Abstract
Background: In this experimental study, we aimed to assess the acaricidal effects of Elettaria cardamomum L. essential oil (ECEO) against Hyalomma anatolicum tick in cattle from Saudi Arabia. Methods: Gas chromatography-mass spectrometry (GC-MS) was performed to identify the chemical composition of ECEO. The acaricidal, larvicidal, and repellent activity of ECEO against H. anatolicum was studied through the adult immersion test (AIT), the larval packet test (LPT), the vertical movement behavior of tick’s larvae technique, anti-acetylcholinesterase (AChE) activity, and oxidative enzyme activity. Results: By GC/MS, the most compounds were 1,8-cineole (34.3%), α-terpinyl acetate (23.3%), and α-pinene (17.7%), respectively. ECEO significantly (p < 0.001) increased the mortality rate as a dose-dependent response. After ECEO Treatment, number of eggs, egg weight, and hatchability significantly declined as a dose-dependent response. ECEO at concentrations of 5 µL/mL and above completely killed the larva. The LC50 and LC90 values for ECEO were 1.46 and 2.68 µL/mL, respectively. ECEO at concentrations of 10, 20, and 40 µL/mL showed 100% repellency activity up to 60, 120, and 360 min incubation, respectively. ECEO, especially at ½ LC50 and LC50, significantly inhibited GST and AChE activities of H. anatolicum larvae compared to the control group. Conclusions: We found promising adulticidal, larvicidal, and repellent effects of ECEO against H. anatolicum as a vector of theileriosis in Saudi Arabia. We also found that ECEO displayed these activities through inhibiting AChE and GST. Nevertheless, additional investigations are required to confirm the accurate mechanisms and the relevance of ECEO in practical application.
1. Introduction
Ticks are well known as hematophagous ectoparasites that have a high capacity for infesting vertebrate hosts, also capable of transmitting a wide range of pathogenic viruses, bacteria, protozoa, and helminthic parasites [1]. Nowadays, ticks and tick-borne diseases are considered a growing concern and a main problem not only for humans but also for domestic animals in production and health situations [2]. In cattle, tick infestations and tick-borne diseases (e.g., babesiosis, theileriosis, and anaplasmosis) lead to serious complications such as considerable damage in meat, milk, and leather production [3,4].
Existing tick control strategies are mainly based on the use of commercially available synthetic chemicals agents, such as arsenicals, organophosphates, carbamates, pyrethroids, and macrocyclic [5]. However, the broadly use of synthetic acaricides has caused the emergence of tick resistance and synchronized environmental contamination [6].
For thousands of years, human beings have continuously used herbs and their derivatives to relieve their physical and mental diseases [7]. According to previous studies, extracts and essential oils of medicinal herbs have shown to be effective and environment-friendly substitute agents for tick control [8].
Essential oils are naturally obtained from plants as secondary compounds, which are broadly studied for pesticide, growth-regulating, and repellent or dissuasive properties [9]. The inconsistency in the chemical composition of essential oils and the connection between components play a main role in acaricidal activity [9]. Today, a wide range of plant essentials (e.g., Allium sativum L., Artemisia annua L., Cinnamomum verum., Capsicum frutescens L., Eucalyptus camaldulensis L., Lavendula augustifolia Mill., Mentha longifolia L., and Thymus vulgaris L.) have been studies as tick repellents/acaricides [9,10]; however, final approval of the use of medicinal plants as tick repellents/acaricides is now hampered due to some ambiguities such as unclear mechanism of action, toxicity, etc.
Elettaria cardamomum L., belonging to the Zingiberaceae family, is an aromatic spice called “Hael” in Saudi Arabia, which is generally applied in foods, perfumes, and also traditional remedies [11]. In traditional medicine, some of potential effects of E. cardamomum can be mentioned as a potent stimulant, stomachic, diuretic, carminative, and anti-infective [11]. Similarly, in modern therapeutic applications, E. cardamomum has shown antidiabetic, antinociceptive, anti-inflammatory, anticancer, insecticidal, antibacterial, antifungal, antiviral, and anti-parasitic activities [12,13,14].
Previous studies have shown that the dominant species of ticks collected from cattle situated in different provinces of Saudi Arabia are Hyalomma anatolicum, H. dromedarii, H. impeltatum, H. excavatum, Rhipicephalus annulatus, and R. turanicus [15,16,17]. In this experimental study, we intended to assess acaricidal effects of E. cardamomum essential oil (ECEO) against H. anatolicum, known as a vector of tropical bovine theileriosis in the country.
2. Results
2.1. Chemical Composition of ECEO
Hydrodistillation of E. cardamomum seeds provided a pale yellow-colored essential oil with a yield of 3.4% (v/w). Based on the Hydro-distillation method, ECEO seeds were yielded at 3.74% (v/w). The findings obtained from the GC/MS showed that 19 chemical constituents were found (Figure 1), which indicated 98.2% of the ECEO (Table 1). Among the 19 detected compounds, the highest compounds were monoterpenes constituents, such as 1,8-cineole (34.3%), α-terpinyl acetate (23.3%), and α-pinene (17.7%), respectively.
Figure 1.
The chemical structure of compounds of Elettaria cardamomum essential oil obtained from the GC/MS.
Table 1.
The output results of the GC/MS analysis of Elettaria cardamomum essential oil.
2.2. Acaricidal Activity against H. anatolicum Females
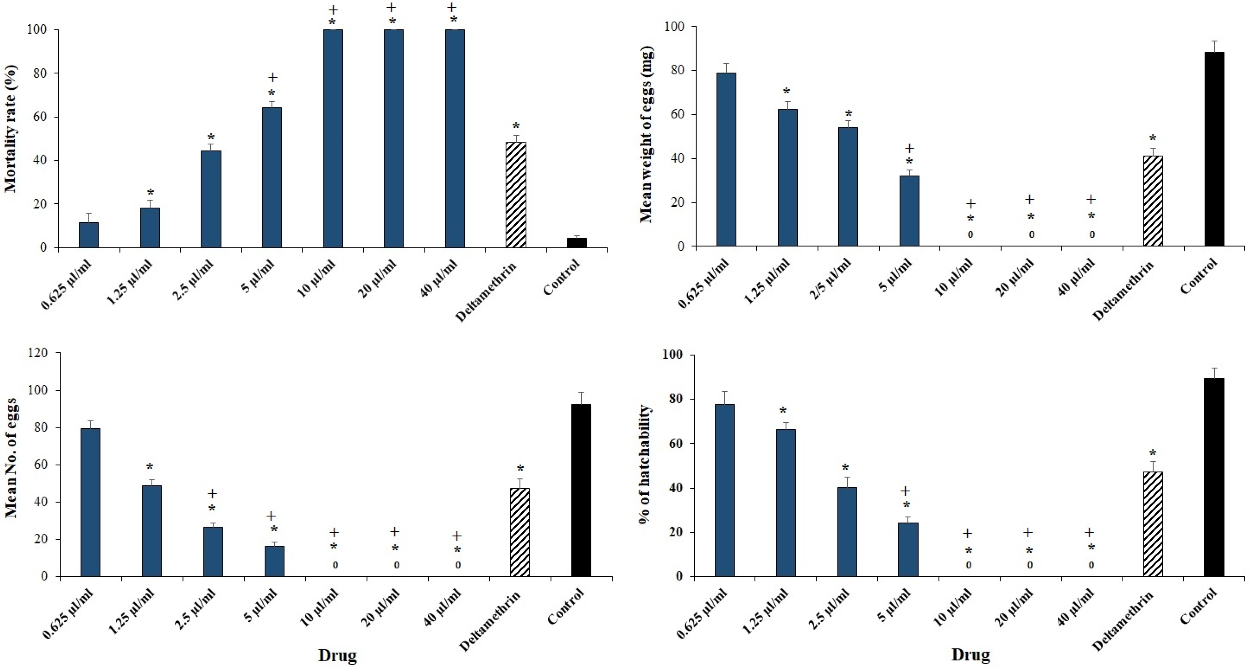
Figure 1 shows the in vitro effects of ECEO against H. anatolicum adult females by assessment of mortality rate, mean number and weight of eggs, hatchability percentage, and product efficiency in immersion test. Through AIT, the obtained findings revealed that ECEO significantly (p < 0.001) increased the mortality rate as a dose-dependent response; concentrations of 10, 20, and 40 µL/mL caused 100% mortality in engorged females (Figure 2). The calculated LC50 and LC90 values for ECEO were 3.79 and 6.81 µL/mL, respectively. The results also showed that after treatment of H. anatolicum adult females with various concentrations of ECEO, the number of eggs (Figure 2), egg weight (Figure 2), and hatchability (Figure 2) declined significantly in a dose-dependent response compared to the control group.
Figure 2.
The in vitro effects of Elettaria cardamomum L. essential oil (ECEO) against Hyalomma anatolicum adult females by assessment of mortality rate, the mean number, weight of eggs, and hatchability percentage in immersion test. Data are stated as mean ± SD (n = 3). * p < 0.001 significant difference with control group; + p < 0.001 significant difference with deltamethrin.
2.3. Larvicidal Activity
As shown in Figure 3, after 24 h incubation of H. anatolicum larvae with various concentrations of ECEO, the mortality rate of larvae increased significantly (p < 0.001); concentrations of 5 µL/mL and above completely killed the larvae. The calculated LC50 and LC90 values for ECEO were 1.53 and 2.83 µL/mL, respectively.
Figure 3.
The effects of various concentrations of Elettaria cardamomum L. essential oil (ECEO) on the mortality rate Hyalomma anatolicum larvae after 24 h in the larval packet test. Data are stated as mean ± SD (n = 3). * p < 0.001 significant difference with control group; + p < 0.001 significant difference with deltamethrin.
2.4. Effect on Repellent Activity
As depicted in Figure 4, various concentrations of ECEO displayed potent (p < 0.001) repellent activity against H. anatolicum larvae in comparison with the control group. The highest activity was observed at concentrations of 10, 20, and 40 µL/mL, with 100% repellency activity up to 60, 120, and 360 min of incubation, respectively; ECEO at a concentration of 40 µL/mL displayed a potent repellency similar to DEET ac control drug.
Figure 4.
The effects of various concentrations of Elettaria cardamomum L. essential oil (ECEO) on the repellent activity against Hyalomma anatolicum larvae after different incubation times. Data are stated as mean ± SD (n = 3). * p < 0.001 significant difference with control group. DEET: (N,N-diethyl-3-methylbenzamide, 7.5%).
2.5. AChE Inhibition Activity
Here, we evaluated the effect of various concentrations of ECEO on the AChE inhibition activity of H. anatolicum larvae. The results revealed that ECEO, especially at the ½ LC50 and LC50, significantly inhibited the AChE activity of H. anatolicum larvae compared to the control group (Figure 5).
Figure 5.
The effect of Elettaria cardamomum L. essential oil (ECEO) on AChE inhibition activity of Hyalomma anatolicum larvae. LC50: the lethal concentration 50. Data are stated as mean ± SD (n = 3). * p < 0.001 significant difference with control group; + p < 0.001 significant difference with deltamethrin.
2.6. Effect of Oxidative Enzymes
Treatment of H. anatolicum larvae with various concentrations of ECEO, especially at the concentration of ½ LC50 and LC50, significantly (p < 0.001) increased the MDA level compared to the control group (Figure 6). On the other hand, the level of GST in H. anatolicum larvae treated with various concentrations of ECEO decreased significantly (p < 0.001) as a dose-dependent response (Figure 6). Statistical analysis also exhibited that ECEO at concentrations ½ LC50 and LC50 showed a better effect of oxidative enzymes compared to deltamethrin (p < 0.001).
Figure 6.
The effect of Elettaria cardamomum L. essential oil (ECEO) on the malondialdehyde (MDA) and Glutathione S-transferases (GST) of Hyalomma anatolicum larvae. LC50: the lethal concentration 50. Data are stated as mean ± SD (n = 3). * p < 0.001 significant difference with control group; + p < 0.001 significant difference with deltamethrin.
3. Discussion
Today, tick control strategies are based on synthetic chemical agents which are associated with certain limitations, such as the development of resistance to them, toxic effects on animals and humans, and harmful effects on the environment [5]. In recent years, due to some unique characteristics such as low toxicity and high availability, herbal essential oils have been extensively investigated as acaricidal agents against ticks [18]. In this experimental study, we intended to assess the adulticidal, larvicidal, and repellent effects of E. cardamomum essential oil against H. anatolicum, which is known as a vector of tropical bovine theileriosis.
The GC/MS revealed 19 chemical constituents, indicating 98.2% ECEO. Among the 19 detected compounds, the highest compounds were monoterpenes constituents, such as 1,8-cineole (34.3%), α-terpinyl acetate (23.3%), and α-pinene (17.7%), respectively. Alam et al. (2021) revealed that the main constituents of ECEO in Saudi Arabia were α-terpinyl acetate (19.3%) and 1,8-cineole (42.6%) [18]. In a study conducted by Goudarzv and Chegini et al. (2016), terpinenyl acetate (36.61%), 1,8-cineole (30.42%), and linalyl acetate (5.79%) were reported as the most important components of ECEO by GC/MS analysis, respectively [17]. Moreover, Masoumi-Ardakani et al. (2016) reported that 1,8-cineole (45.6%), α-terpinyl acetate (33.7%), and sabinene (3.8%) were the main ECEO compounds [19]. Finding differences in the composition of ECEO is related to factors such as the part used, the method of extraction, the time of harvesting the plant, and the place of harvesting plant [20,21].
Through adulticidal, it was revealed that ECEO significantly increased the mortality rate of H. anatolicum adult as a dose-dependent response. After treatment of adult H. anatolicum with various concentrations of ECEO, the number of eggs, egg weight, and hatchability declined significantly as a dose-dependent response compared to the control group. In addition, the mortality rate of larvae was significantly increased, with LC50 and LC90 values for ECEO of 1.46 and 2.68 µL/mL, respectively.
In the study conducted by Fatemikiaa et al. (2013), E. cardamomum essential oil showed potent repellent and oviposition inhibition effects against Tetranychus urticae (a two-spotted spider mite), with LC50 values of 8.8 and 7.3 and 8.8 μL/mL against eggs and adults, respectively [22]. Abbasipour et al. also reported the fumignant effects of E. cardamomum against adults of Callosobruchus maculatus, Tribolium castaneum and Ephestia kuehniella, with LC50 values of 78.8, 482, and 1.57 μL/mL, respectively, where E. cardamomum significantly decreased the oviposition of C. maculatus females after 48 h of incubation [23]. In another study, Goudarzvand Chegini et al. (2016) demonstrated that E. cardamomum essential oil had relevant efficacy on adults, larval instars (L2), and eggs of Tuta absoluta, with LC50 values of 1.9, 7.9, and 351.2 μL L−1 air, respectively [14]. However, in a study conducted by Alcala-Orozco et al. (2019), E. cardamomum essential oil showed weekly fumigant effects on adults of Tribolium castaneum and Ulomoides dermestoides; the mortality rate of adults was 20% after 48 h of incubation with ECEO at a concentration of 20 μL/mL [24]. This difference between the results of the present study and other investigations may be due to some factors such as tick species, study method, exposure time, and type of essential oil [18].
Various concentrations of ECEO displayed potent repellent activity against H. anatolicum larvae compared to the control group, where the highest activity was observed at concentrations of 10, 20, and 40 µL/mL, with 100% repellency activity until 60, 120, and 240 min of incubation, respectively. Consistent with our results, Alcala-Orozco et al. (2019) reported that E. cardamomum essential oil at a concentration of 16 µL/mL caused 100% repellency against larvae of T. castaneum and U. dermestoides after 60 and 120 min exposure [24].
Herbal essential oils have been shown to exhibit insecticidal and acaricidal effects through direct mechanisms, such as the interruption of some biological pathways by frustrating tissue injuries that may be due to the provoking the free radical’s production [25]. Acetylcholinesterase (AchE) is one of the main hydrolytic enzymes in the nervous system of insects and ticks which is involved in the balanced transduction of neuronal signals through the rapid hydrolysis of the acetylcholine mediator in the synaptic gap [26]. Here, we found that ECEO, especially at the ½ LC50 and LC50, significantly inhibited the AChE activity of H. anatolicum larvae in comparison with the control group. Considering the effect of ECEO on AChE inhibition activity, Auti et al. reported that E. cardamomum essential oil at concentrations of 100 and 200 mg/kg significantly inhibited the AChE activity triggered by aluminum chloride-induced neurotoxicity in rats [27]. Previous investigations have demonstrated that terpenoid compounds such as sesquiterpenes and monoterpene compounds (e.g., 1,8-cineole, linalool, α-pinene, β-pinene, linalool, carvone) are the main agents responsible for the inhibition of AChE activity by essential oils [28,29]. Since E. cardamomum essential oil is rich in monoterpene compounds such as 1,8-cineole, α-terpinyl acetate, and α-pinene, we can attribute this inhibitory property of the essential oil to the presence of these compounds.
Considering the effect of ECEO on oxidative enzymes, our findings revealed that treatment of H. anatolicum larvae with ECEO at concentrations of ½ LC50 and LC50 significantly increased the MDA level compared to the control group. On the other hand, the level of GST in H. anatolicum larvae treated with various concentrations of ECEO declined significantly (p < 0.001) as a dose-dependent response.
GST and MDA play an essential role in the detoxification of xenobiotic and endogenous agents in insects; they are relatively accountable for the increase of resistance to some chemical agents [30,31]. Considering the effect of ECEO on oxidative enzymes, our results revealed that treatment of H. anatolicum larvae with ECEO at concentrations of ½ LC50 and LC50 significantly increased the MDA level compared to the control group. On the other hand, the level of GST in H. anatolicum larvae treated with various concentrations of ECEO decreased significantly (p < 0.001) as a dose-dependent response.
4. Materials and Methods
4.1. Plant Collection
Elettaria cardamomum dried fruits (pods) were procured from a shop in Riyadh, Saudi Arabia. They then were recognized by a botanist at the herbarium of the Department of Biological Sciences, Faculty of Science and Humanities, Ad-Dawadimi, Saudi Arabia.
4.2. Obtaining Essential Oil
The hydro-distillation technique using the Clevenger tool was utilized to extract the essential oil. To perform this, 100 g of dried seeds (powdered) were placed inside a Clevenger apparatus for 4 h. After obtaining the essential oil, it was dehydrated using sodium sulfate. The extracted ECEO was stored in clean flasks covered in aluminum foil at 4 °C [32].
4.3. Gas Chromatography–Mass Spectrometry (GC-MS)
The chemical compounds of ECEO were recognized by Hewlett-Packard 6890 (Palo Alto, CA, USA). GC analysis was carried out via an HP-5MS column (30 m × 0.25 mm, film thickness 0.25 mm). Initially, ECEO (0.1 μL) was injected into the GC apparatus with the column temperature programming (225–280 °C) for separation. The initial temperature was set at 50 °C for 5 min, which was then increased to 300 °C at a rate of 5 °C/min. Helium gas was used at a rate of 1.1 mL/min, with an ionization energy of 70 electrons; injection was in split mode (1:30) and injector and detector temperature was 280 °C, with split 1/100. Retention indices for constituents were obtained by co-injection of the examples with a suspension with a homologous series of C8–C22 n-alkanes. The constituents were recognized by comparison of their mass spectra with those of NIST mass spectral library [33] and those explained by Adams, and by comparison of their retention indices either with those of authentic compounds or with literature values based on the following equation [34]:
where
RI = 100× [ n + (Tu − Tn)/(TN − Tn)]
I = Kovats retention index value of your unknown compound (peak)
n = the number of carbons in the alkane preceding compound
N = the number of carbons in the alkane following compound
Tu = the retention time of unknown compound
Tn = the retention time of the preceding alkane
TN = the retention time of the following alkane
4.4. Tick Collection
Hyalomma anatolicum females approximately 500 mg in weight were collected from naturally infested cattle in various villages in Riyadh province, Saudi Arabia and were recognized based on previous protocols [35]. After washing the collected ticks with sodium hypochlorite solution (2%) and distilled water, they were dried. A number of adult females were applied for adult immersion examination; the rest were incubated at 27 °C and 75–80% relative humidity to acquire eggs and, subsequently, larvae.
4.5. Adult Immersion Test (AIT)
Initially, 30 engorged females were separately immersed with 10 mL of various concentrations of ECEO (0.625–40 µg/mL) for 5 min at room temperature. The solution of normal saline + Tween 80 and deltamethrin were applied as negative and control groups, respectively. In the next step, treated ticks were removed, dried, and separately placed in Petri dishes. Then, the Petri dishes were separately incubated at 27 °C and 70–80% relative humidity under 12:12 light:dark conditions until oviposition is ended [36]. After 2 weeks, the number of females laying eggs was recorded, and the eggs were collected, weighed, and observed. The collected eggs were transferred to tubes and incubated for 3 weeks at 27 °C and 70–80% relative humidity, and then the rate of hatchability was recorded. Then, the lethal concentration 50 (LC50) and LC90 value of ECEO were calculated using the Probit test.
4.6. Larvicidal Activity of ECEO
To study the larvicidal activity of ECEO, we used the larval packet test (LPT) according to the method explained by Matos et al. [37]. Initially, by using a brush, 100 ten-day-old larvae were located in the middle of filter papers (7cm × 7 cm). Next, 0.1 mL volumes of the various concentrations of ECEO (0.3125–20 µL/mL) were separately added to them, which were then sealed to form packets. The control group was exposed to normal saline + Tween 80 solution. After 24 h of incubation at 27 °C and 70–80% relative humidity, the packets were studied to measure the mortality rate of larvae; larvae without motility or movement were considered dead.
4.7. Repellent Activity of ECEO
The repellent effects of ECEO were based on the vertical movement behavior of tick larvae technique, as previously explained by Wanzala et al. [38]. We used an apparatus with two aluminum rods (0.7 cm × 15 cm) and filter paper (7 cm × 7 cm) impregnated with 0.2 mL (which almost covered an area of 28 cm2) of the various concentrations of ECEO (0.625–40 µL/mL). The impregnated filter paper was cut on one rod, and then on the other rod. Filter papers and rods impregnated with normal saline + Tween 80 and DEET (N,N-diethyl-3-methylbenzamide, 7.5%), which were considered as negative and positive controls, respectively. In the next step, 30 ten-day-old tick larvae of H. anatolicum were located at the base of each tested rod, checking the rods after 15 and 60 min. The repellence activity was checked for 60, 120, 180, and 240 min after use. Finally, H. anatolicum larvae that were observed on the top of the impregnated filter paper were considered not repelled, whilst larvae found at the bottom of the impregnated filter paper (uncovered region of the rod) were considered repelled.
4.8. Anti-Acetylcholinesterase (AChE) Activity
To study the AChE activity, initially, the acetylecholinestrase was obtained based on a technique explained in [39]. Briefly, after exposing the H. anatolicum larvae to ECEO (at concentrations of 1/3 LC50, ½ LC50, and LC50), they were macerated using a mortar and grinder for 10 min in a mixture of sodium phosphate buffer (100 mM, pH 7.0), Triton X-100, and protease inhibitor (at a ratio of 1:5 larva weight:buffer volume). The obtained mixture was kept for 30 min at 4 °C. After centrifuging the mixture at 12,000 rpm for 20 min, the upper phase was collected and kept at 4 °C. The larvae exposed to deltamethrin (1 mL/L) and normal saline + Tween 80 were considered as positive and negative controls, respectively. The inhibition percentage of AChE enzyme was calculated on the basis of a method explained by Ellman et al. [40] and Li et al. [41], according to the formula below:
4.9. Oxidative Enzyme Activity
In this study, the level of lipid peroxidation (malondialdehyde, MDA) as an indication of oxidative activity were measured in the larvae homogenate obtained after treatment of the larvae with ECEO (at concentrations of 1/3 LC50, ½ LC50, and LC50) colorimetrically based on the technique explained by Preuss et al. [42]. The absorbance of the color created followed by the reaction of MDA with thiobarbituric acid was recorded by a spectrophotometer at 532 nm. In addition, the level of Glutathione (GSH) as a marker of antioxidant activity was measured in the larvae homogenate obtained after treatment of larvae with ECEO based on the creation of a yellow color, where, 5,5′-dithiobis (2-nitrobenzoic acid, DTNB) reacted with GSH; subsequently, the absorbance of reaction at 405 nm was measured using a spectrophotometer [43,44].
4.10. Statistical Analysis
SPSS software (version of 25.0) was applied in the statistical analysis of the obtained findings. One-way ANOVA and t-test was used to compare the tested groups. A value of p < 0.05 was considered significant.
5. Conclusions
The results of the present experimental study showed promising adulticidal, larvicidal, and repellent effects of E. cardamomum essential oil against H. anatolicum ticks. Although E. cardamomum essential oil displayed its acaricidal and repellent activity through inhibiting AChE and GST, additional investigations are required to confirm the accurate mechanisms and the suitability of ECEO in practical application.
Author Contributions
Conceptualization, A.D.A. and M.B.S.; methodology, A.D.A., A.F.S. and M.N.S.A.-S.; validation, A.D.A., M.B.S., A.F.S. and M.N.S.A.-S.; formal analysis, A.F.S., A.D.A.; investigation, A.D.A., A.F.S. and M.N.S.A.-S.; resources, A.D.A.; data curation, M.B.S.; writing—original draft preparation, A.D.A. and M.B.S.; writing—review and editing, A.D.A., M.B.S., A.F.S. and M.N.S.A.-S.; visualization, A.D.A.; supervision, A.D.A. All authors have read and agreed to the published version of the manuscript.
Funding
This research received no external funding.
Institutional Review Board Statement
Not applicable.
Informed Consent Statement
Not applicable.
Data Availability Statement
All data generated or analyzed during this study are included in this published article.
Acknowledgments
The authors would like to thank the Deanship of Scientific Research at Shaqra University for supporting this work.
Conflicts of Interest
The authors declare no conflicts of interest in this study.
References
- Jongejan, F.; Uilenberg, G. The global importance of ticks. Parasitology 2004, 129, S3–S14. [Google Scholar] [CrossRef] [PubMed]
- Piesman, J.; Eisen, L. Prevention of tick-borne diseases. Annu. Rev. Entomol. 2008, 53, 323–343. [Google Scholar] [CrossRef] [PubMed]
- Pfäffle, M.; Littwin, N.; Muders, S.V.; Petney, T.N. The ecology of tick-borne diseases. Int. J. Parasitol. 2013, 43, 1059–1077. [Google Scholar] [CrossRef]
- Marcelino, I.; De Almeida, A.M.; Ventosa, M.; Pruneau, L.; Meyer, D.F.; Martinez, D.; Lefrançois, T.; Vachiéry, N.; Coelho, A.V. Tick-borne diseases in cattle: Applications of proteomics to develop new generation vaccines. J. Proteom. 2012, 75, 4232–4250. [Google Scholar] [CrossRef] [PubMed]
- De la Fuente, J. Controlling ticks and tick-borne diseases… looking forward. Ticks Tick-Borne Dis. 2018, 9, 1354–1357. [Google Scholar] [CrossRef]
- Rosado-Aguilar, J.A.; Arjona-Cambranes, K.; Torres-Acosta, J.F.J.; Rodríguez-Vivas, R.I.; Bolio-González, M.E.; Ortega-Pacheco, A.; Alzina-López, A.; Gutiérrez-Ruiz, E.J.; Gutiérrez-Blanco, E.; Aguilar-Caballero, A.J. Plant products and secondary metabolites with acaricide activity against ticks. Vet. Parasitol. 2017, 30, 66–76. [Google Scholar] [CrossRef]
- Roush, R.T.; McKenzie, J.A. Ecological genetics of insecticide and acaricide resistance. Annu. Rev. Entomol. 1987, 32, 361–380. [Google Scholar] [CrossRef]
- Abbas, R.Z.; Zaman, M.A.; Colwell, D.D.; Gilleard, J.; Iqbal, Z. Acaricide resistance in cattle ticks and approaches to its management: The state of play. Vet. Parasitol. 2014, 203, 6–20. [Google Scholar] [CrossRef]
- Camilo, C.J.; Alves Nonato, C.D.F.; Galvão-Rodrigues, F.F.; Costa, W.D.; Clemente, G.G.; Sobreira Macedo, M.A.C.; Galvão Rodrigues, F.F.; Da Costa, J.G.M. Acaricidal activity of essential oils: A review. Trends Phytochem. Res. 2017, 1, 183–198. [Google Scholar]
- Selles, S.M.; Kouidri, M.; González, M.G.; González, J.; Sánchez, M.; González-Coloma, A.; Sanchis, J.; Elhachimi, L.; Olmeda, A.S.; Tercero, J.M.; et al. Acaricidal and Repellent Effects of Essential Oils against Ticks: A Review. Pathogens 2021, 10, 1379. [Google Scholar] [CrossRef]
- Ashokkumar, K.; Murugan, M.; Dhanya, M.K.; Warkentin, T.D. Botany, traditional uses, phytochemistry and biological activities of cardamom [Elettaria cardamomum (L.) Maton]—A critical review. J. Ethnopharmacol. 2020, 246, 112244. [Google Scholar] [CrossRef] [PubMed]
- Kumar, S.; Kumari, R. Traditional, Phytochemical and Biological activities of Elettaria cardamomum (L.) Maton—A review. Int. J. Pharm. Sci. Res. 2021, 12, 4122–4133. [Google Scholar]
- Vutakuri, N.; Somara, S. Natural and herbal medicine for breast cancer using Elettaria cardamomum (L.) Maton. Int. J. Herbal. Med. 2018, 62, 91–96. [Google Scholar]
- Goudarzvand Chegini, S.; Abbasipour, H. Chemical composition and insecticidal effects of the essential oil of cardamom, Elettaria cardamomum on the tomato leaf miner, Tuta absoluta. Toxin Rev. 2017, 36, 12–17. [Google Scholar] [CrossRef] [Green Version]
- Alanazi, A.D.; Alouffi, A.S.; Alshahrani, M.Y.; Alyousif, M.S.; Abdullah, H.H.A.M.; Allam, A.M.; Elsawy, B.S.M.; Abdel-Shafy, S.; Alsulami, M.N.; Khan, A.; et al. A report on tick burden and molecular detection of tick-borne pathogens in cattle blood samples collected from four regions in Saudi Arabia. Ticks Tick-Borne Dis. 2021, 12, 101652. [Google Scholar] [CrossRef] [PubMed]
- Alanazi, A.D.; Alouffi, A.S.; Alshahrani, M.Y.; Alyousif, M.S.; Abdullah, H.H.A.M.; Allam, A.M.; Elsawy, B.S.M.; Abdel-Shafy, S.; Alsulami, M. Molecular detection of tick-borne pathogens in cattle from Saudi Arabia. Parasitology 2020. preprint. [Google Scholar] [CrossRef]
- Omer, S.A.; Alsuwaid, D.F.; Mohammed, O.B. Molecular characterization of ticks and tick-borne piroplasms from cattle and camel in Hofuf, eastern Saudi Arabia. Saudi J. Biol. Sci. 2021, 28, 2023–2028. [Google Scholar] [CrossRef]
- Blenau, W.; Rademacher, E.; Baumann, A. Plant essential oils and formamidines as insecticides/acaricides: What are the molecular targets? Apidologie 2012, 43, 334–347. [Google Scholar] [CrossRef] [Green Version]
- Alam, A.; Rehman, N.U.; Ansari, M.N.; Palla, A.H. Effects of Essential Oils of Elettaria cardamomum Grown in India and Guatemala on Gram-Negative Bacteria and Gastrointestinal Disorders. Molecules 2021, 26, 2546. [Google Scholar] [CrossRef]
- Masoumi-Ardakani, Y.; Mandegary, A.; Esmaeilpour, K.; Najafipour, H.; Sharififar, F.; Pakravanan, M.; Ghazvini, H. Chemical composition, anticonvulsant activity, and toxicity of essential oil and methanolic extract of Elettaria cardamomum. Planta Med. 2016, 82, 1482–1486. [Google Scholar] [CrossRef]
- Alyousif, M.S.; Al-Abodi, H.R.; Almohammed, H.; Alanazi, A.D.; Mahmoudvand, H.; Shalamzari, M.H.; Salimikia, I. Chemical composition, apoptotic activity, and antiparasitic effects of Ferula macrecolea essential oil against Echinococcus granulosus protoscoleces. Molecules 2021, 26, 888. [Google Scholar] [CrossRef] [PubMed]
- Mahmoudvand, H.; Mirbadie, S.R.; Sadooghian, S.; Harandi, M.F.; Jahanbakhsh, S.; Saedi Dezaki, E. Chemical composition and scolicidal activity of Zataria multiflora Boiss essential oil. J. Essent. Oil Res. 2017, 29, 42–47. [Google Scholar] [CrossRef]
- Fatemikia, S.; Abbasipour, H.; Karimi, J.; Saeedizadeh, A.; Gorjan, A.S. Efficacy of Elettaria cardamomum L. (Zingiberaceae) essential oil on the two spotted spider mite, Tetranychus urticae Koch (Acari: Tetranychidae). Arch. Phytopathol. Plant Prot. 2014, 47, 1008–1014. [Google Scholar] [CrossRef]
- Abbasipour, H.; Mahmoudvand, M.; Rastegar, F.; Hosseinpour, M.H. Fumigant toxicity and oviposition deterrency of the essential oil from cardamom, Elettaria cardamomum, against three stored–product insects. J. Insect Sci. 2011, 11, 165. [Google Scholar] [CrossRef] [Green Version]
- Alcala-Orozco, M.; Caballero-Gallardo, K.; Stashenko, E.E.; Olivero-Verbel, J. Repellent and fumigant actions of the essential oils from Elettaria cardamomum (L.) Maton, Salvia officinalis (L.) Linnaeus, and Lippia origanoides (V.) Kunth against Tribolium castaneum and Ulomoides dermestoides. J. Essent. Oil Bear. Plants 2019, 22, 18–30. [Google Scholar] [CrossRef]
- Gupta, S.; Chauhan, N.; Bhushan, S.; Arora, R.; Arora, S.; Kaur, S. Insecticidal, food utilisation and biochemical effect of essential oils extracted from seeds of Brassica juncea (Czern.) against Spodoptera litura (Lepidoptera: Noctuidae) (Fabricius). Arthropod 2017, 6, 93–106. [Google Scholar]
- Jacob, R.F.; Mason, R.P. Lipid peroxidation induces cholesterol domain formation in model membranes. J. Biol. Chem. 2005, 280, 39380–39387. [Google Scholar] [CrossRef] [Green Version]
- Auti, S.T.; Kulkarni, Y.A. Neuroprotective effect of cardamom oil against aluminum induced neurotoxicity in rats. Front. Neurol. 2019, 10, 399. [Google Scholar] [CrossRef] [Green Version]
- Savelev, S.; Okello, E.; Perry, N.S.; Wilkins, R.M.; Perry, E.K. Synergistic and antagonistic interactions of anticholinesterase terpenoids in Salvia lavandulaefolia essential oil. Pharmacol. Biochem. Behav. 2003, 75, 661–668. [Google Scholar] [CrossRef]
- Owokotomo, I.A.; Ekundayo, O.; Abayomi, T.G.; Chukwuka, A.V. In-vitro anti-cholinesterase activity of essential oil from four tropical medicinal plants. Toxicol. Rep. 2015, 2, 850–857. [Google Scholar] [CrossRef] [Green Version]
- Prapanthadara, L.; Promtet, N.; Koottathep, S.; Somboon, P.; Ketterman, A.J. Isoenzymes of glutathione S-transferase from the mosquito Anopheles dirus species B: The purification, partial characterization and interaction with various insecticides. Insect. Biochem. Mol. Biol. 2000, 5, 395–403. [Google Scholar] [CrossRef]
- Wang, Z.; Zhao, Z.; Abou-Zaid, M.M.; Arnason, J.T.; Liu, R.; Walshe-Roussel, B.; Waye, A.; Liu, S.; Saleem, A.; Cáceres, L.A.; et al. Inhibiton of insect glutathione S-transferase (GST) by conifer extracts. Arch. Insect Biochem. Physiol. 2014, 87, 234–249. [Google Scholar] [CrossRef]
- Shaapan, R.M.; Al-Abodi, H.R.; Alanazi, A.D.; Abdel-Shafy, S.; Rashidipour, M.; Shater, A.F.; Mahmoudvand, H. Myrtus communis essential oil; anti-parasitic effects and induction of the innate immune system in mice with Toxoplasma gondii infection. Molecules 2021, 26, 819. [Google Scholar] [CrossRef] [PubMed]
- National Institute of Standards and Technology. EPA/NIH Mass Spectral Library; National Institute of Standards and Technology: Gaithersburg, MD, USA, 2004.
- Adams, R.P. Identification of Essential Oil Components by Gas Chromatography/Mass Spectroscopy; Allured Publishing Corporation: Illinois, IL, USA, 2004. [Google Scholar]
- Estrada-Pena, A.; Quilez, J.; Acedo, C.S. Species composition, distribution, and ecological preferences of the ticks of grazing sheep in north-central Spain. Med. Vet. Entomol. 2004, 18, 123–133. [Google Scholar] [CrossRef] [PubMed]
- Gazim, Z.C.; Demarchi, I.G.; Lonardoni, M.V.; Amorim, A.C.; Hovell, A.M.; Rezende, C.M.; Ferreira, G.A.; de Lima, E.L.; de Cosmo, F.A.; Cortez, D.A. Acaricidal activity of the essential oil from Tetradenia riparia (Lamiaceae) on the cattle tick Rhipicephalus (Boophilus) microplus (Acari; Ixodidae). Exp. Parasitol. 2011, 129, 175–178. [Google Scholar] [CrossRef] [PubMed] [Green Version]
- Matos, R.S.; Daemon, E.; Monteiro, C.M.D.O.; Sampieri, B.R.; Marchesini, P.B.C.; Delmonte, C.; Camargo-Mathias, M.I. Thymol action on cells and tissues of the synganglia and salivary glands of Rhipicephalus sanguineus sensu lato females (Acari: Ixodidae). Ticks Tick Borne Dis. 2019, 10, 314–320. [Google Scholar] [CrossRef] [PubMed]
- Wanzala, W.; Sika, N.; Gule, S.; Hassanali, A. Attractive and repellent host odours guide ticks to their respective feeding sites. Chemoecology 2004, 14, 229–232. [Google Scholar] [CrossRef]
- Dos Santos Cardoso, A.; Santos, E.G.; da Silva Lima, A.; Temeyer, K.B.; de Leon, A.A.; Junior, L.M.; dos Santos Soares, A.M. Terpenes on Rhipicephalus (Boophilus) microplus: Acaricidal activity and acetylcholinesterase inhibition. Vet. Parasitol. 2020, 280, 109090. [Google Scholar] [CrossRef]
- Ellman, G.L.; Courtney, K.D.; Andres, V., Jr.; Featherstone, R.M. A new and rapid colorimetric determination of acetylcholinesterase activity. Biochem. Pharmacol. 1961, 7, 88–95. [Google Scholar] [CrossRef]
- Li, B.; Sedlacek, M.; Manoharan, I.; Boopathy, R.; Duysen, E.G.; Masson, P.; Lockridge, O. Butyrylcholinesterase, paraoxonase, and albumin esterase, but not carboxylesterase, are present in human plasma. Biochem. Pharmacol. 2005, 70, 1673–1684. [Google Scholar] [CrossRef]
- Preuss, H.G.; Jarrell, S.T.; Scheckenbach, R.; Lieberman, S.; Anderson, R.A. Comparative effects of chromium, vanadium and Gymnema sylvestre on sugar-induced blood pressure elevations in SHR. J. Am. Coll. Nutr. 1998, 17, 116–123. [Google Scholar] [CrossRef] [PubMed]
- Beutler, E. Improved method for the determination of blood glutathione. J. Lab. Clin. Med. 1963, 61, 882–888. [Google Scholar] [PubMed]
Publisher’s Note: MDPI stays neutral with regard to jurisdictional claims in published maps and institutional affiliations. |
© 2022 by the authors. Licensee MDPI, Basel, Switzerland. This article is an open access article distributed under the terms and conditions of the Creative Commons Attribution (CC BY) license (https://creativecommons.org/licenses/by/4.0/).





