Influence of Fish Handling Practices Onboard Purse Seiners on Quality Parameters of Sardines (Sardina pilchardus) during Cold Storage
Abstract
1. Introduction
2. Materials and Methods
2.1. Samples
2.2. Initial Inspection and Chemical Composition Analysis
2.3. Sensory Evaluation
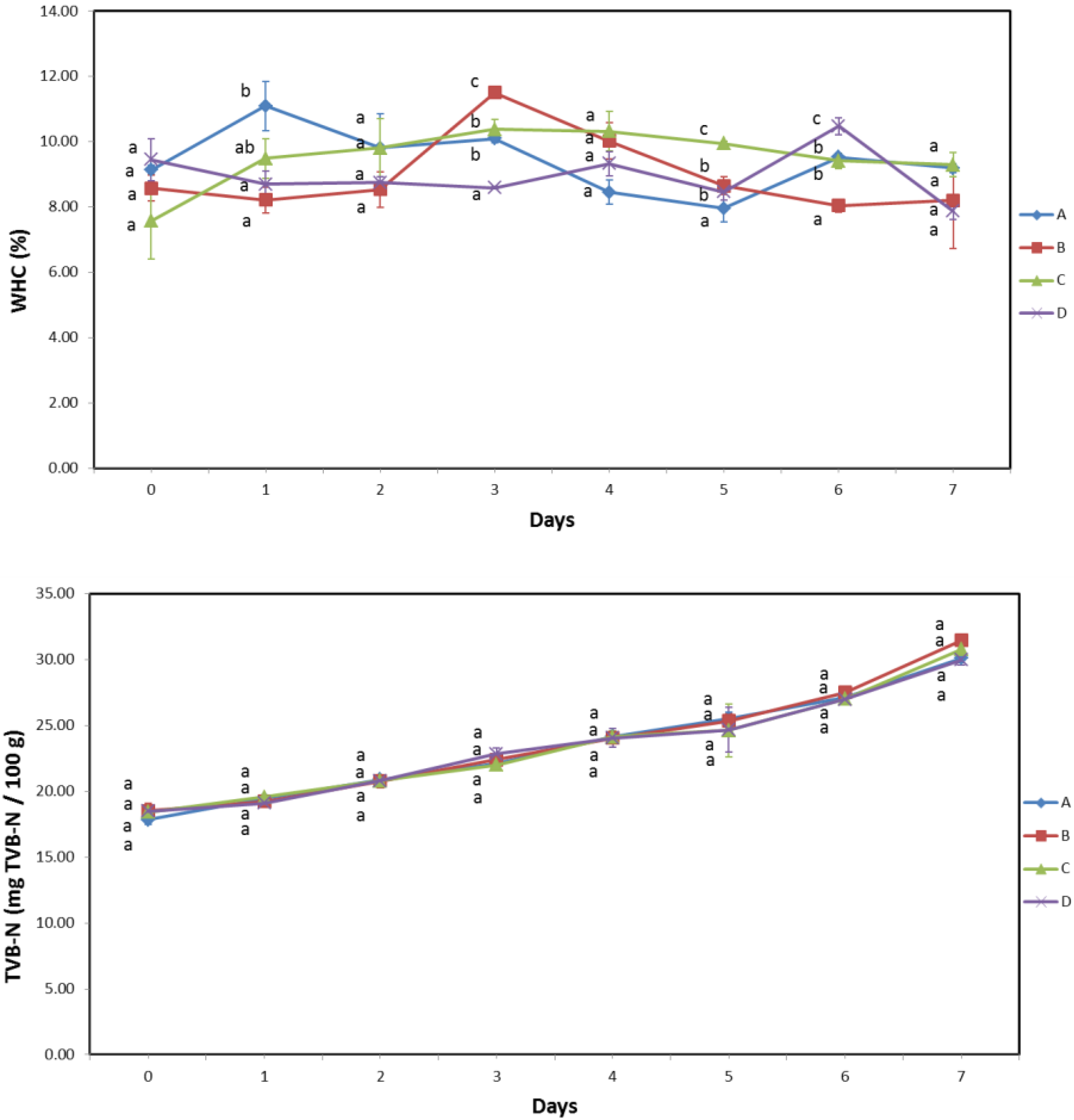
2.4. pH, Water-Holding Capacity (WHC), and Total Volatile Basic Nitrogen (TVB-N)
2.5. Proteolytic Index
2.6. Lipid Oxidation
2.7. Statistical Analysis
3. Results and Discussion
3.1. Parameters of Fishing Operation, Initial Inspection, and Chemical Composition of Fish Samples
3.2. QIM
3.3. pH, Water-Holding Capacity (WHC), and Total Volatile Basic Nitrogen (TVB-N)
3.4. Proteolytic Index
3.5. Lipid Oxidation
4. Conclusions
Author Contributions
Funding
Institutional Review Board Statement
Informed Consent Statement
Data Availability Statement
Conflicts of Interest
References
- Šimat, V.; Hamed, I.; Petričević, S.; Bogdanović, T. Seasonal Changes in Free Amino Acid and Fatty Acid Compositions of Sardines, Sardina pilchardus (Walbaum, 1792): Implications for Nutrition. Foods 2020, 9, 867. [Google Scholar] [CrossRef] [PubMed]
- Cardenia, V.; Rodriguez-Estrada, M.T.; Baldacci, E.; Lercker, G. Health-related lipids components of sardine muscle as affected by photooxidation. Food Chem. Toxicol. 2013, 57, 32–38. [Google Scholar] [CrossRef] [PubMed]
- Béné, C.; Barange, M.; Subasinghe, R.; Pinstrup-Andersen, P.; Merino, G.; Hemre, G.-I.; Williams, M. Feeding 9 billion by 2050—Putting fish back on the menu. Food Secur. 2015, 7, 261–274. [Google Scholar] [CrossRef]
- Reblová, Z.; Aubourg, S.P.; Pokorný, J. The Effect of Different Freshness of Raw Material on Lipid Quality and Sensory Acceptance of Canned Sardines. Foods 2022, 11, 1987. [Google Scholar] [CrossRef] [PubMed]
- Tørris, C.; Molin, M.; Cvancarova Småstuen, M. Fish consumption and its possible preventive role on the development and prevalence of metabolic syndrome—A systematic review. Diabetol. Metab. Syndr. 2014, 6, 112. [Google Scholar] [CrossRef]
- Raatz, S.K.; Silverstein, J.T.; Jahns, L.; Picklo, M.J. Issues of fish consumption for cardiovascular disease risk reduction. Nutrients 2013, 5, 1081–1097. [Google Scholar] [CrossRef]
- Panagiotakos, D.B.; Zeimbekis, A.; Boutziouka, V.; Economou, M.; Kourlaba, G.; Toutouzas, P.; Polychronopoulos, E. Long-term fish intake is associated with better lipid profile, arterial blood pressure, and blood glucose levels in elderly people from Mediterranean islands (MEDIS epidemiological study). Med. Sci. Monit. 2007, 13, Cr307–Cr312. [Google Scholar]
- Robinson, L.E.; Buchholz, A.C.; Mazurak, V.C. Inflammation, obesity, and fatty acid metabolism: Influence of n-3 polyunsaturated fatty acids on factors contributing to metabolic syndrome. Appl. Physiol. Nutr. Metab. 2007, 32, 1008–1024. [Google Scholar] [CrossRef]
- Ababouch, L.H.; Souibri, L.; Rhaliby, K.; Ouahdi, O.; Battal, M.; Busta, F.F. Quality changes in sardines (Sardina pilchardus) stored in ice and at ambient temperature. Food Microbiol. 1996, 13, 123–132. [Google Scholar] [CrossRef]
- Felberg, H.S.; Slizyté, R.; Mozuraityte, R.; Dahle, S.W.; Olsen, R.L.; Martinez, I. Proteolytic activities of ventral muscle and intestinal content of North Sea herring (Clupea harengus) with full and emptied stomachs. Food Chem. 2009, 116, 40–46. [Google Scholar] [CrossRef]
- Felberg, H.S.; Hagen, L.; Slupphaug, G.; Batista, I.; Nunes, M.L.; Olsen, R.L.; Martinez, I. Partial characterisation of gelatinolytic activities in herring (Clupea harengus) and sardine (Sardina pilchardus) possibly involved in post-mortem autolysis of ventral muscle. Food Chem. 2010, 119, 675–683. [Google Scholar] [CrossRef]
- Calanche, J.; Samayoa, S.; Alonso, V.; Provincial, L.; Roncalés, P.; Beltrán, J.A. Assessing the effectiveness of a cold chain for fresh fish salmon (Salmo salar) and sardine (Sardina pilchardus) in a food processing plant. Food Control. 2013, 33, 126–135. [Google Scholar] [CrossRef]
- Careche, M.; García, R.; Borderías, J. Anchovy shelf life as affected by different chilling methods during distribution. J. Food Prot. 2002, 65, 353–361. [Google Scholar] [CrossRef] [PubMed]
- Campos, C.A.; Rodríguez, O.; Losada, V.; Aubourg, S.P.; Barros-Velázquez, J. Effects of storage in ozonised slurry ice on the sensory and microbial quality of sardine (Sardina pilchardus). Int. J. Food Microbiol. 2005, 103, 121–130. [Google Scholar] [CrossRef]
- García, R.; Careche, M. Influence of chilling methods on the quality of sardines (Sardina pilchardus). J. Food Prot. 2002, 65, 1024–1032. [Google Scholar] [CrossRef]
- Losada, V.; Barros-Velázquez, J.; Aubourg, S.P. Rancidity development in frozen pelagic fish: Influence of slurry ice as preliminary chilling treatment. LWT Food Sci. Technol. 2007, 40, 991–999. [Google Scholar] [CrossRef]
- Hattula, T.; Luoma, T.; Kostiainen, R.; Poutanen, J.; Kallio, M.; Suuronen, P. Effects of catching method on different quality parameters of Baltic herring (Clupea harengus L.). Fish. Res. 1995, 23, 209–221. [Google Scholar] [CrossRef]
- Suuronen, P.; Erickson, D.L.; Orrensalo, A. Mortality of herring escaping from pelagic trawl codends. Fish. Res. 1996, 25, 305–321. [Google Scholar] [CrossRef]
- Digre, H.; Tveit, G.M.; Solvang-Garten, T.; Eilertsen, A.; Aursand, I.G. Pumping of mackerel (Scomber scombrus) onboard purse seiners, the effect on mortality, catch damage and fillet quality. Fish. Res. 2016, 176, 65–75. [Google Scholar] [CrossRef]
- Roth, B.; Skåra, T. Pre mortem capturing stress of Atlantic herring (Clupea harengus) in purse seine and subsequent effect on welfare and flesh quality. Fish. Res. 2021, 244, 106124. [Google Scholar] [CrossRef]
- Poli, B.M.; Parisi, G.; Scappini, F.; Zampacavallo, G. Fish welfare and quality as affected by pre-slaughter and slaughter management. Aquac. Int. 2005, 13, 29–49. [Google Scholar] [CrossRef]
- Anders, N.; Eide, I.; Lerfall, J.; Roth, B.; Breen, M. Physiological and flesh quality consequences of pre-mortem crowding stress in Atlantic mackerel (Scomber scombrus). PLoS ONE 2020, 15, e0228454. [Google Scholar] [CrossRef] [PubMed]
- Gregory, N.G.; Grandin, T. Animal Welfare and Meat Science; CABI Pub.: Wallingford, UK, 1998. [Google Scholar]
- AOAC. Official Methods of Analysis, 16 ed.; AOAC International: Arlington, WA, USA, 1995. [Google Scholar]
- Smedes, F. Determination of total lipid using non-chlorinated solvents. Analyst 1999, 124, 1711–1718. [Google Scholar] [CrossRef]
- ISO 5509:2000; Animal and Vegetable Fats and Oils—Preparation of Methyl Esters of Fatty Acids. ISO: Geneva, Switzerland, 2000.
- Vyncke, W. pH of fish muscle: Comparison of determination methods. In Mededelingen Van Het Rijksstation Voor Zeevisserij (Belgium); Rijksstation voor Zeevisserij: Brussels, Belgium, 1981. [Google Scholar]
- Grau, R.; Hamm, R. Eine einfache Methode zur Bestimmung der Wasserbindung im Muskel. Sci. Nat. 1953, 40, 29–30. [Google Scholar] [CrossRef]
- Antonacopoulos, N.; Vyncke, W. Determination of volatile basic nitrogen in fish: A third collaborative study by the West European Fish Technologists’ Association (WEFTA). Z. Lebensm. Unters. Forsch. 1989, 189, 309–316. [Google Scholar] [CrossRef]
- Doi, E.; Shibata, D.; Matoba, T. Modified colorimetric ninhydrin methods for peptidase assay. Anal. Biochem. 1981, 118, 173–184. [Google Scholar] [CrossRef]
- Baer, A.; Ryba, I.; Meyer, J.; Bütikofer, U. Microplate Assay of Free Amino Acids in Swiss Cheeses. LWT Food Sci. Technol. 1996, 29, 58–62. [Google Scholar] [CrossRef]
- Bruna, J.M.; Ordóñez, J.A.; Fernández, M.; Herranz, B.; de la Hoz, L. Microbial and physico-chemical changes during the ripening of dry fermented sausages superficially inoculated with or having added an intracellular cell-free extract of Penicillium aurantiogriseum. Meat Sci. 2001, 59, 87–96. [Google Scholar] [CrossRef]
- Sone, I.; Skåra, T.; Olsen, S.H. Factors influencing post-mortem quality, safety and storage stability of mackerel species: A review. Eur. Food Res. Technol. 2019, 245, 775–791. [Google Scholar] [CrossRef]
- Lerfall, J.; Roth, B.; Skare, E.F.; Henriksen, A.; Betten, T.; Dziatkowiak-Stefaniak, M.A.; Rotabakk, B.T. Pre-mortem stress and the subsequent effect on flesh quality of pre-rigor filleted Atlantic salmon (Salmo salar L.) during ice storage. Food Chem. 2015, 175, 157–165. [Google Scholar] [CrossRef]
- Svalheim, R.A.; Aas-Hansen, Ø.; Heia, K.; Karlsson-Drangsholt, A.; Olsen, S.H.; Johnsen, H.K. Simulated trawling: Exhaustive swimming followed by extreme crowding as contributing reasons to variable fillet quality in trawl-caught Atlantic cod (Gadus morhua). PLoS ONE 2020, 15, e0234059. [Google Scholar] [CrossRef] [PubMed]
- Sato, K.; Uratsujt, S.; Sato, M.; Mochizuki, S.; Shigemura, Y.; Ando, M.; Nakamura, Y.; Ohtsuki, K. Effect of slaughter method on degradation of intramuscular type V collagen during short-term chilled storage of chub mackerel Scomber japonicus. J. Food Biochem. 2002, 26, 415–429. [Google Scholar] [CrossRef]
- Gökodlu, N.; Özden, Ö.; Erkan, N. Physical, Chemical and Sensory Analyses of Freshly Harvested Sardines (Sardina pilchardus) Stored at 4 °C. J. Aquat. Food Prod. Technol. 1998, 7, 5–15. [Google Scholar] [CrossRef]
- Erkan, N.; Özden, Ö. Quality assessment of whole and gutted sardines (Sardina pilchardus) stored in ice. Int. J. Food Sci. Technol. 2008, 43, 1549–1559. [Google Scholar] [CrossRef]
- Stamatis, N.; Arkoudelos, J.S. Effect of modified atmosphere and vacuum packaging on microbial, chemical and sensory quality indicators of fresh, filleted Sardina pilchardus at 3 °C. J. Sci. Food Agric. 2007, 87, 1164–1171. [Google Scholar] [CrossRef]
- Marrakchi, A.E.; Bennour, M.; Bouchriti, N.; Hamama, A.; Tagafait, H. Sensory, Chemical, and Microbiological Assessments of Moroccan Sardines (Sardina pilchardus) Stored in Ice. J. Food Prot. 1990, 53, 600–605. [Google Scholar] [CrossRef]
- Ando, M.; Joka, M.; Mochizuki, S.; Satoh, K.-I.; Tsukamasa, Y.; Makinodan, Y. Influence of death struggle on the structural changes in chub mackerel muscle during chilled storage. Fish Sci. 2001, 67, 744–751. [Google Scholar] [CrossRef]
- Yu, D.; Wu, L.; Regenstein, J.M.; Jiang, Q.; Yang, F.; Xu, Y.; Xia, W. Recent advances in quality retention of non-frozen fish and fishery products: A review. Crit. Rev. Food. Sci. Nutr. 2020, 60, 1747–1759. [Google Scholar] [CrossRef]
- Undeland, I.; Hall, G.; Lingnert, H. Lipid Oxidation in Fillets of Herring (Clupea harengus) during Ice Storage. J. Agric. Food Chem. 1999, 47, 524–532. [Google Scholar] [CrossRef]
- Wu, H.; Richards, M.P.; Undeland, I. Lipid oxidation and antioxidant delivery systems in muscle food. Compr. Rev. Food Sci. Food Saf. 2022, 21, 1275–1299. [Google Scholar] [CrossRef]
- Moradi, Y.; Bakar, J.; Motalebi, A.A.; Syed Muhamad, S.H.; Che Man, Y. A Review on Fish Lipid: Composition and Changes During Cooking Methods. J. Aquat. Food Prod. Technol. 2011, 20, 379–390. [Google Scholar] [CrossRef]
- Secci, G.; Parisi, G. From farm to fork: Lipid oxidation in fish products. A review. Ital. J. Anim. Sci. 2016, 15, 124–136. [Google Scholar] [CrossRef]
- Thiansilakul, Y.; Benjakul, S.; Richards, M.P. Effect of myoglobin from Eastern little tuna muscle on lipid oxidation of washed Asian seabass mince at different pH conditions. J. Food Sci. 2011, 76, C242–C249. [Google Scholar] [CrossRef]
- Sohn, J.-H.; Taki, Y.; Ushio, H.; Kohata, T.; Shioya, I.; Ohshima, T. Lipid Oxidations in Ordinary and Dark Muscles of Fish: Influences on Rancid Off-odor Development and Color Darkening of Yellowtail Flesh During Ice Storage. J. Food Sci. 2005, 70, s490–s496. [Google Scholar] [CrossRef]
- Richards, M.P.; Hultin, H.O. Contributions of Blood and Blood Components to Lipid Oxidation in Fish Muscle. J. Agric. Food Chem. 2002, 50, 555–564. [Google Scholar] [CrossRef] [PubMed]
- Undeland, I.; Ekstrand, B.; Lingnert, H. Lipid oxidation in herring (Clupea harengus) light muscle, dark muscle, and skin, stored separately or as intact fillets. J. Am. Oil. Chem. Soc. 1998, 75, 581–590. [Google Scholar] [CrossRef]






| Sample | Handling Practice | Loading Method | Cooling Method | Transport |
|---|---|---|---|---|
| A | Traditional | Brail net | Mixture of chilled seawater and ice | Plastic crates, with addition of flaked ice |
| B | ||||
| C | Modified | Live fish pump | Mixture of chilled seawater and ice | Isothermic box, in mixture of chilled seawater and ice |
| D |
| Sample | Sea Temperature (°C) | Air Temperature (°C) | Total Amount of Catch (kg) | Loading Time (min) | Loading Capacity (kg/min) |
|---|---|---|---|---|---|
| A | 19 | 16 | 2630 | 27 | 97.4 |
| B | 19 | 16 | 1170 | 14 | 83.6 |
| C | 19 | 16 | 3601 | 19 | 189.5 |
| D | 19 | 18 | 1820 | 11 | 165.5 |
| Sample | Temperature (°C) | Average Weight (g) | Damaged Samples | Protein g/100 g | Fat g/100 g | SFA % t.f.a. | MUFA % t.f.a. | PUFA % t.f.a. |
|---|---|---|---|---|---|---|---|---|
| A | 0.5 | 22.1 ± 1.9 a | 16/100 | 20.87 ± 0.02 a | 6.03 ± 0.02 c | 36.99 ± 0.19 b | 18.64 ± 0.25 c | 43.57 ± 0.02 b |
| B | 0.9 | 24.8 ± 2.3 a | 10/100 | 21.10 ± 0.12 a | 5.20 ± 0.23 b | 37.54 ± 0.02 bc | 17.20 ± 0.02 b | 43.98 ± 0.01 c |
| C | 0.3 | 23.1 ± 1.8 a | 17/100 | 21.26 ± 0.25 a | 4.04 ± 0.30 a | 36.37 ± 0.15 a | 16.16 ± 0.00 a | 46.19 ± 0.12 d |
| D | 0.7 | 24.0 ± 2.1 a | 6/100 | 20.67 ± 0.27 a | 7.15 ± 0.05 d | 37.41 ± 0.12 c | 19.40 ± 0.07 d | 41.95 ± 0.10 a |
| Fatty Acid | Sample A | Sample B | Sample C | Sample D |
|---|---|---|---|---|
| C12:0 | 0.25 ± 0.00 b | 0.25 ± 0.00 b | 0.13 ± 0.00 a | 0.25 ± 0.00 b |
| C14:0 | 8.01 ± 0.06 d | 7.19 ± 0.01 b | 5.62 ± 0.01 a | 7.75 ± 0.04 c |
| C14:1 | 0.04 ± 0.00 a | 0.03 ± 0.00 a | 0.25 ± 0.01 b | 0.04 ± 0.00 a |
| C15:0 | 0.88 ± 0.01 a | 0.94 ± 0.00 b | 1.03 ± 0.01 c | 0.87 ± 0.00 a |
| C16:0 | 20.66 ± 0.09 a | 21.42 ± 0.02 b | 21.80 ± 0.04 c | 21.27 ± 0.08 b |
| C16:1 | 6.38 ± 0.04 d | 5.18 ± 0.02 b | 3.09 ± 0.01 a | 6.06 ± 0.04 c |
| C17:0 | 1.00 ± 0.00 b | 1.11 ± 0.00 c | 1.21 ± 0.00 d | 0.97 ± 0.00 a |
| C17:1 | 0.10 ± 0.00 a | 0.10 ± 0.01 a | 0.08 ± 0.03 a | 0.10 ± 0.00 a |
| C18:0 | 5.01 ± 0.02 a | 5.63 ± 0.02 d | 5.48 ± 0.02 c | 5.18 ± 0.00 b |
| C18:1c | 10.72 ± 0.30 a | 10.62 ± 0.01 a | 11.25 ± 0.02 b | 11.67 ± 0.03 b |
| C18:2c | 2.00 ± 0.01 a | 2.14 ± 0.10 a | 2.14 ± 0.00 a | 2.04 ± 0.01 a |
| C18:3n6 | 0.18 ± 0.00 c | 0.15 ± 0.01 b | 0.10 ± 0.00 a | 0.17 ± 0.01 bc |
| C18:3n3 | 1.22 ± 0.01 b | 1.09 ± 0.00 a | 1.16 ± 0.04 ab | 1.30 ± 0.01 c |
| C20:0 | 0.91 ± 0.01 d | 0.70 ± 0.00 b | 0.58 ± 0.00 a | 0.86 ± 0.00 c |
| C20:1 | 1.22 ± 0.01 b | 1.08 ± 0.00 a | 1.29 ± 0.02 c | 1.33 ± 0.00 c |
| C20:2 | 0.42 ± 0.00 a | 0.43 ± 0.00 a | 0.47 ± 0.00 c | 0.45 ± 0.00 b |
| C20:4n6 | 1.26 ± 0.01 ab | 1.45 ± 0.00 c | 1.33 ± 0.04 b | 1.18 ± 0.02 a |
| C20:3n3 | 0.21 ± 0.00 ab | 0.21 ± 0.00 a | 0.22 ± 0.00 b | 0.23 ± 0.00 c |
| C20:5n3 | 11.69 ± 0.03 d | 10.94 ± 0.02 b | 8.53 ± 0.00 a | 11.08 ± 0.02 c |
| C22:1 | 0.19 ± 0.00 a | 0.19 ± 0.00 a | 0.21 ± 0.00 b | 0.19 ± 0.00 a |
| C23:0 | 0.11 ± 0.00 a | 0.11 ± 0.01 a | 0.33 ± 0.19 a | 0.08 ± 0.00 a |
| C24:0 | 0.16 ± 0.00 a | 0.20 ± 0.00 d | 0.18 ± 0.00 c | 0.17 ± 0.00 b |
| C22:6n3 | 26.59 ± 0.01 b | 27.99 ± 0.07 c | 32.72 ± 0.04 d | 25.94 ± 0.09 a |
| * n.i. | 0.74 ± 0.02 a | 0.85 ± 0.05 a | 0.81 ± 0.04 a | 0.79 ± 0.09 a |
| Sample | a | R2 | Theoretical Shelf Life (Days) |
|---|---|---|---|
| A | 3.3950 | 0.9715 | 8.54 |
| B | 3.4787 | 0.9778 | 8.33 |
| C | 3.2945 | 0.9401 | 8.80 |
| D | 3.2326 | 0.9523 | 8.97 |
| Traditional | 3.4368 | 0.9763 | 8.43 |
| Modified | 3.2635 | 0.9507 | 8.89 |
Disclaimer/Publisher’s Note: The statements, opinions and data contained in all publications are solely those of the individual author(s) and contributor(s) and not of MDPI and/or the editor(s). MDPI and/or the editor(s) disclaim responsibility for any injury to people or property resulting from any ideas, methods, instructions or products referred to in the content. |
© 2023 by the authors. Licensee MDPI, Basel, Switzerland. This article is an open access article distributed under the terms and conditions of the Creative Commons Attribution (CC BY) license (https://creativecommons.org/licenses/by/4.0/).
Share and Cite
Janči, T.; Gauta, T.; Putnik, P.; Kanski, D.; Lovrinov, M. Influence of Fish Handling Practices Onboard Purse Seiners on Quality Parameters of Sardines (Sardina pilchardus) during Cold Storage. Biomolecules 2023, 13, 192. https://doi.org/10.3390/biom13020192
Janči T, Gauta T, Putnik P, Kanski D, Lovrinov M. Influence of Fish Handling Practices Onboard Purse Seiners on Quality Parameters of Sardines (Sardina pilchardus) during Cold Storage. Biomolecules. 2023; 13(2):192. https://doi.org/10.3390/biom13020192
Chicago/Turabian StyleJanči, Tibor, Tonka Gauta, Predrag Putnik, Danijel Kanski, and Mario Lovrinov. 2023. "Influence of Fish Handling Practices Onboard Purse Seiners on Quality Parameters of Sardines (Sardina pilchardus) during Cold Storage" Biomolecules 13, no. 2: 192. https://doi.org/10.3390/biom13020192
APA StyleJanči, T., Gauta, T., Putnik, P., Kanski, D., & Lovrinov, M. (2023). Influence of Fish Handling Practices Onboard Purse Seiners on Quality Parameters of Sardines (Sardina pilchardus) during Cold Storage. Biomolecules, 13(2), 192. https://doi.org/10.3390/biom13020192

