Pathogen Resistance Depending on Jacalin-Dirigent Chimeric Proteins Is Common among Poaceae but Absent in the Dicot Arabidopsis as Evidenced by Analysis of Homologous Single-Domain Proteins
Abstract
1. Introduction
2. Results
2.1. Domain-Swap Experiments Reveal Functional Conservation for Domains of Chimeric monocotJRLs from Different Species
2.2. Transient Overexpression of Arabidopsis AtJAX1 and AtDIR19 Increases Resistance of Barley to Powdery Mildew, but AtJAX1 Is Not Required for Powdery Mildew Resistance in Arabidopsis
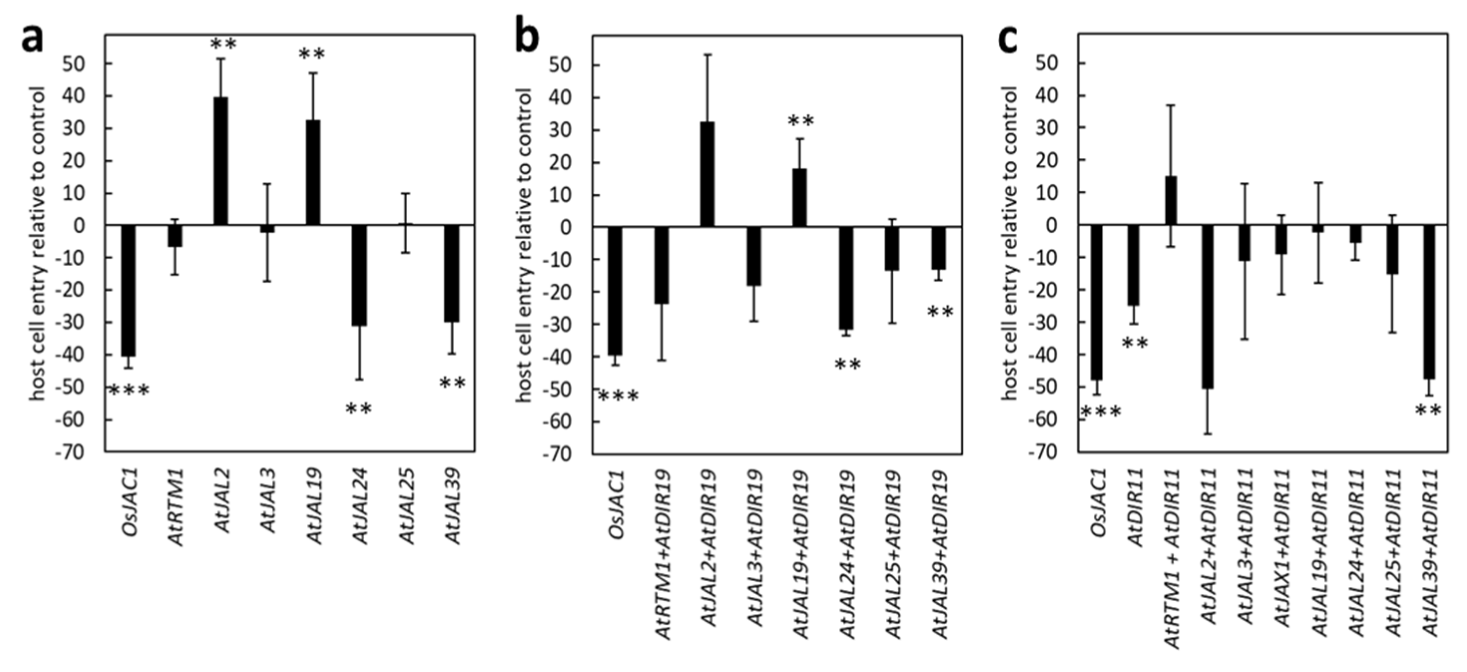
2.3. Several Pairs of Arabidopsis JRL and DIR Proteins Affect Resistance of Barley to Powdery Mildew
2.4. Arabidopsis Protein Pairs AtDIR11/AtJAL2 and AtDIR11/AtJAL39 Do Not Physically Interact
2.5. Constitutive Expression of OsJAC1 in Arabidopsis Does Not Affect Powdery Mildew Resistance
2.6. In Silico Analyses of Binding Properties of Selected JRL and DIR Domains
3. Discussion
4. Materials and Methods
4.1. Plant Material, Fungal Isolates, and Inoculation
4.2. Transient Overexpression Assay (TOX) on Single Barley Cells
4.3. Identification of JRL- or DIR-Domain-Containing Proteins in Arabidopsis
4.4. Bi-Fluorescence Complementation Assay (BiFC)
4.5. Phenolic Total Protein Extraction and Western Blot
4.6. Structural Modelling
Supplementary Materials
Author Contributions
Funding
Data Availability Statement
Acknowledgments
Conflicts of Interest
References
- Esch, L.; Schaffrath, U. An Update on Jacalin-like Lectins and Their Role in Plant Defense. Int. J. Mol. Sci. 2017, 18, 1592. [Google Scholar] [CrossRef] [PubMed]
- Han, Y.J.; Zhong, Z.H.; Song, L.L.; Stefan, O.; Wang, Z.H.; Lu, G.D. Evolutionary Analysis of Plant Jacalin-Related Lectins (JRLs) Family and Expression of Rice JRLs in Response to Magnaporthe oryzae. J. Integr. Agric. 2018, 17, 1252–1266. [Google Scholar] [CrossRef]
- Nagano, A.J.; Fukao, Y.; Fujiwara, M.; Nishimura, M.; Hara-Nishimura, I. Antagonistic Jacalin-Related Lectins Regulate the Size of ER Body-Type β-Glucosidase Complexes in Arabidopsis thaliana. Plant Cell Physiol. 2008, 49, 969–980. [Google Scholar] [CrossRef] [PubMed]
- Weidenbach, D.; Esch, L.; Möller, C.; Hensel, G.; Kumlehn, J.; Höfle, C.; Hückelhoven, R.; Schaffrath, U. Polarized Defense Against Fungal Pathogens Is Mediated by the Jacalin-Related Lectin Domain of Modular Poaceae-Specific Proteins. Mol. Plant 2016, 9, 514–527. [Google Scholar] [CrossRef]
- Ma, Q.H.; Han, J.Q. Identification of Monocot Chimeric Jacalin Family Reveals Functional Diversity in Wheat. Planta 2021, 253, 30. [Google Scholar] [CrossRef]
- Xiao, J.; Li, C.; Xu, S.; Xing, L.; Xu, Y.; Chong, K. JACALIN-LECTIN LIKE1 Regulates the Nuclear Accumulation of GLYCINE-RICH RNA-BINDING PROTEIN7, Influencing the RNA Processing of FLOWERING LOCUS C Antisense Transcripts and Flowering Time in Arabidopsis. Plant Physiol. 2015, 169, 2102–2117. [Google Scholar] [CrossRef]
- Yamaji, Y.; Maejima, K.; Komatsu, K.; Shiraishi, T.; Okano, Y.; Himeno, M.; Sugawara, K.; Neriya, Y.; Minato, N.; Miura, C.; et al. Lectin-Mediated Resistance Impairs Plant Virus Infection at the Cellular Level. Plant Cell Online 2012, 24, 778–793. [Google Scholar] [CrossRef]
- Mahajan, S.K.; Chisholm, S.T.; Whitham, S.A.; Carrington, J.C. Identification and Characterization of a Locus (RTM1) That Restricts Long-Distance Movement of Tobacco Etch Virus in Arabidopsis thaliana. Plant J. 1998, 14, 177–186. [Google Scholar] [CrossRef]
- Garcia, A.B.; De Almeida Engler, J.; Claes, B.; Villarroel, R.; Van Montagu, M.; Gerats, T.; Caplan, A. The Expression of the Salt-Responsive Gene SalT from Rice Is Regulated by Hormonal and Developmental Cues. Planta 1998, 207, 172–180. [Google Scholar] [CrossRef]
- Xiang, Y.; Song, M.; Wei, Z.; Tong, J.; Zhang, L.; Xiao, L.; Ma, Z.; Wang, Y. A Jacalin-Related Lectin-like Gene in Wheat Is a Component of the Plant Defence System. J. Exp. Bot. 2011, 62, 5471–5483. [Google Scholar] [CrossRef]
- Davin, L.B.; Lewis, N.G. Dirigent Proteins and Dirigent Sites Explain the Mystery of Specificity of Radical Precursor Coupling in Lignan and Lignin Biosynthesis. Plant Physiol. 2000, 123, 453–461. [Google Scholar] [CrossRef] [PubMed]
- Paniagua, C.; Bilkova, A.; Jackson, P.; Dabravolski, S.; Riber, W.; Didi, V.; Houser, J.; Gigli-Bisceglia, N.; Wimmerova, M.; Budínská, E.; et al. Dirigent Proteins in Plants: Modulating Cell Wall Metabolism during Abiotic and Biotic Stress Exposure. J. Exp. Bot. 2017, 68, 3287–3301. [Google Scholar] [CrossRef] [PubMed]
- Huwa, N.; Weiergräber, O.H.; Kirsch, C.; Schaffrath, U.; Classen, T. Biochemical and Initial Structural Characterization of the Monocot Chimeric Jacalin OsJAC1. Int. J. Mol. Sci. 2021, 22, 5639. [Google Scholar] [CrossRef] [PubMed]
- Song, M.; Xu, W.; Xiang, Y.; Jia, H.; Zhang, L.; Ma, Z. Association of Jacalin-Related Lectins with Wheat Responses to Stresses Revealed by Transcriptional Profiling. Plant Mol. Biol. 2014, 84, 95–110. [Google Scholar] [CrossRef]
- Ma, Q.H.; Tian, B.; Li, Y.L. Overexpression of a Wheat Jasmonate-Regulated Lectin Increases Pathogen Resistance. Biochimie 2010, 92, 187–193. [Google Scholar] [CrossRef]
- Marcotte, E.M.; Pellegrini, M.; Ng, H.L.; Rice, D.W.; Yeates, T.O.; Eisenberg, D. Detecting Protein Function and Protein-Protein Interactions from Genome Sequences. Science 1999, 285, 751–753. [Google Scholar] [CrossRef]
- Chen, W.H.; de Meaux, J.; Lercher, M.J. Co-Expression of Neighbouring Genes in Arabidopsis: Separating Chromatin Effects from Direct Interactions. BMC Genom. 2010, 11, 178. [Google Scholar] [CrossRef]
- Reimegård, J.; Kundu, S.; Pendle, A.; Irish, V.F.; Shaw, P.; Nakayama, N.; Sundström, J.F.; Emanuelsson, O. Genome-Wide Identification of Physically Clustered Genes Suggests Chromatin-Level Co-Regulation in Male Reproductive Development in Arabidopsis thaliana. Nucleic Acids Res. 2017, 45, 3253–3265. [Google Scholar] [CrossRef]
- Alonso-Blanco, C.; Andrade, J.; Becker, C.; Bemm, F.; Bergelson, J.; Borgwardt, K.M.M.; Cao, J.; Chae, E.; Dezwaan, T.M.M.; Ding, W.; et al. 1,135 Genomes Reveal the Global Pattern of Polymorphism in Arabidopsis thaliana. Cell 2016, 166, 481–491. [Google Scholar] [CrossRef]
- Cao, J.; Schneeberger, K.; Ossowski, S.; Günther, T.; Bender, S.; Fitz, J.; Koenig, D.; Lanz, C.; Stegle, O.; Lippert, C.; et al. Whole-Genome Sequencing of Multiple Arabidopsis thaliana Populations. Nat. Genet. 2011, 43, 956–963. [Google Scholar] [CrossRef]
- Campe, R.; Langenbach, C.; Leissing, F.; Popescu, G.V.; Popescu, S.C.; Goellner, K.; Beckers, G.J.M.; Conrath, U. ABC Transporter PEN3/PDR8/ABCG36 Interacts with Calmodulin That, like PEN3, Is Required for Arabidopsis Nonhost Resistance. New Phytol. 2016, 209, 294–306. [Google Scholar] [CrossRef] [PubMed]
- Livak, K.J.; Schmittgen, T.D. Analysis of Relative Gene Expression Data Using Real-Time Quantitative PCR and the 2(-Delta Delta C(T)) Method. Methods 2001, 25, 402–408. [Google Scholar] [CrossRef] [PubMed]
- Huwa, N.; Weiergräber, O.H.; Fejzagić, A.V.; Kirsch, C.; Schaffrath, U.; Classen, T. The Crystal Structure of the Defense Conferring Rice Protein OsJAC1 Reveals a Carbohydrate Binding Site on the Dirigent-like Domain. Biomolecules 2022, 12, 1126. [Google Scholar] [CrossRef] [PubMed]
- Jeyaprakash, A.A.; Katiyar, S.; Swaminathan, C.P.; Sekar, K.; Surolia, A.; Vijayan, M. Structural Basis of the Carbohydrate Specificities of Jacalin: An X-Ray and Modeling Study. J. Mol. Biol. 2003, 332, 217–228. [Google Scholar] [CrossRef] [PubMed]
- Büschges, R.; Hollricher, K.; Panstruga, R.; Simons, G.; Wolter, M.; Frijters, A.; Van Daelen, R.; Van der Lee, T.; Diergaarde, P.; Groenendijk, J.; et al. The Barley Mlo Gene: A Novel Control Element of Plant Pathogen Resistance. Cell 1997, 88, 695–705. [Google Scholar] [CrossRef]
- Consonni, C.; Humphry, M.E.; Hartmann, H.A.; Livaja, M.; Durner, J.; Westphal, L.; Vogel, J.; Lipka, V.; Kemmerling, B.; Schulze-Lefert, P.; et al. Conserved Requirement for a Plant Host Cell Protein in Powdery Mildew Pathogenesis. Nat. Genet. 2006, 38, 716–720. [Google Scholar] [CrossRef]
- Humphry, M.; Bednarek, P.; Kemmerling, B.; Koh, S.; Stein, M.; Göbel, U.; Stüber, K.; Piślewska-Bednarek, M.; Loraine, A.; Schulze-Lefert, P.; et al. A Regulon Conserved in Monocot and Dicot Plants Defines a Functional Module in Antifungal Plant Immunity. Proc. Natl. Acad. Sci. USA 2010, 107, 21896–21901. [Google Scholar] [CrossRef]
- Holton, N.; Nekrasov, V.; Ronald, P.C.; Zipfel, C. The Phylogenetically-Related Pattern Recognition Receptors EFR and XA21 Recruit Similar Immune Signaling Components in Monocots and Dicots. PLoS Pathog. 2015, 11, e1004602. [Google Scholar] [CrossRef]
- Sun, X.; Pang, H.; Li, M.; Chen, J.; Hang, Y. Tracing the Origin and Evolution of Plant TIR-Encoding Genes. Gene 2014, 546, 408–416. [Google Scholar] [CrossRef]
- Tohge, T.; Fernie, A.R. Co-Regulation of Clustered and Neo-Functionalized Genes in Plant-Specialized Metabolism. Plants 2020, 9, 622. [Google Scholar] [CrossRef]
- Schweizer, P.; Pokorny, J.; Abderhalden, O.; Dudler, R. A Transient Assay System for the Functional Assessment of Defense-Related Genes in Wheat. Mol. Plant. Microbe. Interact. 1999, 12, 647–654. [Google Scholar] [CrossRef]
- Jung, I.J.; Ahn, J.W.; Jung, S.; Hwang, J.E.; Hong, M.J.; Choi, H.I.; Kim, J.B. Overexpression of Rice Jacalin-Related Mannose-Binding Lectin (OsJAC1) Enhances Resistance to Ionizing Radiation in Arabidopsis. BMC Plant Biol. 2019, 19, 561. [Google Scholar] [CrossRef] [PubMed]
- Hinze, K.; Thompson, R.D.; Ritter, E.; Salamini, F.; Schulze-Lefert, P. Restriction Fragment Length Polymorphism-Mediated Targeting of the Ml-o Resistance Locus in Barley (Hordeum Vulgare). Proc. Natl. Acad. Sci. USA 1991, 88, 3691–3695. [Google Scholar] [CrossRef] [PubMed]
- Weidenbach, D.; Jansen, M.; Franke, R.B.; Hensel, G.; Weissgerber, W.; Ulferts, S.; Jansen, I.; Schreiber, L.; Korzun, V.; Pontzen, R.; et al. Evolutionary Conserved Function of Barley and Arabidopsis 3-KETOACYL-CoA SYNTHASES in Providing Wax Signals for Germination of Powdery Mildew Fungi. Plant Physiol. 2014, 166, 1621. [Google Scholar] [CrossRef]
- Zhang, X.; Henriques, R.; Lin, S.S.; Niu, Q.W.; Chua, N.H. Agrobacterium-Mediated Transformation of Arabidopsis thaliana Using the Floral Dip Method. Nat. Protoc. 2006, 1, 641–646. [Google Scholar] [CrossRef]
- Earley, K.W.; Haag, J.R.; Pontes, O.; Opper, K.; Juehne, T.; Song, K.; Pikaard, C.S. Gateway-Compatible Vectors for Plant Functional Genomics and Proteomics. Plant J. 2006, 45, 616–629. [Google Scholar] [CrossRef]
- Berardini, T.Z.; Reiser, L.; Li, D.; Mezheritsky, Y.; Muller, R.; Strait, E.; Huala, E. The Arabidopsis Information Resource: Making and Mining the ‘Gold Standard’ Annotated Reference Plant Genome. Genesis 2015, 53, 474. [Google Scholar] [CrossRef]
- Marchler-Bauer, A.; Derbyshire, M.K.; Gonzales, N.R.; Lu, S.; Chitsaz, F.; Geer, L.Y.; Geer, R.C.; He, J.; Gwadz, M.; Hurwitz, D.I.; et al. CDD: NCBI’s Conserved Domain Database. Nucleic Acids Res. 2015, 43, D222–D226. [Google Scholar] [CrossRef]
- Marchler-Bauer, A.; Bo, Y.; Han, L.; He, J.; Lanczycki, C.J.; Lu, S.; Chitsaz, F.; Derbyshire, M.K.; Geer, R.C.; Gonzales, N.R.; et al. CDD/SPARCLE: Functional Classification of Proteins via Subfamily Domain Architectures. Nucleic Acids Res. 2017, 45, D200–D203. [Google Scholar] [CrossRef]
- Thompson, J.D.; Higgins, D.G.; Gibson, T.J. CLUSTAL W: Improving the Sensitivity of Progressive Multiple Sequence Alignment through Sequence Weighting, Position-Specific Gap Penalties and Weight Matrix Choice. Nucleic Acids Res. 1994, 22, 4673. [Google Scholar] [CrossRef]
- Tamura, K.; Stecher, G.; Peterson, D.; Filipski, A.; Kumar, S. MEGA6: Molecular Evolutionary Genetics Analysis Version 6.0. Mol. Biol. Evol. 2013, 30, 2725–2729. [Google Scholar] [CrossRef]
- Jones, D.T.; Taylor, W.R.; Thornton, J.M. The Rapid Generation of Mutation Data Matrices from Protein Sequences. Comput. Appl. Biosci. 1992, 8, 275–282. [Google Scholar] [CrossRef] [PubMed]
- Kumar, S.; Stecher, G.; Tamura, K. MEGA7: Molecular Evolutionary Genetics Analysis Version 7.0 for Bigger Datasets. Mol. Biol. Evol. 2016, 33, 1870. [Google Scholar] [CrossRef] [PubMed]
- Gehl, C.; Waadt, R.; Kudla, J.; Mendel, R.R.; Hänsch, R. New GATEWAY Vectors for High Throughput Analyses of Protein-Protein Interactions by Bimolecular Fluorescence Complementation. Mol. Plant 2009, 2, 1051–1058. [Google Scholar] [CrossRef] [PubMed]
- Thomas, M.; Huck, N.; Hoehenwarter, W.; Conrath, U.; Beckers, G.J.M. Combining Metabolic 15N Labeling with Improved Tandem MOAC for Enhanced Probing of the Phosphoproteome. In Plant Phosphoproteomics; Humana Press: New York, NY, USA, 2015; pp. 81–96. [Google Scholar] [CrossRef]
- Mulnaes, D.; Porta, N.; Clemens, R.; Apanasenko, I.; Reiners, J.; Gremer, L.; Neudecker, P.; Smits, S.H.J.; Gohlke, H. TopModel: Template-Based Protein Structure Prediction at Low Sequence Identity Using Top-Down Consensus and Deep Neural Networks. J. Chem. Theory Comput. 2020, 16, 1953–1967. [Google Scholar] [CrossRef] [PubMed]
- Mulnaes, D.; Koenig, F.; Gohlke, H. TopSuite Web Server: A Meta-Suite for Deep-Learning-Based Protein Structure and Quality Prediction. J. Chem. Inf. Model. 2021, 61, 548–553. [Google Scholar] [CrossRef] [PubMed]







| Dirigent | JRL (# Domains) | Protein ID | Domain | OsJAC1 Sequence Similarity (E-Value) |
|---|---|---|---|---|
| At1G05760 (1) | RTM1 | Jacalin-like superfamily | - | |
| At1G05770 (1) | JAL2 | Jacalin-like superfamily | - | |
| At1G19715 (3) | JAL3 | Jacalin-like superfamily | 3 × 10−12 | |
| Jacalin-like superfamily | ||||
| Jacalin-like superfamily | ||||
| At1G22900 | DIR11 | Dirigent superfamily | 0.00006 | |
| At1G58160 (1) | JAX1 | Jacalin-like superfamily | 7.1 | |
| At1G58170 | DIR19 | Dirigent superfamily | - | |
| At1G73040 (1) | JAL19 | Jacalin-like superfamily | 5 × 10−14 | |
| At2G43730 (1) | JAL24 | Jacalin-like superfamily | 0.48 | |
| At2G43740 (1) | JAL25 | Jacalin-like superfamily | - | |
| At3G59620 (1) | JAL39 | Jacalin-like superfamily | - |
Disclaimer/Publisher’s Note: The statements, opinions and data contained in all publications are solely those of the individual author(s) and contributor(s) and not of MDPI and/or the editor(s). MDPI and/or the editor(s) disclaim responsibility for any injury to people or property resulting from any ideas, methods, instructions or products referred to in the content. |
© 2022 by the authors. Licensee MDPI, Basel, Switzerland. This article is an open access article distributed under the terms and conditions of the Creative Commons Attribution (CC BY) license (https://creativecommons.org/licenses/by/4.0/).
Share and Cite
Esch, L.; Kirsch, C.; Vogel, L.; Kelm, J.; Huwa, N.; Schmitz, M.; Classen, T.; Schaffrath, U. Pathogen Resistance Depending on Jacalin-Dirigent Chimeric Proteins Is Common among Poaceae but Absent in the Dicot Arabidopsis as Evidenced by Analysis of Homologous Single-Domain Proteins. Plants 2023, 12, 67. https://doi.org/10.3390/plants12010067
Esch L, Kirsch C, Vogel L, Kelm J, Huwa N, Schmitz M, Classen T, Schaffrath U. Pathogen Resistance Depending on Jacalin-Dirigent Chimeric Proteins Is Common among Poaceae but Absent in the Dicot Arabidopsis as Evidenced by Analysis of Homologous Single-Domain Proteins. Plants. 2023; 12(1):67. https://doi.org/10.3390/plants12010067
Chicago/Turabian StyleEsch, Lara, Christian Kirsch, Lara Vogel, Jana Kelm, Nikolai Huwa, Maike Schmitz, Thomas Classen, and Ulrich Schaffrath. 2023. "Pathogen Resistance Depending on Jacalin-Dirigent Chimeric Proteins Is Common among Poaceae but Absent in the Dicot Arabidopsis as Evidenced by Analysis of Homologous Single-Domain Proteins" Plants 12, no. 1: 67. https://doi.org/10.3390/plants12010067
APA StyleEsch, L., Kirsch, C., Vogel, L., Kelm, J., Huwa, N., Schmitz, M., Classen, T., & Schaffrath, U. (2023). Pathogen Resistance Depending on Jacalin-Dirigent Chimeric Proteins Is Common among Poaceae but Absent in the Dicot Arabidopsis as Evidenced by Analysis of Homologous Single-Domain Proteins. Plants, 12(1), 67. https://doi.org/10.3390/plants12010067

