Engineering of a Bio-Inspired Tiltable Oscillating Fin Submersible Thruster
Abstract
1. Introduction
2. Material
2.1. Overall Structure
2.1.1. Framework
2.1.2. Fin Rays and Drive Units
2.1.3. Fin Tilt Linkage Control System
2.1.4. Fin Surface
2.2. Control Program
2.3. Kinematic Equation
2.3.1. Generation and Transformation of Waveforms
2.3.2. Calculation of the Servo Motor’s Motion
2.3.3. Servo Motor Speed Control
3. Methods
3.1. Experimental Objective
3.2. Experimental Platform
3.2.1. Experimental Platform Structure
3.2.2. Device
3.3. Experimental Process
- (a)
- Traveling wave velocity: the speed of the sine wave moving along the fin surface (Figure 13a).
- (b)
- Amplitude: the maximum laterally tilting angle of each fin ray (Figure 13b).
- (c)
- Phase gap: The phase gap of the sine wave. When the phase gap was 18°, the ten fin rays presented half a sine wave cycle, and when the phase gap was 36°, the ten fin rays presented a whole cycle of sine waves (Figure 13c).
- (d)
4. Results
4.1. Traveling Wave Velocity
4.2. Amplitude
4.3. Phase Gap
4.4. Inclining Angle (Discrete Fin)
4.5. Inclining Angle (Continuous Fin)
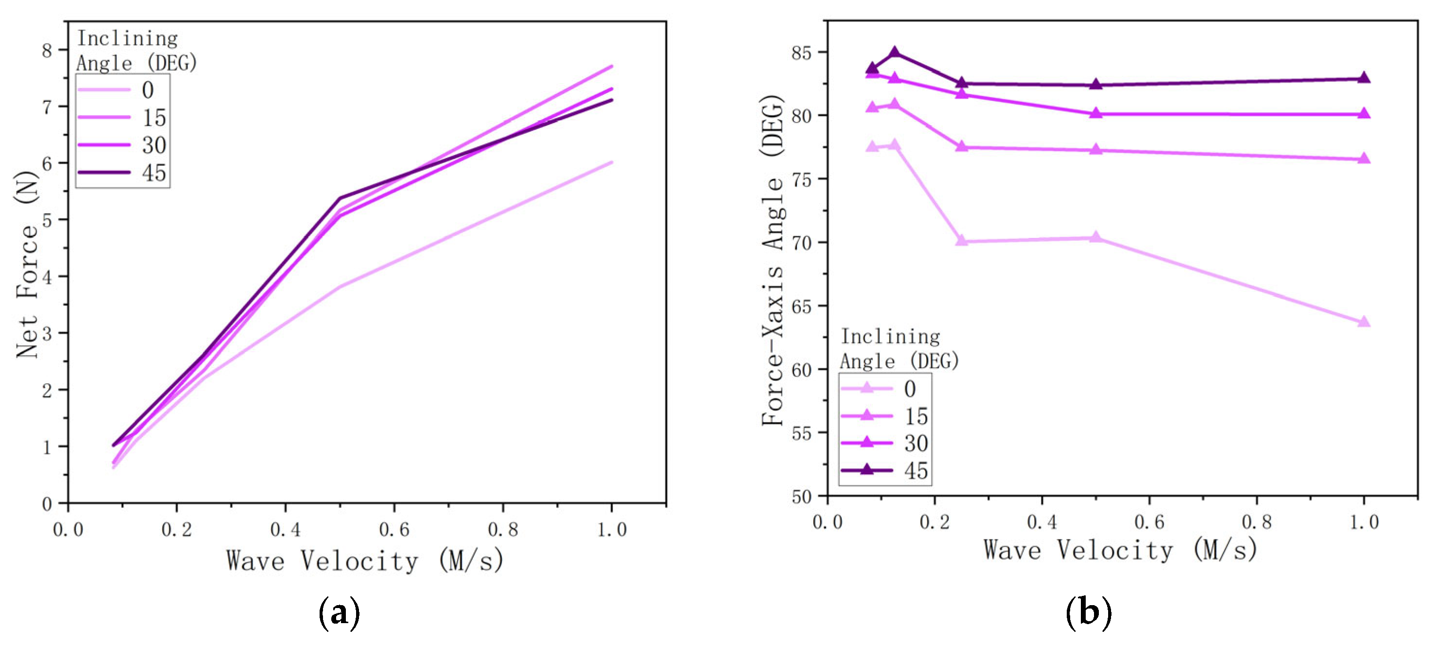
4.6. Bivariate Experiment: Wave Velocity and Inclining
4.7. Bivariate Experiment: Amplitude and Inclining
4.8. Bivariate Experiment: Phase Gap and Inclining
4.9. Snapshots
4.10. Important Values
5. Discussion
5.1. Analysis of Sine Wave Parameters
5.2. Analysis of Fin Inclining
5.3. Model
5.4. Error Analysis
- The rotation of the thruster led to an unstable thrust orientation, resulting in periodic force fluctuations;
- Disturbances generated at the water surface and the pool’s wall during force measurements could impact accuracy;
- The force test was conducted under static conditions without a flow inlet, which differs from actual dynamic conditions, which might make the result different from actual swimming conditions;
- The rubber fin surface shows unevenness and drape during oscillation, which differs from the ideal situation, especially when the fin is inclined and the surface undergoes uneven tension;
- The free-moving experiment snapshot result does not match the forced experiment result well because of the error in balancing buoyancy and gravity;
- Seahorse dorsal fin locomotion described by the sine wave equation with a parabolically changing amplitude can become more accurate than just using the sine wave [23].
5.5. Feasibility and Innovation
6. Conclusions
Author Contributions
Funding
Data Availability Statement
Conflicts of Interest
References
- Aguzzi, J.; Costa, C.; Calisti, M.; Funari, V.; Stefanni, S.; Danovaro, R.; Gomes, H.I.; Vecchi, F.; Dartnell, L.R.; Weiss, P.; et al. Research Trends and Future Perspectives in Marine Biomimicking Robotics. Sensors 2021, 21, 3778. [Google Scholar] [CrossRef] [PubMed]
- Lamas, M.I.; Rodriguez, C.G. Hydrodynamics of Biomimetic Marine Propulsion and Trends in Computational Simulations. J. Mar. Sci. Eng. 2020, 8, 479. [Google Scholar] [CrossRef]
- Wang, R.; Wang, S.; Wang, Y.; Cheng, L.; Tan, M. Development and Motion Control of Biomimetic Underwater Robots: A Survey. IEEE Trans. Syst. Man Cybern. Syst. 2020, 52, 833–844. [Google Scholar] [CrossRef]
- Marras, S.; Porfiri, M. Fish and Robots Swimming Together: Attraction towards the Robot Demands Biomimetic Locomotion. J. R. Soc. Interface 2012, 9, 1856–1868. [Google Scholar] [CrossRef] [PubMed]
- Li, G.; Liu, G.; Leng, D.; Fang, X.; Li, G.; Wang, W. Underwater Undulating Propulsion Biomimetic Robots: A Review. Biomimetics 2023, 8, 318. [Google Scholar] [CrossRef] [PubMed]
- Bu, K.; Gong, X.; Yu, C.; Xie, F. Biomimetic Aquatic Robots Based on Fluid-Driven Actuators: A Review. J. Mar. Sci. Eng. 2022, 10, 735. [Google Scholar] [CrossRef]
- Low, K.H. Current and Future Trends of Biologically Inspired Underwater Vehicles. In Proceedings of the Defense Science Research Conference and Expo (DSR), Singapore, 3–5 August 2011. [Google Scholar] [CrossRef]
- Kato, N. Median and Paired Fin Controllers for Biomimetic Marine Vehicles. Appl. Mech. Rev. 2005, 58, 238–252. [Google Scholar] [CrossRef]
- Quan, X.; Zhao, X.; Zhang, S.; Zhou, J.; Yu, N.; Hou, X. Research on the Undulatory Motion Mechanism of Seahorse Based on Dynamic Mesh. Appl. Bionics Biomech. 2021, 2021, e2807236. [Google Scholar] [CrossRef] [PubMed]
- Epstein, M.B.; Edward Colgate, J.; MacIver, M.A. Generating Thrust with a Biologically-Inspired Robotic Ribbon Fin. In Proceedings of the 2006 IEEE/RSJ International Conference on Intelligent Robots and Systems, Beijing, China, 9–15 October 2006. [Google Scholar] [CrossRef]
- Hu, T.; Shen, L.; Lin, L.; Xu, H. Biological Inspirations, Kinematics Modeling, Mechanism Design and Experiments on an Undulating Robotic Fin Inspired by Gymnarchus niloticus. Mech. Mach. Theory 2009, 44, 633–645. [Google Scholar] [CrossRef]
- Lin, L.; Xie, H.; Shen, L.; Zhou, R. Control System Design and Simulation for Bionic Undulating Fin. In Proceedings of the Chinese Control Conference, Kunming, China, 16–18 July 2008. [Google Scholar] [CrossRef]
- Liu, H.; Curet, O. Swimming Performance of a Bio-Inspired Robotic Vessel with Undulating Fin Propulsion. Bioinspir. Biomim. 2018, 13, 056006. [Google Scholar] [CrossRef] [PubMed]
- Lauder, G.V. Fish Locomotion: Recent Advances and New Directions. Annu. Rev. Mar. Sci. 2024, 7, 521–545. [Google Scholar] [CrossRef] [PubMed]
- Blake, R.W. On Seahorse Locomotion. J. Mar. Biol. Assoc. U. K. 1976, 56, 939–949. [Google Scholar] [CrossRef]
- Kumaravel, K.; Priya, E.R.; Ravichandran, S.; Balasubramanian, T. Morphological Perspectives of the Seahorse Hippocampus kuda (Bleeler) Vertebral System. Int. Sci. Res. J. 2010, 2, 63–69. [Google Scholar]
- Li, X.; Chen, G.; Tang, Y.; Zhong, J. Hydrodynamic Analysis of the Upright Swimming of Seahorse. Phys. Fluids 2024, 36, 021913. [Google Scholar] [CrossRef]
- Botello-Payro, E.; Diez-Robles, L.; Rauh, C.; Delgado, A. Analysis of the Flow Induce by the Undulatory Fin Motion of Seahorse. In Proceedings of the Fachtagung “Lasermethoden in der Strömungsmesstechnik”, Cottbus, Germany, 7–9 September 2010. [Google Scholar]
- Ashley-ross, M.A. Mechanical Properties of the Dorsal Fin Muscle of Seahorse (Hippocampus) and Pipefish (Syngnathus). J. Exp. Zool. 2002, 293, 561–577. [Google Scholar] [CrossRef] [PubMed]
- Consi, T.R.; Seifert, P.A.; Triantafyllou, M.S.; Edelman, E.R. The Dorsal Fin Engine of the Seahorse (Hippocampus sp.). J. Morphol. 2001, 248, 80–97. [Google Scholar] [CrossRef] [PubMed]
- Shang, L.; Wang, S.; Tan, M.; Cheng, L. Swimming Locomotion Modeling for Biomimetic Underwater Vehicle with Two Undulating Long-Fins. Robotica 2011, 30, 913–923. [Google Scholar] [CrossRef]
- Toda, Y.; Suzuki, T.; Uto, S.; Tanaka, N. Fundamental Study of a Fishlike Body with Two Undulating Side-Fins. In Bio-Mechanisms of Swimming and Flying; Springer: Tokyo, Japan, 2004. [Google Scholar] [CrossRef]
- Kulisiewicz, B.E.Z.; Payro, E.B.; Lienhart, H.; Rauh, C.; Delgado, A.; Krupczynski, P.; Schuster, S. Kinematics and Hydrodynamics of Undulatory Fin Motion of Seahorse. In Proceedings of the Fachtagung “Lasermethoden in der Strömungsmesstechnik”, Erlangen, Germany, 8–10 September 2009. [Google Scholar]

































| Variable Names | Parameter (Units) | Invariant | |
|---|---|---|---|
| Traveling wave velocity | 1/12, 1/6, 1/4, 1/2, 1 | m/s | Amplitude 90° phase gap 36° inclination 0° |
| Amplitude | 10, 30, 60, 90, 120, 150 | Degrees | Wave velocity 1 m/s phase gap 36° inclination 0° |
| Phase gap | 18, 27, 36, 45 | Degrees | Wave velocity 1 m/s Amplitude 90° Inclination 0° |
| Inclining angle | 0, 10, 20, 30, 40, 50 | Degrees | (discrete fin) Wave velocity 1 m/s Amplitude 90° phase gap 36° Inclination 0° |
| Inclining angle | From −50° to 50° with a gap of 10° | (continuous fin) Wave velocity 1 m/s Amplitude 90° phase gap 36° Inclination 0° | |
| Group | Variable Name | Parameter (Units) | Invariant | |
|---|---|---|---|---|
| 1 | Traveling wave velocity | 1/12, 1/6, 1/4, 1/2, 1 | m/s | Amplitude 90° phase gap 36° |
| Inclining angle | 0, 15, 30, 45 | Degrees | ||
| 2 | Amplitude | 10, 30, 60, 90, 120, 150 | Degrees | Wave velocity 1 m/s phase gap 36° |
| Inclining angle | 0, 15, 30, 45 | Degrees | ||
| 3 | Phase gap | 18, 27, 36, 45 | Degrees | Wave velocity 1 m/s Amplitude 90° |
| Inclining angle | 0, 15, 30, 45 | Degrees | ||
| Maximum Thrust | Maximum Force–X-Axis Angle | Maximum Speed in Water | Maximum Moving Angle in Water |
|---|---|---|---|
| 7.6 N | 81° | 0.1 m/s | 20° |
Disclaimer/Publisher’s Note: The statements, opinions and data contained in all publications are solely those of the individual author(s) and contributor(s) and not of MDPI and/or the editor(s). MDPI and/or the editor(s) disclaim responsibility for any injury to people or property resulting from any ideas, methods, instructions or products referred to in the content. |
© 2024 by the authors. Licensee MDPI, Basel, Switzerland. This article is an open access article distributed under the terms and conditions of the Creative Commons Attribution (CC BY) license (https://creativecommons.org/licenses/by/4.0/).
Share and Cite
Liu, Z.; Li, D. Engineering of a Bio-Inspired Tiltable Oscillating Fin Submersible Thruster. Robotics 2024, 13, 154. https://doi.org/10.3390/robotics13100154
Liu Z, Li D. Engineering of a Bio-Inspired Tiltable Oscillating Fin Submersible Thruster. Robotics. 2024; 13(10):154. https://doi.org/10.3390/robotics13100154
Chicago/Turabian StyleLiu, Zihao, and Duanling Li. 2024. "Engineering of a Bio-Inspired Tiltable Oscillating Fin Submersible Thruster" Robotics 13, no. 10: 154. https://doi.org/10.3390/robotics13100154
APA StyleLiu, Z., & Li, D. (2024). Engineering of a Bio-Inspired Tiltable Oscillating Fin Submersible Thruster. Robotics, 13(10), 154. https://doi.org/10.3390/robotics13100154

