Abstract
Plants exhibit differential behaviours through changes in biomass development and distribution in response to environmental cues, which may impact crops uniquely. We conducted a mesocosm experiment in pots to determine the root and shoot behavioural responses of wheat, T. aestivum. Plants were grown in homogeneous or heterogeneous and heavily or lightly fertilized soil, and alone or with a neighbour of the same or different genetic identity (cultivars: CDC Titanium, Carberry, Glenn, Go Early, and Lillian). Contrary to predictions, wheat did not alter relative reproductive effort in the presence of neighbours, more nutrients, or homogenous soil. Above and below ground, the plants’ tendency to use potentially shared space exhibited high levels of plasticity. Above ground, they generally avoided shared, central aerial space when grown with neighbours. Unexpectedly, nutrient amount and distribution also impacted shoots; plants that grew in fertile or homogenous environments increased shared space use. Below ground, plants grown with related neighbours indicated no difference in neighbour avoidance. Those in homogenous soil produced relatively even roots, and plants in heterogeneous treatments produced more roots in nutrient patches. Additionally, less fertile soil resulted in pot-level decreases in root foraging precision. Our findings illustrate that explicit coordination between above- and belowground biomass in wheat may not exist.
1. Introduction
Resource capture and plant–plant social interactions are inherently spatially explicit, driven by specific plant organs placed in specific locations at specific points in time. Further, the location of specific organs can influence immediate and future resource capture [1,2,3]. Thus, there has likely been powerful selection pressures on plants to exhibit high levels of plasticity in organ placement in response to local conditions, a phenomenon falling within the larger domain of plant behavioural ecology [4,5,6,7]. Accordingly, current research suggests that plants use environmental information to inform behavioural responses that impact their fitness. For example, plants may react to neighbours’ indirect effects, including shading and resource depletion [6]. The behavioural reactions of plants to spatially explicit features of landscapes involve localized movement and changes in overall development and growth [8,9,10]. Commonly described behaviours include alterations in biomass development and spatial distribution, including differential root production and stem/leaf orientation shifts in response to local conditions [11,12,13,14]. Most studies, however, investigate these behaviours in isolation rather than taking an integrated approach exploring multiple behavioural responses within an individual or population. Thus, whether plants integrate information about stimuli and exhibit overall coordination in these above- or belowground responses, or whether there are differences in shoot and root responses to the same stimuli, remains unknown.
A plant’s responses above and below ground due to other organisms and their placement in the environment may result in altered resource capture [1,15,16,17,18]. These responses have cascading effects on neighbouring plants since competition is a prevalent ecological and evolutionary driver [17]. For example, plants may exhibit crown shyness [19,20,21,22], altering shoot placement to reduce leaf overlap in response to neighbouring plants within a potentially shared canopy space. Such a behavioural response alters net photosynthesis [23,24], potentially impacting plant growth and fitness. Behavioural responses to neighbour shoots are not limited to forested systems, and there could be fitness benefits in any system with moderate to dense plant communities. For example, individuals in dense habitats such as crop fields could be victims of density-dependent mortality, but they may prevent this by shifting their crowns strategically [24,25]. Within root systems, plants may move root biomass depending on nutrient availability, soil patchiness, and the presence and identity of neighbouring plants [26,27,28]. Although these behaviours are well supported by ecological and behavioural theory, it is also well established that in animal species analogous behaviours are context-dependent [29,30,31,32]. However, this contextual information is lacking for most plant species, particularly non-model species.
Evolutionary theory suggests that individuals may alter competition with neighbours under certain conditions as a function of their degree of relatedness [33,34]. There is mixed support for kin-dependent behavioural responses in plants [35,36], and these kin-dependent effects may be locally contingent upon the relative costs or benefits of different behavioural decisions. Kin selection theory ties together inclusive fitness and altruism between close relatives in animal and plant species, which is highly important for crop plants, typically genetic monocultures. Many plant species have developed mechanisms to detect and determine both the neighbours’ presence and identity, including changes in light quality or shading [37], touch [38,39], and volatile organic compounds [22,40,41]. Plants then alter aboveground biomass to facilitate or hinder neighbour development [22]. Accordingly, with plant reproduction, studies have shown that some species might have higher reproductive success when grown with siblings than with unrelated plants [7,21,42], some have decreased seed yields [43,44,45,46,47], and some exhibit no difference in reproduction [45]. Similarly, many wild and domesticated species can distinguish between neighbours below ground, indicating kin versus non-kin [22,48] and self-recognition versus non-self-recognition [49,50,51]. Studies looking at root-mediated kin recognition show shifts in biomass allocation [52,53,54,55], lateral root density [55], root branching intensity [55], specific root length [56], and resource uptake rate [20,57]. These species may engage in a tragedy of the commons, allocating more resources to root development to maximize nutrient capture at the expense of their competitors [49,58,59,60,61]. This is highlighted in studies focusing on root foraging precision. Plants exhibit plasticity in root development and spatial distribution when dealing with the interplay of nutrient density or neighbour presence [18,22,62,63,64], typically producing more roots in high-nutrient, high-yield soil patches [49,59,65,66,67].
However, whether plants coordinate above- and belowground behavioural responses to nutrients and neighbours or whether root and shoot systems respond individually to local conditions remains unknown. Studies on plant behaviours in patchy environments have been concerned with changes in a single plant’s above- or belowground biomass distribution, leaving significant literature gaps. Accordingly, direct connections between changes below ground and the aboveground repercussions remain unclear. Finally, no studies have examined the combined effects of intraspecific kin recognition, soil fertility, and nutrient placement both above and below ground. Our study explored the coordination between shoot and root behavioural responses in wheat (Triticum aestivum L.). We used wheat because of its global importance as a food crop, and though many studies have investigated the morphological traits and yield of different cultivars [68,69,70], few have focused on behaviour. Furthermore, though there is evidence that wheat alters root and shoot proliferation in the presence of neighbours [61,71] and resource patches [72,73,74], no studies have explored the effects of both factors simultaneously, making it an ideal choice.
We conducted a mesocosm experiment on five different wheat varieties where we manipulated soil nutrient amounts, soil heterogeneity, and neighbour genotypic identity. We hypothesized that Triticum aestivum L. plants, in the presence of a related neighbour, would have increased reproductive effort and reproductive biomass due to kin-related behavioural adjustments. Furthermore, when looking at kin effects above ground, we hypothesized that plants grown with neighbours would exhibit increased neighbour avoidance and crown shyness, decreasing the use of the shared aerial space between the plants. Consequently, plants would decrease crown shyness and aboveground avoidance in highly nutritious or homogenous soil as the cost of using shared aerial space is likely lessened due to potentially increased aboveground biomass and overall photosynthetic capabilities. Finally, in studying kin effects below ground, we predicted plants would exhibit increased neighbour avoidance in the presence of related plants, decreasing their foraging precision in nutrient patches and the directly shared soil space to mitigate competition. Accordingly, the value of the nutrient patch is likely greater at low soil fertility levels, resulting in increased root distribution in the nutrient patches due to increased root foraging efforts by the plant.
2. Results
2.1. Fitness Effects
We found that Triticum aestivum L. plants generally had high levels of reproductive effort (Figure 1). However, it was slightly higher when plants were grown alone than with a neighbour, regardless of the neighbour’s identity, soil fertility, or nutrient distribution (df1, df2 = 2, 583, F = 2.758, p = 0.0643, Table 1). Additionally, contrary to our hypothesis, plants grown in lower nutrient conditions illustrated higher levels of reproductive effort than those grown in higher nutrient conditions, irrespective of nutrient distribution (df1, df2 = 1, 583, F = 7.243, p =0.0073, Table 1). However, there was no difference in the reproductive effort between plants grown in homogeneous or patchy soil (df1, df2 = 1, 583, F = 0.66, p = 0.4169, Table 1). For the overall interaction between nutrient level and soil homogeneity, there were no significant differences between plants grown alone or with neighbours (df1, df2 = 2, 583, F = 0.271, p = 0.7628, Table 1).
Figure 1.
Wheat (Triticum aestivum) reproductive effort (mean ± 95% confidence interval) in response to identity, nutrient distribution, and fertility. The reproductive effort was measured as the amount of reproductive biomass the plant grew divided by the plant’s total aboveground biomass.
Table 1.
The effects of neighbour identity, soil fertility, and nutrient distribution on shoot and root asymmetry, root precision, and reproductive effort. The results are from 4 beta regressions, and bolded values represent significant relationships (alpha = 0.05).
2.2. Aboveground Biomass Distribution
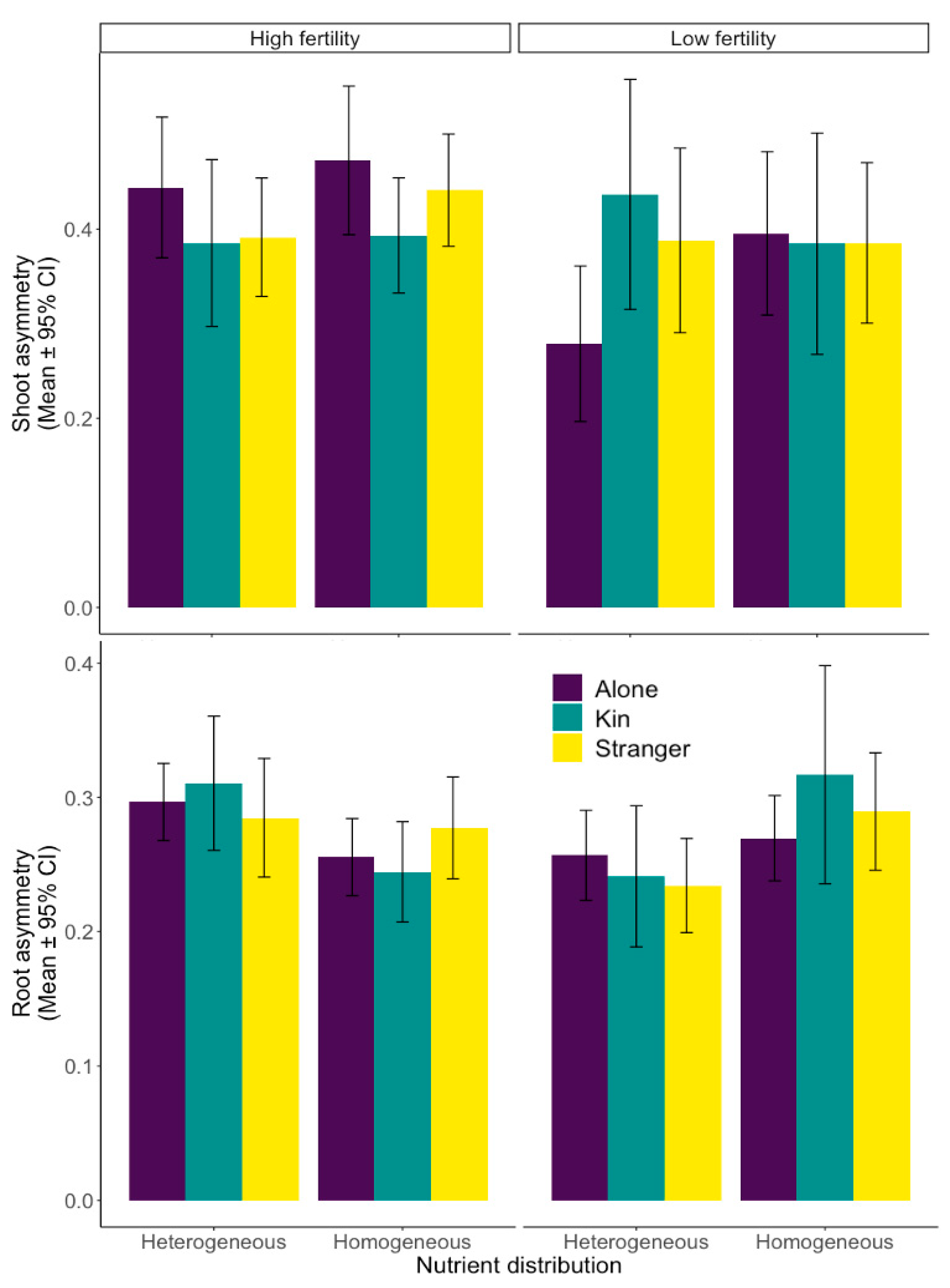
We did not observe a significant overall effect of neighbours (df1, df2 = 2, 583, F = 1.522, p = 0.219, Table 1, Figure 2). However, plants grown with neighbours exhibited slightly increased shoot asymmetry under high-fertility soil conditions, regardless of neighbour identity (df1, df2 = 2, 583, F = 2.758, p = 0.0643, Table 1). Similarly, under low-fertility conditions, shoot asymmetry was slightly lower when plants were grown alone than with neighbours, irrespective of whether the neighbour was kin or stranger (df1, df2 = 2, 583, F = 2.758, p = 0.0643, Table 1). Confirming our hypotheses, plants that grew in fertile environments showed significantly higher levels of growth towards the neighbour and central shared area than away (df1, df2 = 1, 583, F = 7.243, p = 0.0073, Table 1). When looking at the interactions between the fixed factors, there was no overall impact of neighbour presence, neighbour identity, and soil treatment (df1, df2 = 2, 583, F = 0.271, p = 0.7628, Table 1).
Figure 2.
Wheat (Triticum aestivum) shoot and root asymmetry (mean ± 95% confidence interval) in response to identity, nutrient distribution, and fertility. Shoot asymmetry is the proportion of each plant’s shoot biomass grown toward the centre of the pot and a neighbour divided by the plant’s overall shoot biomass grown. The root asymmetry is the proportion of roots harvested in the central shared soil space divided by the total roots harvested in the central shared space and the soil between each plant and the pot edge.
2.3. Belowground Biomass Distribution
We found that root asymmetry was highly contingent on the nutrient level and soil heterogeneity but not neighbour presence or identity, contrary to our hypothesis (df1, df2 = 2, 582, F = 0.152, p = 0.8589, Table 1, Figure 2). However, we did find a significant effect of soil heterogeneity on root asymmetry, depending on the nutrient treatment. Root asymmetry was higher in high-nutrient pots with heterogeneous soil than in low-nutrient, heterogeneous soil (df1, df2 = 582, t = 3.301, p = 0.001, Table 2). When overall soil fertility was low, root asymmetry was higher in homogeneous soil than in heterogeneous soil (df1, df2 = 582, t = −2.931, p = 0.0035, Table 2). However, when soil fertility was high, there was no discernible difference in root asymmetry between homogeneous and heterogeneous soil treatments (df1, df2 = 582, t = 1.952, p = 0.0514, Table 2).
Table 2.
Planned contrasts with neighbour identity and nutrient treatments for impacts on reproductive effort, shoot and root asymmetry, and root precision. For neighbour contrasts, results are averaged over the levels of nutrient treatments, while for nutrient treatments, results are averaged over the levels of kin. Estimates and standard errors represent log odds ratios, and bolded values represent significant relationships (alpha = 0.05).
There was no significant effect of neighbour presence and soil treatment interaction on root precision (df1, df2 = 2, 582, F = 0.1577, p = 0.562, Table 1, Figure 3). However, we did find increased patch use when the soil was highly nutritious, regardless of nutrient distribution, indicating a lack of interaction (df1, df2 = 1, 582, F = 10.739, p = 0.0011, Table 1). Similarly, root biomass in the patches was higher in heterogeneous soil, irrespective of soil fertility (df1, df2 = 1, 582, F = 330.789, p ≤ 0.0001, Table 1).
Figure 3.
Wheat (Triticum aestivum) root precision (mean ± 95% confidence interval) in response to identity, nutrient distribution, and fertility. Precision was measured as the proportion of biomass harvested where the nutrient patch was in the pot divided by the total biomass harvested from the patch and an area equidistant to the plants without a nutrient patch present. This created a pot-level measure.
3. Discussion
Our results indicate stark differences in wheat’s above- and belowground behavioural responses to neighbours and nutrients. The reproductive effort had only slightly significant kin effects, with reproductive effort marginally higher for plants grown alone in low-nutrient conditions or with neighbours in high-nutrient soil (Figure 1). When looking at the overall aboveground biomass distribution changes, it is apparent that soil fertility, nutrient level, and neighbour presence have a significant impact (Figure 2). Finally, root distribution was affected by the nutrient level, soil heterogeneity, and neighbour presence, with changes in shared soil areas and patch use (Figure 3 and Figure 4).
Figure 4.
Planting design of wheat, Triticum aestivum L., in heterogenous and homogenous soil treatments. The distances between the plants (7.6 cm), the plants and pot edge (3.8 cm), and the plants and centre of the pot (3.8 cm) are displayed. Control treatments had a single plant placed in one of these two locations. The nutrient patch, depicted by the green circle, was placed equidistant from both plants, and the diameter of the patch (2 cm) and its distance from the plants (5.4 cm) are illustrated. At harvest, shoot biomass was separated into growth towards or away from the pot’s centre, as shown by the orange line. We also took five root cores, illustrated by the numbered brown circles.
3.1. Reproductive Effort
For reproductive effort, we found that none of the soil structure elements or social interactions we investigated—including soil fertility, nutrient homogeneity, neighbour presence, and neighbour identity—had a drastic impact (Figure 1). Li et al. found that yield was stable across various plant densities when studying maize [47,75,76]. However, output linearly declined when the plant density was above an optimum level set by the species [75]. Over time, the extensive breeding of crop plants may have caused the lack of distinct impact of soil structure and social interactions on the reproductive effort. Crop plants are often bred for traits emphasizing group fitness over individual performance [18,77,78,79,80]. Hence, past selection for inclusive fitness may have favoured more cooperative plant genotypes with features such as shorter stems, erect leaves, and restrained roots [81]. Overall fitness is improved when the negative consequences of competition between kin, including clones, full-siblings, and half-siblings, are minimized [43]. So, the ability of crop species to recognize kin may increase yield by reducing competitive effects [48,81,82,83]. Accordingly, in a study on rice, the data showed that cultivars with kin recognition in mixed cultures increased grain yields, but interestingly, not all cultivars possessed this ability [83]. Furthermore, numerous studies have shown that cooperation based on kin may decrease the prevalence of competitive traits [84,85,86]. Cooperation also allowed for optimized above- and belowground resource capture [35] and subsequent increases in overall fitness [7,87,88].
However, Kiers and Denison refute the notion of crop plants’ emphasis on group fitness, stating that high genetic relatedness, particularly siblings or clones, does not necessarily select for cooperation [81]. Furthermore, single-genotype crop fields would not necessarily provide more significant reproductive effort or yield [82,89]. For example, Lupinus angustifolius plants produce significantly more flowers and seeds when grown with unrelated neighbours than with siblings [44]. These differences in kinship effects could result from specific biotic or abiotic environments [45,90]. Our study did not show this above or below ground, indicating that the effect of the relatedness between neighbours is difficult to predict, especially regarding crop species. We lack conclusive evidence of the impacts of kin recognition.
3.2. Aboveground Biomass Distribution
Above ground, our results show that the wheat plants increased growth towards the centre of the pot when a neighbouring plant was absent (Figure 2). Some studies have suggested that plants may over-proliferate shoots when grown with a neighbour [49]. Many plant species interpret environmental cues such as shading, volatile organic compounds, touch, and root exudates to determine whether a neighbour is present [22]. Over-proliferation would prove wasteful, however, if the neighbour responds similarly. They would also create a tragedy of the commons, collectively exhausting the resources [1,91]. In our study, the unconstrained growth due to a lack of neighbours enables solitary plants to organize their development solely concerning resource availability, modelling Ideal Free Distribution (IFD) [22].
Our study did not show any distinct impact of neighbour identity on the distribution of aboveground biomass (Figure 2). Wheat may consider all the neighbours as related rather than segregating them into stranger and kin categories if the ‘stranger’ neighbours are not genetically distant enough. This could be attributed to similar genetic backgrounds and close genetic relatedness within the crop [82,83]. In our study, the soil’s nutrient level significantly impacted shoot asymmetry, with the plants increasing neighbour avoidance under low-nutrient conditions (Figure 2). The plants may follow IFD under low-nutrient conditions, minimizing overlap of shared aerial space when belowground resources are already limited but abandoning IFD when belowground resources are plentiful enough for the plants to compete aggressively. The decrease in shading at low nutrient levels could be due to decreased chlorophyll requirements when plants must conserve nutrients due to limited availability. A greenhouse pot experiment on wheat showed that decreasing fertilizer reduced chlorophyll content in the leaves [92]. With a greater need to place roots below ground due to an enhanced necessity for foraging and structural integrity considering the competition, plants would be far less free-handed with allocating resources towards aboveground competition. In some plant species, increasing soil fertility under homogeneous conditions decreased aboveground size-asymmetric competition [93]. Alternatively, increasing nutrient levels in the soil can also inadvertently increase size-asymmetric competition by prompting shoot growth, effectively altering the competition to above ground from below ground [94,95,96], which is more akin to what we observed in our study (Figure 2). Hence, it is apparent from our research that aboveground architecture changes in direct response to alterations in belowground environmental conditions.
3.3. Belowground Biomass Distribution and Patch Use
Our study of belowground plant behaviour indicates that soil heterogeneity and nutrient level affected root distribution and patch use (Figure 3 and Figure 4). We saw even root distribution in homogeneous soil treatments, while heterogeneous treatments elicited significant increases in patch use (Figure 4). In the heterogeneous treatments, the plants decreased root growth in all the core locations without a nutrient patch, likely reallocating resources to growth proliferation within the patches, especially in highly nutritive soil. Hence, we observed a cascading effect throughout the pot where the plants use environmental information to optimize root foraging behaviour [66,97,98,99,100,101]. A trade-off exists between maximizing resource intake from the high-quality soil patch and prolonged exploration.
Our study, however, does not indicate any direct effects of neighbour presence or identity on belowground biomass placement (Figure 3). It is likely that wheat either cannot recognize kin or has been bred to disregard familial connections when placing roots below ground. The lack of over-proliferation in the presence of neighbours, especially strangers, has been seen in prior studies [5,102,103,104,105]. However, we did observe the effects of the interaction between nutrient heterogeneity in the soil and neighbour presence. The plants allocated more roots opposite the nutrient patch when they were not facing competition for resources in a limited space with a proximate neighbour (Figure 4). When dealing with a predominately low-nutrient environment with a singular high-nutrient patch equidistant to a neighbour, the plant will expend energy in maximizing resource capture, engaging in a tragedy of the commons. When the plants are free of these restraints and are alone in homogenous soil, they are free to explore the entirety of the soil.
Interestingly, the interaction of nutrient level and soil heterogeneity impacted root growth between the plants and the edge of the pots; when the soil was highly nutritious and homogeneous, more root biomass was placed in these locations (Figure 3). The plants more readily utilized the soil they had first access to when not facing direct competition for a patch equally accessible to both plants, and the soil was fertile. This foraging strategy would reduce the need to extensively search the rest of the pot for a potential nutrient patch or higher-quality soil. Plants experience a trade-off between exploration of the environment and exploitation of resources [106,107], which is comparable to animals as they move and forage across landscapes [108,109]. Thus, they may invest more energy in pre-empting resources within a high-nutrient patch, ensuring direct access by increasing preliminary root growth [49,100].
3.4. Future Directions
Crop systems are drastically different from most natural biological systems, precisely due to their organization in closely planted monoculture fields to promote maximum yield from minimum space on the landscape. The dynamics of plant–plant interactions in these synthetically constructed plant communities have been prone to drastic change through intentional and unintentional artificial selection, especially in cereal crops such as wheat [18,110]. A new avenue of exploration could involve looking at past crop selection and the extent to which plants select for or against kin. Future studies could apply an evolutionary lens by comparing wild ancestors and domesticated cultivars.
Additionally, most research on kin/non-kin effects on spatial distribution and fitness has been genetically limited. Most studies look at half- to full-siblings versus strangers without quantification or scale of genetic relatedness. Further testing would be needed to fill this gap in the literature and determine the genetic distance required for a kin/stranger effect within wheat. These studies would be especially pertinent since kin selection can lead to better group fitness outcomes directly tied to increases in grain production [57,81,83,111]. These findings may have important implications for ecosystem functioning and agriculture. We must understand the underlying mechanisms better to apply this knowledge and enhance crop performance effectively.
4. Materials and Methods
4.1. Study Species
We chose five cultivars of Canada Western Red Spring (CWRS) wheat: Lillian, Glenn, Carberry, C.D.C. Titanium, and Go Early. Lillian is a solid-stemmed cultivar with high protein content and resistance to wheat stem sawfly and stripe rust [69,112]. Glenn also has high protein content, with additional resistance to Fusarium head blight, leaf rust, and stem rust [69,113]. Carberry is high-yielding with leaf rust resistance [69,70,114,115], while CDC Titanium is midge-tolerant with resistance to Fusarium head blight and leaf and stripe rusts [69,116]. Finally, as the name suggests, Go Early matures early and produces a high yield with common bunt and rust resistance [69,117]. We attained seeds for all cultivars from the Spaner Research Lab at the University of Alberta in Edmonton, AB.
4.2. Experimental Design Overview
In brief, we created experimental mesocosms in round 15.2 cm plastic pots with a volume of 1.75 L filled with low-nutrient soil [118,119,120,121] (Figure 4). We planted one or two of the same or different wheat varieties in each pot. Each pot received 1 of 4 soil nutrient treatments (high vs. low fertility × heterogeneous vs. homogeneous distribution), resulting in 90 treatment combinations. Pots were organized into 5 replicate blocks, each containing 1 or 3 replicates of each treatment combination (3 replicates if plants were grown individually; 1 replicate if 2 plants were in each pot). In total, there were 600 experimental pots [(15 pairwise combinations × 4 soil treatments × 5 blocks) + (5 cultivars × 3 replicates × 4 soil treatments × 5 blocks)], all grown on the roof of the University of Alberta Biotron in a randomized block design.
4.3. Soil Treatments, Neighbour Treatments, and Plant Growth
The soil in all pots consisted of a low-nutrient soil mix (3:1 sand-to-topsoil mixture (Canar Rock Products Ltd., Edmonton, Canada)), which has been used in other root foraging experiments within the lab group [14,122]. We added 2 levels (0.551 g/L and 4.403 g/L) of slow-release 14:14:14 NPK fertilizer to create low- and high-soil-fertility treatments. For homogenous treatments, the fertilizer was mixed evenly throughout the soil. The fertilizer was placed in a 1 cm patch spanning the entire pot depth in the heterogeneous treatments. When present, nutrient patches were placed equidistant from both plants (Figure 4). The locations of the soil patches in the single and neighbour treatments were the same. Additionally, the total nutrients added per pot were identical between the homogenous and heterogenous treatments within a soil fertility treatment, either high or low.
Three seeds of a given genotype were planted at each location, and seedlings were then thinned to one individual per location within three days, retaining the largest individual. Treatments comprising two plants had each plant placed halfway between the edge and centre of the pot (Figure 4). We planted the seeds in the same pattern for the plants grown alone, with one of the planting locations in the pot remaining empty (Figure 4). The plants received natural sunlight, and we watered them throughout their growth.
4.4. Harvest
The plants grew for an average of 43 days, from 7 June to 20 July 2018. We harvested the plants after the seeds had developed to capture maximum reproductive growth. However, to prevent plants from outgrowing the pots below ground and altering root distribution, we harvested the plants before the seeds were fully ripened. To harvest, we clipped each plant at the soil surface. We separated the biomass into two categories: growth towards or away from the centre of the pot relative to the initial planting location (Figure 4). We used this separation to quantify aboveground shifts from a neighbour’s presence. These 2 categories were split into reproductive and non-reproductive biomass for each plant, dried at 65 °C for a minimum of 48 h, and weighed.
According to our research questions, we took five root cores per pot in specified locations using steel root corers (Figure 4). First, to determine patch use, we harvested roots from where the nutrient patch was placed in heterogeneous treatments (Figure 4, core 2). To assess preferential patch use, we also harvested root biomass in the nutrient-empty space directly opposite the patches (Figure 4, core 4). Then, to investigate the use of shared soil, we took soil cores in the central shared soil space (Figure 4, core 3) as well as the spaces each plant had singular access to, between the plants and the pot edges (Figure 4, cores 1 and 5). Finally, we collected all remaining root fragments in the pots. Each root core was gently washed over a 1 mm sieve, removing the soil. After extracting the root fragments using tweezers, we dried them in a drying oven at 65 °C for 48 h prior to weighing them. However, due to a lack of visual differentiation between the roots of the wheat plants, especially those with kin neighbours of the same genotype, cultivar determination and separation were impossible for the cores or root fragments.
4.5. Statistical Analysis
To analyse our data, we ran a priori contrasts between the nutrient level and nutrient homogeneity and the overall effect of neighbouring plants, allowing us to compare differences between plants grown with a neighbour or without. We also ran a priori contrasts looking at the effects of kin versus strangers, disregarding single plants. We created beta regression models using the glmmTMB package [123] in R [124] to assess biomass allocation, fitness metrics, and root proliferation, with blocks as random effects. In each of the four beta regression models, the individual effects of neighbours, soil fertility, and nutrient distribution were modelled. Additionally, the two-way interactions between neighbour identity and fertility, neighbour identity and distribution, and soil fertility and nutrient distribution were modelled. Finally, the effects of the three-way interaction between neighbour identity, soil fertility, and nutrient distribution were also analysed. We also ran planned contrasts with neighbour identity and nutrient treatments to determine their impacts on reproductive effort, shoot and root asymmetry, and root precision. For neighbour contrasts, results were averaged over the levels of nutrient treatments, while for nutrient treatments, results were averaged over the levels of kin.
We calculated reproductive effort by taking the proportion of biomass containing reproductive structures and dividing it by the aboveground biomass for each plant. Aboveground biomass asymmetry was measured as the proportion of shoots, including both reproductive and non-reproductive parts, of each plant that grew towards the shared space in the centre of the pot compared with the biomass in shared space that grew away from the centre. Similarly, to study root asymmetry, we measured the proportion of root biomass in the shared soil space (Figure 4, core 3) and compared it with the overall root biomass found in both shared and independent space (Figure 4, cores 1, 3, and 5). To prevent dividing by 0 when there was no biomass growing away from the centre, we added 0.005 g to all biomass values. Finally, to examine root foraging precision, we took the proportion of roots harvested in the patch location (Figure 4, core 2) and divided it by the root biomass harvested in the patch and an equidistant location without a nutrient patch within the pot (Figure 4, cores 2 and 4), creating a pot-level measure. For the belowground measures, we utilized a pot-level measure since visual differentiation between fragmented roots from two neighbouring wheat plants was impossible, preventing investigation of individual space use.
Author Contributions
Conceptualization and methodology, H.F.M., T.B.-C. and J.F.C.J.; software and formal analysis, H.F.M. and C.B.; investigation, data curation, writing—original draft preparation, and visualization, H.F.M.; validation, project administration, and writing—review and editing, H.F.M. and J.F.C.J.; resources and supervision, J.F.C.J. and D.S.; funding acquisition, H.F.M., J.F.C.J. and D.S. All authors have read and agreed to the published version of the manuscript.
Funding
This study was primarily funded by NSERC Discovery Grants awarded to J.F.C.J. and D.S. The study also used grants from the Alberta Crop Industry Development Fund, Alberta Wheat Commission, Saskatchewan Wheat Development Commission, Agriculture and Agri-Food Canada, Western Grains Research Foundation Endowment Fund, and Core Program Check-off funds awarded to D.S., and an Alberta Graduate Excellence Award awarded to H.F.M.
Data Availability Statement
The data presented in this study are available upon reasonable request from the corresponding author.
Acknowledgments
We thank V. Wagner, C. Brown, M. Dettlaff, A. Batbaatar, J. Grenke, M. Ljubotina, T. Bao, A. Filazzola, K. Salimbayeva, Y. Fan, E. Holden, T. Barber-Cross, K. Oppon, I. Peetoom Heida, T. Blenkinsopp, B. Nagtegaal, A. Mahal, M. Mahal, S. Ahmed, J. Wild, Q. Stanczak, and R. Glover for their assistance throughout this study.
Conflicts of Interest
The authors declare no conflict of interest.
References
- Novoplansky, A. Picking Battles Wisely: Plant Behaviour under Competition. Plant Cell Environ. 2009, 32, 726–741. [Google Scholar] [CrossRef]
- Ballaré, C.L.; Sánchez, R.A.; Scopel, A.L.; Casal, J.J.; Ghersa, C.M. Early Detection of Neighbour Plants by Phytochrome Perception of Spectral Changes in Reflected Sunlight. Plant Cell Environ. 1987, 10, 551–557. [Google Scholar]
- Novoplansky, A.; Cohen, D.; Sachs, T. How Portulaca Seedlings Avoid Their Neighbors. Oecologia 1990, 82, 490–493. [Google Scholar] [CrossRef] [PubMed]
- Péret, B.; Desnos, T.; Jost, R.; Kanno, S.; Berkowitz, O.; Nussaume, L. Root Architecture Responses: In Search of Phosphate. Plant Physiol. 2014, 166, 1713–1723. [Google Scholar] [CrossRef] [PubMed]
- Nord, E.A.; Zhang, C.; Lynch, J.P. Root Responses to Neighbouring Plants in Common Bean Are Mediated by Nutrient Concentration Rather than Self/Non-Self Recognition. Funct. Plant Biol. 2011, 38, 941–952. [Google Scholar] [CrossRef] [PubMed]
- Pierik, R.; Mommer, L.; Voesenek, L.A. Molecular Mechanisms of Plant Competition: Neighbour Detection and Response Strategies. Funct. Ecol. 2013, 27, 841–853. [Google Scholar] [CrossRef]
- Donohue, K. The Influence of Neighbor Relatedness on Multilevel Selection in the Great Lakes Sea Rocket. Am. Nat. 2003, 162, 77–92. [Google Scholar] [CrossRef]
- Wang, P.; Heijmans, M.M.P.D.; Mommer, L.; Van Ruijven, J.; Maximov, T.C.; Berendse, F. Belowground Plant Biomass Allocation in Tundra Ecosystems and Its Relationship with Temperature. Environ. Res. Lett. 2016, 11, 055003. [Google Scholar] [CrossRef]
- Gruntman, M.; Groß, D.; Májeková, M.; Tielbörger, K. Decision-Making in Plants under Competition. Nat. Commun. 2017, 8, 2235. [Google Scholar] [CrossRef]
- Semchenko, M.; Zobel, K.; Hutchings, M.J. To Compete or Not to Compete: An Experimental Study of Interactions between Plant Species with Contrasting Root Behaviour. Evol. Ecol. 2010, 24, 1433–1445. [Google Scholar] [CrossRef]
- Hodge, A. The Plastic Plant: Root Responses to Heterogeneous Supplies of Nutrients. New Phytol. 2004, 162, 9–24. [Google Scholar] [CrossRef]
- Semchenko, M.; Hutchings, M.J.; John, E.A. Challenging the Tragedy of the Commons in Root Competition: Confounding Effects of Neighbour Presence and Substrate Volume. J. Ecol. 2007, 95, 252–260. [Google Scholar] [CrossRef]
- Vicherová, E.; Glinwood, R.; Hájek, T.; Šmilauer, P.; Ninkovic, V. Bryophytes Can Recognize Their Neighbours through Volatile Organic Compounds. Sci. Rep. 2020, 10, 7045. [Google Scholar] [CrossRef] [PubMed]
- Karst, J.D.; Belter, P.R.; Bennett, J.A.; Cahill, J.F. Context Dependence in Foraging Behaviour of Achillea Millefolium. Oecologia 2012, 170, 925–933. [Google Scholar] [CrossRef] [PubMed]
- Schmid, C.; Bauer, S.; Bartelheimer, M. Should I Stay or Should I Go? Roots Segregate in Response to Competition Intensity. Plant Soil 2015, 391, 283–291. [Google Scholar] [CrossRef]
- Goldberg, D.E.; Werner, P.A. Equivalence of Competitors in Plant Communities: A Null Hypothesis and a Field Experimental Approach. Am. J. Bot. 1983, 70, 1098–1104. [Google Scholar] [CrossRef]
- Aschehoug, E.T.; Brooker, R.; Atwater, D.Z.; Maron, J.L.; Callaway, R.M. The Mechanisms and Consequences of Interspecific Competition among Plants. Annu. Rev. Ecol. Evol. Syst. 2016, 47, 263–281. [Google Scholar] [CrossRef]
- Anten, N.P.R.; Chen, B.J.W. Detect Thy Family: Mechanisms, Ecology and Agricultural Aspects of Kin Recognition in Plants. Plant Cell Environ. 2021, 44, 1059–1071. [Google Scholar] [CrossRef]
- Li, L.; Tilman, D.; Lambers, H.; Zhang, F.-S. Plant Diversity and Overyielding: Insights from Belowground Facilitation of Intercropping in Agriculture. New Phytol. 2014, 203, 63–69. [Google Scholar] [CrossRef]
- Takigahira, H.; Yamawo, A. Competitive Responses Based on Kin-Discrimination Underlie Variations in Leaf Functional Traits in Japanese Beech (Fagus Crenata) Seedlings. Evol. Ecol. 2019, 33, 521–531. [Google Scholar] [CrossRef]
- Yamawo, A.; Mukai, H. Outcome of Interspecific Competition Depends on Genotype of Conspecific Neighbours. Oecologia 2020, 193, 415–423. [Google Scholar] [CrossRef] [PubMed]
- Bilas, R.D.; Bretman, A.; Bennett, T. Friends, Neighbours and Enemies: An Overview of the Communal and Social Biology of Plants. Plant Cell Environ. 2021, 44, 997–1013. [Google Scholar] [CrossRef]
- Goudie, J.W.; Polsson, K.R.; Ott, P.K. An Empirical Model of Crown Shyness for Lodgepole Pine (Pinus Contorta Var. Latifolia [Engl.] Critch.) in British Columbia. Ecol. Manag. 2009, 257, 321–331. [Google Scholar] [CrossRef]
- Uria-Diez, J.; Pommerening, A. Crown Plasticity in Scots Pine (Pinus sylvestris L.) as a Strategy of Adaptation to Competition and Environmental Factors. Ecol. Model. 2017, 356, 117–126. [Google Scholar] [CrossRef]
- Getzin, S.; Wiegand, K. Asymmetric Tree Growth at the Stand Level: Random Crown Patterns and the Response to Slope. Ecol. Manag. 2007, 242, 165–174. [Google Scholar] [CrossRef]
- Hamilton, W.D. The Genetical Evolution of Social Behaviour. I. J. Theor. Biol. 1964, 7, 1–16. [Google Scholar] [CrossRef]
- Hamilton, W.D. The Genetical Evolution of Social Behavior. II. J. Theor. Biol. 1964, 7, 17–52. [Google Scholar] [CrossRef] [PubMed]
- Rankin, D.J.; Bargum, K.; Kokko, H. The Tragedy of the Commons in Evolutionary Biology. Trends Ecol. Evol. 2007, 22, 643–651. [Google Scholar] [CrossRef]
- Gamboa, G.J. Kin Recognition in Eusocial Wasps George. Ann. Zool Fenn. 2004, 41, 789–808. [Google Scholar]
- Krause, E.T.; Krüger, O.; Kohlmeier, P.; Caspers, B.A. Olfactory Kin Recognition in a Songbird. Biol. Lett. 2012, 8, 327–329. [Google Scholar] [CrossRef]
- Sharp, S.P.; McGowan, A.; Wood, M.J.; Hatchwell, B.J. Learned Kin Recognition Cues in a Social Bird. Nature 2005, 434, 1127–1130. [Google Scholar] [CrossRef] [PubMed]
- Lihoreau, M.; Rivault, C. Kin Recognition via Cuticular Hydrocarbons Shapes Cockroach Social Life. Behav. Ecol. 2009, 20, 46–53. [Google Scholar] [CrossRef]
- Ehlers, B.K.; Bilde, T. Inclusive Fitness, Asymmetric Competition and Kin Selection in Plants. Oikos 2019, 128, 765–774. [Google Scholar] [CrossRef]
- Broz, A.K.; Broeckling, C.D.; De-la-Peña, C.; Lewis, M.R.; Greene, E.; Callaway, R.M.; Sumner, L.W.; Vivanco, J.M. Plant Neighbor Identity Influences Plant Biochemistry and Physiology Related to Defense. BMC Plant Biol. 2010, 10, 115. [Google Scholar] [CrossRef] [PubMed]
- Lepik, A.; Abakumova, M.; Zobel, K.; Semchenko, M. Kin Recognition Is Density-Dependent and Uncommon among Temperate Grassland Plants. Funct. Ecol. 2012, 26, 1214–1220. [Google Scholar] [CrossRef]
- File, A.L.; Murphy, G.P.; Dudley, S.A. Fitness Consequences of Plants Growing with Siblings: Reconciling Kin Selection, Niche Partitioning and Competitive Ability. Proc. R. Soc. B Biol. Sci. 2012, 279, 209–218. [Google Scholar] [CrossRef]
- Roig-Villanova, I.; Martínez-García, J.F. Plant Responses to Vegetation Proximity: A Whole Life Avoiding Shade. Front. Plant Sci. 2016, 7, 236. [Google Scholar] [CrossRef]
- Anten, N.P.R.; Alcalá-Herrera, R.; Schieving, F.; Onoda, Y. Wind and Mechanical Stimuli Differentially Affect Leaf Traits in Plantago Major. New Phytol. 2010, 188, 554–564. [Google Scholar] [CrossRef]
- Markovic, D.; Nikolic, N.; Glinwood, R.; Seisenbaeva, G.; Ninkovic, V. Plant Responses to Brief Touching: A Mechanism for Early Neighbour Detection? PLoS ONE 2016, 11, e0165742. [Google Scholar] [CrossRef]
- Heil, M.; Karban, R. Explaining Evolution of Plant Communication by Airborne Signals. Trends Ecol. Evol. 2010, 25, 137–144. [Google Scholar] [CrossRef]
- Baldwin, I.T. Plant Volatiles. Curr. Biol. 2010, 20, R392–R397. [Google Scholar] [CrossRef] [PubMed]
- Dudley, S.A. Plant Cooperation. AoB Plants 2015, 7, plv113. [Google Scholar] [CrossRef] [PubMed]
- Cheplick, G.P.; Kane, K.H. Genetic Relatedness and Competition in Triplasis Purpurea (Poaceae): Resource Paritioning or Kin Selection? Int. J. Plant Sci. 2004, 165, 623–630. [Google Scholar] [CrossRef]
- Milla, R.; Forero, D.M.; Escudero, A.; Iriondo, J.M. Growing with Siblings: A Common Ground for Cooperation or for Fiercer Competition among Plants? Proc. R. Soc. B 2009, 276, 2531–2540. [Google Scholar] [CrossRef] [PubMed]
- Masclaux, F.; Hammond, R.L.; Meunier, J.; Gouhier-Darimont, C.; Keller, L.; Reymond, P. Competitive Ability Not Kinship Affects Growth of Arabidopsis Thaliana Accessions. New Phytol. 2010, 185, 322–331. [Google Scholar] [CrossRef] [PubMed]
- Postma, J.A.; Hecht, V.L.; Hikosaka, K.; Nord, E.A.; Pons, T.L.; Poorter, H. Dividing the Pie: A Quantitative Review on Plant Density Responses. Plant Cell Environ. 2021, 44, 1072–1094. [Google Scholar] [CrossRef]
- Li, J.; Xie, R.Z.; Wang, K.R.; Ming, B.; Guo, Y.Q.; Zhang, G.Q.; Li, S.K.; Zhang, G.; Xie, R.; Wang, K.; et al. Variations in Maize Dry Matter, Harvest Index, and Grain Yield with Plant Density. Crop Econ. Prod. Manag. 2015, 107, 829–834. [Google Scholar] [CrossRef]
- Chen, B.J.W.; During, H.J.; Anten, N.P.R. Detect Thy Neighbor: Identity Recognition at the Root Level in Plants. Plant Sci. 2012, 195, 157–167. [Google Scholar] [CrossRef]
- Gersani, M.; Brown, J.; O’Brien, E.; Maina, G.; Abramsky, Z. Tragedy of the Commons as a Result of Root Competition. J. Ecol. 2001, 89, 660–669. [Google Scholar] [CrossRef]
- Holzapfel, C.; Alpert, P. Root Cooperation in a Clonal Plant: Connected Strawberries Segregate Roots. Oecologia 2003, 134, 72–77. [Google Scholar] [CrossRef]
- Gruntman, M.; Novoplansky, A. Physiologically Mediated Self Non-Self Discrimination in Roots. Proc. Natl. Acad. Sci. USA 2004, 101, 3863–3867. [Google Scholar] [CrossRef] [PubMed]
- Dudley, S.; File, A. Kin Recognition in an Annual Plant. Biol. Lett. 2007, 3, 435–438. [Google Scholar] [CrossRef] [PubMed]
- Murphy, G.P.; Dudley, S.A. Kin Recognition: Competition and Cooperation in Impatiens (Balsaminaceae). Am. J. Bot. 2009, 96, 1990–1996. [Google Scholar] [CrossRef] [PubMed]
- Chen, B.J.W.; During, H.J.; Vermeulen, P.J.; de Kroon, H.; Poorter, H.; Anten, N.P.R. Corrections for Rooting Volume and Plant Size Reveal Negative Effects of Neighbour Presence on Root Allocation in Pea. Funct. Ecol. 2015, 29, 1383–1391. [Google Scholar] [CrossRef]
- Palmer, A.G.; Ali, M.; Yang, S.; Parchami, N.; Bento, T.; Mazzella, A.; Oni, M.; Riley, M.C.; Schneider, K.; Massa, N. Kin Recognition Is a Nutrient-Dependent Inducible Phenomenon. Plant Signal Behav. 2016, 11, e1224045. [Google Scholar] [CrossRef] [PubMed]
- Semchenko, M.; Saar, S.; Lepik, A. Plant Root Exudates Mediate Neighbour Recognition and Trigger Complex Behavioural Changes. New Phytol. 2014, 204, 631–637. [Google Scholar] [CrossRef]
- Zhang, L.; Liu, Q.; Tian, Y.; Xu, X.; Ouyang, H. Kin Selection or Resource Partitioning for Growing with Siblings: Implications from Measurements of Nitrogen Uptake. Plant Soil 2016, 398, 79–86. [Google Scholar] [CrossRef]
- O’Brien, E.E.; Gersani, M.; Brown, J.S. Root Proliferation and Seed Yield in Response to Spatial Heterogeneity of Below-Ground Competition. New Phytol. 2005, 168, 401–412. [Google Scholar] [CrossRef]
- Semchenko, M.; John, E.; Hutchings, M. Effects of Physical Connection and Genetic Identity of Neighbouring Ramets on Root-Placement Patterns in Two Clonal Species. New Phytol. 2007, 176, 644–654. [Google Scholar] [CrossRef]
- Maina, G.; Brown, J.; Gersani, M. Intra-Plant versus Inter-Plant Root Competition in Beans: Avoidance, Resource Matching or Tragedy of the Commons. Plant Ecol. 2002, 160, 235–247. [Google Scholar] [CrossRef]
- Zhu, Y.-H.; Weiner, J.; Li, F.-M. Root Proliferation in Response to Neighbouring Roots in Wheat (Triticum aestivum). Basic Appl. Ecol. 2019, 39, 10–14. [Google Scholar] [CrossRef]
- Brady, D.J.; Gregory, P.J.; Fillery, I.R.P. The Contribution of Different Regions of the Seminal Roots of Wheat to Uptake of Nitrate from Soil. Plant Soil 1993, 155, 155–158. [Google Scholar] [CrossRef]
- McNickle, G.G.; Cahill Jr, J.F. Plant Root Growth and the Marginal Value Theorem. Proc. Natl. Acad. Sci. USA 2009, 106, 4747–4751. [Google Scholar] [CrossRef] [PubMed]
- VanVuuren, M.M.I.; Robinson, D.; Griffiths, B.S. Nutrient Inflow and Root Proliferation during the Exploitation of a Temporally and Spatially Discrete Source of Nitrogen in Soil. Plant Soil 1996, 178, 185–192. [Google Scholar] [CrossRef]
- Cahill, J.F.; McNickle, G.G. The Behavioral Ecology of Nutrient Foraging by Plants. Annu. Rev. Ecol. Evol. Syst. 2011, 42, 289–311. [Google Scholar] [CrossRef]
- Fransen, B.; de Kroon, H.; de Kovel, C.G.F.; van den Bosch, F. Disentangling the Effects of Root Foraging and Inherent Growth Rate on Plant Biomass Accumulation in Heterogeneous Environments: A Modelling Study. Ann. Bot. 1999, 84, 305–311. [Google Scholar] [CrossRef][Green Version]
- Wijesinghe, D.K.; John, E.A.; Beurskens, S.; Hutchings, M.J. Root System Size and Precision in Nutrient Foraging: Responses to Spatial Pattern of Nutrient Supply in Six Herbaceous Species 973 Root System Size and Precision in Nutrient Foraging. J. Ecol. 2001, 89, 972–983. [Google Scholar] [CrossRef]
- Chen, H.; Nguyen, K.; Iqbal, M.; Beres, B.L.; Hucl, P.J.; Spaner, D. The Performance of Spring Wheat Cultivar Mixtures under Conventional and Organic Management in Western Canada. Agrosyst. Geosci. Environ. 2019, 3, e20003. [Google Scholar] [CrossRef]
- Randhawa, H.S.; Asif, M.; Pozniak, C.; Clarke, J.M.; Graf, R.J.; Fox, S.L.; Humphreys, D.G.; Knox, R.E.; Depauw, R.M.; Singh, A.K.; et al. Application of Molecular Markers to Wheat Breeding in Canada. Plant Breed. 2013, 132, 458–471. [Google Scholar] [CrossRef]
- Chen, H.; Bemister, D.H.; Iqbal, M.; Strelkov, S.E.; Spaner, D.M. Mapping Genomic Regions Controlling Agronomic Traits in Spring Wheat under Conventional and Organic Managements. Crop Sci. 2020, 60, 2038–2052. [Google Scholar] [CrossRef]
- Fréville, H.; Roumet, P.; Rode, N.O.; Rocher, A.; Latreille, M.; Muller, M.-H.; David, J. Preferential Helping to Relatives: A Potential Mechanism Responsible for Lower Yield of Crop Variety Mixtures? Evol. Appl. 2019, 12, 1837–1849. [Google Scholar] [CrossRef] [PubMed]
- Hackett, C. A Method of Applying Nutrients Locally to Roots under Controlled Conditions, and Some Morphological Effects of Locally Applied Nitrate on the Branching of Wheat Roots. Aust. J. Biol. Sci. 1972, 3, 1169–1180. [Google Scholar] [CrossRef]
- Bhatt, G.M.; Derera, N.F. Genotype x Environment Interactions for, Heritabilities of, and Correlations among Traits in Wheat. Euphytica 1975, 24, 597–604. [Google Scholar] [CrossRef]
- Zhu, L.; Zhang, D. Donald’s Ideotype and Growth Redundancy: A Pot Experimental Test Using an Old and a Modern Spring Wheat Cultivar. PLoS ONE 2013, 8, 70006. [Google Scholar] [CrossRef]
- Tollenaar, M. Is Low Plant Density a Stress in Maize? Maydica 1992, 37, 305–311. [Google Scholar]
- Echarte, L.; Andrade, F.H. Harvest Index Stability of Argentinean Maize Hybrids Released between 1965 and 1993. Field Crops Res. 2003, 82, 1–12. [Google Scholar] [CrossRef]
- Donald, C.M. The Breeding of Crop Ideotypes. Euphytica 1968, 17, 385–403. [Google Scholar] [CrossRef]
- Denison, R.F. Past Evolutionary Tradeoffs Represent Opportunities for Crop Genetic Improvement and Increased Human Lifespan. Evol. Appl. 2010, 4, 216–224. [Google Scholar] [CrossRef]
- Weiner, J.; Andersen, S.B.; Wille, K.-M.; Griepentrog, H.W.; Olsen, J.M. Evolutionary Agroecology: The Potential for Cooperative, High Density, Weed-Suppressing Cereals. Evol. Appl. 2010, 3, 473–479. [Google Scholar] [CrossRef]
- Anten, N.P.R.; Vermeulen, P.J. Tragedies and Crops: Understanding Natural Selection to Improve Cropping Systems. Trends Ecol. Evol. 2016, 31, 429–439. [Google Scholar] [CrossRef]
- Kiers, E.T.; Denison, R.F. Inclusive Fitness in Agriculture. Philos. Trans. R. Soc. B 2014, 369, 20130367. [Google Scholar] [CrossRef] [PubMed]
- Murphy, G.P.; van Acker, R.; Rajcan, I.; Swanton, C.J. Identity Recognition in Response to Different Levels of Genetic Relatedness in Commercial Soya Bean. R. Soc. Open Sci. 2017, 4, 160879. [Google Scholar] [CrossRef] [PubMed]
- Yang, X.-F.; Li, L.-L.; Xu, Y.; Kong, C.-H. Kin Recognition in Rice (Oryza sativa) Lines. New Phytol. 2018, 220, 567–578. [Google Scholar] [CrossRef] [PubMed]
- Cahill, J.F.; McNickle, G.G.; Haag, J.J.; Lamb, E.G.; Nyanumba, S.M.; Clair, C.C.S. Plants Integrate Information about Nutrients and Neighbors. Science 2010, 328, 1657. [Google Scholar] [CrossRef] [PubMed]
- Bhatt, M.V.; Khandelwal, A.; Dudley, S.A. Kin Recognition, Not Competitive Interactions, Predicts Root Allocation in Young Cakile Edentula Seedling Pairs. New Phytol. 2011, 189, 1135–1142. [Google Scholar] [CrossRef] [PubMed]
- Fang, S.; Clark, R.T.; Zhenge, Y.; Iyer-Pascuzzia, A.S.; Weitz, J.S.; Kochiand, L.V.; Edelsbrunnere, H.; Liaob, H.; Benfey, P.N. Genotypic Recognition and Spatial Responses by Rice Roots. Proc. Natl. Acad. Sci. USA 2013, 110, 2670–2675. [Google Scholar] [CrossRef]
- Biernaskie, J.M. Evidence for Competition and Cooperation among Climbing Plants. Proc. R. Soc. B Biol. Sci. 2011, 278, 1989–1996. [Google Scholar] [CrossRef]
- Torices, R.; Gómez, J.M.; Pannell, J.R. Kin Discrimination Allows Plants to Modify Investment towards Pollinator Attraction. Nat. Commun. 2018, 9, 2018. [Google Scholar] [CrossRef]
- Taylor, P.D. Altruism in Viscous Populations—An Inclusive Fitness Model. Evol. Ecol. 1992, 6, 352–356. [Google Scholar] [CrossRef]
- Goodnight, C.J. The Influence of Environmental Variation on Group and Individual Selection in a Cress. Evolution 1985, 39, 545–558. [Google Scholar] [CrossRef]
- Smyeka, J.; Herben, T. Phylogenetic Patterns of Tragedy of Commons in Intraspecific Root Competition. Plant Soil 2017, 417, 87–97. [Google Scholar] [CrossRef]
- Brown, C.; Oppon, K.J.; Cahill, J.F. Species-Specific Size Vulnerabilities in a Competitive Arena: Nutrient Heterogeneity and Soil Fertility Alter Plant Competitive Size Asymmetries. Funct. Ecol. 2019, 33, 1491–1503. [Google Scholar] [CrossRef]
- Shah, S.H.; Houborg, R.; McCabe, M.F. Response of Chlorophyll, Carotenoid and SPAD-502 Measurement to Salinity and Nutrient Stress in Wheat (Triticum aestivum L.). Agronomy 2017, 7, 61. [Google Scholar] [CrossRef]
- Cahill, J.F. Ferilizations Effects on Interactions between Above- and Belowground Competition in an Old Field. Ecology 1999, 80, 466–480. [Google Scholar] [CrossRef]
- Hautier, Y.; Niklaus, P.A.; Hector, A. Competition for Light Causes Plant Biodiversity Loss after Eutrophication. Science 2009, 324, 636–638. [Google Scholar] [CrossRef] [PubMed]
- Lamb, E.G.; Kembel, S.W.; Cahill, J.F. Shoot, but Not Root, Competition Reduces Community Diversity in Experimental Mesocosms. J. Ecol. 2009, 97, 155–163. [Google Scholar] [CrossRef]
- Mahall, B.; Callaway, R. Root Communication among Desert Shrubs. Proc. Natl. Acad. Sci. USA 1991, 88, 874–896. [Google Scholar] [CrossRef] [PubMed]
- Schenk, H.J. Root Competition: Beyond Resource Depletion. J. Ecol. 2006, 94, 725–739. [Google Scholar] [CrossRef]
- Belter, P.R.; Cahill, J.F. Disentangling Root System Responses to Neighbours: Identification of Novel Root Behavioural Strategies. AoB Plants 2015, 7, plv059. [Google Scholar] [CrossRef]
- Ljubotina, M.K.; Cahill, J.F. Effects of Neighbour Location and Nutrient Distributions on Root Foraging Behaviour of the Common Sunflower. Proc. R. Soc. B Biol. Sci. 2019, 286, 20190955. [Google Scholar] [CrossRef]
- Jennings, P.R.; DeJesus, J. Studies on Competition in Rice I. Competition in Mixtures of Varieties. Evolution 1968, 22, 119–124. [Google Scholar] [CrossRef]
- Lankinen, A. Root Competition Influences Pollen Competitive Ability in Viola Tricolor: Effects of Presence of a Competitor beyond Resource Availability? J. Ecol. 2008, 96, 756–765. [Google Scholar] [CrossRef]
- Markham, J.; Halwas, S. Effect of Neighbor Presence and Soil Volume on the Growth of Andropogon Gerardii Vitman. Plant Ecol. Divers 2011, 4, 265–268. [Google Scholar] [CrossRef]
- Meier, I.C.; Angert, A.; Falik, O.; Shelef, O.; Rachmilevitch, S. Increased Root Oxygen Uptake in Pea Plants Responding to Non-Self Neighbor. Planta 2013, 238, 577–586. [Google Scholar] [CrossRef]
- McNickle, G.G.; Brown, J.S. An Ideal Free Distribution Explains the Root Production of Plants That Do Not Engage in a Tragedy of the Commons Game. J. Ecol. 2014, 102, 963–971. [Google Scholar] [CrossRef]
- Semchenko, M.; Zobel, K.; Heinemeyer, A.; Hutchings, M.J. Foraging for Space and Avoidance of Physical Obstructions by Plant Roots: A Comparative Study of Grasses from Contrasting Habitats. New Phytol. 2008, 179, 1162–1170. [Google Scholar] [CrossRef] [PubMed]
- Peng, Y.H.; Niklas, K.J.; Sun, S.C. Do Plants Explore Habitats before Exploiting Them? An Explicit Test Using Two Stoloniferous Herbs. Chin. Sci. Bull. 2012, 57, 2425–2432. [Google Scholar] [CrossRef][Green Version]
- Stephens, D.W. On Economically Tracking a Variable Environment. Theor. Popul. Biol. 1987, 32, 15–25. [Google Scholar] [CrossRef]
- Nimmo, D.G.; Avitabile, S.; Banks, S.C.; Bliege Bird, R.; Callister, K.; Clarke, M.F.; Dickman, C.R.; Doherty, T.S.; Driscoll, D.A.; Greenville, A.C.; et al. Animal Movements in Fire-Prone Landscapes. Biol. Rev. 2019, 94, 981–998. [Google Scholar] [CrossRef]
- Khush, G.S. Green Revolution: Preparing for the 21st Century. Genome 1999, 42, 646–655. [Google Scholar] [CrossRef]
- Murphy, G.P.; Swanton, C.J.; van Acker, R.C.; Dudley, S.A. Kin Recognition, Multilevel Selection and Altruism in Crop Sustainability. J. Ecol. 2017, 105, 930–934. [Google Scholar] [CrossRef]
- DePauw, R.; Townley-Smith, T.; Humphreys, G.; Knox, R.; Clarke, F.; Clarke, J. Lillian Hard Red Spring Wheat. Can. J. Plant Sci. 2005, 85, 397–401. [Google Scholar] [CrossRef]
- Mergoum, M.; Frohberg, R.; Stack, R.; Olson, T.; Friesen, T.; Rasmussen, J. Registration of Glenn Wheat. Crop Sci. 2006, 46, 473–475. [Google Scholar] [CrossRef]
- DePauw, R.; Knox, R.; McCaig, T.; Clarke, F.; Clarke, J. Carberry Hard Red Spring Wheat. Can. J. Plant Sci. 2011, 91, 529–534. [Google Scholar] [CrossRef]
- Chen, H.; Moakhar, N.P.; Iqba, M.; Pozniak, C.; Hucl, P.; Spaner, D. Genetic Variation for Flowering Time and Height Reducing Genes and Important Traits in Western Canadian Spring Wheat. Euphytica 2016, 208, 377–390. [Google Scholar] [CrossRef]
- Hucl, P. CDC Titanium Canadian Food Inspection Agency. Available online: http://www.inspection.gc.ca/english/plaveg/pbrpov/%0Acropreport/whe/app00009612e.shtml (accessed on 23 February 2023).
- Spaner, D. Go Early. Plant Var. J. 2017, 104. Available online: https://inspection.canada.ca/english/plaveg/pbrpov/cropreport/whe/app00009713e.shtml (accessed on 12 February 2023).
- Tumbleson, M.E.; Kommedahl, T. Reproductive Potential of Cyperus Esculentus by Tubers. Weeds 1961, 9, 646–653. [Google Scholar] [CrossRef]
- Youngner, V.B. Growth of U-3 Bermudagrass Under Various Day and Night Temperatures and Light Intensities. Agron J. 1959, 51, 557–559. [Google Scholar] [CrossRef]
- Miyasaka, S.C.; Habte, M.; Friday, J.B.; Johnson, E.V. Manual on Arbuscular Mycorrhizal Fungus Production and Inoculation Techniques. Soil Crop Manag. 2003, 1–4. [Google Scholar]
- Gerdemann, J.W. Vesicular-Arbuscular Mycorrhizae Formed on Maize and Tuliptree by Endogone Fasciculata. Mycologia 1965, 57, 562–575. [Google Scholar] [CrossRef]
- Martínková, J.; Klimeš, A.; Klimešová, J. No Evidence for Nutrient Foraging in Root-Sprouting Clonal Plants. Basic Appl. Ecol. 2018, 28, 27–36. [Google Scholar] [CrossRef]
- Brooks, M.E.; Kristensen, K.; Van Benthem, K.J.; Magnusson, A.; Berg, C.W.; Nielsen, A.; Skaug, H.J.; Machler, M.; Bolker, B.M. GlmmTMB Balances Speed and Flexibility Among Packages for Zero-Inflated Generalized Linear Mixed Modeling. R J. 2017, 9, 378–400. [Google Scholar] [CrossRef]
- R Core Team. R: A Language and Environment for Statistical Computing; R Foundation for Statistical Computing: Vienna, Austria, 2019. [Google Scholar]
Disclaimer/Publisher’s Note: The statements, opinions and data contained in all publications are solely those of the individual author(s) and contributor(s) and not of MDPI and/or the editor(s). MDPI and/or the editor(s) disclaim responsibility for any injury to people or property resulting from any ideas, methods, instructions or products referred to in the content. |
© 2023 by the authors. Licensee MDPI, Basel, Switzerland. This article is an open access article distributed under the terms and conditions of the Creative Commons Attribution (CC BY) license (https://creativecommons.org/licenses/by/4.0/).



