 7.66 ± 0.28 | 8.93 ± 0.23 | |
| Chl b, mg/g DW | Control | 3.36 ± 0.07 | 3.17 ± 0.12 | 3.30 ± 0.12 | 3.97 ± 0.11 |
| 150 µM Zn | 3.09 ± 0.05 * | 3.06 ± 0.08 | 3.19 ± 0.04 | 3.32 ± 0.05 × | |
| Recovery | 3.09 ± 0.05 * | 3.00 ± 0.08 | 3.07 ± 0.13 | 3.70 ± 0.08 | |
| Carotenoids, mg/g DW | Control | 1.31 ± 0.03 | 1.28 ± 0.03 | 1.29 ± 0.05 | 1.44 ± 0.03 |
| 150 µM Zn | 1.22 ± 0.02 × | 1.24 ± 0.03 | 1.18 ± 0.08 | 1.25 ± 0.03 * | |
| Recovery | 1.22 ± 0.02 × | 1.23 ± 0.04 | 1.21 ± 0.04 | 1.39 ± 0.05 | |
| Chl a/Chl b | Control | 2.48 ± 0.01 | 2.54 ± 0.03 | 2.49 ± 0.01 | 2.38 ± 0.02 |
| 150 µM Zn | 2.50 ± 0.01 | 2.55 ± 0.03 | 2.42 ± 0.08 | 2.43 ± 0.03 | |
| Recovery | 2.50 ± 0.01 | 2.57 ± 0.02 | 2.49 ± 0.02 | 2.41 ± 0.03 | |
| Car/Chls | Control | 0.112 ± 0.000 | 0.114 ± 0.002 | 0.112 ± 0.001 | 0.107 ± 0.001 |
| 150 µM Zn | 0.113 ± 0.001 | 0.114 ± 0.001 | 0.107 ± 0.006 | 0.109 ± 0.001 | |
| Recovery | 0.113 ± 0.001 | 0.115 ± 0.002 | 0.113 ± 0.001 | 0.110 ± 0.002 | |
| Top needles | |||||
| Chl a, mg/g DW | Control | 6.19 ± 0.17 | 5.80 ± 0.19 | 6.45 ± 0.34 | 6.14 ± 0.42 |
| 150 µM Zn | 5.66 ± 0.13 | 5.80 ± 0.19 | 5.49 ± 0.19 * | 5.40 ± 0.09 | |
| Recovery | 5.66 ± 0.13 | 5.90 ± 0.78 | 5.81 ± 0.15 | 6.40 ± 0.24 | |
| Chl b, mg/g DW | Control | 2.53 ± 0.07 | 2.34 ± 0.12 | 2.64 ± 0.13 | 2.63 ± 0.20 |
| 150 µM Zn | 2.31 ± 0.06 | 2.32 ± 0.10 | 2.28 ± 0.07 * | 2.27 ± 0.05 | |
| Recovery | 2.31 ± 0.06 | 2.34 ± 0.31 | 2.39 ± 0.07 | 2.71 ± 0.12 | |
| Carotenoids, mg/g DW | Control | 0.99 ± 0.02 | 0.94 ± 0.02 | 1.02 ± 0.04 | 0.97 ± 0.06 |
| 150 µM Zn | 0.92 ± 0.02 * | 0.93 ± 0.03 | 0.88 ± 0.04 * | 0.87 ± 0.02 | |
| Recovery | 0.92 ± 0.02 | 0.98 ± 0.14 | 0.92 ± 0.03 | 1.00 ± 0.03 | |
| Chl a/Chl b | Control | 2.45 ± 0.03 | 2.48 ± 0.04 | 2.45 ± 0.03 | 2.35 ± 0.03 |
| 150 µM Zn | 2.46 ± 0.01 | 2.51 ± 0.03 | 2.41 ± 0.03 | 2.38 ± 0.02 | |
| Recovery | 2.46 ± 0.01 | 2.53 ± 0.03 | 2.43 ± 0.02 | 2.36 ± 0.03 | |
| Car/Chls | Control | 0.115 ± 0.002 | 0.115 ± 0.003 | 0.112 ± 0.002 | 0.110 ± 0.001 |
| 150 µM Zn | 0.116 ± 0.001 | 0.115 ± 0.002 | 0.113 ± 0.001 | 0.113 ± 0.002 | |
| Recovery | 0.116 ± 0.001 | 0.119 ± 0.001 | 0.113 ± 0.001 | 0.110 ± 0.001 | |
Disclaimer/Publisher’s Note: The statements, opinions and data contained in all publications are solely those of the individual author(s) and contributor(s) and not of MDPI and/or the editor(s). MDPI and/or the editor(s) disclaim responsibility for any injury to people or property resulting from any ideas, methods, instructions or products referred to in the content. |
© 2024 by the authors. Licensee MDPI, Basel, Switzerland. This article is an open access article distributed under the terms and conditions of the Creative Commons Attribution (CC BY) license (https://creativecommons.org/licenses/by/4.0/).
Share and Cite
Ivanov, Y.V.; Ivanova, A.I.; Kartashov, A.V.; Kuznetsov, V.V. Recovery of Scots Pine Seedlings from Long-Term Zinc Toxicity. Plants 2024, 13, 2227. https://doi.org/10.3390/plants13162227
Ivanov YV, Ivanova AI, Kartashov AV, Kuznetsov VV. Recovery of Scots Pine Seedlings from Long-Term Zinc Toxicity. Plants. 2024; 13(16):2227. https://doi.org/10.3390/plants13162227
Chicago/Turabian StyleIvanov, Yury V., Alexandra I. Ivanova, Alexander V. Kartashov, and Vladimir V. Kuznetsov. 2024. "Recovery of Scots Pine Seedlings from Long-Term Zinc Toxicity" Plants 13, no. 16: 2227. https://doi.org/10.3390/plants13162227
APA StyleIvanov, Y. V., Ivanova, A. I., Kartashov, A. V., & Kuznetsov, V. V. (2024). Recovery of Scots Pine Seedlings from Long-Term Zinc Toxicity. Plants, 13(16), 2227. https://doi.org/10.3390/plants13162227

