Accuracy Assessment and Inter-Comparison of Eight Medium Resolution Forest Products on the Loess Plateau, China
Abstract
:1. Introduction
2. Materials and Methods
2.1. Study Area
2.2. DEM Data
2.3. Eight Medium Resolution Forest Products in 2010
2.4. Validation Data Collected by Google Earth Imagery and Field Photos
2.5. Methods
2.5.1. Accuracy Assessment of Forest Products
2.5.2. Area Comparison among Various Forest Products
2.5.3. Spatial Consistency of Different Forest Products and Its Attribution to Terrain Factors
3. Results
3.1. Accuracies of the Eight Forest Products
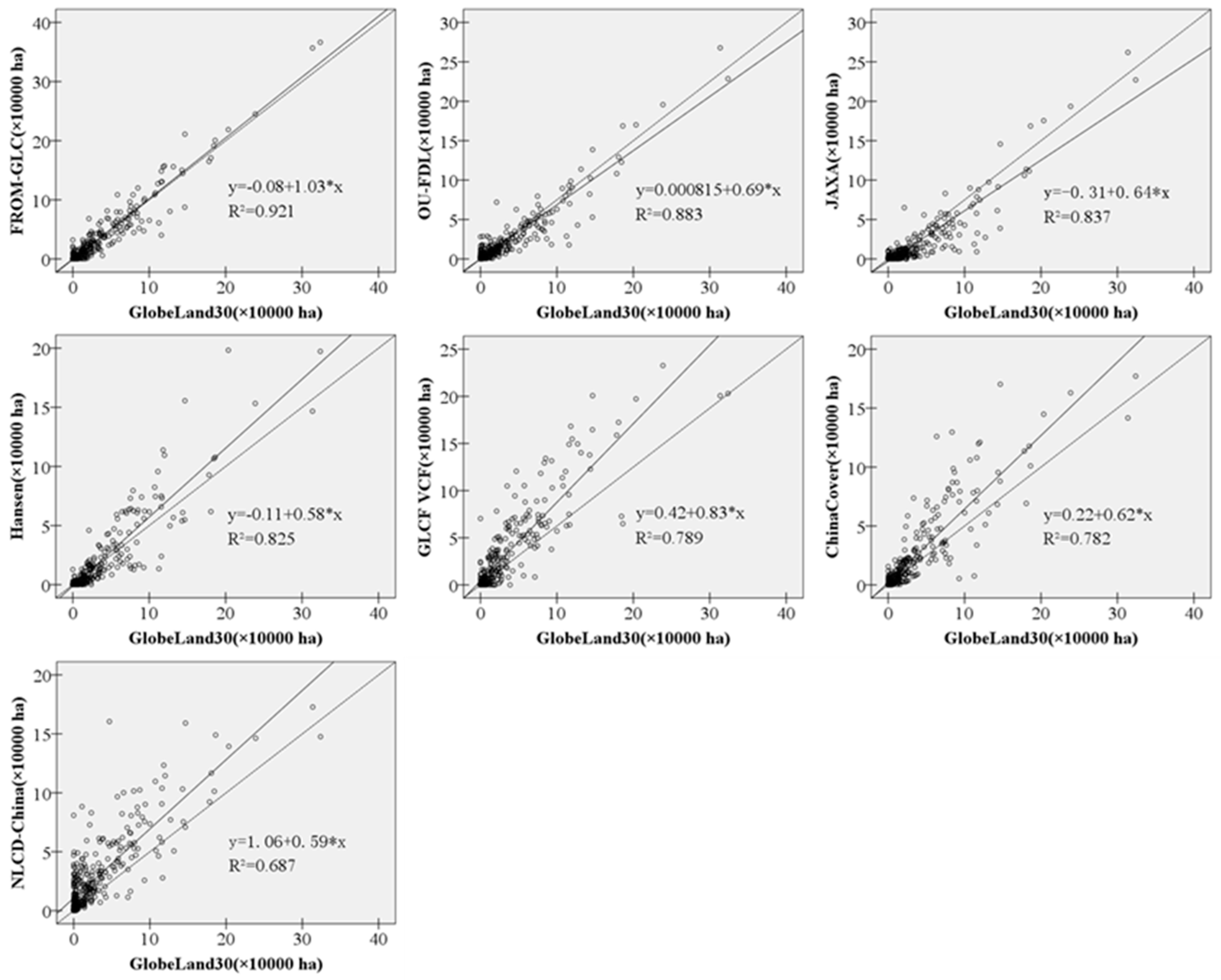
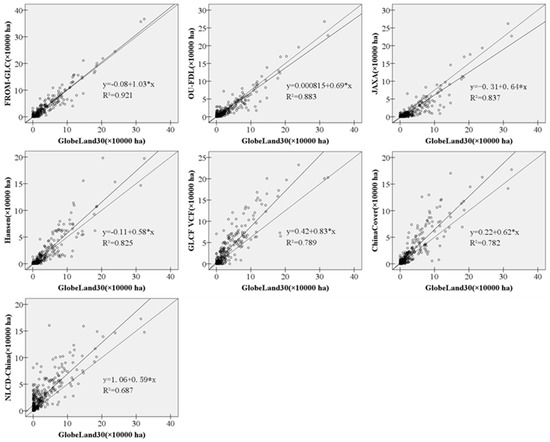
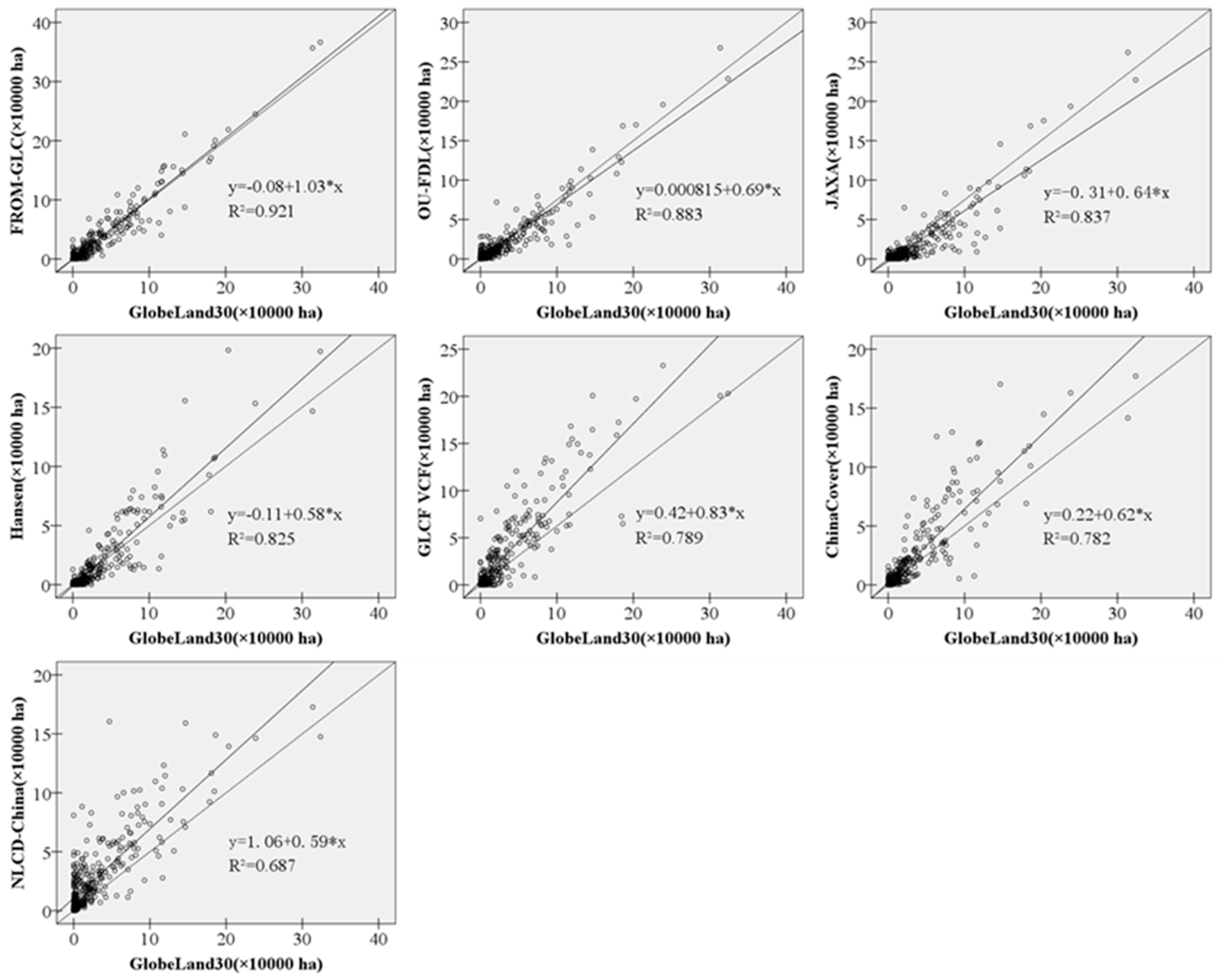
3.2. Inter-Comparison in Forest Area Estimates
3.3. Spatial Consistency of Eight Forest Maps and Its Dependence on Topographical Factors
4. Discussion
4.1. Reasons for Uncertainty of the Eight Medium Resolution Forest Maps
4.1.1. Forest Definitions
4.1.2. Data Sources
4.1.3. Algorithms
4.2. Uncertainty of this Study and Implications for Future Works
5. Conclusions
Acknowledgments
Author Contributions
Conflicts of Interest
References
- Foley, J.A.; DeFries, R.; Asner, G.P.; Barford, C.; Bonan, G.; Carpenter, S.R.; Chapin, F.S.; Coe, M.T.; Daily, G.C.; Gibbs, H.K. Global consequences of land use. Science 2005, 309, 570–574. [Google Scholar] [CrossRef] [PubMed]
- Gibson, L.; Lee, T.M.; Koh, L.P.; Brook, B.W.; Gardner, T.A.; Barlow, J.; Peres, C.A.; Bradshaw, C.J.A.; Laurance, W.F.; Lovejoy, T.E.; et al. Primary forests are irreplaceable for sustaining tropical biodiversity. Nature 2011, 478, 378–381. [Google Scholar] [CrossRef] [PubMed]
- Saatchi, S.S.; Harris, N.L.; Brown, S.; Lefsky, M.; Mitchard, E.T.A.; Salas, W.; Zutta, B.R.; Buermann, W.; Lewis, S.L.; Hagen, S.; et al. Benchmark map of forest carbon stocks in tropical regions across three continents. Proc. Natl. Acad. Sci. USA 2011, 108, 9899–9904. [Google Scholar] [CrossRef] [PubMed]
- Aubinet, M.; Grelle, A.; Ibrom, A.; Rannik, U.; Moncrieff, J.; Foken, T.; Kowalski, A.S.; Martin, P.H.; Berbigier, P.; Bernhofer, C.; et al. Estimates of the annual net carbon and water exchange of forests: The EUROFLUX methodology. Adv. Ecol. Res. 2000, 30, 113–175. [Google Scholar]
- Bonan, G.B. Forests and climate change: Forcings, feedbacks, and the climate benefits of forests. Science 2008, 320, 1444–1449. [Google Scholar] [CrossRef] [PubMed]
- Keenan, R.J.; Reams, G.A.; Achard, F.; de Freitas, J.V.; Grainger, A.; Lindquist, E. Dynamics of global forest area: Results from the FAO Global Forest Resources Assessment 2015. For. Ecol. Manag. 2015, 352, 9–20. [Google Scholar] [CrossRef]
- DeFries, R.; Achard, F.; Brown, S.; Herold, M.; Murdiyarso, D.; Schlamadinger, B.; de Souza, C. Earth observations for estimating greenhouse gas emissions from deforestation in developing countries. Environ. Sci. Policy 2007, 10, 385–394. [Google Scholar] [CrossRef]
- Grassi, G.; Monni, S.; Federici, S.; Achard, F.; Mollicone, D. Applying the conservativeness principle to REDD to deal with the uncertainties of the estimates. Environ. Res. Lett. 2008, 3, 51–55. [Google Scholar] [CrossRef]
- Yu, D.Y.; Shi, P.J.; Han, G.Y.; Zhu, W.Q.; Du, S.Q.; Xun, B. Forest ecosystem restoration due to a national conservation plan in China. Ecol. Eng. 2011, 37, 1387–1397. [Google Scholar] [CrossRef]
- Li, M.-M.; Liu, A.-T.; Zou, C.-J.; Xu, W.-D.; Shimizu, H.; Wang, K.-Y. An overview of the “Three-North” Shelterbelt project in China. For. Stud. China 2012, 14, 70–79. [Google Scholar] [CrossRef]
- Hansen, M.C.; Potapov, P.V.; Moore, R.; Hancher, M.; Turubanova, S.; Tyukavina, A.; Thau, D.; Stehman, S.; Goetz, S.; Loveland, T. High-resolution global maps of 21st-century forest cover change. Science 2013, 342, 850–853. [Google Scholar] [CrossRef] [PubMed]
- Hansen, M.C.; Stehman, S.V.; Potapov, P.V. Quantification of global gross forest cover loss. Proc. Natl. Acad. Sci. USA 2010, 107, 8650–8655. [Google Scholar] [CrossRef] [PubMed]
- Qin, Y.; Xiao, X.; Dong, J.; Zhang, G.; Shimada, M.; Liu, J.; Li, C.; Kou, W.; Moore, B., III. Forest cover maps of China in 2010 from multiple approaches and data sources: PALSAR, Landsat, MODIS, FRA, and NFI. ISPRS J. Photogramm. Remote Sens. 2015, 109, 1–16. [Google Scholar] [CrossRef]
- Loveland, T.R.; Reed, B.C.; Brown, J.F.; Ohlen, D.O.; Zhu, Z.; Yang, L.; Merchant, J.W. Development of a global land cover characteristics database and IGBP DISCover from 1 km AVHRR data. Int. J. Remote Sens. 2000, 21, 1303–1330. [Google Scholar] [CrossRef]
- Hansen, M.C.; Defries, R.S.; Townshend, J.R.G.; Sohlberg, R. Global land cover classification at 1 km spatial resolution using a classification tree approach. Int. J. Remote Sens. 2000, 21, 1331–1364. [Google Scholar] [CrossRef]
- Bartholome, E.; Belward, A.S. GLC2000: A new approach to global land cover mapping from Earth observation data. Int. J. Remote Sens. 2005, 26, 1959–1977. [Google Scholar] [CrossRef]
- Bontemps, S.; Defourny, P.; Bogaert, E.V.; Arino, O.; Kalogirou, V.; Perez, J.R. GLOBCOVER 2009—Products Description and Validation Report; UCL: London, UK, 2011. [Google Scholar]
- Friedl, M.A.; Sulla-Menashe, D.; Tan, B.; Schneider, A.; Ramankutty, N.; Sibley, A.; Huang, X. MODIS Collection 5 global land cover: Algorithm refinements and characterization of new datasets. Remote Sens. Environ. 2010, 114, 168–182. [Google Scholar] [CrossRef]
- Chen, J.; Chen, J.; Liao, A.; Cao, X.; Chen, L.; Chen, X.; He, C.; Han, G.; Peng, S.; Lu, M. Global land cover mapping at 30 m resolution: A POK-based operational approach. ISPRS J. Photogramm. Remote Sens. 2015, 103, 7–27. [Google Scholar] [CrossRef]
- Gong, P.; Wang, J.; Yu, L.; Zhao, Y.; Zhao, Y.; Liang, L.; Niu, Z.; Huang, X.; Fu, H.; Liu, S.; et al. Finer resolution observation and monitoring of global land cover: first mapping results with Landsat TM and ETM+ data. Int. J. Remote Sens. 2013, 34, 2607–2654. [Google Scholar] [CrossRef]
- Sexton, J.O.; Song, X.P.; Feng, M.; Noojipady, P.; Anand, A.; Huang, C.Q.; Kim, D.H.; Collins, K.M.; Channan, S.; DiMiceli, C.; et al. Global, 30-m resolution continuous fields of tree cover: Landsat-based rescaling of MODIS vegetation continuous fields with lidar-based estimates of error. Int. J. Digit. Earth 2013, 6, 427–448. [Google Scholar] [CrossRef]
- Shimada, M.; Itoh, T.; Motooka, T.; Watanabe, M.; Shiraishi, T.; Thapa, R.; Lucas, R. New global forest/non-forest maps from ALOS PALSAR data (2007–2010). Remote Sens. Environ. 2014, 155, 13–31. [Google Scholar] [CrossRef]
- Liu, J.; Zhang, Z.; Xu, X.; Kuang, W.; Zhou, W.; Zhang, S.; Li, R.; Yan, C.; Yu, D.; Wu, S. Spatial patterns and driving forces of land use change in China in the early 21st century. J. Geogr. Sci. 2010, 20, 483–494. [Google Scholar] [CrossRef]
- Wu, B.; Yuan, Q.; Yan, C.; Wang, Z.; Yu, X.; Li, A.; Ma, R.; Huang, J.; Chen, J.; Chang, C. Land cover changes of China from 2000 to 2010. Quat. Sci. 2014, 34, 723–731. [Google Scholar]
- Sexton, J.O.; Noojipady, P.; Song, X.P.; Feng, M.; Song, D.X.; Kim, D.H.; Anand, A.; Huang, C.Q.; Channan, S.; Pimm, S.L.; et al. Conservation policy and the measurement of forests. Nat. Clim. Chang. 2016, 6, 192–196. [Google Scholar] [CrossRef]
- Wang, H.; Liu, Z.; Gu, L.; Wen, C. Observations of China’s forest change (2000–2013) based on Global Forest Watch dataset. Biodivers. Science 2015, 23, 575–582. [Google Scholar]
- Zhai, J.; Liu, R.; Liu, J.; Huang, L.; Qin, Y. Human-Induced Landcover Changes Drive a Diminution of Land Surface Albedo in the Loess Plateau (China). Remote Sens. 2015, 7, 2926–2941. [Google Scholar] [CrossRef]
- Sun, W.; Shao, Q.; Liu, J.; Zhai, J. Assessing the effects of land use and topography on soil erosion on the Loess Plateau in China. Catena 2014, 121, 151–163. [Google Scholar] [CrossRef]
- Liu, J.Y.; Liu, M.L.; Tian, H.Q.; Zhuang, D.F.; Zhang, Z.X.; Zhang, W.; Tang, X.M.; Deng, X.Z. Spatial and temporal patterns of China's cropland during 1990-2000: An analysis based on Landsat TM data. Remote Sens. Environ. 2005, 98, 442–456. [Google Scholar] [CrossRef]
- Liu, J.Y.; Tian, H.Q.; Liu, M.L.; Zhuang, D.F.; Melillo, J.M.; Zhang, Z.X. China’s changing landscape during the 1990s: Large-scale land transformations estimated with satellite data. Geophys. Res. Lett. 2005, 32, L02405. [Google Scholar] [CrossRef]
- Channan, S.; Feng, M.; Kim, D.H.; Sexton, J.O.; Song, X.P.; Song, D.X.; Noojipady, P.; Collins, K.; Anand, A.; Townshend, J.R. THE GLS Plus an Enhancement of the Global Land Survey Datasets. Photogramm. Eng. Remote Sens. 2015, 81, 521–525. [Google Scholar]
- Gutman, G.; Huang, C.Q.; Chander, G.; Noojipady, P.; Masek, J.G. Assessment of the NASA-USGS Global Land Survey (GLS) datasets. Remote Sens. Environ. 2013, 134, 249–265. [Google Scholar] [CrossRef]
- Yu, L.; Wang, J.; Gong, P. Improving 30 m global land-cover map FROM-GLC with time series MODIS and auxiliary data sets: A segmentation-based approach. Int. J. Remote Sens. 2013, 34, 5851–5867. [Google Scholar] [CrossRef]
- Yu, L.; Wang, J.; Clinton, N.; Xin, Q.C.; Zhong, L.H.; Chen, Y.L.; Gong, P. FROM-GC: 30 m global cropland extent derived through multisource data integration. Int. J. Digit. Earth 2013, 6, 521–533. [Google Scholar] [CrossRef]
- Xiao, X.; Dorovskoy, P.; Biradar, C.; Bridge, E. A library of georeferenced photos from the field. Eos Trans. Am. Geophys. Union 2011, 92, 453–454. [Google Scholar] [CrossRef]
- Potere, D. Horizontal Positional Accuracy of Google Earth’s High-Resolution Imagery Archive. Sensors 2008, 8, 7973–7981. [Google Scholar] [CrossRef] [PubMed]
- Viña, A.; Mcconnell, W.J.; Yang, H.; Xu, Z.; Liu, J. Effects of conservation policy on China’s forest recovery. Sci. Adv. 2016, 2, e1500965. [Google Scholar] [CrossRef] [PubMed]
- Dong, J.; Xiao, X.; Sheldon, S.; Biradar, C.; Duong, N.D.; Hazarika, M. A comparison of forest cover maps in Mainland Southeast Asia from multiple sources: PALSAR, MERIS, MODIS and FRA. Remote Sens. Environ. 2012, 127, 60–73. [Google Scholar] [CrossRef]
- Dong, J.; Xiao, X.; Menarguez, M.A.; Zhang, G.; Qin, Y.; Thau, D.; Biradar, C.; Moore, B., III. Mapping paddy rice planting area in northeastern Asia with Landsat 8 images, phenology-based algorithm and Google Earth Engine. Remote Sens. Environ. 2016, 185, 142–154. [Google Scholar] [CrossRef] [PubMed]
- Yang, Y.; Xiao, P.; Feng, X.; Li, H. Accuracy assessment of seven global land cover datasets over China. ISPRS J. Photogramm. Remote Sens. 2017, 125, 156–173. [Google Scholar] [CrossRef]
- Mayaux, P. Validation of the global land cover 2000 map. IEEE Trans. Geosci. Remote Sens. 2006, 44, 1728–1739. [Google Scholar] [CrossRef]
- Card, D.H. Using known map category marginal frequencies to improve estimates of thematic map accuracy. Photogramm. Eng. Remote Sens. 1982, 48, 431–439. [Google Scholar]
- Olofsson, P.; Foody, G.M.; Stehman, S.V.; Woodcock, C.E. Making better use of accuracy data in land change studies: Estimating accuracy and area and quantifying uncertainty using stratified estimation. Remote Sens. Environ. 2013, 129, 122–131. [Google Scholar] [CrossRef]
- Mcroberts, R.E.; Walters, B.F. Statistical inference for remote sensing-based estimates of net deforestation. Remote Sens. Environ. 2012, 124, 394–401. [Google Scholar] [CrossRef]
- Kobayashi, T.; Tsend-Ayush, J.; Tateishi, R. A new tree cover percentage map in Eurasia at 500 m resolution using MODIS data. Remote Sens. 2013, 6, 209–232. [Google Scholar] [CrossRef]
- Ju, J.; Roy, D.P. The availability of cloud-free Landsat ETM+ data over the conterminous United States and globally. Remote Sens. Environ. 2008, 112, 1196–1211. [Google Scholar] [CrossRef]
- Reiche, J.; Lucas, R.; Mitchell, A.L.; Verbesselt, J.; Hoekman, D.H.; Haarpaintner, J.; Kellndorfer, J.M.; Rosenqvist, A.; Lehmann, E.A.; Woodcock, C.E. Combining satellite data for better tropical forest monitoring. Nat. Clim. Chang. 2016, 6, 120–122. [Google Scholar] [CrossRef]
- Fritz, S.; McCallum, I.; Schill, C.; Perger, C.; See, L.; Schepaschenko, D.; Van der Velde, M.; Kraxner, F.; Obersteiner, M. Geo-Wiki: An online platform for improving global land cover. Environ. Model. Softw. 2012, 31, 110–123. [Google Scholar] [CrossRef]








| Forest/Land Cover Products | Forest Definition | Resolution | Data Sources | Algorithms | References | |
|---|---|---|---|---|---|---|
| Tree Density | Tree Height | |||||
| GlobeLand30 | 10% | 30m | Landsat, HJ-1 | POK-based method | [19] | |
| FROM-GLC | 15% | 3 m | 30 m | Landsat | Automatic classification algorithms | [20] |
| Hansen | 10% | 5 m | 30 m | Landsat ETM+ | Supervised classification (decision tree) | [11] |
| ChinaCover | 20% | 3 m | 30 m | HJ-1A/B, MODIS | Object-oriented classification | [24] |
| NLCD-China | 10% | (1) | 30 m | Landsat, CBERS and HJ-1A | Visual interpretation approach | [29,30] |
| GLCF VCF | 10% | 5 m | 30 m | Landsat | Supervised classification | [21] |
| OU-FDL | 10% | 5 m | 50 m | PALSAR, MODIS | Decision Tree | [13] |
| JAXA | 10% | 50 m | PALSAR | Decision Tree | [22] | |
| Forest Products | GT Samples | Wi | UA | PA | OA | ||
|---|---|---|---|---|---|---|---|
| Forest | Non-Forest | ||||||
| GlobeLand30 | forest | 3409 | 638 | 0.19 | 0.84 ± 0.01 | 0.93 ± 0.009 | 0.97 ± 0.002 |
| non-forest | 194 | 117,027 | 0.81 | 0.99 ± 0.002 | 0.97 ± 0.002 | ||
| FROM-GLC | forest | 3408 | 1322 | 0.22 | 0.72 ± 0.01 | 0.92 ± 0.01 | 0.95 ± 0.002 |
| non-forest | 195 | 116,343 | 0.78 | 0.99 ± 0.001 | 0.95 ± 0.002 | ||
| Hansen | forest | 2564 | 158 | 0.13 | 0.94 ± 0.008 | 0.63 ± 0.01 | 0.94 ± 0.003 |
| non-forest | 1039 | 117,507 | 0.87 | 0.94 ± 0.003 | 0.99 ± 0.001 | ||
| ChinaCover | forest | 2648 | 399 | 0.14 | 0.87 ± 0.01 | 0.67 ± 0.01 | 0.94 ± 0.003 |
| non-forest | 955 | 117,266 | 0.86 | 0.95 ± 0.003 | 0.98 ± 0.002 | ||
| NLCD-China | forest | 2699 | 701 | 0.16 | 0.79 ± 0.01 | 0.74 ± 0.01 | 0.93 ± 0.003 |
| non-forest | 904 | 116,964 | 0.84 | 0.95 ± 0.003 | 0.96 ± 0.002 | ||
| GLCF VCF | forest | 2985 | 1000 | 0.19 | 0.75 ± 0.01 | 0.79 ± 0.01 | 0.93 ± 0.003 |
| non-forest | 618 | 116,665 | 0.81 | 0.96 ± 0.003 | 0.95 ± 0.002 | ||
| OU-FDL | forest | 2902 | 460 | 0.16 | 0.86 ± 0.01 | 0.73 ± 0.01 | 0.95 ± 0.003 |
| non-forest | 701 | 117,205 | 0.84 | 0.96 ± 0.003 | 0.98 ± 0.001 | ||
| JAXA | forest | 2664 | 194 | 0.13 | 0.93 ± 0.008 | 0.62 ± 0.02 | 0.95 ± 0.003 |
| non-forest | 939 | 117,471 | 0.87 | 0.95 ± 0.003 | 0.99 ± 0.001 | ||
© 2017 by the authors. Licensee MDPI, Basel, Switzerland. This article is an open access article distributed under the terms and conditions of the Creative Commons Attribution (CC BY) license (http://creativecommons.org/licenses/by/4.0/).
Share and Cite
Yang, Z.; Dong, J.; Liu, J.; Zhai, J.; Kuang, W.; Zhao, G.; Shen, W.; Zhou, Y.; Qin, Y.; Xiao, A.X. Accuracy Assessment and Inter-Comparison of Eight Medium Resolution Forest Products on the Loess Plateau, China. ISPRS Int. J. Geo-Inf. 2017, 6, 152. https://doi.org/10.3390/ijgi6050152
Yang Z, Dong J, Liu J, Zhai J, Kuang W, Zhao G, Shen W, Zhou Y, Qin Y, Xiao AX. Accuracy Assessment and Inter-Comparison of Eight Medium Resolution Forest Products on the Loess Plateau, China. ISPRS International Journal of Geo-Information. 2017; 6(5):152. https://doi.org/10.3390/ijgi6050152
Chicago/Turabian StyleYang, Zhiqi, Jinwei Dong, Jiyuan Liu, Jun Zhai, Wenhui Kuang, Guosong Zhao, Wei Shen, Yan Zhou, Yuanwei Qin, and And Xiangming Xiao. 2017. "Accuracy Assessment and Inter-Comparison of Eight Medium Resolution Forest Products on the Loess Plateau, China" ISPRS International Journal of Geo-Information 6, no. 5: 152. https://doi.org/10.3390/ijgi6050152
APA StyleYang, Z., Dong, J., Liu, J., Zhai, J., Kuang, W., Zhao, G., Shen, W., Zhou, Y., Qin, Y., & Xiao, A. X. (2017). Accuracy Assessment and Inter-Comparison of Eight Medium Resolution Forest Products on the Loess Plateau, China. ISPRS International Journal of Geo-Information, 6(5), 152. https://doi.org/10.3390/ijgi6050152

