Influence of Anthocyanin Expression on the Performance of Photosynthesis in Sweet Orange, Citrus sinensis (L.) Osbeck
Abstract
1. Introduction
2. Materials and Methods
2.1. Plant Transformation and Vector Construction
2.2. Molecular Analysis of Transformants through Quantitative Real-Time Reverse Transcriptase-PCR (qRT-PCR)
2.3. Microscopic Imaging
2.4. Leaf Gas Exchange and Chlorophyll Fluorescence Measurements
2.5. Leaf Pigment Extraction
2.6. Analyses of Pigments with High-Performance Liquid Chromatography (HPLC)
2.7. Statistical Analysis
3. Results
3.1. Generation of the Vitis vinifera mybA1 (VvmybA1) Transgenic ‘Hamlin’ Plants
3.2. Localization of Anthocyanins in Leaf Tissues
3.3. Expression of VvmybA1 Does Not Alter Leaf Gas Exchange
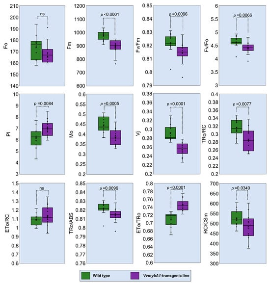
3.4. Expression of VvmybA1 Gene Causes Differential Response of Photosynthetic Machinery
3.5. Quantifications of Chlorophyll and Carotenoid Pigments
3.6. Expression of VvmybA1 Gene Induces Higher Expression of RuBP and RCA
4. Discussion
5. Conclusions
Supplementary Materials
Author Contributions
Funding
Data Availability Statement
Acknowledgments
Conflicts of Interest
References
- Chen, L.; Hu, B.; Qin, Y.; Hu, G.; Zhao, J. Advance of the negative regulation of anthocyanin biosynthesis by MYB transcription factors. Plant Physiol. Biochem. 2019, 136, 178–187. [Google Scholar] [CrossRef]
- Manetas, Y. Why some leaves are anthocyanic and why most anthocyanic leaves are red? Flora-Morphol. Distrib. Funct. Ecol. Plants 2006, 201, 163–177. [Google Scholar] [CrossRef]
- Karageorgou, P.; Manetas, Y. The importance of being red when young: Anthocyanins and the protection of young leaves of Quercus coccifera from insect herbivory and excess light. Tree Physiol. 2006, 26, 613–621. [Google Scholar] [CrossRef]
- Lev-Yadun, S.; Gould, K.S. Role of Anthocyanins in Plant Defence. In Anthocyanins: Biosynthesis, Functions, and Applications; Springer: New York, NY, USA, 2009; pp. 22–28. [Google Scholar] [CrossRef]
- Piccolo, E.; Landi, M.; Giordani, T.; Lorenzini, G.; Malorgio, F.; Massai, R.; Nali, C.; Pellegrini, E.; Rallo, G.; Remorini, D.; et al. Can anthocyanin presence ameliorate the photosynthetic performance of Prunus saplings subjected to polyethylene glycol-simulated water stress? Photosynthetica 2020, 58, 799–807. [Google Scholar] [CrossRef]
- Agati, G.; Guidi, L.; Landi, M.; Tattini, M. Anthocyanins in photoprotection: Knowing the actors in play to solve this complex ecophysiological issue. New Phytol. 2021, 232, 2228–2235. [Google Scholar] [CrossRef]
- Quattrocchio, F.; Wing, J.F.; Leppen, H.T.; Mol, J.N.; Koes, R.E. Regulatory genes controlling anthocyanin pigmentation are functionally conserved among plant species and have distinct sets of target genes. Plant Cell 1993, 5, 1497–1512. [Google Scholar] [CrossRef]
- Tanaka, Y. Plant pigments for coloration: Anthocyanins, betalains and carotenoids. Plant J. 2008, 54, 733–749. [Google Scholar] [CrossRef] [PubMed]
- Winkel-Shirley, B. Flavonoid biosynthesis. A colorful model for genetics, biochemistry, cell biology, and biotechnology. Plant Physiol. 2001, 126, 485–493. [Google Scholar] [CrossRef]
- Morita, Y.; Saitoh, M.; Hoshino, A.; Nitasaka, E.; Iida, S. Isolation of cDNAs for R2R3-MYB, bHLH and WDR Transcriptional Regulators and Identification of c and ca Mutations Conferring White Flowers in the Japanese Morning Glory. Plant Cell Physiol. 2006, 47, 457–470. [Google Scholar] [CrossRef]
- Hichri, I.; Heppel, S.C.; Pillet, J.; Léon, C.; Czemmel, S.; Delrot, S.; Lauvergeat, V.; Bogs, J. The Basic Helix-Loop-Helix Transcription Factor MYC1 Is Involved in the Regulation of the Flavonoid Biosynthesis Pathway in Grapevine. Mol. Plant 2010, 3, 509–523. [Google Scholar] [CrossRef]
- Dutt, M.; Stanton, D.; Grosser, J.W. Ornacitrus: Development of Genetically Modified Anthocyanin-expressing Citrus with Both Ornamental and Fresh Fruit Potential. J. Am. Soc. Hortic. Sci. 2016, 141, 54–61. [Google Scholar] [CrossRef]
- Dutt, M.; Mahmoud, L.M.; Weber, K.C.; Satpute, A.; Stanton, D.; Qiu, W.; Soares, J.M.; Reuss, L.; Wang, Y.; Grosser, J.W.; et al. Anthocitrus: Evaluation of anthocyanin accumulating “Mexican” lime fruits produced by overexpressing the Ruby transcription factor gene from Citrus sinensis “Moro”. Plant Cell Tissue Organ Cult. (PCTOC) 2023, 155, 283–296. [Google Scholar] [CrossRef]
- Borevitz, J.O.; Xia, Y.; Blount, J.; Dixon, R.A.; Lamb, C. Activation tagging identifies a conserved MYB regulator of phenylpropanoid biosynthesis. Plant Cell 2000, 12, 2383–2393. [Google Scholar] [CrossRef] [PubMed]
- Kim, C.Y.; Ahn, Y.O.; Kim, S.H.; Kim, Y.H.; Lee, H.S.; Catanach, A.S.; Jacobs, J.M.; Conner, A.J.; Kwak, S.S. The sweet potato IbMYB1 gene as a potential visible marker for sweet potato intragenic vector system. Physiol. Plant. 2010, 139, 229–240. [Google Scholar] [PubMed]
- Kortstee, A.J.; Khan, S.A.; Helderman, C.; Trindade, L.M.; Wu, Y.; Visser, R.G.F.; Brendolise, C.; Allan, A.; Schouten, H.J.; Jacobsen, E. Anthocyanin production as a potential visual selection marker during plant transformation. Transgenic Res. 2011, 20, 1253–1264. [Google Scholar] [CrossRef]
- Hijaz, F.; Nehela, Y.; Jones, S.E.; Dutt, M.; Grosser, J.W.; Manthey, J.A.; Killiny, N. Metabolically engineered anthocyanin-producing lime provides additional nutritional value and antioxidant potential to juice. Plant Biotechnol. Rep. 2018, 12, 329–346. [Google Scholar] [CrossRef]
- Murchie, E.H.; Pinto, M.; Horton, P. Agriculture and the new challenges for photosynthesis research. New Phytol. 2009, 181, 532–552. [Google Scholar] [CrossRef] [PubMed]
- Gould, K.S.; Jay-Allemand, C.; Logan, B.A.; Baissac, Y.; Bidel, L.P. When are foliar anthocyanins useful to plants? Re-evaluation of the photoprotection hypothesis using Arabidopsis thaliana mutants that differ in anthocyanin accumulation. Environ. Exp. Bot. 2018, 154, 11–22. [Google Scholar] [CrossRef]
- Nishio, J.N. Why are higher plants green? Evolution of the higher plant photosynthetic pigment complement. Plant Cell Environ. 2000, 23, 539–548. [Google Scholar] [CrossRef]
- Guidi, L.; Tattini, M.; Landi, M. How does chloroplast protect chlorophyll against excessive light? Chlorophyll 2017, 21, 21–36. [Google Scholar]
- Butelli, E.; Licciardello, C.; Zhang, Y.; Liu, J.; Mackay, S.; Bailey, P.; Reforgiato-Recupero, G.; Martin, C. Retrotransposons Control Fruit-Specific, Cold-Dependent Accumulation of Anthocyanins in Blood Oranges. Plant Cell 2012, 24, 1242–1255. [Google Scholar] [CrossRef] [PubMed]
- Krezdorn, A. Citrus cultivars for the tropics. Proc. Fla. State Hortic. Soc. 1970, 83, 336–340. [Google Scholar]
- Lee, H.S. Characterization of Major Anthocyanins and the Color of Red-Fleshed Budd Blood Orange (Citrus sinensis). J. Agric. Food Chem. 2002, 50, 1243–1246. [Google Scholar] [CrossRef] [PubMed]
- Fabroni, S.; Ballistreri, G.; Amenta, M.; Rapisarda, P. Anthocyanins in different Citrus species: An UHPLC-PDA-ESI/MSn-assisted qualitative and quantitative investigation. J. Sci. Food Agric. 2016, 96, 4797–4808. [Google Scholar] [CrossRef]
- Killiny, N.; Jones, S.E.; Nehela, Y.; Hijaz, F.; Dutt, M.; Gmitter, F.G.; Grosser, J.W. All roads lead to Rome: Towards understanding different avenues of tolerance to huanglongbing in citrus cultivars. Plant Physiol. Biochem. 2018, 129, 1–10. [Google Scholar] [CrossRef]
- Dutt, M.; Grosser, J.W. Evaluation of parameters affecting Agrobacterium-mediated transformation of citrus. Plant Cell Tissue Organ Cult. (PCTOC) 2009, 98, 331–340. [Google Scholar] [CrossRef]
- Livak, K.J.; Schmittgen, T.D. Analysis of relative gene expression data using real-time quantitative PCR and the 2−ΔΔCT method. Methods 2001, 25, 402–408. [Google Scholar] [CrossRef]
- Mahmoud, L.M.; Kaur, P.; Stanton, D.; Grosser, J.W.; Dutt, M. A cationic lipid mediated CRISPR/Cas9 technique for the production of stable genome edited citrus plants. Plant Methods 2022, 18, 33. [Google Scholar] [CrossRef]
- Stirbet, A.; Govindjee. On the relation between the Kautsky effect (chlorophyll a fluorescence induction) and Photosystem II: Basics and applications of the OJIP fluorescence transient. J. Photochem. Photobiol. B Biol. 2011, 104, 236–257. [Google Scholar] [CrossRef]
- Killiny, N.; Nehela, Y. One target, two mechanisms: The impact of ‘Candidatus Liberibacter asiaticus’ and its vector, Diaphorina citri, on citrus leaf pigments. Mol. Plant-Microbe Interact. 2017, 30, 543–556. [Google Scholar] [CrossRef]
- Wei, X.; Chen, C.; Yu, Q.; Gady, A.; Yu, Y.; Liang, G.; Gmitter, F.G., Jr. Comparison of carotenoid accumulation and biosynthetic gene expression between Valencia and Rohde Red Valencia sweet oranges. Plant Sci. 2014, 227, 28–36. [Google Scholar] [CrossRef] [PubMed]
- Steyn, W.J.; Wand, S.J.E.; Holcroft, D.M.; Jacobs, G. Anthocyanins in vegetative tissues: A proposed unified function in photoprotection. New Phytol. 2002, 155, 349–361. [Google Scholar] [CrossRef] [PubMed]
- Chalker-Scott, L. Environmental significance of anthocyanins in plant stress responses. Photochem. Photobiol. 1999, 70, 1–9. [Google Scholar] [CrossRef]
- Lee, D.W.; Lowry, J.B.; Stone, B.C. Abaxial Anthocyanin Layer in Leaves of Tropical Rain Forest Plants: Enhancer of Light Capture in Deep Shade. Biotropica 1979, 11, 70–77. [Google Scholar] [CrossRef]
- Lu, S.; Lu, X.; Zhao, W.; Liu, Y.; Wang, Z.; Omasa, K. Comparing vegetation indices for remote chlorophyll measurement of white poplar and Chinese elm leaves with different adaxial and abaxial surfaces. J. Exp. Bot. 2015, 66, 5625–5637. [Google Scholar] [CrossRef]
- Ntefidou, M.; Manetas, Y. Optical Properties of Hairs during the Early Stages of Leaf Development in Platanus orientalis. Funct. Plant Biol. 1996, 23, 535–538. [Google Scholar] [CrossRef]
- McClure, J.W. Physiology and functions of flavonoids. In The Flavonoids; Springer: New York, NY, USA, 1975; pp. 970–1055. [Google Scholar]
- Nick, P.; Ehmann, B.; Furuya, M.; Schafer, E. Cell communication, stochastic cell responses, and anthocyanin pattern in mustard cotyledons. Plant Cell 1993, 5, 541–552. [Google Scholar] [CrossRef][Green Version]
- Tattini, M.; Sebastiani, F.; Brunetti, C.; Fini, A.; Torre, S.; Gori, A.; Centritto, M.; Ferrini, F.; Landi, M.; Guidi, L. Dissecting molecular and physiological response mechanisms to high solar radiation in cyanic and acyanic leaves: A case study on red and green basil. J. Exp. Bot. 2017, 68, 2425–2437. [Google Scholar] [CrossRef]
- Hughes, N.M.; Gigantino, G.M.; Grace, M.H.; Hoffman, K.M.; Lila, M.A.; Willans, B.N.; Wommack, A.J. Photosynthetic Profiles of Green, Purple, and Spotted-Leaf Morphotypes of Tipularia discolor (Orchidaceae). Southeast. Nat. 2019, 18, 641–658. [Google Scholar] [CrossRef]
- Piccolo, E.L.; Landi, M.; Pellegrini, E.; Agati, G.; Giordano, C.; Giordani, T.; Lorenzini, G.; Malorgio, F.; Massai, R.; Nali, C.; et al. Multiple Consequences Induced by Epidermally-Located Anthocyanins in Young, Mature and Senescent Leaves of Prunus. Front. Plant Sci. 2018, 9, 917. [Google Scholar] [CrossRef]
- Garriga, M.; Retamales, J.B.; Romero-Bravo, S.; Caligari, P.D.; Lobos, G.A. Chlorophyll, anthocyanin, and gas exchange changes assessed by spectroradiometry in Fragaria chiloensis under salt stress. J. Integr. Plant Biol. 2014, 56, 505–515. [Google Scholar] [CrossRef] [PubMed]
- Lysenko, V.; Lazár, D.; Varduny, T. A method of a bicolor fast-Fourier pulse-amplitude modulation chlorophyll fluorometry. Photosynthetica 2018, 56, 1447–1452. [Google Scholar] [CrossRef]
- Kate, M.; Johnson, G.N. Chlorophyll fluorescence—A practical guide. J. Exp. Bot. 2000, 51, 659–668. [Google Scholar]
- Vincent, C.; Schaffer, B.; Rowland, D. Water-deficit priming of papaya reduces high-light stress through oxidation avoidance rather than anti-oxidant activity. Environ. Exp. Bot. 2018, 156, 106–119. [Google Scholar] [CrossRef]
- Wu, G.; Ma, L.; Sayre, R.T.; Lee, C.-H. Identification of the Optimal Light Harvesting Antenna Size for High-Light Stress Mitigation in Plants. Front. Plant Sci. 2020, 11, 505. [Google Scholar] [CrossRef]
- Syvertsen, J.; Smith, M. Light acclimation in citrus leaves. I. Changes in physical characteristics, chlorophyll, and nitrogen content. J. Am. Soc. Hortic. Sci. 1984, 109, 807–812. [Google Scholar] [CrossRef]
- Guha, A.; Vharachumu, T.; Khalid, M.F.; Keeley, M.; Avenson, T.J.; Vincent, C. Short-term warming does not affect intrinsic thermotolerance but induces strong sustaining photoprotection in tropical evergreen citrus genotypes. Plant Cell Environ. 2022, 45, 105–120. [Google Scholar] [CrossRef]
- Syvertsen, J. Light acclimation in citrus leaves. II. CO2 assimilation and light, water, and nitrogen use efficiency. J. Am. Soc. Hortic. Sci. 1984, 109, 812–817. [Google Scholar] [CrossRef]
- Kyparissis, A.; Grammatikopoulos, G.; Manetas, Y. Leaf morphological and physiological adjustments to the spectrally selective shade imposed by anthocyanins in Prunus cerasifera. Tree Physiol. 2007, 27, 849–857. [Google Scholar] [CrossRef]
- Manetas, Y.; Petropoulou, Y.; Psaras, G.K.; Drinia, A. Exposed red (anthocyanic) leaves of Quercus coccifera display shade characteristics. Funct. Plant Biol. 2003, 30, 265–270. [Google Scholar] [CrossRef]
- Nielsen, S.L.; Simonsen, A.-M. Photosynthesis and photoinhibition in two differently coloured varieties of Oxalis triangularis–The effect of anthocyanin content. Photosynthetica 2011, 49, 346–352. [Google Scholar] [CrossRef]
- Liakopoulos, G.; Nikolopoulos, D.; Klouvatou, A.; Vekkos, K.-A.; Manetas, Y.; Karabourniotis, G. The Photoprotective Role of Epidermal Anthocyanins and Surface Pubescence in Young Leaves of Grapevine (Vitis vinifera). Ann. Bot. 2006, 98, 257–265. [Google Scholar] [CrossRef] [PubMed]
- Smith, H.L.; McAusland, L.; Murchie, E.H. Don’t ignore the green light: Exploring diverse roles in plant processes. J. Exp. Bot. 2017, 68, 2099–2110. [Google Scholar] [CrossRef] [PubMed]
- Murchie, E.H.; Hubbart, S.; Chen, Y.; Peng, S.; Horton, P. Acclimation of Rice Photosynthesis to Irradiance under Field Conditions. Plant Physiol. 2002, 130, 1999–2010. [Google Scholar] [CrossRef]
- Ruban, A.V.; Murchie, E.H. Assessing the photoprotective effectiveness of non-photochemical chlorophyll fluorescence quenching: A new approach. Biochim. Biophys. Acta (BBA)–Bioenerg. 2012, 1817, 977–982. [Google Scholar] [CrossRef] [PubMed]
- Walla, P.J.; Yom, J.; Krueger, B.P.; Fleming, G.R. Two-Photon Excitation Spectrum of Light-Harvesting Complex II and Fluorescence Upconversion after One- and Two-Photon Excitation of the Carotenoids. J. Phys. Chem. B 2000, 104, 4799–4806. [Google Scholar] [CrossRef]
- Johnson, M.P.; Havaux, M.; Triantaphylides, C.; Ksas, B.; Pascal, A.A.; Robert, B.; Davison, P.A.; Ruban, A.V.; Horton, P. Elevated Zeaxanthin Bound to Oligomeric LHCII Enhances the Resistance of Arabidopsis to Photooxidative Stress by a Lipid-protective, Antioxidant Mechanism. J. Biol. Chem. 2007, 282, 22605–22618. [Google Scholar] [CrossRef] [PubMed]
- Davison, P.A.; Hunter, C.N.; Horton, P. Overexpression of β-carotene hydroxylase enhances stress tolerance in Arabidopsis. Nature 2002, 418, 203–206. [Google Scholar] [CrossRef]
- Suganami, M.; Suzuki, Y.; Tazoe, Y.; Yamori, W.; Makino, A. Co-overproducing Rubisco and Rubisco activase enhances photosynthesis in the optimal temperature range in rice. Plant Physiol. 2021, 185, 108–119. [Google Scholar] [CrossRef]
- Suganami, M.; Suzuki, Y.; Sato, T.; Makino, A. Relationship between Rubisco activase and Rubisco contents in transgenic rice plants with overproduced or decreased Rubisco content. Soil Sci. Plant Nutr. 2018, 64, 352–359. [Google Scholar] [CrossRef]







| Accession Number | Gene Symbol | Primer Sequences (5′ to 3′) |
|---|---|---|
| AB097923 | VvmybA1 | F-TGGCATAGTCACCACTTCAAA |
| R-CTTGTGAGGGTGAGGCTTTAT | ||
| XM_052431503.1 | rbcL | F-GTTGGAGGGACCGTTTCTTAT |
| R-CCCTGCAGTAGCATTCAAGTA | ||
| XM_006482191.4 | rbcS | F-CGGAAGAGTCCAATGCATGA |
| R-AGCGGAGAAGGTAACTGA | ||
| XM_006480794.4 | RCA | F-CTTTGCCAAGATGGGAATCAAC |
| R-TGTCTGCTGCTTCACGATAC | ||
| XM_006464503.3 | β-actin | F-GCTGCCTGATGGCCAGATC |
| R-AGTTGTAGGTAGTCTCATGAA |
| Variable | Anthocyanin | Wild type | p-Value | |||
|---|---|---|---|---|---|---|
| Mean ± | Std. Err. | Mean ± | Std. Err. | |||
| Performance indices | PIabs | 7.0 | 0.2 | 6.1 | 0.2 | 0.008 |
| PItot | 4.4 | 0.2 | 4.3 | 0.3 | 0.681 | |
| Components of PI | φPο | 0.815 | 0.002 | 0.822 | 0.002 | 0.008 |
| ψΕΤ1 | 0.746 | 0.004 | 0.71 | 0.005 | <0.0001 | |
| ∂RE1 | 0.385 | 0.008 | 0.406 | 0.008 | 0.076 | |
| γRC | 0.35 | 0.006 | 0.35 | 0.003 | 0.997 | |
| Phenomenological fluxes | JABS | 892 | 14 | 976 | 9 | <0.0001 |
| JDI | 165 | 4 | 174 | 3 | 0.076 | |
| JTR | 727 | 11 | 803 | 7 | <0.0001 | |
| JET | 541 | 7 | 569 | 6 | 0.003 | |
| JRE | 255 | 6 | 281 | 6 | 0.005 | |
| Pigment Ratios | Control | VvmybA1 | p-Value |
|---|---|---|---|
| Chlorophyll a/Chlorophyll b | 0.795 ± 0.078 * | 0.590 ± 0.036 | 0.0007 * |
| VAZ/Total chlorophylls | 0.154 ± 0.011 | 0.259 ± 0.055 | 0.0031 * |
| Lutein/Total chlorophylls | 0.269 ± 0.013 | 0.329 ± 0.036 | 0.0089 * |
| Neoxanthin/Total chlorophylls | 0.063 ± 0.004 | 0.086 ± 0.011 | 0.0028* |
| Xanthophylls/Total chlorophylls | 0.509 ± 0.026 | 0.699 ± 0.101 | 0.0037 * |
| Carotenes/Total chlorophylls | 0.100 ± 0.026 | 0.106 ± 0.018 | ns |
| Total chlorophylls | 0.609 ± 0.049 | 0.805 ± 0.120 | 0.0097 * |
| Zeaxanthin/Violaxanthins | 0.151 ± 0.005 | 0.111 ± 0.037 | 0.0471 |
Disclaimer/Publisher’s Note: The statements, opinions and data contained in all publications are solely those of the individual author(s) and contributor(s) and not of MDPI and/or the editor(s). MDPI and/or the editor(s) disclaim responsibility for any injury to people or property resulting from any ideas, methods, instructions or products referred to in the content. |
© 2023 by the authors. Licensee MDPI, Basel, Switzerland. This article is an open access article distributed under the terms and conditions of the Creative Commons Attribution (CC BY) license (https://creativecommons.org/licenses/by/4.0/).
Share and Cite
Cheaib, A.; Mahmoud, L.M.; Vincent, C.; Killiny, N.; Dutt, M. Influence of Anthocyanin Expression on the Performance of Photosynthesis in Sweet Orange, Citrus sinensis (L.) Osbeck. Plants 2023, 12, 3965. https://doi.org/10.3390/plants12233965
Cheaib A, Mahmoud LM, Vincent C, Killiny N, Dutt M. Influence of Anthocyanin Expression on the Performance of Photosynthesis in Sweet Orange, Citrus sinensis (L.) Osbeck. Plants. 2023; 12(23):3965. https://doi.org/10.3390/plants12233965
Chicago/Turabian StyleCheaib, Alissar, Lamiaa M. Mahmoud, Christopher Vincent, Nabil Killiny, and Manjul Dutt. 2023. "Influence of Anthocyanin Expression on the Performance of Photosynthesis in Sweet Orange, Citrus sinensis (L.) Osbeck" Plants 12, no. 23: 3965. https://doi.org/10.3390/plants12233965
APA StyleCheaib, A., Mahmoud, L. M., Vincent, C., Killiny, N., & Dutt, M. (2023). Influence of Anthocyanin Expression on the Performance of Photosynthesis in Sweet Orange, Citrus sinensis (L.) Osbeck. Plants, 12(23), 3965. https://doi.org/10.3390/plants12233965

