The Effect of Grapevine Age (Vitis vinifera L. cv. Zinfandel) on Phenology and Gas Exchange Parameters over Consecutive Growing Seasons
Abstract
1. Introduction
2. Results
2.1. Climate Data
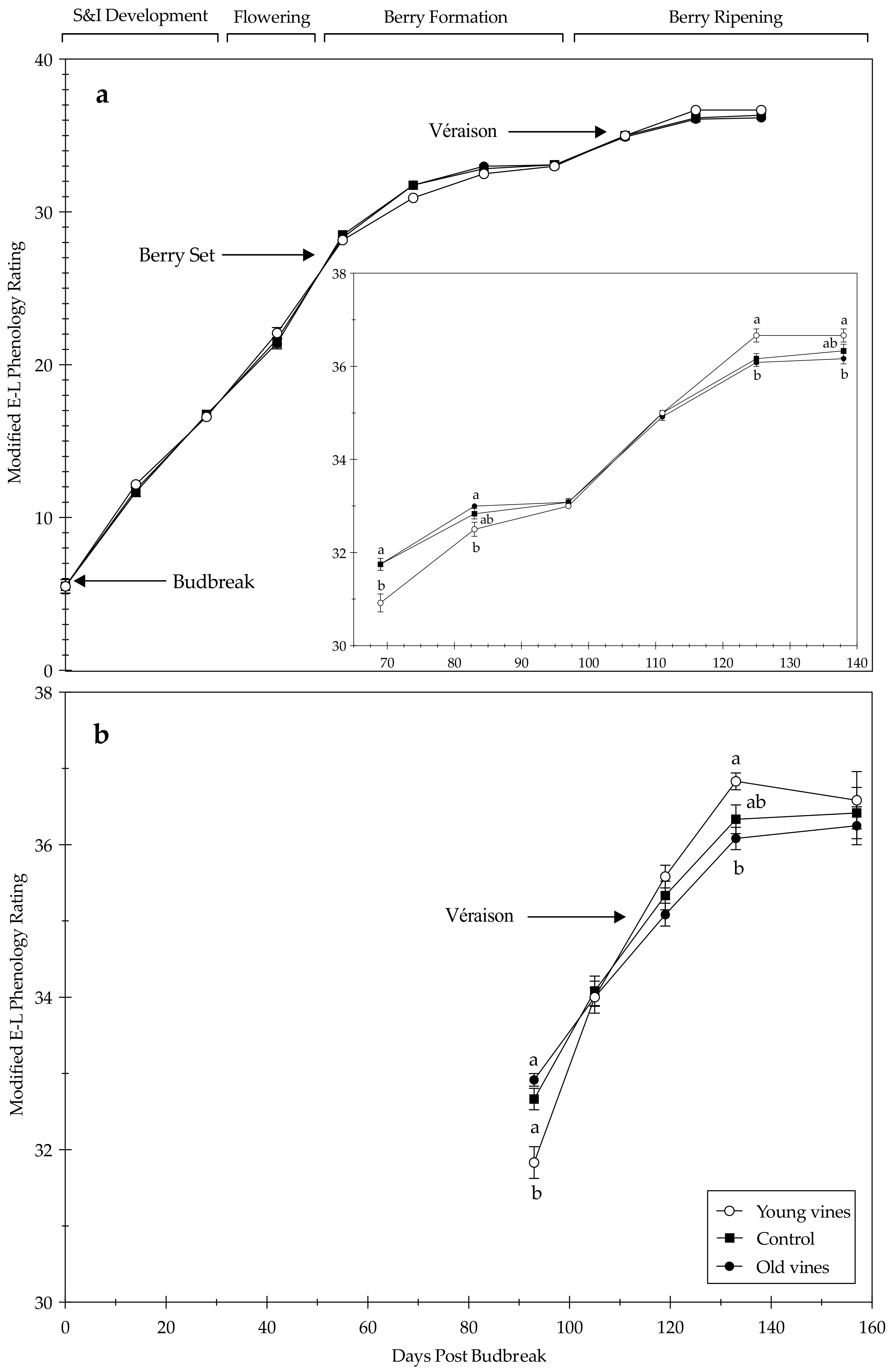
2.2. Phenology and Senescence Tracking
2.3. Leaf Water Potential and Gas Exchange Measurments
3. Discussion
4. Materials and Methods
4.1. Site Description and Experimental Design
4.2. Climate Data
4.3. Phenology and Senescence Tracking
4.4. Leaf Water Potential and Gas Exchange Measurements
4.5. Statistical Analysis
5. Conclusions
Supplementary Materials
Author Contributions
Funding
Institutional Review Board Statement
Informed Consent Statement
Data Availability Statement
Acknowledgments
Conflicts of Interest
References
- Vršič, S.; Ivančič, A.; Šušek, A.; Zagradišnik, B.; Valdhuber, J.; Šiško, M. The world’s oldest living grapevine specimen and its genetic relationships. Vitis 2011, 50, 167–171. [Google Scholar]
- Grigg, D.; Methven, D.; de Bei, R.; Rodríguez López, C.; Dry, P.; Collins, C. Effect of vine age on vine performance of Shiraz in the Barossa Valley, Australia. Aust. J. Grape Wine Res. 2018, 24, 75–87. [Google Scholar] [CrossRef]
- Benheim, D.; Rochfort, S.; Robertson, E.; Potter, I.; Powell, K. Grape phylloxera (Daktulosphaira vitifoliae)—A review of potential detection and alternative management options. Ann. Appl. Biol. 2012, 161, 91–115. [Google Scholar] [CrossRef]
- Pongracz, D.P. Rootstock for Grape-Vines; David Philip Publishing: Johannesburg, South Africa; London, UK, 1983. [Google Scholar]
- Kaplan, J.; Travadon, R.; Cooper, M.; Hillis, V.; Lubell, M.; Baumgartner, K. Identifying Economic Hurdles to Early Adoption of Preventative Practices: The Case of Trunk Diseases in California Winegrape Vineyards. Wine Econ. Policy 2016, 5, 127–141. [Google Scholar] [CrossRef]
- Grigg, D. An Investigation into the Effect of Grapevine Age on Vine Performance, Grape and Wine Composition, Sensory Evaluation and Epigenetic Characterization. Ph.D. Thesis, University of Adelaide, Adelaide, Australia, 2017. [Google Scholar] [CrossRef]
- BGWA Barossa Grape and Wine Association. Available online: https://www.barossawine.com/vineyards/old-vine-charter/ (accessed on 11 December 2020).
- Historic Vineyard Society. Available online: https://historicvineyardsociety.org/about (accessed on 17 December 2020).
- Ezzili, B. Effect of the vine age on the evolution of the number of flower buds of Alicante Grenache noir grown in El Khanguet (Tunisia) [fruit set, flower abscission]. Bull. Off. Int. Vigne Vin 1992, 65, 161–176. [Google Scholar]
- Sweet, N.L. US Grapes—California’s Zinfandel. Available online: https://fps.ucdavis.edu/grapebook/winebook.cfm?chap=Zinfandel (accessed on 16 December 2020).
- Dry, P.R. Ask the AWRI: Is an Oldie Necessarily a Goodie? The Australian Wine and Research. 2013. Available online: https://www.awri.com.au/information_services/publications/ask-the-awri/ (accessed on 20 December 2020).
- Sullivan, C.L. Zinfandel—A History of a Grape and Its Wine, 1st ed.; University of California Press: Berkeley, CA, USA, 2003. [Google Scholar]
- Grape Crush Report, Final. 2019; California Department of Food and Agriculture, National Agricultural Statistics Service (CDFA/NASS). Available online: https://www.nass.usda.gov/Statistics_by_State/California/Publications/Specialty_and_Other_Releases/Grapes/Crush/Errata/2019/202007errata.pdf (accessed on 15 December 2020).
- Alcohol and Tobacco Tax and Trade Bureau (TTB). Available online: https://www.ttb.gov/wine/established-avas#California (accessed on 18 December 2020).
- Schultz, H. Global Climate Change, Sustainability, and Some Challenges for Grape and Wine Production. J. Wine Econ. 2016, 11, 181–200. [Google Scholar] [CrossRef]
- Webb, L.; Whetton, P.; Barlow, E. Modelled impact of future climate change on the phenology of winegrapes in Australia. Aust. J. Grape Wine Res. 2007, 13, 165–175. [Google Scholar] [CrossRef]
- Jones, G.; Davis, R. Climate influences on grapevine phenology, grape composition, and wine production and quality for Bordeaux, France. Am. J. Enol. Vitic. 2000, 51, 249–261. [Google Scholar]
- Barbeau, G.; Asselin, C.; Morlat, R. Estimate of the viticultural potential of the Loire Valley “terroirs” according to a vine’s cycle precocity index. Bull. OIV 1998, 247, 247–262. [Google Scholar]
- Barbeau, G.; Morlat, R.; Asselin, C.; Jacquet, A.; Pinard, C. Behaviour of the Cabernet Franc grapevine variety in various terroirs of the Loire Valley. Influence of the precocity on the composition of the harvested grapes for a normal climatic year (example of the year 1988). J. Int. Sci. Vigne Vin 1998, 32, 69–81. [Google Scholar] [CrossRef]
- Jackson, D.; Schuster, D. The Production of Grapes and Wine in Cool Climates; Butterworths: Wellington, New Zealand, 1987. [Google Scholar]
- Jackson, D.I.; Lombard, P.B. Environmental and management practices affecting grape composition and wine quality—A review. Am. J. Enol. Vitic. 1993, 44, 409–430. [Google Scholar]
- Considine, J.A. Grapevine productivity and yield components: A case study using field vines of Zante currant. Aust. J. Grape Wine Res. 2004, 10, 108–115. [Google Scholar] [CrossRef]
- Zufferey, V.; Maigre, D. Vine plant age. I. Influence on physiological behaviour. Rev. Suis. Vitic. Arbor. Hort. 2007, 39, 257–261. [Google Scholar]
- Reynolds, A.G.; Pearson, E.G.; Savigny, C.D.; Coventry, J.; Strommer, J. Interactions of vine age and reflective mulch upon berry, must, and wine composition of five Vitis vinifera cultivars. Int. J. Fruit Sci. 2008, 7, 85–119. [Google Scholar] [CrossRef]
- Chiarawipa, R.; Wang, Y.; Zhang, X.Z.; Han, Z.H. Growing Season Carbon Dynamics and Stocks in Relation to Vine Ages under a Vineyard Agroecosystem in Northern China. Am. J. Plant. Physiol. 2013, 8, 1–16. [Google Scholar] [CrossRef][Green Version]
- Sanmartin, C.; Venturi, F.; Taglieri, I.; Ferroni, G.; Scalabrelli, G.; Narkabulova, N.; Andrich, G.; Zinnai, A. Restoration of an old vineyard by replanting of missing vines: Effects on grape production and wine quality. Agrochimica 2017, 61, 154–163. [Google Scholar] [CrossRef]
- Nader, K.B.; Stoll, M.; Rauhut, D.; Patz, C.; Jung, R.; Loehnertz, O.; Schultz, H.R.; Hilbert, G.; Renaud, C.; Roby, J.P.; et al. Impact of grapevine age on water status and productivity of Vitis vinifera L. cv. Riesling. Eur. J. Agron. 2019, 104, 10–12. [Google Scholar] [CrossRef]
- Nader, K.B. Grapevine Age: Impact on Physiology and Berry and Wine Quality. Ph.D. Thesis, Université de Bordeaux, Bordeaux, France, 2018. [Google Scholar]
- Zufferey, V.; Maigre, D. Vineyard age II. Influence on grape and wine quality. Ruvue Suisse Viticult. Arboricult. Horicult. 2008, 40, 241–245. [Google Scholar]
- Dodson, J.C.P.; Walker, A.M. Influence of Grapevine Rootstock on Scion Development and Initiation of Senescence. Catal. Discov. Pract. 2017, 1, 48–54. [Google Scholar] [CrossRef]
- Mira de Orduña, R. Climate change associated effects on grape and wine quality and production. Food Res. Int. 2010, 43, 1844–1855. [Google Scholar] [CrossRef]
- Winkler, A.J.; Cook, J.A.; Kliewer, W.M.; Lider, L.A. General Viticulture, 2nd ed.; University of California Press: Berkeley, CA, USA, 1974. [Google Scholar]
- Kun, Z.; Bai-Hong, C.; Yan, H.; Rui, Y.; Yu-An, W. Effects of short-term heat stress on PSII and subsequent recovery for senescent leaves of Vitis vinifera L. cv. Red Globe. J. Integr. Agric. 2018, 17, 2683–2693. [Google Scholar] [CrossRef]
- Coombe, B.G. Growth Stages of the Grapevine: Adoption of a system for identifying grapevine growth stages. Aust. J. Grape Wine Res. 1995, 1, 104–110. [Google Scholar] [CrossRef]
- Greer, D.H.; Weedon, M.M. The impact of high temperatures on Vitis vinifera cv. Semillon grapevine performance and berry ripening. Front. Plant Sci. 2013, 4, 491. [Google Scholar] [CrossRef]
- Keller, M. Managing grapevines to optimize fruit development in a challenging environment: A climate change primer for viticulturists. Aust. J. Grape Wine Res. 2009, 16, 56–59. [Google Scholar] [CrossRef]
- Smart, R. Principles of Grapevine Canopy Microclimate Manipulation with Implications for Yield and Quality. A Review. Am. J. Enol. Vitic. 1985, 36, 230–239. [Google Scholar]
- McIntyre, G.N.; Lider, L.A.; Ferrari, N.L. The chronological classification of grapevine phenology. Am. J. Enol. Vitic. 1982, 33, 80–85. [Google Scholar]
- Palliotti, A.; Panara, F.; Silvestroni, O.; Lanari, V.; Sabbatini, P.; Howell, G.; Gatti, M.; Poni, S. Influence of mechanical postveraison leaf removal apical to the cluster zone on delay of fruit ripening in Sangiovese (Vitis vinifera L.) grapevines. Aust. J. Grape Wine Res. 2013, 19, 369–377. [Google Scholar] [CrossRef]
- Buesa, I.; Caccavello, G.; Basile, B.; Merli, M.C.; Poni, S.; Chirivella, C.; Intrigliolo, D.S. Delaying berry ripening of Bobal and Tempranillo grapevines by late leaf removal in a semi-arid and temperate-warm climate under different water regimes. Aust. J. Grape Wine Res. 2019, 25, 70–82. [Google Scholar] [CrossRef]
- Teixeira, A.; Eiras-Dias, J.; Castellarin, S.D.; Gerós, H. Berry Phenolics of Grapevine under Challenging Environments. Int. J. Mol. Sci. 2013, 14, 18711–18739. [Google Scholar] [CrossRef] [PubMed]
- Burlig, F. Forbes. Available online: https://www.forbes.com/sites/ucenergy/2019/07/30/amid-climate-linked-drought-farmers-turn-to-new-water-sources-those-are-drying-up-too/?sh=6f848b306192 (accessed on 16 December 2020).
- Bogart, K. Extension. Available online: https://grapes.extension.org/measuring-winegrape-water-status-using-a-pressure-chamber/ (accessed on 16 December 2020).
- Schultz, H.R. Differences in hydraulic architecture account for near-isohydric and anisohydric behavior of two field grown Vitis vinifera L. cultivars during drought. Plant Cell Environ. 2003, 26, 1393–1405. [Google Scholar] [CrossRef]
- Lovisolo, C.; Shubert, A. Effects of water stress on vessel size and xylem hydraulic conductivity in Vitis vinifera L. J. Exp. Bot. 1998, 49, 693–700. [Google Scholar]
- Jackson, R.; Sperry, J.; Dawson, T. Root water uptake and transport: Using physiological processes in global predictions. Trends Plant Sci. 2000, 5, 482–488. [Google Scholar] [CrossRef]
- Fuchs, E.E.; Livingston, N.J. Hydraulic control of stomatal conductance in Douglas fir [Pseudotsuga menziesii (Mirb.) Franco] and alder [Alnus rubra (Bong)] seedlings. Plant Cell Environ. 1996, 19, 1091–1098. [Google Scholar] [CrossRef]
- Alsina, M.M.; Smart, D.R.; Bauerle, T.; Herralde, F.; Biel, C.; Stockert, C.; Negron, C.; Save, R. Seasonal changes of whole root system conductance by a drought-tolerant grape root system. J. Exp. Bot. 2011, 62, 99–109. [Google Scholar] [CrossRef] [PubMed]
- Galat Giorgi, E.; Sadras, V.O.; Keller, M.; Peña, J.P. Interactive effects of high temperature and water deficit on Malbec grapevines. Aust. J. Grape Wine Res. 2019, 25, 345–356. [Google Scholar] [CrossRef]
- Soil Survey Staff. Web Soil Survey. 2016; USDA Natural Resources Conservation Service. Available online: https://websoilsurvey.sc.egov.usda.gov/App/WebSoilSurvey.aspx (accessed on 10 December 2020).
- Foott, J.H.; Ough, C.S.; Wolpert, J.A. Rootstock effects on wine grapes. Calif. Agric. 1989, 43, 27–29. [Google Scholar]
- Robinson, J.; Harding, J. The Oxford Companion to Wine, 4th ed.; Oxford University Press: Oxford, UK, 2015. [Google Scholar]
- Casassa, L.F.; Huff, R.; Steele, N.B. Chemical consequences of extended maceration and post-fermentation additions of grape pomace in Pinot noir and Zinfandel wines from the Central Coast of California (USA). Food Chem. 2019, 300, 125–147. [Google Scholar] [CrossRef] [PubMed]
- Coombe, B.G. Grapevine growth stages—The modified E-L system. In Viticulture 1—Resources, 2nd ed.; Dry, P.R., Coombe, B.G., Eds.; Winetitles: Adelaide, Australia, 2004; pp. 150–154. Available online: https://www.awri.com.au/wp-content/uploads/grapegrowth.pdf (accessed on 8 September 2020).





| Growing Season. | Growing Degree Days (GDD) 1 | Winkler Region | Annual Precipitation (mm) 2 | Seasonal Precipitation (mm) 3 |
|---|---|---|---|---|
| 2019 | 1689.6 | III | 653.5 | 24.6 |
| 2020 | 1927.2 | III | 188.7 | 90.2 |
| 2019 | 2020 | |||||
|---|---|---|---|---|---|---|
| Month | Average Air Temperature (°C) | Minimum Air Temperature (°C) | Maximum Air Temperature (°C) | Average Air Temperature (°C) | Minimum Air Temperature (°C) | Maximum Air Temperature (°C) |
| April | 14.0 | 6.3 | 22.5 | 13.7 | 6.1 | 21.5 |
| May | 13.5 | 6.9 | 21.0 | 16.8 | 7.4 | 26.3 |
| June | 18.4 | 9.9 | 28.0 | 18.7 | 9.6 | 28.3 |
| July | 20.6 | 10.7 | 31.5 | 19.5 | 9.8 | 30.1 |
| August | 21.1 | 11.8 | 32.1 | 22.1 | 12.5 | 33.1 |
| September | 19.0 | 9.4 | 30.1 | 20.5 | 10.0 | 33.2 |
| October | 14.0 | 2.9 | 27.1 | 16.9 | 6.9 | 29.9 |
| Date | Treatment | Degree of Leaf Chlorosis | Degree of Leaf Abscission |
|---|---|---|---|
| Young vines | 1.083 ± 0.193 a | 0.167 ± 0.167 a | |
| 10/18/20 | Control | 0.583 ± 0.149 a,b | 0.000 ± 0.000 a |
| Old vines | 0.417 ± 0.149 b | 0.000 ± 0.000 a | |
| p-value | 0.0197 | 0.3788 | |
| Young vines | 1.333 ± 0.188 a | 0.500 ± 0.261 a | |
| 10/30/20 | Control | 0.917 ± 0.083 b | 0.500 ± 0.261 a |
| Old vines | 1.000 ± 0.000 a,b | 0.167 ± 0.167 a | |
| p-value | 0.0437 | 0.5151 | |
| Young vines | 6.000 ± 0.000 a | 3.417 ± 0.229 a | |
| 11/13/20 | Control | 6.000 ± 0.000 a | 3.750 ± 0.218 a |
| Old vines | 6.000 ± 0.000 a | 3.917 ± 0.193 a | |
| p-value | 1.0000 | 0.2563 | |
| Young vines | 6.000 ± 0.000 a | 3.833 ± 0.345 a | |
| 11/22/20 | Control | 6.000 ± 0.000 a | 4.417 ± 0.260 a |
| Old vines | 6.000 ± 0.000 a | 4.417 ± 0.288 a | |
| p-value | 1.0000 | 0.2955 |
| Growth Stage | Treatment | Mid-Day Ψleaf (MPa) |
|---|---|---|
| Young | –1.230 ± 0.041 a | |
| Berry Formation | Control | –1.219 ± 0.030 a |
| Old | –1.225 ± 0.024 a | |
| p-value | 0.9737 | |
| Young | –1.283 ± 0.017 a | |
| Véraison + 1 week | Control | –1.223 ± 0.035 a |
| Old | –1.200 ± 0.032 a | |
| p-value | 0.1409 | |
| Treatment (T) | 0.3248 | |
| Growth Stage (G) | 0.6754 | |
| T × G Interaction | 0.4463 |
| Growth Stage | Treatment | Mid-day Ψleaf (MPa) | Pre-dawn Ψleaf (MPa) |
|---|---|---|---|
| Young | –1.425 ± 0.021 a | –0.733 ± 0.092 a | |
| Véraison Day 1 | Control | –1.372 ± 0.024 a | –0.692 ± 0.132 a |
| Old | –1.355 ± 0.024 a | –0.617 ± 0.119 a | |
| p-value | 0.0915 | 0.7726 | |
| Young | –1.280 ± 0.026 a | –0.454 ± 0.106 a | |
| Véraison Day 2 | Control | –1.257 ± 0.322 a | –0.504 ± 0.070 a |
| Old | –1.230 ± 0.040 a | –0.421 ± 0.064 a | |
| p-value | 0.5684 | 0.7737 | |
| Young | –1.222 ± 0.036 a | –0.504 ± 0.068 a | |
| Véraison + 4 weeks | Control | –1.257 ± 0.036 a | –0.558 ± 0.039 a |
| Old | –1.222 ± 0.037 a | –0.550 ± 0.041 a | |
| p-value | 0.7315 | 0.7270 | |
| Treatment (T) | 0.2837 | 0.7331 | |
| Growth Stage (G) | <0.0001 | 0.0111 | |
| T × G Interaction | 0.6754 | 0.9096 |
Publisher’s Note: MDPI stays neutral with regard to jurisdictional claims in published maps and institutional affiliations. |
© 2021 by the authors. Licensee MDPI, Basel, Switzerland. This article is an open access article distributed under the terms and conditions of the Creative Commons Attribution (CC BY) license (http://creativecommons.org/licenses/by/4.0/).
Share and Cite
Riffle, V.; Palmer, N.; Casassa, L.F.; Dodson Peterson, J.C. The Effect of Grapevine Age (Vitis vinifera L. cv. Zinfandel) on Phenology and Gas Exchange Parameters over Consecutive Growing Seasons. Plants 2021, 10, 311. https://doi.org/10.3390/plants10020311
Riffle V, Palmer N, Casassa LF, Dodson Peterson JC. The Effect of Grapevine Age (Vitis vinifera L. cv. Zinfandel) on Phenology and Gas Exchange Parameters over Consecutive Growing Seasons. Plants. 2021; 10(2):311. https://doi.org/10.3390/plants10020311
Chicago/Turabian StyleRiffle, Vegas, Nathaniel Palmer, L. Federico Casassa, and Jean Catherine Dodson Peterson. 2021. "The Effect of Grapevine Age (Vitis vinifera L. cv. Zinfandel) on Phenology and Gas Exchange Parameters over Consecutive Growing Seasons" Plants 10, no. 2: 311. https://doi.org/10.3390/plants10020311
APA StyleRiffle, V., Palmer, N., Casassa, L. F., & Dodson Peterson, J. C. (2021). The Effect of Grapevine Age (Vitis vinifera L. cv. Zinfandel) on Phenology and Gas Exchange Parameters over Consecutive Growing Seasons. Plants, 10(2), 311. https://doi.org/10.3390/plants10020311

