Genome-Wide Identified MADS-Box Genes in Prunus campanulata ‘Plena’ and Theirs Roles in Double-Flower Development
Abstract
:1. Introduction
2. Results
2.1. MADS-Box Gene Family Identification
2.2. Phylogenetic Analysis of the MADS-Box Gene Family
2.3. Chromosome Localization and Synteny Analysis of the MADS-Box Gene Family
2.4. MADS-Box Gene Structure and Conserved Motif Analysis
2.5. Prediction of Cis-Acting Elements of the Promoter Region
2.6. Phenotypic Identification of Double Flowers in PCP
2.7. MIKCc-Type MADS-Box Gene Expression Analysis
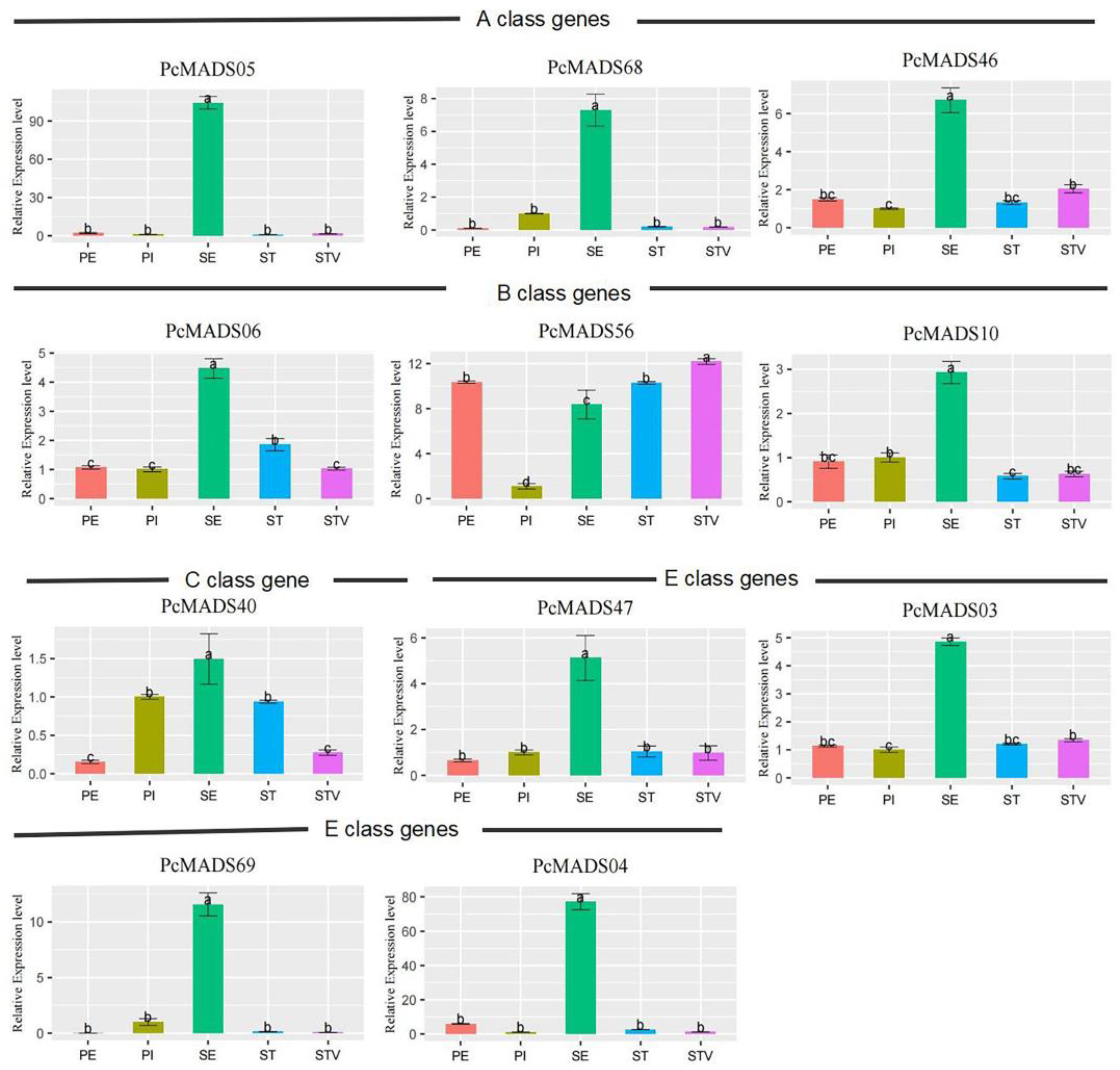
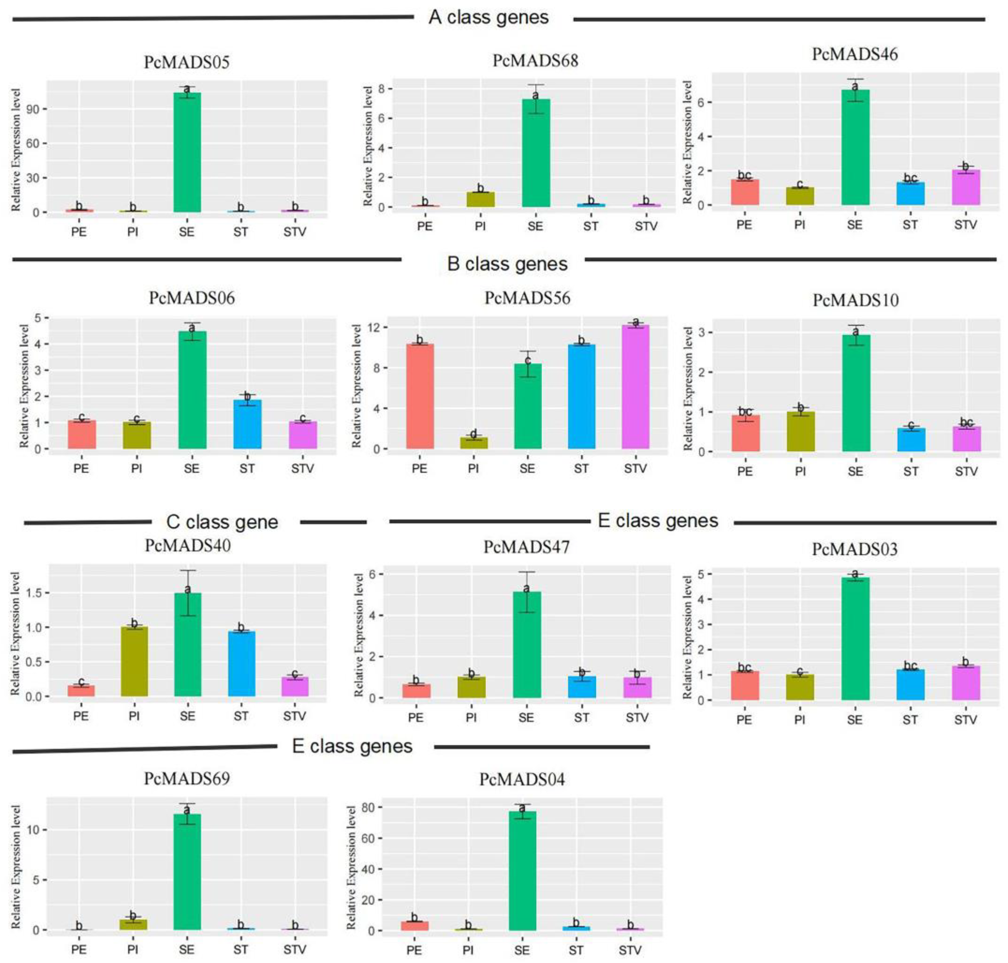
2.8. Expression Analysis of ABCE Class Genes in PCP by qRT–PCR
3. Discussion
4. Materials and Methods
4.1. MADS-Box Gene Family Identification
4.2. Phylogenetic Analysis of the MADS-Box Gene Family
4.3. Chromosome Location and Synteny Analysis of the MADS-Box Gene family
4.4. MADS-Box Gene Structure and Motif Analysis
4.5. Prediction of Cis-Regulatory Elements in the Promoter Region
4.6. MADS-Box Gene Family Expression Analysis
4.7. ABCE Class Gene Expression Analysis in PCP by qRT–PCR
Supplementary Materials
Author Contributions
Funding
Institutional Review Board Statement
Informed Consent Statement
Data Availability Statement
Acknowledgments
Conflicts of Interest
References
- Shi, S.; Li, J.; Sun, J.; Yu, J.; Zhou, S. Phylogeny and classification of Prunus sensu lato (Rosaceae). J. Integr. Plant Biol. 2013, 55, 1069–1079. [Google Scholar] [CrossRef] [PubMed]
- Huang, K.F.; Wen, C.H.; Wang, C.T.; Chu, F.H. Transcriptome and flower genes analysis of Prunus campanulata Maxim. J. Hortic. Sci. Biotech. 2020, 95, 44–52. [Google Scholar] [CrossRef]
- Becker, A.; Winter, K.U.; Meyer, B.; Saedler, H.; Theißen, G. MADS-Box Gene Diversity in Seed Plants 300 Million Years Ago. Mol. Biol. Evol. 2000, 17, 1425–1434. [Google Scholar] [CrossRef] [PubMed]
- Kim, S.-H.; Mizuno, K.; Fujimura, T. Isolation of MADS-box Genes from Sweet Potato (Ipomoea batatas (L.) Lam.) Expressed Specifically in Vegetative Tissues. Plant Cell Physiol. 2002, 43, 314–322. [Google Scholar] [CrossRef]
- Tapia-López, R.; García-Ponce, B.; Dubrovsky, J.; Garay-Arroyo, A.; Pérez-Ruiz, R.; Kim, S.-H.; Acevedo, F.; Pelaz, S.; Alvarez-Buylla, E. An AGAMOUS-related MADS-box gene, XAL1 (AGL12), regulates root meristem cell proliferation and flowering transition in Arabidopsis. Plant Physiol. 2008, 146, 1182–1192. [Google Scholar] [CrossRef] [PubMed]
- Zhang, H.M.; Forde, B. An Arabidopsis MADS Box Gene That Controls Nutrient-Induced Changes in Root Architecture. Science 1998, 279, 407–409. [Google Scholar] [CrossRef]
- Ferrándiz, C.; Liljegren, S.; Yanofsky, M. Negative regulation of the SHATTERPROOF genes by FRUITFULL during Arabidopsis fruit development. Science 2000, 289, 436–438. [Google Scholar] [CrossRef]
- Seymour, G.; Dunsdon, C.; Cevik, V.; Hammond, J.; Popovich, A.; King, G.; Vrebalov, J.; Giovannoni, J.; Manning, K. A SEPALLATA gene is involved in the development and ripening of strawberry (FragariaXananassa Duch.) fruit, a non-climacteric tissue. J. Exp. Bot. 2011, 62, 1179–1188. [Google Scholar] [CrossRef]
- Martel, C.; Vrebalov, J.; Giovannoni, T.J.J. The Tomato MADS-Box Transcription Factor RIPENING INHIBITOR Interacts with Promoters Involved in Numerous Ripening Processes in a COLORLESS NONRIPENING-Dependent Manner. Plant Physiol. 2011, 157, 1568–1579. [Google Scholar] [CrossRef]
- Norman, C.; Runswick, M.; Pollock, R.; Treisman, R. Isolation and properties of cDNA clones encoding SRF, a transcription factor that binds to the c-fos serum response element. Cell 1989, 55, 989–1003. [Google Scholar] [CrossRef]
- Yanofsky, M.; Ma, H.; Bowman, J.; Drews, G.; Feldmann, K.; Meyerowitz, E. The protein encoded by the Arabidopsis homeotic gene AGAMOUS resembles transcription factors. Nature 1990, 346, 35–39. [Google Scholar] [CrossRef] [PubMed]
- Henschel, K.; Kofuji, R.; Hasebe, M.; Saedler, H.; Münster, T.; Theißen, G. Two Ancient Classes of MIKC-type MADS-box Genes are Present in the Moss Physcomitrella patens. Mol. Biol. Evol. 2002, 19, 801–814. [Google Scholar] [CrossRef] [PubMed]
- Lai, X.; Daher, H.; Galien, A.; Hugouvieux, V.; Zubieta, C. Structural Basis for Plant MADS Transcription Factor Oligomerization. Comput. Struct. Biotechnol. J. 2019, 17, 946–953. [Google Scholar] [CrossRef] [PubMed]
- Cho, S.; Chae, S.; Chung, K.; Moon, Y.-H.; An, G.; Jang, S. Analysis of the C-terminal region of Arabidopsis thaliana APETALA1 as a transcription activation domain. Plant Mol. Biol. 1999, 40, 419–429. [Google Scholar] [CrossRef] [PubMed]
- De Bodt, S.; Raes, J.; Van de Peer, Y.; Theißen, G. And then there were many: MADS goes genomic. Trends Plant Sci. 2003, 8, 475–483. [Google Scholar] [CrossRef]
- Smaczniak, C.; Immink, R.; Angenent, G.; Kaufmann, K. Developmental and evolutionary diversity of plant MADS-domain factors: Insights from recent studies. Development 2012, 139, 3081–3098. [Google Scholar] [CrossRef]
- Becker, A.; Theißen, G. The major clades of MADS-box genes and their role in the development and evolution of flowering plants. Mol. Phylogenet. Evol. 2004, 29, 464–489. [Google Scholar] [CrossRef]
- Schwarz-Sommer, Z.; Huijser, P.; Nacken, W.; Saedler, H.; Sommer, H. Genetic Control of Flower Development by Homeotic Genes in Antirrhinum majus. Science 1990, 250, 931–936. [Google Scholar] [CrossRef]
- Bowman, J.; Smyth, D.; Meyerowitz, E. Genetic Interactions among floral homeotic genes of Arabidopsis. Development 1991, 112, 1–20. [Google Scholar] [CrossRef]
- Coen, E.; Meyerowitz, E. The War of the Whorls: Genetic Interactions Controlling Flower Development. Nature 1991, 353, 31–37. [Google Scholar] [CrossRef]
- Zhao, Y.; Liu, Q. Research progress on the formation mechanism and genetic characteristics of double flowers. Acta Bot. Boreali-Occident. Sin. 2009, 4, 10. (In Chinese) [Google Scholar]
- Wang, X. An Illustrated Monograph of Cherry Cultivars in China; Science Press: Beijing, China, 2014; p. 36. ISBN 978-7-03-040997-3. (In Chinese) [Google Scholar]
- Liu, Z.; Zhang, D.; Liu, D.; Li, F.; Lu, H. Exon skipping of AGAMOUS homolog PrseAG in developing double flowers of Prunus lannesiana (Rosaceae). Plant Cell Rep. 2013, 32, 227–237. [Google Scholar] [CrossRef] [PubMed]
- Noor, S.H.; Ushijima, K.; Murata, A.; Yoshida, K.; Nakano, R. Double flower formation induced by silencing of C-class MADS-box genes and its variation among petunia Cultivars. Sci. Hortic. 2014, 178, 1–7. [Google Scholar] [CrossRef]
- Sharifi, A.; Oizumi, K.; Kubota, S.; Bagheri, A.; Shafaroudi, S.; Nakano, M.; Kanno, A. Double flower formation in Tricyrtis macranthopsis is related to low expression of AGAMOUS ortholog gene. Sci. Hortic. 2015, 193, 337–345. [Google Scholar] [CrossRef]
- Akita, Y.; Nakada, M.; Kanno, A. Effect of the expression level of an AGAMOUS-like gene on the petaloidy of stamens in the double-flowered lily, ‘Elodie’. Sci. Hortic. 2011, 128, 48–53. [Google Scholar] [CrossRef]
- Wim Verelst, H.S.; Münster, T. MIKC* MADS-protein complexes bind motifs enriched in the proximal region of late pollen-specific Arabidopsis promoters. Plant Physiol. 2007, 143, 447–460. [Google Scholar] [CrossRef] [PubMed]
- Daminato, M.; Masiero, S.; Resentini, F.; Lovisetto, A.; Casadoro, G. Characterization of TM8, a MADS-box gene expressed in tomato flowers. BMC Plant Biol. 2014, 14, 319. [Google Scholar] [CrossRef]
- Liu, C.; Zhou, J.; Bracha-Drori, K.; Yalovsky, S.; Ito, T.; Yu, H. Specification of Arabidopsis floral meristem identity by repression of flowering time genes. Development 2007, 134, 1901–1910. [Google Scholar] [CrossRef]
- Xu, Z.; Zhang, Q.; Sun, L.; Du, D.; Cheng, T.; Pan, H.; Yang, W.; Wang, J. Genome-wide identification, characterisation and expression analysis of the MADS-box gene family in Prunus mume. Mol. Genet. Genom. 2014, 289, 903–920. [Google Scholar] [CrossRef]
- Schultz, E.; Haughn, G. LEAFY, a Homeotic Gene That Regulates Inflorescence Development in Arabidopsis. Plant Cell 1991, 3, 771–781. [Google Scholar] [CrossRef]
- Wells, C.; Jimenez-Tarodo, S.; Verde, I.; Sosinski, B.; Bielenberg, D. A genome-wide analysis of MADS-box genes in peach [Prunus persica (L.) Batsch]. BMC Plant Biol. 2015, 15, 41. [Google Scholar] [CrossRef] [PubMed]
- Tian, Y.; Dong, Q.; Ji, Z.; Chi, F.; Cong, P.; Zhou, Z. Genome-wide identification and analysis of the MADS-box gene family in apple. Gene 2015, 555, 277–290. [Google Scholar] [CrossRef] [PubMed]
- Wang, R.; Ming, M.; Li, J.; Shi, D.; Qiao, X.; Li, L.-T.; Zhang, S.; Wu, J. Genome-wide identification of the MADS-box transcription factor family in pear (Pyrus bretschneideri) reveals evolution and functional divergence. PeerJ. 2017, 5, e3776. [Google Scholar] [CrossRef] [PubMed]
- Theißen, G.; Melzer, R.; Rümpler, F. MADS-domain transcription factors and the floral quartet model of flower development: Linking plant development and evolution. Development 2016, 143, 3259–3271. [Google Scholar] [CrossRef]
- Lydia, G.; Lisa, W.; Günter, T. MADS goes genomic in conifers: Towards determining the ancestral set of MADS-box genes in seed plants. Ann Bot. 2014, 114, 1407–1429. [Google Scholar]
- Lin, Z.; Cao, D.; Damaris, R.N.; Yang, P. Genome-wide identification of MADS-box gene family in sacred lotus (Nelumbo nucifera) identifies a SEPALLATA homolog gene involved in floral development. BMC Plant Biol. 2020, 20, 497. [Google Scholar] [CrossRef]
- Hsu, H.-F.; Huang, C.-H.; Tung, L.; Yang, C.-H. Ectopic Expression of an Orchid (Oncidium Gower Ramsey) AGL6-like Gene Promotes Flowering by Activating Flowering Time Genes in Arabidopsis thaliana. Plant Cell Physiol. 2003, 44, 783–794. [Google Scholar] [CrossRef]
- Mizukami, Y.; Ma, H. Ectopic expression of the floral homeotic gene AGAMOUS in transgenic Arabidopsis. Cell 1992, 71, 119–131. [Google Scholar] [CrossRef]
- Ma, J.; Shen, X.; Liu, Z.-X.; Zhang, D.; Liu, W.; Liang, H.; Wang, Y.; He, Z.; Chen, F. Isolation and Characterization of AGAMOUS-Like Genes Associated with Double-Flower Morphogenesis in Kerria japonica (Rosaceae). Front. Plant Sci. 2018, 9, 959. [Google Scholar] [CrossRef]
- Jing, D.; Chen, W.; Xia, Y.; Shi, M.; Wang, P.; Wang, S.; Wu, D.; He, Q.; Liang, G.; Guo, Q. Homeotic transformation from stamen to petal in Eriobotrya japonica is associated with hormone signal transduction and reduction of the transcriptional activity of EjAG. Physiol. Plantarum 2019, 168, 893–908. [Google Scholar] [CrossRef]
- Liu, R.; Liang, W.; Jia, R.; Yin, C.; Zong, J.; Kong, H.; Zhang, D. The AGL6-like gene OsMADS6 regulates floral organ and meristem identities in rice. Cell Res. 2010, 20, 299–313. [Google Scholar] [CrossRef] [PubMed]
- Luo, H.; Chen, S.; Jiang, J.; Chen, Y.; Chen, F.; Teng, N.; Yin, D.; Huang, C. The expression of floral organ identity genes in contrasting water lily cultivars. Plant Cell Rep. 2011, 30, 1909–1918. [Google Scholar] [CrossRef]
- Wang, W.-B.; He, X.; Li, X.; Wang, W. Transcriptome profiling during double-flower development provides insight into stamen petaloid in cultivated Lilium. Ornam. Plant Res. 2022, 2, 10. [Google Scholar] [CrossRef]
- Mao, W.-T.; Hsu, W.H.; Li, J.Y.; Yang, C.H. Distance-based measurement determines the coexistence of B protein hetero- and homodimers in lily tepal and stamen tetrameric complexes. Plant J. 2020, 105, 1357–1373. [Google Scholar] [CrossRef] [PubMed]
- Nie, C.; Zhang, Y.; Zhang, X.; Xia, W.; Sun, H.; Zhang, S.; Li, N.; Ding, Z.; Lv, Y.; Wang, N. Genome assembly, resequencing and genome-wide association analyses provide novel insights into the origin, evolution and flower colour variations of flowering cherry. Plant J. 2023, 114, 3. [Google Scholar] [CrossRef]
- Altschul, S.F. Basic local alignment search tool (BLAST). J. Mol. Biol. 2012, 215, 403–410. [Google Scholar] [CrossRef]
- Paysan-Lafosse, T.; Blum, M.; Chuguransky, S.; Grego, T.; Pinto, B.; Salazar, G.A.; Bileschi, M.; Bork, P.; Bridge, A.; Colwell, L.; et al. InterPro in 2022. Nucleic Acids Res. 2022, 51, D418–D427. [Google Scholar] [CrossRef]
- Tamura, K.; Peterson, D.; Peterson, N.; Stecher, G.; Nei, M.; Kumar, S. MEGA5: Molecular Evolutionary Genetics Analysis Using Maximum Likelihood, Evolutionary Distance, and Maximum Parsimony Methods. Mol. Biol. Evol. 2011, 28, 2731–2739. [Google Scholar] [CrossRef]
- Letunic, I.; Bork, P. Interactive Tree of Life (iTOL) v5: An online tool for phylogenetic tree display and annotation. Nucleic Acids Res. 2021, 49, W293–W296. [Google Scholar] [CrossRef]
- Chen, C.; Chen, H.; Zhang, Y.; Thomas, H.; Frank, M.; He, Y.; Xia, R. TBtools: An Integrative Toolkit Developed for Interactive Analyses of Big Biological Data. Mol. Plant 2020, 13, 1194–1202. [Google Scholar] [CrossRef]
- Bailey, T.L.; Boden, M.; Buske, F.A.; Frith, M.; Grant, C.E.; Clementi, L.; Ren, J.; Li, W.W.; Noble, W.S. The MEME SUITE: Tools for motif discovery and searching. Nucleic Acids Res. 2009, 37, w202–w208. [Google Scholar] [CrossRef] [PubMed]
- Ivica, L.; Supriya, K.; Peer, B. SMART: Recent updates, new developments and status in 2020. Nucleic Acids Res. 2020, 49, D493–D496. [Google Scholar]
- Rombauts, S.; Dehais, P.; Van Montagu, M.; Rouze, P. PlantCARE, a plant cis-acting regulatory element database. Nucleic Acids Res. 1999, 27, 295–296. [Google Scholar] [CrossRef] [PubMed]
- Livak, K.J.; Schmittgen, T.D. Analysis of relative gene expression data using real-time quantitative PCR and the 2(-Delta Delta C(T)) Method. Methods 2013, 25, 402–408. [Google Scholar] [CrossRef]








| Gene Name | Gene Id | CDS (bp) | Exon Count | Protein Length (aa) | MW | PI | Type | Subfamily |
|---|---|---|---|---|---|---|---|---|
| PcMADS01 | evm.TU.LG01.1677 | 1116 | 1 | 371 | 40,923 | 6.43 | Type I | Mγ |
| PcMADS02 | evm.TU.LG01.1680 | 1086 | 1 | 361 | 39,386 | 4.91 | Type I | Mγ |
| PcMADS03 | evm.TU.LG01.2444 | 3849 | 8 | 240 | 27,570 | 8.79 | Type II | MIKC |
| PcMADS04 | evm.TU.LG01.3136 | 3183 | 8 | 250 | 28,746 | 8.24 | Type II | MIKC |
| PcMADS05 | evm.TU.LG01.3137 | 2657 | 8 | 238 | 27,871 | 8.45 | Type II | MIKC |
| PcMADS06 | evm.TU.LG01.3902 | 2179 | 8 | 236 | 27,631 | 10.11 | Type II | MIKC |
| PcMADS07 | evm.TU.LG01.462 | 609 | 1 | 202 | 21,822 | 4.74 | Type I | Mα |
| PcMADS08 | evm.TU.LG01.464 | 1345 | 2 | 261 | 28,905 | 7.73 | Type I | Mα |
| PcMADS09 | evm.TU.LG01.465 | 621 | 1 | 206 | 22,364 | 4.16 | Type I | Mα |
| PcMADS10 | evm.TU.LG01.4975 | 2325 | 7 | 210 | 24,310 | 8.4 | Type II | MIKC |
| PcMADS11 | evm.TU.LG01.5169 | 3670 | 12 | 347 | 39,188 | 5.31 | Type I | Mα |
| PcMADS12 | evm.TU.LG01.5349 | 6915 | 8 | 235 | 26,615 | 5.31 | Type II | MIKC |
| PcMADS13 | evm.TU.LG01.5368 | 690 | 1 | 229 | 26,436 | 9.28 | Type I | Mγ |
| PcMADS14 | evm.TU.LG01.5407 | 17,349 | 8 | 239 | 27,368 | 9.47 | Type II | MIKC |
| PcMADS15 | evm.TU.LG01.5499 | 3775 | 7 | 204 | 23,253 | 7.74 | Type II | MIKC |
| PcMADS16 | evm.TU.LG01.5511 | 186 | 1 | 61 | 7096 | 9.93 | Type I | Mα |
| PcMADS17 | evm.TU.LG01.5564 | 534 | 1 | 177 | 20,236 | 6.76 | Type I | Mγ |
| PcMADS18 | evm.TU.LG01.785 | 645 | 1 | 214 | 23,580 | 9.08 | Type I | Mα |
| PcMADS19 | evm.TU.LG02.1730 | 5045 | 7 | 215 | 24,830 | 9.24 | Type II | MIKC |
| PcMADS20 | evm.TU.LG02.1732 | 4340 | 8 | 244 | 27,946 | 9.2 | Type II | MIKC |
| PcMADS21 | evm.TU.LG02.2071 | 705 | 1 | 234 | 26,130 | 8.97 | Type I | Mα |
| PcMADS22 | evm.TU.LG02.2165 | 1107 | 1 | 368 | 42,473 | 8.15 | Type I | Mβ |
| PcMADS23 | evm.TU.LG02.2176 | 480 | 1 | 159 | 18,298 | 9.1 | Type I | Mγ |
| PcMADS24 | evm.TU.LG02.2988 | 591 | 1 | 196 | 22,129 | 9.07 | Type I | Mα |
| PcMADS25 | evm.TU.LG02.3371 | 2785 | 7 | 193 | 22,092 | 5.1 | Type II | MIKC |
| PcMADS26 | evm.TU.LG02.426 | 4661 | 7 | 213 | 24,431 | 8.36 | Type II | MIKC |
| PcMADS27 | evm.TU.LG02.430 | 2588 | 8 | 240 | 27,638 | 6.86 | Type II | MIKC |
| PcMADS28 | evm.TU.LG02.905 | 417 | 1 | 138 | 16,228 | 9.15 | Type I | Mβ |
| PcMADS29 | evm.TU.LG03.1170 | 897 | 1 | 298 | 33,021 | 4.64 | Type I | Mβ |
| PcMADS30 | evm.TU.LG03.1188 | 519 | 1 | 172 | 19,651 | 4.54 | Type I | Mα |
| PcMADS31 | evm.TU.LG03.1189 | 627 | 1 | 208 | 23,207 | 4.54 | Type I | Mα |
| PcMADS32 | evm.TU.LG03.1235 | 630 | 1 | 209 | 23,355 | 4.56 | Type I | Mα |
| PcMADS33 | evm.TU.LG03.2185 | 3887 | 8 | 228 | 25,828 | 6.26 | Type II | MIKC |
| PcMADS34 | evm.TU.LG03.2269 | 5928 | 6 | 210 | 24,224 | 9.52 | Type II | MIKC |
| PcMADS35 | evm.TU.LG03.2316 | 498 | 1 | 165 | 18,708 | 9.43 | Type I | Mα |
| PcMADS36 | evm.TU.LG03.3240 | 732 | 1 | 243 | 27,584 | 9.32 | Type I | Mγ |
| PcMADS37 | evm.TU.LG03.3242 | 744 | 1 | 247 | 28,263 | 9.52 | Type I | Mβ |
| PcMADS38 | evm.TU.LG04.2508 | 564 | 1 | 187 | 20,858 | 9.47 | Type I | Mα |
| PcMADS39 | evm.TU.LG04.2509 | 630 | 1 | 209 | 23,872 | 9.16 | Type I | Mα |
| PcMADS40 | evm.TU.LG04.2573 | 6284 | 8 | 243 | 27,992 | 4.00 | Type II | MIKC |
| PcMADS41 | evm.TU.LG04.594 | 567 | 1 | 188 | 21,250 | 5.52 | Type I | Mα |
| PcMADS42 | evm.TU.LG05.1117 | 849 | 1 | 282 | 31,473 | 9.56 | Type I | Mβ |
| PcMADS43 | evm.TU.LG05.1150 | 201 | 1 | 66 | 7606 | 9.56 | Type I | Mα |
| PcMADS44 | evm.TU.LG05.1670 | 1173 | 1 | 390 | 45,056 | 8.61 | Type I | Mβ |
| PcMADS45 | evm.TU.LG05.2530 | 950 | 4 | 168 | 19,381 | 6.51 | Type I | Mβ |
| PcMADS46 | evm.TU.LG05.2661 | 5046 | 8 | 269 | 30,703 | 8.45 | Type II | MIKC |
| PcMADS47 | evm.TU.LG05.2662 | 3855 | 8 | 246 | 28,156 | 9.08 | Type II | MIKC |
| PcMADS48 | evm.TU.LG05.313 | 672 | 1 | 223 | 25,373 | 8.76 | Type I | Mα |
| PcMADS49 | evm.TU.LG05.3202 | 1252 | 2 | 367 | 42,008 | 5.92 | Type I | Mβ |
| PcMADS50 | evm.TU.LG05.3221 | 8940 | 7 | 215 | 24,330 | 8.82 | Type II | MIKC |
| PcMADS51 | evm.TU.LG05.347 | 693 | 1 | 230 | 25,864 | 9.34 | Type I | Mα |
| PcMADS52 | evm.TU.LG06.1294 | 651 | 1 | 216 | 23,904 | 9.32 | Type I | Mα |
| PcMADS53 | evm.TU.LG06.1306 | 635 | 2 | 190 | 21,197 | 8.85 | Type I | Mγ |
| PcMADS54 | evm.TU.LG06.1307 | 681 | 1 | 226 | 26,016 | 8.90 | Type I | Mγ |
| PcMADS55 | evm.TU.LG06.1308 | 1068 | 1 | 355 | 39,738 | 8.78 | Type I | Mγ |
| PcMADS56 | evm.TU.LG06.2017 | 1572 | 7 | 235 | 27,154 | 9.34 | Type II | MIKC |
| PcMADS57 | evm.TU.LG06.458 | 465 | 2 | 137 | 16,243 | 7.64 | Type I | Mβ |
| PcMADS58 | evm.TU.LG06.495 | 705 | 1 | 234 | 27,455 | 8.29 | Type I | Mβ |
| PcMADS59 | evm.TU.LG06.907 | 2469 | 8 | 262 | 29,850 | 9.34 | Type II | MIKC |
| PcMADS60 | evm.TU.LG07.1086 | 828 | 1 | 275 | 30,057 | 6.32 | Type I | Mα |
| PcMADS61 | evm.TU.LG07.1087 | 1068 | 1 | 355 | 38,629 | 5.53 | Type I | Mα |
| PcMADS62 | evm.TU.LG07.1144 | 723 | 1 | 240 | 26,943 | 9.06 | Type I | Mα |
| PcMADS63 | evm.TU.LG07.1145 | 657 | 1 | 218 | 24,761 | 9.46 | Type I | Mα |
| PcMADS64 | evm.TU.LG07.1998 | 15,428 | 8 | 245 | 28,108 | 9.52 | Type II | MIKC |
| PcMADS65 | evm.TU.LG07.2059 | 5798 | 8 | 219 | 24,627 | 6.93 | Type II | MIKC |
| PcMADS66 | evm.TU.LG08.1574 | 4634 | 7 | 218 | 25,041 | 9.04 | Type II | MIKC |
| PcMADS67 | evm.TU.LG08.27 | 669 | 1 | 222 | 25,391 | 9.15 | Type I | Mα |
| PcMADS68 | evm.TU.LG08.341 | 2436 | 8 | 255 | 29,194 | 8.64 | Type II | MIKC |
| PcMADS69 | evm.TU.LG08.342 | 4013 | 8 | 251 | 28,613 | 8.82 | Type II | MIKC |
| PcMADS70 | evm.TU.LG08.479 | 2939 | 11 | 373 | 41,912 | 5.77 | Type I | Mα |
| PcMADS71 | evm.TU.LG08.917 | 2323 | 7 | 200 | 23,175 | 9.9 | Type II | MIKC |
Disclaimer/Publisher’s Note: The statements, opinions and data contained in all publications are solely those of the individual author(s) and contributor(s) and not of MDPI and/or the editor(s). MDPI and/or the editor(s) disclaim responsibility for any injury to people or property resulting from any ideas, methods, instructions or products referred to in the content. |
© 2023 by the authors. Licensee MDPI, Basel, Switzerland. This article is an open access article distributed under the terms and conditions of the Creative Commons Attribution (CC BY) license (https://creativecommons.org/licenses/by/4.0/).
Share and Cite
Nie, C.; Xu, X.; Zhang, X.; Xia, W.; Sun, H.; Li, N.; Ding, Z.; Lv, Y. Genome-Wide Identified MADS-Box Genes in Prunus campanulata ‘Plena’ and Theirs Roles in Double-Flower Development. Plants 2023, 12, 3171. https://doi.org/10.3390/plants12173171
Nie C, Xu X, Zhang X, Xia W, Sun H, Li N, Ding Z, Lv Y. Genome-Wide Identified MADS-Box Genes in Prunus campanulata ‘Plena’ and Theirs Roles in Double-Flower Development. Plants. 2023; 12(17):3171. https://doi.org/10.3390/plants12173171
Chicago/Turabian StyleNie, Chaoren, Xiaoguo Xu, Xiaoqin Zhang, Wensheng Xia, Hongbing Sun, Na Li, Zhaoquan Ding, and Yingmin Lv. 2023. "Genome-Wide Identified MADS-Box Genes in Prunus campanulata ‘Plena’ and Theirs Roles in Double-Flower Development" Plants 12, no. 17: 3171. https://doi.org/10.3390/plants12173171
APA StyleNie, C., Xu, X., Zhang, X., Xia, W., Sun, H., Li, N., Ding, Z., & Lv, Y. (2023). Genome-Wide Identified MADS-Box Genes in Prunus campanulata ‘Plena’ and Theirs Roles in Double-Flower Development. Plants, 12(17), 3171. https://doi.org/10.3390/plants12173171
