Changes in the Amount and Distribution of Soil Nutrients and Neighbours Have Differential Impacts on Root and Shoot Architecture in Wheat (Triticum aestivum)
Abstract
1. Introduction
2. Results
2.1. Fitness Effects
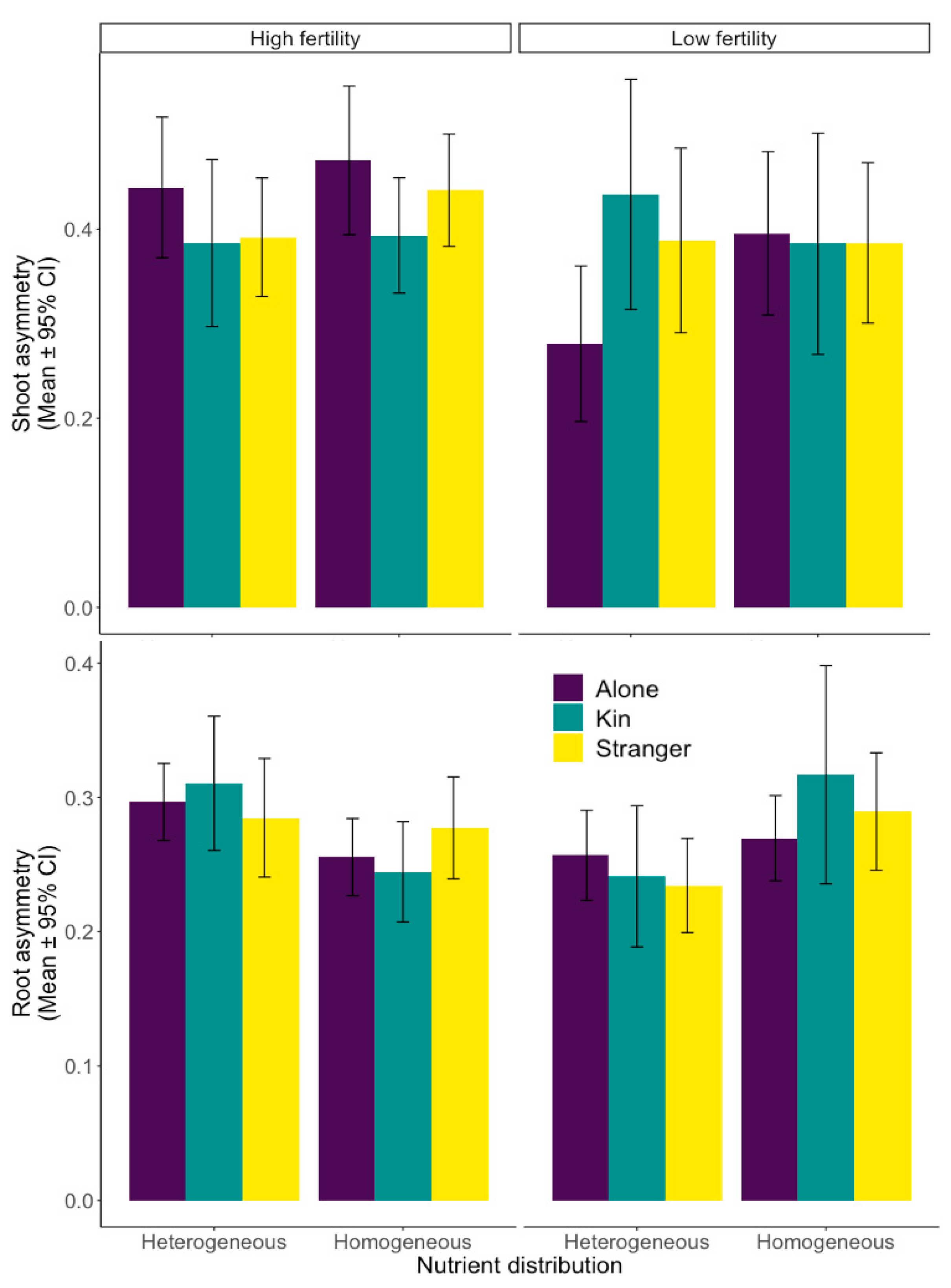
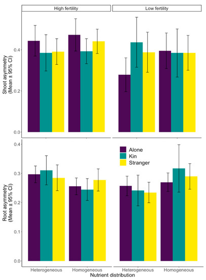
2.2. Aboveground Biomass Distribution
2.3. Belowground Biomass Distribution
3. Discussion
3.1. Reproductive Effort
3.2. Aboveground Biomass Distribution
3.3. Belowground Biomass Distribution and Patch Use
3.4. Future Directions
4. Materials and Methods
4.1. Study Species
4.2. Experimental Design Overview
4.3. Soil Treatments, Neighbour Treatments, and Plant Growth
4.4. Harvest
4.5. Statistical Analysis
Author Contributions
Funding
Data Availability Statement
Acknowledgments
Conflicts of Interest
References
- Novoplansky, A. Picking Battles Wisely: Plant Behaviour under Competition. Plant Cell Environ. 2009, 32, 726–741. [Google Scholar] [CrossRef]
- Ballaré, C.L.; Sánchez, R.A.; Scopel, A.L.; Casal, J.J.; Ghersa, C.M. Early Detection of Neighbour Plants by Phytochrome Perception of Spectral Changes in Reflected Sunlight. Plant Cell Environ. 1987, 10, 551–557. [Google Scholar]
- Novoplansky, A.; Cohen, D.; Sachs, T. How Portulaca Seedlings Avoid Their Neighbors. Oecologia 1990, 82, 490–493. [Google Scholar] [CrossRef] [PubMed]
- Péret, B.; Desnos, T.; Jost, R.; Kanno, S.; Berkowitz, O.; Nussaume, L. Root Architecture Responses: In Search of Phosphate. Plant Physiol. 2014, 166, 1713–1723. [Google Scholar] [CrossRef] [PubMed]
- Nord, E.A.; Zhang, C.; Lynch, J.P. Root Responses to Neighbouring Plants in Common Bean Are Mediated by Nutrient Concentration Rather than Self/Non-Self Recognition. Funct. Plant Biol. 2011, 38, 941–952. [Google Scholar] [CrossRef] [PubMed]
- Pierik, R.; Mommer, L.; Voesenek, L.A. Molecular Mechanisms of Plant Competition: Neighbour Detection and Response Strategies. Funct. Ecol. 2013, 27, 841–853. [Google Scholar] [CrossRef]
- Donohue, K. The Influence of Neighbor Relatedness on Multilevel Selection in the Great Lakes Sea Rocket. Am. Nat. 2003, 162, 77–92. [Google Scholar] [CrossRef]
- Wang, P.; Heijmans, M.M.P.D.; Mommer, L.; Van Ruijven, J.; Maximov, T.C.; Berendse, F. Belowground Plant Biomass Allocation in Tundra Ecosystems and Its Relationship with Temperature. Environ. Res. Lett. 2016, 11, 055003. [Google Scholar] [CrossRef]
- Gruntman, M.; Groß, D.; Májeková, M.; Tielbörger, K. Decision-Making in Plants under Competition. Nat. Commun. 2017, 8, 2235. [Google Scholar] [CrossRef]
- Semchenko, M.; Zobel, K.; Hutchings, M.J. To Compete or Not to Compete: An Experimental Study of Interactions between Plant Species with Contrasting Root Behaviour. Evol. Ecol. 2010, 24, 1433–1445. [Google Scholar] [CrossRef]
- Hodge, A. The Plastic Plant: Root Responses to Heterogeneous Supplies of Nutrients. New Phytol. 2004, 162, 9–24. [Google Scholar] [CrossRef]
- Semchenko, M.; Hutchings, M.J.; John, E.A. Challenging the Tragedy of the Commons in Root Competition: Confounding Effects of Neighbour Presence and Substrate Volume. J. Ecol. 2007, 95, 252–260. [Google Scholar] [CrossRef]
- Vicherová, E.; Glinwood, R.; Hájek, T.; Šmilauer, P.; Ninkovic, V. Bryophytes Can Recognize Their Neighbours through Volatile Organic Compounds. Sci. Rep. 2020, 10, 7045. [Google Scholar] [CrossRef] [PubMed]
- Karst, J.D.; Belter, P.R.; Bennett, J.A.; Cahill, J.F. Context Dependence in Foraging Behaviour of Achillea Millefolium. Oecologia 2012, 170, 925–933. [Google Scholar] [CrossRef] [PubMed]
- Schmid, C.; Bauer, S.; Bartelheimer, M. Should I Stay or Should I Go? Roots Segregate in Response to Competition Intensity. Plant Soil 2015, 391, 283–291. [Google Scholar] [CrossRef]
- Goldberg, D.E.; Werner, P.A. Equivalence of Competitors in Plant Communities: A Null Hypothesis and a Field Experimental Approach. Am. J. Bot. 1983, 70, 1098–1104. [Google Scholar] [CrossRef]
- Aschehoug, E.T.; Brooker, R.; Atwater, D.Z.; Maron, J.L.; Callaway, R.M. The Mechanisms and Consequences of Interspecific Competition among Plants. Annu. Rev. Ecol. Evol. Syst. 2016, 47, 263–281. [Google Scholar] [CrossRef]
- Anten, N.P.R.; Chen, B.J.W. Detect Thy Family: Mechanisms, Ecology and Agricultural Aspects of Kin Recognition in Plants. Plant Cell Environ. 2021, 44, 1059–1071. [Google Scholar] [CrossRef]
- Li, L.; Tilman, D.; Lambers, H.; Zhang, F.-S. Plant Diversity and Overyielding: Insights from Belowground Facilitation of Intercropping in Agriculture. New Phytol. 2014, 203, 63–69. [Google Scholar] [CrossRef]
- Takigahira, H.; Yamawo, A. Competitive Responses Based on Kin-Discrimination Underlie Variations in Leaf Functional Traits in Japanese Beech (Fagus Crenata) Seedlings. Evol. Ecol. 2019, 33, 521–531. [Google Scholar] [CrossRef]
- Yamawo, A.; Mukai, H. Outcome of Interspecific Competition Depends on Genotype of Conspecific Neighbours. Oecologia 2020, 193, 415–423. [Google Scholar] [CrossRef] [PubMed]
- Bilas, R.D.; Bretman, A.; Bennett, T. Friends, Neighbours and Enemies: An Overview of the Communal and Social Biology of Plants. Plant Cell Environ. 2021, 44, 997–1013. [Google Scholar] [CrossRef]
- Goudie, J.W.; Polsson, K.R.; Ott, P.K. An Empirical Model of Crown Shyness for Lodgepole Pine (Pinus Contorta Var. Latifolia [Engl.] Critch.) in British Columbia. Ecol. Manag. 2009, 257, 321–331. [Google Scholar] [CrossRef]
- Uria-Diez, J.; Pommerening, A. Crown Plasticity in Scots Pine (Pinus sylvestris L.) as a Strategy of Adaptation to Competition and Environmental Factors. Ecol. Model. 2017, 356, 117–126. [Google Scholar] [CrossRef]
- Getzin, S.; Wiegand, K. Asymmetric Tree Growth at the Stand Level: Random Crown Patterns and the Response to Slope. Ecol. Manag. 2007, 242, 165–174. [Google Scholar] [CrossRef]
- Hamilton, W.D. The Genetical Evolution of Social Behaviour. I. J. Theor. Biol. 1964, 7, 1–16. [Google Scholar] [CrossRef]
- Hamilton, W.D. The Genetical Evolution of Social Behavior. II. J. Theor. Biol. 1964, 7, 17–52. [Google Scholar] [CrossRef] [PubMed]
- Rankin, D.J.; Bargum, K.; Kokko, H. The Tragedy of the Commons in Evolutionary Biology. Trends Ecol. Evol. 2007, 22, 643–651. [Google Scholar] [CrossRef]
- Gamboa, G.J. Kin Recognition in Eusocial Wasps George. Ann. Zool Fenn. 2004, 41, 789–808. [Google Scholar]
- Krause, E.T.; Krüger, O.; Kohlmeier, P.; Caspers, B.A. Olfactory Kin Recognition in a Songbird. Biol. Lett. 2012, 8, 327–329. [Google Scholar] [CrossRef]
- Sharp, S.P.; McGowan, A.; Wood, M.J.; Hatchwell, B.J. Learned Kin Recognition Cues in a Social Bird. Nature 2005, 434, 1127–1130. [Google Scholar] [CrossRef] [PubMed]
- Lihoreau, M.; Rivault, C. Kin Recognition via Cuticular Hydrocarbons Shapes Cockroach Social Life. Behav. Ecol. 2009, 20, 46–53. [Google Scholar] [CrossRef]
- Ehlers, B.K.; Bilde, T. Inclusive Fitness, Asymmetric Competition and Kin Selection in Plants. Oikos 2019, 128, 765–774. [Google Scholar] [CrossRef]
- Broz, A.K.; Broeckling, C.D.; De-la-Peña, C.; Lewis, M.R.; Greene, E.; Callaway, R.M.; Sumner, L.W.; Vivanco, J.M. Plant Neighbor Identity Influences Plant Biochemistry and Physiology Related to Defense. BMC Plant Biol. 2010, 10, 115. [Google Scholar] [CrossRef] [PubMed]
- Lepik, A.; Abakumova, M.; Zobel, K.; Semchenko, M. Kin Recognition Is Density-Dependent and Uncommon among Temperate Grassland Plants. Funct. Ecol. 2012, 26, 1214–1220. [Google Scholar] [CrossRef]
- File, A.L.; Murphy, G.P.; Dudley, S.A. Fitness Consequences of Plants Growing with Siblings: Reconciling Kin Selection, Niche Partitioning and Competitive Ability. Proc. R. Soc. B Biol. Sci. 2012, 279, 209–218. [Google Scholar] [CrossRef]
- Roig-Villanova, I.; Martínez-García, J.F. Plant Responses to Vegetation Proximity: A Whole Life Avoiding Shade. Front. Plant Sci. 2016, 7, 236. [Google Scholar] [CrossRef]
- Anten, N.P.R.; Alcalá-Herrera, R.; Schieving, F.; Onoda, Y. Wind and Mechanical Stimuli Differentially Affect Leaf Traits in Plantago Major. New Phytol. 2010, 188, 554–564. [Google Scholar] [CrossRef]
- Markovic, D.; Nikolic, N.; Glinwood, R.; Seisenbaeva, G.; Ninkovic, V. Plant Responses to Brief Touching: A Mechanism for Early Neighbour Detection? PLoS ONE 2016, 11, e0165742. [Google Scholar] [CrossRef]
- Heil, M.; Karban, R. Explaining Evolution of Plant Communication by Airborne Signals. Trends Ecol. Evol. 2010, 25, 137–144. [Google Scholar] [CrossRef]
- Baldwin, I.T. Plant Volatiles. Curr. Biol. 2010, 20, R392–R397. [Google Scholar] [CrossRef] [PubMed]
- Dudley, S.A. Plant Cooperation. AoB Plants 2015, 7, plv113. [Google Scholar] [CrossRef] [PubMed]
- Cheplick, G.P.; Kane, K.H. Genetic Relatedness and Competition in Triplasis Purpurea (Poaceae): Resource Paritioning or Kin Selection? Int. J. Plant Sci. 2004, 165, 623–630. [Google Scholar] [CrossRef]
- Milla, R.; Forero, D.M.; Escudero, A.; Iriondo, J.M. Growing with Siblings: A Common Ground for Cooperation or for Fiercer Competition among Plants? Proc. R. Soc. B 2009, 276, 2531–2540. [Google Scholar] [CrossRef] [PubMed]
- Masclaux, F.; Hammond, R.L.; Meunier, J.; Gouhier-Darimont, C.; Keller, L.; Reymond, P. Competitive Ability Not Kinship Affects Growth of Arabidopsis Thaliana Accessions. New Phytol. 2010, 185, 322–331. [Google Scholar] [CrossRef] [PubMed]
- Postma, J.A.; Hecht, V.L.; Hikosaka, K.; Nord, E.A.; Pons, T.L.; Poorter, H. Dividing the Pie: A Quantitative Review on Plant Density Responses. Plant Cell Environ. 2021, 44, 1072–1094. [Google Scholar] [CrossRef]
- Li, J.; Xie, R.Z.; Wang, K.R.; Ming, B.; Guo, Y.Q.; Zhang, G.Q.; Li, S.K.; Zhang, G.; Xie, R.; Wang, K.; et al. Variations in Maize Dry Matter, Harvest Index, and Grain Yield with Plant Density. Crop Econ. Prod. Manag. 2015, 107, 829–834. [Google Scholar] [CrossRef]
- Chen, B.J.W.; During, H.J.; Anten, N.P.R. Detect Thy Neighbor: Identity Recognition at the Root Level in Plants. Plant Sci. 2012, 195, 157–167. [Google Scholar] [CrossRef]
- Gersani, M.; Brown, J.; O’Brien, E.; Maina, G.; Abramsky, Z. Tragedy of the Commons as a Result of Root Competition. J. Ecol. 2001, 89, 660–669. [Google Scholar] [CrossRef]
- Holzapfel, C.; Alpert, P. Root Cooperation in a Clonal Plant: Connected Strawberries Segregate Roots. Oecologia 2003, 134, 72–77. [Google Scholar] [CrossRef]
- Gruntman, M.; Novoplansky, A. Physiologically Mediated Self Non-Self Discrimination in Roots. Proc. Natl. Acad. Sci. USA 2004, 101, 3863–3867. [Google Scholar] [CrossRef] [PubMed]
- Dudley, S.; File, A. Kin Recognition in an Annual Plant. Biol. Lett. 2007, 3, 435–438. [Google Scholar] [CrossRef] [PubMed]
- Murphy, G.P.; Dudley, S.A. Kin Recognition: Competition and Cooperation in Impatiens (Balsaminaceae). Am. J. Bot. 2009, 96, 1990–1996. [Google Scholar] [CrossRef] [PubMed]
- Chen, B.J.W.; During, H.J.; Vermeulen, P.J.; de Kroon, H.; Poorter, H.; Anten, N.P.R. Corrections for Rooting Volume and Plant Size Reveal Negative Effects of Neighbour Presence on Root Allocation in Pea. Funct. Ecol. 2015, 29, 1383–1391. [Google Scholar] [CrossRef]
- Palmer, A.G.; Ali, M.; Yang, S.; Parchami, N.; Bento, T.; Mazzella, A.; Oni, M.; Riley, M.C.; Schneider, K.; Massa, N. Kin Recognition Is a Nutrient-Dependent Inducible Phenomenon. Plant Signal Behav. 2016, 11, e1224045. [Google Scholar] [CrossRef] [PubMed]
- Semchenko, M.; Saar, S.; Lepik, A. Plant Root Exudates Mediate Neighbour Recognition and Trigger Complex Behavioural Changes. New Phytol. 2014, 204, 631–637. [Google Scholar] [CrossRef]
- Zhang, L.; Liu, Q.; Tian, Y.; Xu, X.; Ouyang, H. Kin Selection or Resource Partitioning for Growing with Siblings: Implications from Measurements of Nitrogen Uptake. Plant Soil 2016, 398, 79–86. [Google Scholar] [CrossRef]
- O’Brien, E.E.; Gersani, M.; Brown, J.S. Root Proliferation and Seed Yield in Response to Spatial Heterogeneity of Below-Ground Competition. New Phytol. 2005, 168, 401–412. [Google Scholar] [CrossRef]
- Semchenko, M.; John, E.; Hutchings, M. Effects of Physical Connection and Genetic Identity of Neighbouring Ramets on Root-Placement Patterns in Two Clonal Species. New Phytol. 2007, 176, 644–654. [Google Scholar] [CrossRef]
- Maina, G.; Brown, J.; Gersani, M. Intra-Plant versus Inter-Plant Root Competition in Beans: Avoidance, Resource Matching or Tragedy of the Commons. Plant Ecol. 2002, 160, 235–247. [Google Scholar] [CrossRef]
- Zhu, Y.-H.; Weiner, J.; Li, F.-M. Root Proliferation in Response to Neighbouring Roots in Wheat (Triticum aestivum). Basic Appl. Ecol. 2019, 39, 10–14. [Google Scholar] [CrossRef]
- Brady, D.J.; Gregory, P.J.; Fillery, I.R.P. The Contribution of Different Regions of the Seminal Roots of Wheat to Uptake of Nitrate from Soil. Plant Soil 1993, 155, 155–158. [Google Scholar] [CrossRef]
- McNickle, G.G.; Cahill Jr, J.F. Plant Root Growth and the Marginal Value Theorem. Proc. Natl. Acad. Sci. USA 2009, 106, 4747–4751. [Google Scholar] [CrossRef] [PubMed]
- VanVuuren, M.M.I.; Robinson, D.; Griffiths, B.S. Nutrient Inflow and Root Proliferation during the Exploitation of a Temporally and Spatially Discrete Source of Nitrogen in Soil. Plant Soil 1996, 178, 185–192. [Google Scholar] [CrossRef]
- Cahill, J.F.; McNickle, G.G. The Behavioral Ecology of Nutrient Foraging by Plants. Annu. Rev. Ecol. Evol. Syst. 2011, 42, 289–311. [Google Scholar] [CrossRef]
- Fransen, B.; de Kroon, H.; de Kovel, C.G.F.; van den Bosch, F. Disentangling the Effects of Root Foraging and Inherent Growth Rate on Plant Biomass Accumulation in Heterogeneous Environments: A Modelling Study. Ann. Bot. 1999, 84, 305–311. [Google Scholar] [CrossRef][Green Version]
- Wijesinghe, D.K.; John, E.A.; Beurskens, S.; Hutchings, M.J. Root System Size and Precision in Nutrient Foraging: Responses to Spatial Pattern of Nutrient Supply in Six Herbaceous Species 973 Root System Size and Precision in Nutrient Foraging. J. Ecol. 2001, 89, 972–983. [Google Scholar] [CrossRef]
- Chen, H.; Nguyen, K.; Iqbal, M.; Beres, B.L.; Hucl, P.J.; Spaner, D. The Performance of Spring Wheat Cultivar Mixtures under Conventional and Organic Management in Western Canada. Agrosyst. Geosci. Environ. 2019, 3, e20003. [Google Scholar] [CrossRef]
- Randhawa, H.S.; Asif, M.; Pozniak, C.; Clarke, J.M.; Graf, R.J.; Fox, S.L.; Humphreys, D.G.; Knox, R.E.; Depauw, R.M.; Singh, A.K.; et al. Application of Molecular Markers to Wheat Breeding in Canada. Plant Breed. 2013, 132, 458–471. [Google Scholar] [CrossRef]
- Chen, H.; Bemister, D.H.; Iqbal, M.; Strelkov, S.E.; Spaner, D.M. Mapping Genomic Regions Controlling Agronomic Traits in Spring Wheat under Conventional and Organic Managements. Crop Sci. 2020, 60, 2038–2052. [Google Scholar] [CrossRef]
- Fréville, H.; Roumet, P.; Rode, N.O.; Rocher, A.; Latreille, M.; Muller, M.-H.; David, J. Preferential Helping to Relatives: A Potential Mechanism Responsible for Lower Yield of Crop Variety Mixtures? Evol. Appl. 2019, 12, 1837–1849. [Google Scholar] [CrossRef] [PubMed]
- Hackett, C. A Method of Applying Nutrients Locally to Roots under Controlled Conditions, and Some Morphological Effects of Locally Applied Nitrate on the Branching of Wheat Roots. Aust. J. Biol. Sci. 1972, 3, 1169–1180. [Google Scholar] [CrossRef]
- Bhatt, G.M.; Derera, N.F. Genotype x Environment Interactions for, Heritabilities of, and Correlations among Traits in Wheat. Euphytica 1975, 24, 597–604. [Google Scholar] [CrossRef]
- Zhu, L.; Zhang, D. Donald’s Ideotype and Growth Redundancy: A Pot Experimental Test Using an Old and a Modern Spring Wheat Cultivar. PLoS ONE 2013, 8, 70006. [Google Scholar] [CrossRef]
- Tollenaar, M. Is Low Plant Density a Stress in Maize? Maydica 1992, 37, 305–311. [Google Scholar]
- Echarte, L.; Andrade, F.H. Harvest Index Stability of Argentinean Maize Hybrids Released between 1965 and 1993. Field Crops Res. 2003, 82, 1–12. [Google Scholar] [CrossRef]
- Donald, C.M. The Breeding of Crop Ideotypes. Euphytica 1968, 17, 385–403. [Google Scholar] [CrossRef]
- Denison, R.F. Past Evolutionary Tradeoffs Represent Opportunities for Crop Genetic Improvement and Increased Human Lifespan. Evol. Appl. 2010, 4, 216–224. [Google Scholar] [CrossRef]
- Weiner, J.; Andersen, S.B.; Wille, K.-M.; Griepentrog, H.W.; Olsen, J.M. Evolutionary Agroecology: The Potential for Cooperative, High Density, Weed-Suppressing Cereals. Evol. Appl. 2010, 3, 473–479. [Google Scholar] [CrossRef]
- Anten, N.P.R.; Vermeulen, P.J. Tragedies and Crops: Understanding Natural Selection to Improve Cropping Systems. Trends Ecol. Evol. 2016, 31, 429–439. [Google Scholar] [CrossRef]
- Kiers, E.T.; Denison, R.F. Inclusive Fitness in Agriculture. Philos. Trans. R. Soc. B 2014, 369, 20130367. [Google Scholar] [CrossRef] [PubMed]
- Murphy, G.P.; van Acker, R.; Rajcan, I.; Swanton, C.J. Identity Recognition in Response to Different Levels of Genetic Relatedness in Commercial Soya Bean. R. Soc. Open Sci. 2017, 4, 160879. [Google Scholar] [CrossRef] [PubMed]
- Yang, X.-F.; Li, L.-L.; Xu, Y.; Kong, C.-H. Kin Recognition in Rice (Oryza sativa) Lines. New Phytol. 2018, 220, 567–578. [Google Scholar] [CrossRef] [PubMed]
- Cahill, J.F.; McNickle, G.G.; Haag, J.J.; Lamb, E.G.; Nyanumba, S.M.; Clair, C.C.S. Plants Integrate Information about Nutrients and Neighbors. Science 2010, 328, 1657. [Google Scholar] [CrossRef] [PubMed]
- Bhatt, M.V.; Khandelwal, A.; Dudley, S.A. Kin Recognition, Not Competitive Interactions, Predicts Root Allocation in Young Cakile Edentula Seedling Pairs. New Phytol. 2011, 189, 1135–1142. [Google Scholar] [CrossRef] [PubMed]
- Fang, S.; Clark, R.T.; Zhenge, Y.; Iyer-Pascuzzia, A.S.; Weitz, J.S.; Kochiand, L.V.; Edelsbrunnere, H.; Liaob, H.; Benfey, P.N. Genotypic Recognition and Spatial Responses by Rice Roots. Proc. Natl. Acad. Sci. USA 2013, 110, 2670–2675. [Google Scholar] [CrossRef]
- Biernaskie, J.M. Evidence for Competition and Cooperation among Climbing Plants. Proc. R. Soc. B Biol. Sci. 2011, 278, 1989–1996. [Google Scholar] [CrossRef]
- Torices, R.; Gómez, J.M.; Pannell, J.R. Kin Discrimination Allows Plants to Modify Investment towards Pollinator Attraction. Nat. Commun. 2018, 9, 2018. [Google Scholar] [CrossRef]
- Taylor, P.D. Altruism in Viscous Populations—An Inclusive Fitness Model. Evol. Ecol. 1992, 6, 352–356. [Google Scholar] [CrossRef]
- Goodnight, C.J. The Influence of Environmental Variation on Group and Individual Selection in a Cress. Evolution 1985, 39, 545–558. [Google Scholar] [CrossRef]
- Smyeka, J.; Herben, T. Phylogenetic Patterns of Tragedy of Commons in Intraspecific Root Competition. Plant Soil 2017, 417, 87–97. [Google Scholar] [CrossRef]
- Brown, C.; Oppon, K.J.; Cahill, J.F. Species-Specific Size Vulnerabilities in a Competitive Arena: Nutrient Heterogeneity and Soil Fertility Alter Plant Competitive Size Asymmetries. Funct. Ecol. 2019, 33, 1491–1503. [Google Scholar] [CrossRef]
- Shah, S.H.; Houborg, R.; McCabe, M.F. Response of Chlorophyll, Carotenoid and SPAD-502 Measurement to Salinity and Nutrient Stress in Wheat (Triticum aestivum L.). Agronomy 2017, 7, 61. [Google Scholar] [CrossRef]
- Cahill, J.F. Ferilizations Effects on Interactions between Above- and Belowground Competition in an Old Field. Ecology 1999, 80, 466–480. [Google Scholar] [CrossRef]
- Hautier, Y.; Niklaus, P.A.; Hector, A. Competition for Light Causes Plant Biodiversity Loss after Eutrophication. Science 2009, 324, 636–638. [Google Scholar] [CrossRef] [PubMed]
- Lamb, E.G.; Kembel, S.W.; Cahill, J.F. Shoot, but Not Root, Competition Reduces Community Diversity in Experimental Mesocosms. J. Ecol. 2009, 97, 155–163. [Google Scholar] [CrossRef]
- Mahall, B.; Callaway, R. Root Communication among Desert Shrubs. Proc. Natl. Acad. Sci. USA 1991, 88, 874–896. [Google Scholar] [CrossRef] [PubMed]
- Schenk, H.J. Root Competition: Beyond Resource Depletion. J. Ecol. 2006, 94, 725–739. [Google Scholar] [CrossRef]
- Belter, P.R.; Cahill, J.F. Disentangling Root System Responses to Neighbours: Identification of Novel Root Behavioural Strategies. AoB Plants 2015, 7, plv059. [Google Scholar] [CrossRef]
- Ljubotina, M.K.; Cahill, J.F. Effects of Neighbour Location and Nutrient Distributions on Root Foraging Behaviour of the Common Sunflower. Proc. R. Soc. B Biol. Sci. 2019, 286, 20190955. [Google Scholar] [CrossRef]
- Jennings, P.R.; DeJesus, J. Studies on Competition in Rice I. Competition in Mixtures of Varieties. Evolution 1968, 22, 119–124. [Google Scholar] [CrossRef]
- Lankinen, A. Root Competition Influences Pollen Competitive Ability in Viola Tricolor: Effects of Presence of a Competitor beyond Resource Availability? J. Ecol. 2008, 96, 756–765. [Google Scholar] [CrossRef]
- Markham, J.; Halwas, S. Effect of Neighbor Presence and Soil Volume on the Growth of Andropogon Gerardii Vitman. Plant Ecol. Divers 2011, 4, 265–268. [Google Scholar] [CrossRef]
- Meier, I.C.; Angert, A.; Falik, O.; Shelef, O.; Rachmilevitch, S. Increased Root Oxygen Uptake in Pea Plants Responding to Non-Self Neighbor. Planta 2013, 238, 577–586. [Google Scholar] [CrossRef]
- McNickle, G.G.; Brown, J.S. An Ideal Free Distribution Explains the Root Production of Plants That Do Not Engage in a Tragedy of the Commons Game. J. Ecol. 2014, 102, 963–971. [Google Scholar] [CrossRef]
- Semchenko, M.; Zobel, K.; Heinemeyer, A.; Hutchings, M.J. Foraging for Space and Avoidance of Physical Obstructions by Plant Roots: A Comparative Study of Grasses from Contrasting Habitats. New Phytol. 2008, 179, 1162–1170. [Google Scholar] [CrossRef] [PubMed]
- Peng, Y.H.; Niklas, K.J.; Sun, S.C. Do Plants Explore Habitats before Exploiting Them? An Explicit Test Using Two Stoloniferous Herbs. Chin. Sci. Bull. 2012, 57, 2425–2432. [Google Scholar] [CrossRef][Green Version]
- Stephens, D.W. On Economically Tracking a Variable Environment. Theor. Popul. Biol. 1987, 32, 15–25. [Google Scholar] [CrossRef]
- Nimmo, D.G.; Avitabile, S.; Banks, S.C.; Bliege Bird, R.; Callister, K.; Clarke, M.F.; Dickman, C.R.; Doherty, T.S.; Driscoll, D.A.; Greenville, A.C.; et al. Animal Movements in Fire-Prone Landscapes. Biol. Rev. 2019, 94, 981–998. [Google Scholar] [CrossRef]
- Khush, G.S. Green Revolution: Preparing for the 21st Century. Genome 1999, 42, 646–655. [Google Scholar] [CrossRef]
- Murphy, G.P.; Swanton, C.J.; van Acker, R.C.; Dudley, S.A. Kin Recognition, Multilevel Selection and Altruism in Crop Sustainability. J. Ecol. 2017, 105, 930–934. [Google Scholar] [CrossRef]
- DePauw, R.; Townley-Smith, T.; Humphreys, G.; Knox, R.; Clarke, F.; Clarke, J. Lillian Hard Red Spring Wheat. Can. J. Plant Sci. 2005, 85, 397–401. [Google Scholar] [CrossRef]
- Mergoum, M.; Frohberg, R.; Stack, R.; Olson, T.; Friesen, T.; Rasmussen, J. Registration of Glenn Wheat. Crop Sci. 2006, 46, 473–475. [Google Scholar] [CrossRef]
- DePauw, R.; Knox, R.; McCaig, T.; Clarke, F.; Clarke, J. Carberry Hard Red Spring Wheat. Can. J. Plant Sci. 2011, 91, 529–534. [Google Scholar] [CrossRef]
- Chen, H.; Moakhar, N.P.; Iqba, M.; Pozniak, C.; Hucl, P.; Spaner, D. Genetic Variation for Flowering Time and Height Reducing Genes and Important Traits in Western Canadian Spring Wheat. Euphytica 2016, 208, 377–390. [Google Scholar] [CrossRef]
- Hucl, P. CDC Titanium Canadian Food Inspection Agency. Available online: http://www.inspection.gc.ca/english/plaveg/pbrpov/%0Acropreport/whe/app00009612e.shtml (accessed on 23 February 2023).
- Spaner, D. Go Early. Plant Var. J. 2017, 104. Available online: https://inspection.canada.ca/english/plaveg/pbrpov/cropreport/whe/app00009713e.shtml (accessed on 12 February 2023).
- Tumbleson, M.E.; Kommedahl, T. Reproductive Potential of Cyperus Esculentus by Tubers. Weeds 1961, 9, 646–653. [Google Scholar] [CrossRef]
- Youngner, V.B. Growth of U-3 Bermudagrass Under Various Day and Night Temperatures and Light Intensities. Agron J. 1959, 51, 557–559. [Google Scholar] [CrossRef]
- Miyasaka, S.C.; Habte, M.; Friday, J.B.; Johnson, E.V. Manual on Arbuscular Mycorrhizal Fungus Production and Inoculation Techniques. Soil Crop Manag. 2003, 1–4. [Google Scholar]
- Gerdemann, J.W. Vesicular-Arbuscular Mycorrhizae Formed on Maize and Tuliptree by Endogone Fasciculata. Mycologia 1965, 57, 562–575. [Google Scholar] [CrossRef]
- Martínková, J.; Klimeš, A.; Klimešová, J. No Evidence for Nutrient Foraging in Root-Sprouting Clonal Plants. Basic Appl. Ecol. 2018, 28, 27–36. [Google Scholar] [CrossRef]
- Brooks, M.E.; Kristensen, K.; Van Benthem, K.J.; Magnusson, A.; Berg, C.W.; Nielsen, A.; Skaug, H.J.; Machler, M.; Bolker, B.M. GlmmTMB Balances Speed and Flexibility Among Packages for Zero-Inflated Generalized Linear Mixed Modeling. R J. 2017, 9, 378–400. [Google Scholar] [CrossRef]
- R Core Team. R: A Language and Environment for Statistical Computing; R Foundation for Statistical Computing: Vienna, Austria, 2019. [Google Scholar]




| Model | F-Value (df1, df2) | p-Value |
|---|---|---|
| Reproductive effort | ||
| neighbour | 2.518 (2, 580) | 0.0815 |
| fertility | 4.494 (1, 580) | 0.0344 |
| distribution | 1.005 (1, 580) | 0.3166 |
| neighbour:fertility | 1.938 (2, 580) | 0.1449 |
| neighbour:distribution | 0.979 (2, 580) | 0.3763 |
| fertility:distribution | 0.100 (1, 580) | 0.7524 |
| neighbour:fertility:distribution | 0.331 (2, 580) | 0.7185 |
| Shoot asymmetry | ||
| neighbour | 1.522 (2, 583) | 0.219 |
| fertility | 7.243 (1, 583) | 0.0073 |
| distribution | 0.66 (1, 583) | 0.4169 |
| neighbour:fertility | 2.758 (2, 583) | 0.0643 |
| neighbour:distribution | 0.617 (2, 583) | 0.5397 |
| fertility:distribution | 0.071 (1, 583) | 0.7905 |
| neighbour:fertility:distribution | 0.271 (2, 583) | 0.7628 |
| Root asymmetry | ||
| neighbour | 0.152 (2, 582) | 0.8589 |
| fertility | 1.622 (1, 582) | 0.2034 |
| distribution | 0.538 (1, 582) | 0.4634 |
| neighbour:fertility | 0.044 (2, 582) | 0.9572 |
| neighbour:distribution | 1.062 (2, 582) | 0.3463 |
| fertility:distribution | 11.975 (1, 582) | 0.0006 |
| neighbour:fertility:distribution | 0.878 (2, 582) | 0.4163 |
| Root precision | ||
| neighbour | 0.634 (2, 582) | 0.5311 |
| fertility | 10.739 (1, 582) | 0.0011 |
| distribution | 330.789 (1, 582) | <0.0001 |
| neighbour:fertility | 0.233 (2, 582) | 0.7926 |
| neighbour:distribution | 0.696 (2, 582) | 0.4991 |
| fertility:distribution | 0.615 (1, 582) | 0.4333 |
| neighbour:fertility:distribution | 0.577 (2, 582) | 0.562 |
| Model | Estimate | S.E. | df | t Ratio | p-Value |
|---|---|---|---|---|---|
| Reproductive effort | |||||
| Alone—Neighbour | 0.115 | 0.0573 | 580 | 2.003 | 0.0456 |
| Kin—Stranger | −0.115 | 0.0811 | 580 | −1.413 | 0.1583 |
| Heterogeneous High fertility—Homogeneous High fertility | 0.0796 | 0.0835 | 580 | 0.954 | 0.3407 |
| Heterogeneous High fertility—Heterogeneous Low fertility | −0.11 | 0.0875 | 580 | −1.257 | 0.2094 |
| Homogeneous High fertility—Homogeneous Low fertility | −0.1481 | 0.0839 | 580 | −1.765 | 0.0781 |
| Heterogeneous Low fertility—Homogeneous Low fertility | 0.0415 | 0.0873 | 580 | 0.475 | 0.6349 |
| Shoot asymmetry | |||||
| Alone—Neighbour | −0.1828 | 0.105 | 583 | −1.733 | 0.0837 |
| Kin—Stranger | 0.0329 | 0.154 | 583 | 0.214 | 0.8309 |
| Heterogeneous High fertility—Homogeneous High fertility | −0.1221 | 0.16 | 583 | −0.763 | 0.4455 |
| Heterogeneous High fertility—Heterogeneous Low fertility | 0.2756 | 0.162 | 583 | 1.703 | 0.0891 |
| Homogeneous High fertility—Homogeneous Low fertility | 0.3358 | 0.159 | 583 | 2.113 | 0.035 |
| Heterogeneous Low fertility—Homogeneous Low fertility | −0.0619 | 0.16 | 583 | −0.386 | 0.6995 |
| Root asymmetry | |||||
| Alone—Neighbour | −0.0166 | 0.0538 | 582 | −0.309 | 0.7571 |
| Kin—Stranger | 0.0401 | 0.0777 | 582 | 0.515 | 0.6064 |
| Heterogeneous High fertility—Homogeneous High fertility | 0.157 | 0.0803 | 582 | 1.952 | 0.0514 |
| Heterogeneous High fertility—Heterogeneous Low fertility | 0.272 | 0.0824 | 582 | 3.301 | 0.001 |
| Homogeneous High fertility—Homogeneous Low fertility | −0.126 | 0.0801 | 582 | −1.57 | 0.1169 |
| Heterogeneous Low fertility—Homogeneous Low fertility | −0.241 | 0.0822 | 582 | −2.931 | 0.0035 |
| Root precision | |||||
| Alone—Neighbour | −0.0397 | 0.0664 | 582 | −0.599 | 0.5497 |
| Kin—Stranger | 0.1027 | 0.096 | 582 | 1.069 | 0.2853 |
| Heterogeneous High fertility—Homogeneous High fertility | 1.372 | 0.1022 | 582 | 13.427 | <0.0001 |
| Heterogeneous High fertility—Heterogeneous Low fertility | 0.288 | 0.1078 | 582 | 2.675 | 0.0077 |
| Homogeneous High fertility—Homogeneous Low fertility | 0.177 | 0.0924 | 582 | 1.917 | 0.0557 |
| Heterogeneous Low fertility—Homogeneous Low fertility | 1.261 | 0.1005 | 582 | 12.55 | <0.0001 |
Disclaimer/Publisher’s Note: The statements, opinions and data contained in all publications are solely those of the individual author(s) and contributor(s) and not of MDPI and/or the editor(s). MDPI and/or the editor(s) disclaim responsibility for any injury to people or property resulting from any ideas, methods, instructions or products referred to in the content. |
© 2023 by the authors. Licensee MDPI, Basel, Switzerland. This article is an open access article distributed under the terms and conditions of the Creative Commons Attribution (CC BY) license (https://creativecommons.org/licenses/by/4.0/).
Share and Cite
Mahal, H.F.; Barber-Cross, T.; Brown, C.; Spaner, D.; Cahill, J.F., Jr. Changes in the Amount and Distribution of Soil Nutrients and Neighbours Have Differential Impacts on Root and Shoot Architecture in Wheat (Triticum aestivum). Plants 2023, 12, 2527. https://doi.org/10.3390/plants12132527
Mahal HF, Barber-Cross T, Brown C, Spaner D, Cahill JF Jr. Changes in the Amount and Distribution of Soil Nutrients and Neighbours Have Differential Impacts on Root and Shoot Architecture in Wheat (Triticum aestivum). Plants. 2023; 12(13):2527. https://doi.org/10.3390/plants12132527
Chicago/Turabian StyleMahal, Habba F., Tianna Barber-Cross, Charlotte Brown, Dean Spaner, and James F. Cahill, Jr. 2023. "Changes in the Amount and Distribution of Soil Nutrients and Neighbours Have Differential Impacts on Root and Shoot Architecture in Wheat (Triticum aestivum)" Plants 12, no. 13: 2527. https://doi.org/10.3390/plants12132527
APA StyleMahal, H. F., Barber-Cross, T., Brown, C., Spaner, D., & Cahill, J. F., Jr. (2023). Changes in the Amount and Distribution of Soil Nutrients and Neighbours Have Differential Impacts on Root and Shoot Architecture in Wheat (Triticum aestivum). Plants, 12(13), 2527. https://doi.org/10.3390/plants12132527
