Abstract
Invasive species and their hybrids with native species threaten biodiversity. However, there are few reports on the drought stress adaptability of invasive species Sphagneticola trilobata (L.) Pruski and its hybrid with native species S. calendulacea. In this study, relative water content (RWC), abscisic acid (ABA), reactive oxygen species, antioxidant capacity, and photosynthetic capacity were measured in the hybrid and its parents under drought stress (13% PEG-6000). Under drought stress, the ABA content and RWC in S. trilobata were the highest. RWC decreased by 28% in S. trilobata, 41% in S. calendulacea, and 33% in the hybrid. Activities of the antioxidant enzymes in S. trilobata were the highest, and the accumulation of malondialdehyde (MDA) was the lowest (4.3 μg g−1), while it was the highest in S. calendulacea (6.9 μg g−1). The maximum photochemical efficiency (Fv/Fm) of S. calendulacea was the lowest (0.71), and it was the highest in S. trilobata (7.5) at 8 h under drought stress. The results suggest that the drought resistance of the hybrid was weaker than that of S. trilobata but stronger than that of S. calendulacea. Therefore, the survival of S. calendulacea may be threatened by both the invasive species S. trilobata and the hybrid.
1. Introduction
Biological invasions are one of the primary issues in ecology [1,2,3]. Invading organisms may hybridize with native species in the invaded area during the invasion process, forming hybrid species. Currently, about 25% of invasive plants have hybridized with native species [4]. The adaptability of the hybrid species produced between invasive and native species is stronger than that of their parents, and the range of adaptation is wider in the invaded area [5,6]. The diversity of native species is reduced by invasive species and their hybrids with native species, thus posing a threat to endangered species [7].
With global warming, extremely harsh environments, such as drought environments, are becoming more frequent and severe [8]. Drought stress is one of the most common abiotic stresses detrimental to plant growth and development [9]. Due to the lack of water in plants, cells lose tension, leaves wilt, tender parts droop, leaf thickness increases, leaf area decreases, the plant becomes shorter, the root system lengthens, the root–shoot ratio increases, etc. [9,10,11,12]. In addition, as the basic medium of physiological reactions in plants, a shortage of water will seriously affect various physiological reactions in cells [13]. Excessive reactive oxygen species (ROS) are generated and accumulate in plant cells due to the oxidative stress caused by drought stress. High concentrations of ROS may attack the biological macromolecules in cells, including lipids, proteins, and nucleic acids [14]. Excessive ROS disrupt the stability of cell membranes, leading to membrane lipid peroxidation, as well as increasing the membrane permeability of malondialdehyde (MDA) content in cells. The function of selective passage through the cell membrane is lost due to the destruction of the cell membrane. The inability to effectively control the entry and exit of substances into cells results in them being unable to perform normal metabolic activities [15,16].
In order to reduce the damage from drought stress, some plants have evolved strategies to cope with it. Leaf stomata are the main channels for water loss in terrestrial plants, and the aperture directly affects the rate of water loss. Reducing the leaf stomatal opening effectively reduces water loss [13]. Abscisic acid (ABA) plays an important role in regulating the stomatal opening. The content of ABA and the expression of genes related to ABA synthesis are significantly upregulated under drought stress [13]. In addition, osmotic regulators, such as soluble sugar and proline, accumulate in plants to maintain the osmotic pressure of cells under drought stress [17]. Furthermore, to eliminate excessive ROS in cells, the activities of antioxidant enzymes and the contents of non-enzymatic antioxidant substances in cells increase [18,19]. In a study on the invasive plant Alternanthera philoxeroides (Mart.) Griseb and the model plant maize (Zea mays L.), it was found that drought stress increased the content of ROS. With the increase in the content of ROS, drought stress significantly increased the antioxidant enzyme activity in A. philoxeroides and maize, and the content of antioxidant substances also significantly increased [18,20].
Sphagneticola trilobata (L.) Pruski (synonym: Wedelia trilobata (L.) Hitchc.), an invasive species in southern China, is a perennial herbaceous plant in the Asteraceae family, and it is native to South and Central America. However, in the field, researchers have discovered a hybrid between the invasive species S. trilobata and the native species S. calendulacea [21]. Previous studies have shown that the tolerance of the hybrid to low temperatures and nitrogen deposition was between that of its two parents [22,23]. However, the tolerance of the hybrid to cadmium stress was higher than that of its two parents in our recent report [6], and the tolerance of the hybrid to flooding stress was higher than that of its invasive parent [24]. However, there have been few reports on whether this hybrid shows heterosis in tolerance to drought stress.
In this study, the responses of the hybrid and its parents (S. trilobata and S. calendulacea) to drought stress were compared. We aimed to investigate the tolerance of the invasive species S. trilobata and the hybrid to drought stress and explore whether the hybrid exhibits a super-parental advantage under drought stress.
2. Results
2.1. Phenotypic Characteristics
Under osmotic stress (13% PEG-6000), the leaves of the parents and hybrid wilted over time. However, the responses of the three species to the PEG-6000 treatment differed. Among them, the leaves of the native species S. calendulacea wilted first, after PEG-6000 treatment for 2 h (Figure 1B). After treatment for 6 h, the edges of the S. calendulacea leaves became necrotic due to excessive water loss (Figure 1D). The results show that the invasive species S. trilobata and its hybrid only wilted during the 8 h treatment with PEG-6000.
Figure 1.
Leaf phenotypic changes in S. calendulacea, S. trilobata, and their hybrid at 0 h (0 h, A), 2 h (2 h, B), 4 h (4 h, C), 6 h (6 h, D), and 8 h (8 h, E) under PEG-6000-simulated drought stress.
2.2. Leaf Water and ABA Content, as Well as Expression of Related Genes
Under the PEG-6000 treatment, the relative water content in the leaves of the hybrid and its parents, S. calendulacea and S. trilobata, decreased gradually. Among them, the S. calendulacea leaves showed the fastest water loss rate and the lowest water content, the S. trilobata leaves showed the slowest water loss rate and the highest water content, and the hybrid’s leaves showed intermediate results between its parents (Figure 2A). The relative water content was 61% in the hybrid, 54% in S. calendulacea, and 67% in S. trilobata, and it decreased by 33%, 41%, and 28%, respectively, at 8 h under drought stress. ABA plays a key role in controlling leaf water loss. In this experiment, the ABA content in the leaves of the hybrid and its parents, S. calendulacea and S. trilobata, accumulated with the decrease in water content, and it increased gradually. The leaves of S. trilobata showed the fastest and highest increase in ABA content, the leaves of S. calendulacea showed the slowest and lowest increase in ABA content, while the leaves of the hybrid showed intermediate results between its parents (Figure 2B). The genes of zeaxanthin-epoxidase (ABA1) and 9-cis-epoxycarotenoid dioxygenase (NCED) are associated with ABA synthesis, and the PEG-6000 treatment significantly increased their relative expression levels. Under the PEG-6000 treatment, the gene expression levels of ABA1 and NCED in the leaves of S. trilobata were significantly higher than in the hybrid. They were the lowest in the leaves of S. calendulacea (Figure 2C,D). The relative expression level of ABA1 increased by 62% in S. calendulacea, 473% in S. trilobata, and 99% in the hybrid at 6 h under drought stress. The relative expression level of NCED increased 54 times in S. calendulacea, 555 times in S. trilobata, and 71 times in the hybrid at 6 h under drought stress.
Figure 2.
Under PEG-6000-simulated drought stress, the changes in relative water content (A), abscisic acid (ABA, B) content, relative expression of the zeaxanthin-epoxidase gene (ABA1, C), and 9-cis-epoxycarotenoid dioxygenase gene (NCED, D) in the leaves of S. calendulacea, S. trilobata, and their hybrid. FW, fresh weight. Five biological replicates. Above bars, different lowercase letters indicate statistical significance (p < 0.05).
2.3. Leaf Stomata, Proline, and Soluble Sugar
Leaf stomata are the main channels for water loss in terrestrial plants, and the aperture directly affects the rate of water loss in plants. Under the PEG-6000 treatment, the leaf stomata opening decreased. It was the smallest in S. trilobata and the largest in S. calendulacea (Figure 3A–F). Proline and soluble sugar are the main osmotic regulators in plant leaves, and they regulate the osmotic pressure. During the PEG-6000 treatment, the proline and soluble sugar contents in the leaves of the hybrid and its parents increased gradually. The proline content increased slowly during the first 0–4 h of treatment and faster from 4 to 8 h. During the 4–8 h of treatment, the proline and soluble sugar contents in the leaves of S. trilobata increased faster than in S. calendulacea and its hybrid, and they were also higher in the leaves of S. trilobata than in the hybrid and S. calendulacea. The proline and soluble sugar contents were the lowest in S. calendulacea (Figure 3G,H). The proline content was 23.6 μg g−1 in S. calendulacea, 27.9 μg g−1 in S. trilobata, and 25.5 μg g−1 in the hybrid at 8 h under drought stress. The soluble sugar content was 4.5 mg g−1 in S. calendulacea, 5.3 mg g−1 in S. trilobata, and 5.1 mg g−1 in the hybrid at 8 h under drought stress.
Figure 3.
Under PEG-6000-simulated drought stress, the changes in leaf stomatal size (A–F), proline (G), and soluble sugar (H) content in leaves of the hybrid and its parents S. calendulacea and S. trilobata. FW, fresh weight; DW, dry weight. Five biological replicates.
2.4. Hydrogen Peroxide, Superoxide Anion, MDA, and Enzyme Activity
After the PEG-6000 treatment, the accumulation of hydrogen peroxide and superoxide anion in the leaves of the hybrid and its parents increased, and the accumulation of superoxide anion in the leaves of the native species S. calendulacea was the largest (Figure 4A,B). The MDA content in the leaves of the hybrid and its parents (S. calendulacea and S. trilobata) increased gradually under the PEG-6000 treatment. The MDA content was 6.9 μg g−1 in S. calendulacea, 4.3 μg g−1 in S. trilobata, and 5.2 μg g−1 in the hybrid at 8 h; it was the highest in S. calendulacea and the lowest in S. trilobata, and the hybrid showed intermediate results between its two parents (Figure 4C). To alleviate oxidative stress, antioxidant enzyme activities increase. The superoxide dismutase (SOD), catalase (CAT), and peroxidase (POD) activities in the leaves of the hybrid and its parents gradually increased under the PEG-6000 treatment. During the 4–8 h of treatment, the enzyme activity was the highest in S. trilobata and the lowest in S. trilobata, and the hybrid showed intermediate results between its two parents (Figure 4D–F). The SOD activity was 5.3 U in S. calendulacea, 6.8 U in S. trilobata, and 5.6 U in the hybrid at 8 h. The CAT activity was 559 U in S. calendulacea, 631 U in S. trilobata, and 564 U in the hybrid at 8 h. The POD activity was 10,994 U in S. calendulacea, 12,535 U in S. trilobata, and 10,542 U in the hybrid at 8 h.
Figure 4.
Under PEG-6000-simulated drought stress, the accumulation of hydrogen peroxide (DAB staining, A), superoxide anion (NBT staining, B), the changes in content of malondialdehyde (MDA, C), and activities of superoxide dismutase (SOD, D), catalase (CAT, E), and peroxidase (POD, F) in leaves of the hybrid and its parents S. calendulacea and S. trilobata. DAB: 3,3′-Diaminobenzidine; NBT: nitroblue tetrazolium. FW, fresh weight. Five biological replicates.
2.5. Chlorophyll Fluorescence Parameters and Gas Exchange Parameters
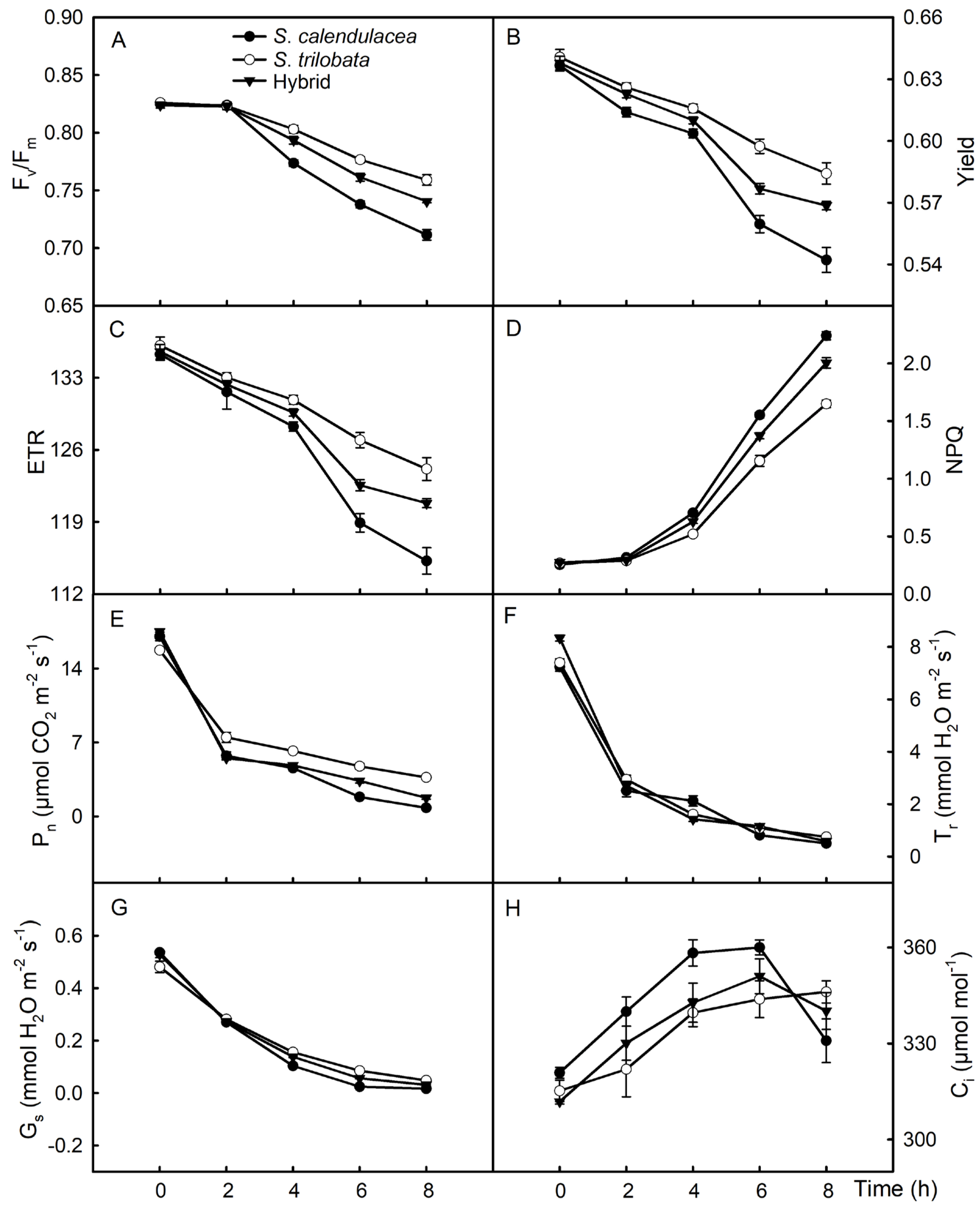
During the PEG-6000 treatment, the maximum photochemical efficiency (Fv/Fm) of the hybrid and its parents (S. calendulacea and S. trilobata) decreased gradually (Figure 5A). However, the decline rate of Fv/Fm differed among the three species. The decline rate of Fv/Fm was the slowest in S. trilobata, and its value was higher than in the hybrid and S. calendulacea during the 4–6 h of treatment, while S. calendulacea showed the fastest decline rate and the lowest Fv/Fm value. The Fv/Fm value was 7.1 in S. calendulacea, 7.5 in S. trilobata, and 7.4 in the hybrid at 8 h. The variation trend of the actual photochemical efficiency (yield) and electron transport rate (ETR) was consistent with that of Fv/Fm (Figure 5B,C). In addition, the variation trend of non-photochemical quenching (NPQ) was the opposite of that of Fv/Fm, showing a gradual increase in the hybrid and its parents under the PEG-6000 treatment (Figure 5D). NPQ was the slowest in S. trilobata and lower than that of the native species S. calendulacea and the hybrid, while it was the fastest in S. calendulacea, which showed the highest NPQ.
Figure 5.
Under PEG-6000-simulated drought stress, the changes in maximum photochemical efficiency (Fv/Fm, A), actual photochemical efficiency (yield, B), electron transport rate (ETR, C), non-photochemical quenching (NPQ, D), net photosynthetic rate (Pn, E), transpiration rate (Tr, F), stomatal conductance (Gs, G), and intercellular CO2 content (Ci, H) in leaves of the hybrid and its parents S. calendulacea and S. trilobata. Five biological replicates.
Photosynthesis is the basis of plant growth, and a highly efficient photosynthetic rate is beneficial for plant growth. In the process of the PEG-6000 treatment, the net photosynthetic rate (Pn) of the hybrid and its parents decreased gradually. Pn decreased faster during the first 0–2 h of treatment, while the decrease rate was slower in the 2–8 h of treatment (Figure 5E). Pn was higher in the invasive species S. trilobata than in the hybrid and S. calendulacea, while it was higher in the hybrid than in S. calendulacea after the PEG-6000 treatment for 4 h. Pn was 0.8 μmol m−2 s−1 in S. calendulacea, 3.7 μmol m−2 s−1 in S. trilobata, and 1.8 μmol m−2 s−1 in the hybrid at 8 h. The change trends of the stomatal conductance (Gs) and transpiration rate (Tr) were consistent and decreased gradually during the PEG-6000 drought stress treatment (Figure 5F,G). During the 0–8 h of the PEG-6000 treatment, the change in the intercellular CO2 (Ci) content showed a trend of first increasing and then decreasing in the hybrid and S. calendulacea, while it gradually increased in the leaves of S. trilobata (Figure 5H).
3. Discussion
Under 13% PEG-6000-simulated drought stress, the leaf relative water content decreased the slowest in S. trilobata and decreased the fastest in S. calendulacea, and the hybrid showed intermediate results between its two parents (Figure 2A). The leaves wilted quicker in S. calendulacea than in the hybrid and S. trilobata, and the edges of the leaves curled after 4 h of the 13% PEG-6000 treatment (Figure 1C). Excessive ROS are generated and accumulate in plant cells due to the oxidative stress caused by drought stress [25]. High concentrations of ROS may attack the biological macromolecules in cells, leading to membrane lipid peroxidation, increased membrane permeability, and leaf damage [26]. Studies have found that drought stress significantly increases the ROS accumulation in sunflower (Helianthus annuus L.) leaves, and the more severe the water deficiency, the more ROS accumulate [27]. In this study, the results showed that the ROS content in the leaves of both parents and the hybrid increased under the 13% PEG-6000 treatment. The ROS content was the highest in the native species S. calendulacea, while it was the lowest in the invasive species S. trilobata (Figure 4A,B). This indicates that S. calendulacea suffered the most severe damage under drought stress [27]. Previous studies on S. trilobata and S. calendulacea found that cell membrane permeability [28] and MDA content [29] increased under stress conditions. This experiment found that the MDA content in the leaves of the three species increased (Figure 4C), indicating that the leaves of the hybrid and its parents were damaged under the 13% PEG-6000 treatment. The MDA content was the highest in the native species S. calendulacea, and it was lower in the invasive species S. trilobata and the hybrid after 6 h, which indicates that the leaf damage in the native species S. calendulacea was the most serious [24]. Huang et al. [25] found that the tolerance of S. trilobata was stronger than that of S. calendulacea under drought stress and that the MDA content was lower in S. trilobata. These results suggest that the tolerance of S. trilobata and the hybrid is stronger than that of S. calendulacea under drought stress.
Under normal conditions, Fv/Fm does not change significantly. However, Fv/Fm decreases significantly under stress [30,31]. Song et al. [28] found that, under high-temperature stress, the Fv/Fm of S. trilobata and S. calendulacea decreased, while S. trilobata was more tolerant to high temperatures, showing a higher Fv/Fm value. In this study, the results showed that the Fv/Fm values of the hybrid and its parents decreased gradually under drought stress, which is consistent with previous research results [32]. Among them, the Fv/Fm values were the lowest in the native species S. calendulacea, while they were the highest in the invasive species S. trilobata after 4 h of the 13% PEG-6000 treatment (Figure 5A). The Fv/Fm values were higher in the hybrid than in the native species S. calendulacea. The results indicate that drought stress caused the greatest damage to the native species S. calendulacea and the least damage to the invasive species S. trilobata [28]. In addition, a decrease in water content hinders the metabolic process of cells in leaves [33]. Photosynthesis is the basis of the material accumulation and growth of higher plants. Under drought stress, the photosynthesis of plant leaves is affected, leading to a significant decrease in Pn [34], and the results of this study are consistent with this. In this experiment, Pn in the leaves of the three species decreased gradually under the 13% PEG-6000 treatment (Figure 5E). Pn was highest in the S. trilobata leaves and lowest in the S. calendulacea leaves, with the hybrid showing intermediate results between its two parents, which was consistent with the change trend in leaf relative water content.
To improve resistance, the stomatal opening of leaves is reduced under drought stress, thereby reducing the rate of water loss through leaf stomata [13,35]. Previous research has shown that applying appropriate concentrations of ABA to plants or increasing their ABA content through gene editing reduces the leaf stomatal opening [36,37]. In this study, the results showed that the ABA content in the hybrid and its parents, S. calendulacea and S. trilobata, increased under the 13% PEG-6000 treatment. The ABA content was higher in the S. trilobata and hybrid leaves than in S. calendulacea after 6 h. This indicates that S. trilobata and the hybrid rapidly synthesize more ABA to reduce water loss under drought stress [27]. Furthermore, drought stress significantly increases the proline and soluble sugar contents in plants [27,38]. These osmotic regulators not only contribute to osmotic regulation but also protect the structure of biomolecules and membranes, or they act as free radical scavengers to protect deoxyribonucleic acid from ROS damage [39]. In this study, the proline and soluble sugar contents in the hybrid and its parents increased under the 13% PEG-6000 treatment. The proline and soluble sugar contents were higher in S. trilobata than in S. calendulacea, and they were lower in S. calendulacea than in the hybrid after 4 h of the 13% PEG-6000 treatment (Figure 3G,H). This indicates that S. trilobata and the hybrid can synthesize and accumulate more proline under drought stress and maintain cell osmotic pressure [39]. In addition, to eliminate excessive ROS in plant cells, antioxidant enzyme activities increase under drought tress [19]. In this experiment, CAT, SOD, and POD activities increased in the hybrid, S. calendulacea, and S. trilobata under the 13% PEG-6000 treatment. These activities were strongest in S. trilobata and weakest in S. calendulacea, with the hybrid showing intermediate results between its parents (Figure 4D–F). Previous studies have shown that high antioxidant enzyme activities significantly reduce the ROS content [6]. Huang et al. [29] found that the antioxidant defense system in S. trilobata was stronger than that in S. calendulacea under stress conditions. These results indicate that the antioxidant capacity of S. trilobata and the hybrid is stronger than that of S. calendulacea under drought stress. However, this study simulated drought stress using 13% PEG-6000, which differs from the natural drought stress environment in the field. In addition, the drought stress duration of this study is relatively short and cannot reflect the response of the three species under long-term drought stress. Therefore, it is necessary to conduct long-term drought stress experiments on the three species in the field.
4. Materials and Methods
4.1. Plant Materials
Plant materials of S. trilobata, S. calendulacea, and their hybrid species were collected from the South China Botanical Garden, which is affiliated with the Chinese Academy of Sciences in Guangzhou, China. Stem segments (about 120 per species) of the three species with leaves removed were used for the asexual reproduction of the plant materials. Each stem segment was about 15 cm long and contained at least two stem nodes. The stem segments were placed in a beaker containing tap water, and the water surface in the beaker was higher than the lower stem nodes. The stem segments were cultivated in an incubator with a temperature, photoperiod, and light intensity of 25 °C, 14/10 h, and 100 μmol m−2 s−1, respectively. The plantlets were planted in a Hogland nutrient solution after two weeks of cultivation. When the plants grew 5–6 pairs of leaves, 13% PEG-6000 solution was used for drought stress experiments. In a non-transparent plastic pot containing 13% PEG-6000 solution (25 cm in height, 23 cm in lower diameter, and 26 cm in upper diameter), 15 plants of each species were planted. The roots of the three species were submerged in the 13% PEG-6000 solution. There were 5 (pots) replicates per treatment.
4.2. Relative Water Content of Leaves
One plant per pot (5 replicates) was selected, and two leaves (third and fourth leaf positions) were taken from each plant. The leaves were immediately weighed (A1) after being cut off from the stem. Then, the leaves were submerged in water for 24 h and weighed again (A2). Finally, the leaves were weighed (A3) a third time after being dried at 110 °C for 30 min and 70 °C for 24 h. Relative water content was calculated according to Zhang et al. [40]. Relative water content (%) = (A1 − A3)/(A2 − A3) × 100%.
4.3. Abscisic Acid, Proline, and Soluble Sugar
One plant per pot (5 replicates) was selected, and the leaves at the third and fourth leaf positions were examined to determine the abscisic acid (ABA) content using an ELISA kit (Zike, Shenzhen, China). First, 0.2 g of fresh leaves was accurately weighed and ground in an ice-water bath with 1 mL of 0.05 M phosphate buffer (pH = 7.4). A 2.0 mL centrifuge tube containing 0.5 mL of phosphate buffer was used to collect the ground homogenate. After standing at 4 °C for 2 h, the ABA content was determined according to the manufacturer’s instructions.
One plant per pot (5 replicates) was selected, and the leaves at the third and fourth leaf positions were examined to determine the proline content, according to Zhang et al. [40]. First, 0.25 g of fresh leaves was accurately weighed, and the leaves were ground with 9 mL of 80% ethanol. A 15 mL centrifuge tube containing 0.02 g of active carbon was used to collect the ground homogenate. After standing for 1 h with no light, the ground homogenate was filtered and collected. Standard curves were created using different concentrations of proline, and the proline content was calculated via the standard curves.
One plant per pot (5 replicates) was selected, and the leaves at the second to sixth leaf positions were examined to determine the soluble sugar content, according to Zhang et al. [40]. The leaves were cut from the stem and washed with deionized water. The leaves were dried at 110 °C for 30 min and then at 70 °C until they reached a constant weight. The dry leaves were ground into a powder and sieved with a sieve (0.425 mm). A centrifuge tube (15 mL) containing 8 mL of distilled water was used to collect 8 mg of the sieved sample. The centrifuge tube containing the sample was subjected to an 80 °C water bath for 1 h. After adding 30 mg of activated carbon and mixing well, the centrifuge tube was subjected to an 80 °C water bath for 30 min. After filtration, 10 mL of anthrone sulfuric acid and 1 mL of filtrate were mixed in a 15 mL centrifuge tube. The centrifuge tube containing the mixed liquid was subjected to a 90 °C water bath for 15 min and then cooled. The absorbance was determined at 620 nm. Standard curves were created using different concentrations of glucose, and then the soluble sugar content was calculated.
4.4. Enzyme Activity
One plant per pot (5 replicates) was selected, and the leaves at the third and fourth leaf positions were examined to detect the enzyme activity. First, 0.15 g of fresh leaves was accurately weighed and ground in an ice-water bath with 1.5 mL of 0.05 M phosphate buffer containing 0.1% Triton, 0.1 M ethylene diamine tetraacetic acid (EDTA), and 2% polyvinyl pyrrolidone (PVP) (pH = 7.8). The ground homogenate was collected in a 2.0 mL centrifuge tube, and then the centrifuge tube containing the ground homogenate was centrifuged at 4 °C for 15 min at 12,000 g. The catalase (CAT), peroxidase (POD), and superoxide dismutase (SOD) activities were determined according to Cai et al. [41].
4.5. Malondialdehyde, Hydrogen Peroxide, and Superoxide Anion
One plant per pot (5 replicates) was selected, and the leaves at the third and fourth leaf positions were examined to determine the malondialdehyde (MDA) content, according to Sun et al. [23]. First, 0.15 g of fresh leaves was accurately weighed and ground with 10% trichloroacetic acid (2 mL). A 5.0 mL centrifuge tube was used to collect the ground homogenate, and then it was centrifuged at 4 °C for 15 min at 4000× g. A 10 mL centrifuge tube containing 1 mL of 0.67% 2-thiobarbituric acid was used to collect 1 mL of supernatant, and then the centrifuge tube containing 2 mL of the mixed liquid was boiled for 20 min. The absorbance was determined at 600, 532, and 450 nm.
3,3′-diaminobenzidine (DAB) was used to determine hydrogen peroxide, and superoxide anion was determined by nitroblue tetrazolium (NBT), according to Liu et al. [42]. The leaves were completely submerged in 0.5 mg mL−1 of DAB dissolved with 0.05 M phosphate solution (pH = 7.0) for 4 h in the dark after being vacuumized three times, and then 80% acetone was used for decolorization. The hydrogen peroxide showed brown matter in the leaves. The leaves were completely submerged in 1 mg mL−1 of NBT dissolved with 0.05 M phosphate solution (pH = 6.4) for 4 h in the dark after being vacuumized three times, and then 80% acetone was used for decolorization. The superoxide anion showed a blue substance in the leaves.
4.6. Gas Exchange and Fluorescence Parameters
One plant per pot (5 replicates) was selected, and the leaves at the third and fourth leaf positions were examined to determine the gas exchange and fluorescence parameters, according to Zhang et al. [43], with an LI-6800 (LI-COR, Lincoln, NE, USA). The light intensity in the detection chamber was 900 μmol m−2 s−1, the ratio of red to blue light was 9:1, and the CO2 concentration was 400 μmol mol−1. The net photosynthetic rate (Pn), transpiration rate (Tr), stomatal conductance (Gs), and intercellular CO2 content (Ci) were recorded after the value became relatively stable. The chlorophyll fluorescence parameters of maximum photochemical efficiency (Fv/Fm), actual photochemical efficiency (yield), electron transport rate (ETR), and non-photochemical quenching (NPQ) were measured using a chlorophyll fluorescence imaging system (Technologica, Colchester, UK), according to Baker [44]. The leaves were dark-adapted for 30 min. The minimum fluorescence (Fo) and the maximum fluorescence (Fm) of the dark-adapted leaves were measured using a 6000 μmol m−2 s−1 saturating pulse. Fv/Fm = (Fm − Fo)/Fm. The actual fluorescence (F′) and the maximum fluorescence (Fm′) of the leaves exposed to light (PPFD = 900 μmol m−2 s−1) for 5 min were measured. Yield = (Fm′ − F′)/Fm′. ETR = Yield × PPFD × 0.85 × 0.5, where the coefficient 0.85 was the leaf absorptance and the coefficient 0.5 indicated that the absorbed PPFD was equally allocated between PSI and PSII. NPQ = (Fm/Fm′) − 1.
4.7. Stomatal Observations
The leaves at the fourth leaf position were examined for stomatal characteristics. The leaves were cut into 3 × 3 mm fragments and then collected in a centrifuge tube containing 3 mL fixing solution (2% polyoxymethylene and 2.5% glutaraldehyde). Different concentrations of ethanol were used for fragment dehydration after the fragments were fixed for more than 15 h at 4 °C. A 30 nm gold layer was sprayed after the dehydrated fragments dried [43]. Scanning electron microscopy (Q25, FEI, Hillsboro, OR, USA) was used to record stomatal size.
4.8. Gene Expression Analysis
One plant per pot (5 replicates) was selected, and gene expression was detected in the leaves at the second leaf position. Gene expression analysis was conducted according to Zhang et al. [24]. Total RNA from the leaf samples was extracted using TRIzol reagent (Invitrogen, Waltham, MA, USA) according to the manufacturer’s instructions. Complementary DNA was synthesized using TopScript™ RT DryMIX (dT18) (Enzynomic, Daejeon, Republic of Korea) according to the manufacturer’s instructions. Quantitative reverse transcription polymerase chain reaction analysis was performed using a SYBR Premix Ex Taq™ II Kit (Takara, Tokyo, Japan) in conjunction with a Bio-Rad CFX96 Real-Time PCR System (CFX96, Bio-Rad, Hercules, CA, USA). GAPDH was used as a reference gene, the primer pairs for which were 5′-GGCTCGACTCGGCATATTCT-3′ (forward) and 5′-CGGCTGCCTTTGGTCTATGT-3′ (reverse). The primer pairs were 5′-TAGCCCAACAACACTTCACTCA-3′ (forward) and 5′-AGCCACCAACACCCTTATGT-3′ (reverse) for ABA1, and 5′-GGCATTGGACGCGATTGAAG-3′ (forward) and 5′-TCGAACAACGGGTTAGCTCC-3′ (reverse) for NCED. Analysis of the genes’ relative expression levels was conducted according to Livak and Schmittgen [45].
4.9. Statistical Analysis
One-way analysis of variance (ANOVA) and Duncan’s post hoc test were used for statistical significance analysis using SPSS Statistics 19.0 (IBM, Armonk, NY, USA) at p < 0.05. SigmaPlot 12.5 (Systat Software Inc., San Jose, CA, USA) was used to plot the data.
5. Conclusions
The tolerance of the hybrid to drought stress was weaker than that of the invasive species S. trilobata but stronger than that of the native species S. calendulacea. Under drought stress, the invasive species S. trilobata rapidly synthesized more ABA to reduce the leaf stomata opening and water loss. The water loss rate in the hybrid leaves was slower than that in the native species S. calendulacea, and it was the slowest in the invasive species S. trilobata. The relative water content was 61% in the hybrid, 54% in S. calendulacea, and 67% in S. trilobata, and it decreased by 33%, 41%, and 28%, respectively, at 8 h under drought stress. The proline content was 23.6 μg g−1 in S. calendulacea, 27.9 μg g−1 in S. trilobata, and 25.5 μg g−1 in the hybrid at 8 h. The soluble sugar content was 4.5 mg g−1 in S. calendulacea, 5.3 mg g−1 in S. trilobata, and 5.1 mg g−1 in the hybrid at 8 h. The antioxidant capacity was the strongest in S. trilobata, while it was the weakest in S. calendulacea. The MDA content was 6.9 μg g−1 in S. calendulacea, 4.3 μg g−1 in S. trilobata, and 5.2 μg g−1 in the hybrid at 8 h. The MDA content was the highest in S. calendulacea and the lowest in S. trilobata, and the hybrid showed intermediate results between its two parents. The Fv/Fm value was 7.1 in S. calendulacea, 7.5 in S. trilobata, and 7.4 in the hybrid at 8 h. The drought resistance of the hybrid did not surpass that of its invasive parent, but it was stronger than that of its native parent, S. calendulacea. However, the molecular regulatory mechanisms of the hybrid and its parents in response to drought stress are still unclear and require further research.
Author Contributions
Conceptualization, Q.Z. and C.P.; software, Y.W.; validation, Q.Z., Y.W. and C.P.; investigation, Q.Z., Y.W. and Z.W.; data curation, G.C.; writing—original draft preparation, Q.Z.; writing—review and editing, C.P.; supervision, C.P.; funding acquisition, Q.Z. and C.P. All authors have read and agreed to the published version of the manuscript.
Funding
This study was supported by the Guangdong Basic and Applied Basic Research Foundation (2022A1515110960) and the National Natural Science Foundation of China (31870374, 31570398).
Data Availability Statement
Data are available in the article.
Conflicts of Interest
The authors declare no conflicts of interest.
References
- Gurvich, D.E.; Tecco, P.A.; Díaz, S. Plant invasions in undisturbed ecosystems: The triggering attribute approach. J. Veg. Sci. 2005, 16, 723–728. [Google Scholar] [CrossRef]
- Daleo, P.; Alberti, J.; Iribarne, O. Biological invasions and the neutral theory. Divers. Distrib. 2009, 15, 547–553. [Google Scholar] [CrossRef]
- Kueffer, C.; Pysek, P.; Richardson, D.M. Integrative invasion science: Model systems, multi-site studies, focused meta-analysis and invasion syndromes. New Phytol. 2013, 200, 615–633. [Google Scholar] [CrossRef]
- Mallet, J. Hybridization as an invasion of the genome. Trends Ecol. Evol. 2005, 20, 229–237. [Google Scholar] [CrossRef]
- Schierenbeck, K.A.; Ellstrand, N.C. Hybridization and the evolution of invasiveness in plants and other organisms. Biol. Invasions 2009, 11, 1093–1105. [Google Scholar] [CrossRef]
- Zhang, Q.L.; Chen, G.X.; Shao, L.; Gu, X.Q.; Huang, J.D.; Peng, C.L. The hybridization between Sphagneticola trilobata (L.) Pruski and Sphagneticola calendulacea (L.) Pruski improved the tolerance of hybrid to cadmium stress. Chemosphere 2020, 249, 126540. [Google Scholar] [CrossRef]
- Mooney, H.A.; Cleland, E.E. The evolutionary impact of invasive species. Proc. Natl. Acad. Sci. USA 2001, 98, 5446–5451. [Google Scholar] [CrossRef]
- Yi, C.X.; Wei, S.H.; Hendrey, G. Warming climate extends dryness-controlled areas of terrestrial carbon sequestration. Sci. Rep. 2014, 4, 5472. [Google Scholar] [CrossRef]
- Abreha, K.B.; Enyew, M.; Carlsson, A.S.; Vetukuri, R.R.; Feyissa, T.; Motlhaodi, T.; Ng’uni, D.; Geleta, M. Sorghum in dryland: Morphological, physiological, and molecular responses of sorghum under drought stress. Planta 2022, 255, 20. [Google Scholar] [CrossRef]
- Nicotra, A.B.; Atkin, O.K.; Bonser, S.P.; Davidson, A.M.; Finnegan, E.J.; Mathesius, U.; Poot, P.; Purugganan, M.D.; Richards, C.L.; Valladares, F.; et al. Plant phenotypic plasticity in a changing climate. Trends Plant Sci. 2010, 15, 684–692. [Google Scholar] [CrossRef]
- Basu, S.; Ramegowda, V.; Kumar, A.; Pereira, A. Plant adaptation to drought stress. F1000Research 2016, 5, 1554. [Google Scholar] [CrossRef] [PubMed]
- Xu, Z.; Zhou, G.; Shimizu, H. Plant responses to drought and rewatering. Plant Signal. Behav. 2010, 5, 649–654. [Google Scholar] [CrossRef] [PubMed]
- Li, J.J.; Li, Y.; Yin, Z.G.; Jiang, J.H.; Zhang, M.H.; Guo, X.; Ye, Z.J.; Zhao, Y.; Xiong, H.Y.; Zhang, Z.Y.; et al. OsASR5 enhances drought tolerance through a stomatal closure pathway associated with ABA and H2O2 signalling in rice. Plant Biotechnol. J. 2017, 15, 183–196. [Google Scholar] [CrossRef] [PubMed]
- Gill, S.S.; Tuteja, N. Reactive oxygen species and antioxidant machinery in abiotic stress tolerance in crop plants. Plant Physiol. Biochem. 2010, 48, 909–930. [Google Scholar] [CrossRef] [PubMed]
- Murata, N.; Allakhverdiev, S.I.; Nishiyama, Y. The mechanism of photoinhibition: Re-evaluation of the roles of catalase, α-tocopherol, non-photochemical quenching, and electron transport. Bba-Bioenergetics 2012, 1817, 1127–1133. [Google Scholar] [CrossRef] [PubMed]
- Zhang, T.J.; Zheng, J.; Yu, Z.C.; Gu, X.Q.; Tian, X.S.; Peng, C.L.; Chow, W.S. Variations in photoprotective potential along gradients of leaf development and plant succession in subtropical forests under contrasting irradiances. Environ. Exp. Bot. 2018, 154, 23–32. [Google Scholar] [CrossRef]
- Xu, C.B.; Li, X.M.; Zhang, L.H. The Effect of calcium chloride on growth, photosynthesis, and antioxidant responses of under drought conditions. PLoS ONE 2013, 8, e68214. [Google Scholar] [CrossRef] [PubMed]
- Yasmin, H.; Rashid, U.; Hassan, M.N.; Nosheen, A.; Naz, R.; Ilyas, N.; Sajjad, M.; Azmat, A.; Alyemeni, M.N. Volatile organic compounds produced by alleviated drought stress by modulating defense system in Maize (Zea mays L.). Physiol. Plant. 2021, 172, 896–911. [Google Scholar] [CrossRef] [PubMed]
- Zarrinabadi, I.G.; Razmjoo, J.; Mashhadi, A.A.; Mojeni, H.K.; Boroomand, A. Physiological response and productivity of pot marigold (Calendula officinalis) genotypes under water deficit. Ind. Crop. Prod. 2019, 139, 111488. [Google Scholar] [CrossRef]
- Gao, J.M.; Xiao, Q.; Ding, L.P.; Chen, M.J.; Yin, L.; Li, J.Z.; Zhou, S.Y.; He, G.Y. Differential responses of lipid peroxidation and antioxidants in and subjected to drought stress. Plant Growth Regul. 2008, 56, 89–95. [Google Scholar] [CrossRef]
- Wu, W.; Zhou, R.C.; Ni, G.Y.; Shen, H.; Ge, X.J. Is a new invasive herb emerging? Molecular confirmation and preliminary evaluation of natural hybridization between the invasive Sphagneticola trilobata (Asteraceae) and its native congener S. calendulacea in South China. Biol. Invasions 2013, 15, 75–88. [Google Scholar] [CrossRef]
- Ni, G.Y.; Zhao, P.; Wu, W.; Lu, X.K.; Zhao, X.H.; Zhu, L.W.; Niu, J.F. A hybrid of the invasive plant has similar competitive ability but different response to nitrogen deposition compared to parent. Ecol. Res. 2014, 29, 331–339. [Google Scholar] [CrossRef]
- Sun, Z.Y.; Chen, Y.Q.; Schaefer, V.; Liang, H.M.; Li, W.H.; Huang, S.Q.; Peng, C.L. Responses of the hybrid between Sphagneticola trilobata and Sphagneticola calendulacea to low temperature and weak light characteristic in South China. Sci. Rep. 2015, 5, 16906. [Google Scholar] [CrossRef] [PubMed]
- Zhang, Q.L.; Chen, G.X.; Ke, W.Q.; Peng, C.L. Adaptation of the invasive plant Sphagneticola trilobata to flooding stress by hybridization with native relatives. Int. J. Mol. Sci. 2024, 25, 6738. [Google Scholar] [CrossRef] [PubMed]
- Huang, P.; Xu, Z.; He, W.; Yang, H.; Li, B.; Ding, W.; Lei, Y.; Abbas, A.; Hameed, R.; Wang, C.; et al. The cooperation regulation of antioxidative systemand hormone contents on physiological responses of Wedelia trilobata and Wedelia chinensis under simulated drought environment. Plants 2024, 13, 472. [Google Scholar] [CrossRef] [PubMed]
- Muhammad, T.; Zhang, J.; Ma, Y.L.; Li, Y.S.; Zhang, F.; Zhang, Y.; Liang, Y. Overexpression of a mitogen-activated protein kinase SlMAPK3 positively regulates tomato tolerance to cadmium and drought stress. Molecules 2019, 24, 556. [Google Scholar] [CrossRef] [PubMed]
- Kosar, F.; Alshallash, K.S.; Akram, N.A.; Sadiq, M.; Ashraf, M.; Alkhalifah, D.H.M.; Latef, A.A.H.A.; Elkelish, A. Trehalose-induced regulations in nutrient status and secondary metabolites of drought-stressed sunflower (Helianthus annuus L.) plants. Plants 2022, 11, 2780. [Google Scholar] [CrossRef]
- Song, L.Y.; Chow, W.S.; Sun, L.L.; Li, C.H.; Peng, C.L. Acclimation of photosystem II to high temperature in two Wedelia species from different geographical origins: Implications for biological invasions upon global warming. J. Exp. Bot. 2010, 61, 4087–4096. [Google Scholar] [CrossRef] [PubMed]
- Huang, P.; Shen, F.Y.; Abbas, A.; Wang, H.; Du, Y.Z.; Du, D.L.; Hussain, S.; Javed, T.; Alamri, S. Effects of different nitrogen forms and competitive treatments on the growth and antioxidant system of Wedelia trilobata and Wedelia chinensis under high nitrogen concentrations. Front. Plant Sci. 2022, 13, 851099. [Google Scholar] [CrossRef]
- Guadagno, C.R.; Ewers, B.E.; Speckman, H.N.; Aston, T.L.; Huhn, B.J.; DeVore, S.B.; Ladwig, J.T.; Strawn, R.N.; Weinig, C. Dead or alive? Using membrane failure and chlorophyll a fluorescence to predict plant mortality from drought. Plant Physiol. 2017, 175, 223–234. [Google Scholar] [CrossRef]
- Sun, L.Y.; Li, X.N.; Wang, Z.S.; Sun, Z.W.; Zhu, X.C.; Liu, S.Q.; Song, F.B.; Liu, F.L.; Wang, Y.J. Cold priming induced tolerance to subsequent low temperature stress is enhanced by melatonin application during recovery in wheat. Molecules 2018, 23, 1091. [Google Scholar] [CrossRef]
- Zhang, Q.L.; Chen, G.X.; Huang, J.D.; Peng, C.L. Comparison of the ability to control water loss in the detached leaves of Wedelia trilobata, Wedelia chinensis, and their hybrid. Plants 2020, 9, 1227. [Google Scholar] [CrossRef] [PubMed]
- Sato, H.; Mizoi, J.; Shinozaki, K.; Yamaguchi-Shinozaki, K. Complex plant responses to drought and heat stress under climate change. Plant J. 2024, 117, 1873–1892. [Google Scholar] [CrossRef] [PubMed]
- Akhtar, G.; Faried, H.N.; Razzaq, K.; Ullah, S.; Wattoo, F.M.; Shehzad, M.A.; Sajjad, Y.; Ahsan, M.; Javed, T.; Dessoky, E.S.; et al. Chitosan-induced physiological and biochemical regulations confer drought tolerance in pot marigold (Calendula officinalis L.). Agronomy 2022, 12, 474. [Google Scholar] [CrossRef]
- Cominelli, E.; Galbiati, M.; Vavasseur, A.; Conti, L.; Sala, T.; Vuylsteke, M.; Leonhardt, N.; Dellaporta, S.L.; Tonelli, C. A guard-cell-specific MYB transcription factor regulates stomatal movements and plant drought tolerance. Curr. Biol. 2005, 15, 1196–1200. [Google Scholar] [CrossRef]
- Bauer, H.; Ache, P.; Lautner, S.; Fromm, J.; Hartung, W.; Al-Rasheid, K.A.S.; Sonnewald, S.; Sonnewald, U.; Kneitz, S.; Lachmann, N.; et al. The stomatal response to reduced relative humidity requires guard cell-autonomous ABA synthesis. Curr. Biol. 2013, 23, 53–57. [Google Scholar] [CrossRef] [PubMed]
- Scuffi, D.; Alvarez, C.; Laspina, N.; Gotor, C.; Lamattina, L.; García-Mata, C. Hydrogen sulfide generated by L-cysteine desulfhydrase acts upstream of nitric oxide to modulate ABA-dependent stomatal closure. Plant Physiol. 2014, 166, 2065–2076. [Google Scholar] [CrossRef]
- Mircea, D.M.; Calone, R.; Shakya, R.; Saavedra, M.F.; Sestras, R.E.; Boscaiu, M.; Sestras, A.F.; Vicente, O. Use of multivariate analysis in screening for drought tolerance in ornamental Asteraceae species. Agronomy 2023, 13, 687. [Google Scholar] [CrossRef]
- Reddy, P.S.; Jogeswar, G.; Rasineni, G.K.; Maheswari, M.; Reddy, A.R.; Varshney, R.K.; Kishor, P.B.K. Proline over-accumulation alleviates salt stress and protects photosynthetic and antioxidant enzyme activities in transgenic sorghum [Sorghum bicolor (L.) Moench]. Plant Physiol. Biochem. 2015, 94, 104–113. [Google Scholar] [CrossRef]
- Zhang, Q.L.; Liu, X.J.; Xu, D.P.; Hong, Z.; Zhang, N.N.; Cui, Z.Y. Effects of drought and host on the growth of seedlings in pot culture. Int. J. Mol. Sci. 2022, 23, 11241. [Google Scholar] [CrossRef]
- Cai, M.; Lin, X.; Peng, J.; Zhang, J.; Chen, M.; Huang, J.; Chen, L.; Sun, F.; Ding, W.; Peng, C. Why is the invasive plant Sphagneticola trilobata more resistant to high temperature than its native congener? Int. J. Mol. Sci. 2021, 22, 748. [Google Scholar] [CrossRef] [PubMed]
- Liu, Y.D.; Ren, D.T.; Pike, S.; Pallardy, S.; Gassmann, W.; Zhang, S.Q. Chloroplast-generated reactive oxygen species are involved in hypersensitive response-like cell death mediated by a mitogen-activated protein kinase cascade. Plant J. 2007, 51, 941–954. [Google Scholar] [CrossRef] [PubMed]
- Zhang, Q.L.; Zhai, J.J.; Shao, L.; Lin, W.; Peng, C.L. Accumulation of anthocyanins: An adaptation strategy of to low temperature in winter. Front. Plant Sci. 2019, 10, 1049. [Google Scholar] [CrossRef] [PubMed]
- Baker, N.R. Chlorophyll fluorescence: A probe of photosynthesis in vivo. Annu. Rev. Plant Biol. 2008, 59, 89–113. [Google Scholar] [CrossRef] [PubMed]
- Livak, K.J.; Schmittgen, T.D. Analysis of relative gene expression data using real-time quantitative PCR and the 2−ΔΔCT method. Methods 2001, 25, 402–408. [Google Scholar] [CrossRef]
Disclaimer/Publisher’s Note: The statements, opinions and data contained in all publications are solely those of the individual author(s) and contributor(s) and not of MDPI and/or the editor(s). MDPI and/or the editor(s) disclaim responsibility for any injury to people or property resulting from any ideas, methods, instructions or products referred to in the content. |
© 2024 by the authors. Licensee MDPI, Basel, Switzerland. This article is an open access article distributed under the terms and conditions of the Creative Commons Attribution (CC BY) license (https://creativecommons.org/licenses/by/4.0/).




