The ESSnuSB Design Study: Overview and Future Prospects
Abstract
1. Introduction
2. CP Violation Measurement at the Second Oscillation Maximum
2.1. Oscillations in Vacuum
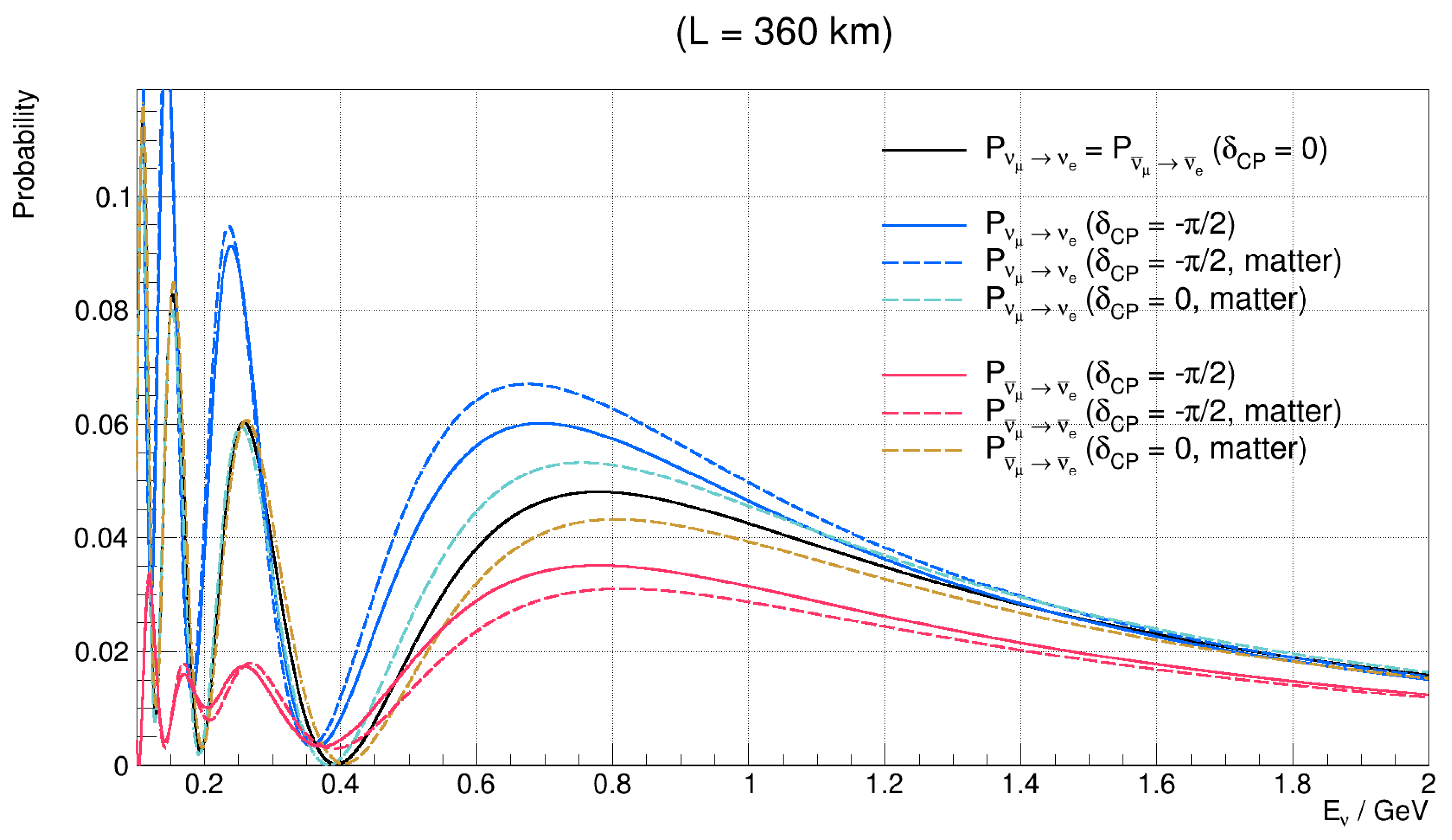
2.2. Matter Effects
2.3. Summary
3. Neutrino Beam
4. Neutrino Detectors
4.1. Near Detectors
4.2. Far Detectors
5. Physics Reach
6. Future Developments
7. Conclusions
Funding
Data Availability Statement
Conflicts of Interest
Abbreviations
| CPV | Charge-parity violation |
| ESS | European spallation source |
| ESSnuSB | European spallation source neutrino super beam |
| PMNS | Pontecorvo–Maki–Nakagawa–Sakata |
| NC | Neutral current |
| CC | Charged current |
| QCD | Quantum chromodynamics |
| QES | Quasi-elastic scattering |
| RES | Resonant scattering |
| DIS | Deep-inelastic scattering |
| MEC | Meson-exchange current |
| SFGD | Super fine-grained detector |
| CH | Hydrocarbons |
| PMT | Photomultiplier tube |
| R&D | Research and development |
| LEnuSTORM | Low-energy neutrinos from stored muons |
| LEMNB | Low-energy monitored neutrino beam |
| WC | Water Cherenkov |
References
- Lee, T.D.; Yang, C.N. Question of Parity Conservation in Weak Interactions. Phys. Rev. 1956, 104, 254–258. [Google Scholar] [CrossRef]
- Wu, C.S.; Ambler, E.; Hayward, R.W.; Hoppes, D.D.; Hudson, R.P. Experimental Test of Parity Conservation in β Decay. Phys. Rev. 1957, 105, 1413–1414. [Google Scholar] [CrossRef]
- Landau, L.D. On the conservation laws for weak interactions. Nucl. Phys. 1957, 3, 127–131. [Google Scholar] [CrossRef]
- Christenson, J.H.; Cronin, J.W.; Fitch, V.L.; Turlay, R. Evidence for the 2π Decay of the Meson. Phys. Rev. Lett. 1964, 13, 138–140. [Google Scholar] [CrossRef]
- Aubert, B. et al. [BABAR Collaboration] Measurement of CP violating asymmetries in B0 decays to CP eigenstates. Phys. Rev. Lett. 2001, 86, 2515–2522. [Google Scholar] [CrossRef] [PubMed]
- Abe, K. et al. [Belle Collaboration] Observation of large CP violation in the neutral B meson system. Phys. Rev. Lett. 2001, 87, 091802. [Google Scholar] [CrossRef]
- Aaij, R. et al. [LHCb Collaboration] First observation of CP violation in the decays of mesons. Phys. Rev. Lett. 2013, 110, 221601. [Google Scholar] [CrossRef]
- Aaij, R. et al. [LHCb Collaboration] Observation of CP Violation in Charm Decays. Phys. Rev. Lett. 2019, 122, 211803. [Google Scholar] [CrossRef]
- Gavela, M.; Hernandez, P.; Orloff, J.; Pene, O. Standard model CP violation and baryon asymmetry. Mod. Phys. Lett. 1994, A9, 795–810. [Google Scholar] [CrossRef]
- Gavela, M.; Hernandez, P.; Orloff, J.; Pene, O.; Quimbay, C. Standard model CP violation and baryon asymmetry. Part 2: Finite temperature. Nucl. Phys. 1994, B430, 382–426. [Google Scholar] [CrossRef]
- Abe, K. et al. [T2K Collaboration] Combined Analysis of Neutrino and Antineutrino Oscillations at T2K. Phys. Rev. Lett. 2017, 118, 151801. [Google Scholar] [CrossRef] [PubMed]
- Abe, K. et al. [T2K Collaboration] Constraint on the matter–antimatter symmetry-violating phase in neutrino oscillations. Nature 2020, 580, 339–344, Erratum in Nature 2020, 583, E16. [Google Scholar] [CrossRef] [PubMed]
- Abe, K. et al. [T2K Collaboration] Measurements of neutrino oscillation parameters from the T2K experiment using 3.6×1021 protons on target. arXiv 2023, arXiv:hep-ex/2303.03222. [Google Scholar]
- Acero, M.A. et al. [NOvA Collaboration] First Measurement of Neutrino Oscillation Parameters using Neutrinos and Antineutrinos by NOvA. Phys. Rev. Lett. 2019, 123, 151803. [Google Scholar] [CrossRef] [PubMed]
- Abe, K. et al. [ESSnuSB Collaboration] Hyper-Kamiokande Design Report. arXiv 2018, arXiv:physics.ins-det/1805.04163. [Google Scholar]
- Abi, B. et al. [DUNE Collaboration] Deep Underground Neutrino Experiment (DUNE), Far Detector Technical Design Report, Volume I Introduction to DUNE. J. Instrum. 2020, 15, T08008. [Google Scholar] [CrossRef]
- Abi, B. et al. [DUNE Collaboration] Deep Underground Neutrino Experiment (DUNE), Far Detector Technical Design Report, Volume II: DUNE Physics. arXiv 2020, arXiv:hep-ex/2002.03005. [Google Scholar]
- Abi, B. et al. [DUNE Collaboration] Deep Underground Neutrino Experiment (DUNE), Far Detector Technical Design Report, Volume III: DUNE Far Detector Technical Coordination. J. Instrum. 2020, 15, T08009. [Google Scholar] [CrossRef]
- Abi, B. et al. [DUNE Collaboration] Deep Underground Neutrino Experiment (DUNE), Far Detector Technical Design Report, Volume IV: Far Detector Single-phase Technology. J. Instrum. 2020, 15, T08010. [Google Scholar] [CrossRef]
- Fukasawa, S.; Ghosh, M.; Yasuda, O. Complementarity between Hyperkamiokande and DUNE in Determining Neutrino Oscillation Parameters. Nucl. Phys. B 2017, 918, 337–357. [Google Scholar] [CrossRef]
- Ballett, P.; King, S.F.; Pascoli, S.; Prouse, N.W.; Wang, T. Sensitivities and synergies of DUNE and T2HK. Phys. Rev. D 2017, 96, 033003. [Google Scholar] [CrossRef]
- Chakraborty, K.; Deepthi, K.N.; Goswami, S. Spotlighting the sensitivities of Hyper-Kamiokande, DUNE and ESSνSB. Nucl. Phys. 2018, B937, 303–332. [Google Scholar] [CrossRef]
- Agarwalla, S.K.; Das, S.; Giarnetti, A.; Meloni, D.; Singh, M. Enhancing Sensitivity to Leptonic CP Violation using Complementarity among DUNE, T2HK, and T2HKK. arXiv 2022, arXiv:hep-ph/2211.10620. [Google Scholar]
- Ghosh, M.; Yasuda, O. Effect of matter density in T2HK and DUNE. Nucl. Phys. B 2023, 989, 116142. [Google Scholar] [CrossRef]
- Alekou, A.; Baussan, E.; Bhattacharyya, A.K.; Kraljevic, N.B.; Blennow, M.; Bogomilov, M.; Bolling, B.; Bouquerel, E.; Buchan, O.; Burgman, A.; et al. The European Spallation Source neutrino super-beam conceptual design report. Eur. Phys. J. Spec. Top. 2022, 231, 3779–3955. [Google Scholar] [CrossRef]
- Alekou, A.; Baussan, E.; Bhattacharyya, A.K.; Kraljevic, N.B.; Blennow, M.; Bogomilov, M.; Bolling, B.; Bouquerel, E.; Buchan, O.; Burgman, A.; et al. The European Spallation Source neutrino super-beam conceptual design report. arXiv 2022, arXiv:hep-ex/2206.01208. [Google Scholar]
- Particle Data Group; Zyla, P.; Barnett, R.M.; Beringer, J.; Dahl, O.; Dwyer, D.A.; Groom, D.E.; Lin, C.J.; Lugovsky, K.S.; Pianori, E.; et al. Review of Particle Physics. Prog. Theor. Exp. Phys. 2022, 2022, 083C01. [Google Scholar] [CrossRef]
- Pontecorvo, B. Mesonium and anti-mesonium. Sov. Phys. J. Exp. Theor. Phys. 1957, 6, 429. [Google Scholar]
- Pontecorvo, B. Inverse beta processes and nonconservation of lepton charge. Sov. Phys. J. Exp. Theor. Phys. 1958, 7, 172–173. [Google Scholar]
- Maki, Z.; Nakagawa, M.; Ohnuki, Y.; Sakata, S. A unified model for elementary particles. Prog. Theor. Phys. 1960, 23, 1174–1180. [Google Scholar] [CrossRef][Green Version]
- Maki, Z.; Nakagawa, M.; Sakata, S. Remarks on the unified model of elementary particles. Prog. Theor. Phys. 1962, 28, 870–880. [Google Scholar] [CrossRef]
- Pontecorvo, B. Neutrino Experiments and the Problem of Conservation of Leptonic Charge. Sov. Phys. J. Exp. Theor. Phys. 1968, 26, 984–988. [Google Scholar]
- Jarlskog, C. Commutator of the Quark Mass Matrices in the Standard Electroweak Model and a Measure of Maximal CP Nonconservation. Phys. Rev. Lett. 1985, 55, 1039. [Google Scholar] [CrossRef]
- Esteban, I.; Gonzalez-Garcia, M.C.; Maltoni, M.; Schwetz, T.; Zhou, A. The fate of hints: Updated global analysis of three-flavor neutrino oscillations. J. High Energy Phys. 2020, 09, 178. [Google Scholar] [CrossRef]
- Wolfenstein, L. Neutrino Oscillations in Matter. Phys. Rev. D 1978, 17, 2369–2374. [Google Scholar] [CrossRef]
- Mikheyev, S.P.; Smirnov, A.Y. Resonance Amplification of Oscillations in Matter and Spectroscopy of Solar Neutrinos. Sov. J. Nucl. Phys. 1985, 42, 913–917. [Google Scholar]
- Mikheev, S.P.; Smirnov, A.Y. Resonant amplification of neutrino oscillations in matter and solar neutrino spectroscopy. Nuovo Cim. C 1986, 9, 17–26. [Google Scholar] [CrossRef]
- Zaglauer, H.W.; Schwarzer, K.H. The Mixing Angles in Matter for Three Generations of Neutrinos and the Msw Mechanism. Z. Phys. C 1988, 40, 273. [Google Scholar] [CrossRef]
- Bernabéu, J.; Segarra, A. Signatures of the genuine and matter-induced components of the CP violation asymmetry in neutrino oscillations. J. High Energy Phys. 2018, 11, 63. [Google Scholar] [CrossRef]
- Bernabéu, J.; Segarra, A. Disentangling genuine from matter-induced CP violation in neutrino oscillations. Phys. Rev. Lett. 2018, 121, 211802. [Google Scholar] [CrossRef]
- Baussan, E.; Blennow, M.; Bogomilov, M.; Bouquerel, E.; Caretta, O.; Cederkäll, J.; Christiansen, P.; Coloma, P.; Cupial, P.; Danared, H.; et al. A very intense neutrino super beam experiment for leptonic CP violation discovery based on the European spallation source linac. Nucl. Phys. B 2014, 885, 127–149. [Google Scholar] [CrossRef]
- Agarwalla, S.K.; Choubey, S.; Prakash, S. Probing Neutrino Oscillation Parameters using High Power Superbeam from ESS. J. High Energy Phys. 2014, 12, 020. [Google Scholar] [CrossRef]
- Chakraborty, K.; Goswami, S.; Gupta, C.; Thakore, T. Enhancing the hierarchy and octant sensitivity of ESSνSB in conjunction with T2K, NOνA and ICAL@INO. J. High Energy Phys. 2019, 05, 137. [Google Scholar] [CrossRef]
- Ghosh, M.; Ohlsson, T. A comparative study between ESSnuSB and T2HK in determining the leptonic CP phase. Mod. Phys. Lett. A 2020, 35, 2050058. [Google Scholar] [CrossRef]
- Blennow, M.; Fernandez-Martinez, E.; Ota, T.; Rosauro-Alcaraz, S. Physics potential of the ESSνSB. Eur. Phys. J. C 2020, 80, 190. [Google Scholar] [CrossRef]
- Alekou, A. et al. [ESSnuSB Collaboration] The European Spallation Source neutrino Super Beam. arXiv 2022, arXiv:physics.acc-ph/2203.08803. [Google Scholar]
- Abele, H.; Alekou, A.; Algora, A.; Andersen, K.; Baessler, S.; Barron-Palos, L.; Barrow, J.; Baussan, E.; Bentley, P.; Berezhiani, Z.; et al. Particle Physics at the European Spallation Source. arXiv 2022, arXiv:physics.ins-det/2211.10396. [Google Scholar]
- Garoby, R.; Bousson, S.; Calaga, R.; Danared, H.; Devanz, G.; Duperrier, R.; Eguia, J.; Eshraqi, M.; Gammino, S.; Hahn, H.; et al. The European Spallation Source Design. Phys. Scr. 2018, 93, 014001. [Google Scholar] [CrossRef]
- Blondel, A.; Cadoux, F.; Fedotov, S.; Khabibullin, M.; Khotjantsev, A.; Korzenev, A.; Kostin, A.; Kudenko, Y.; Longhin, A.; Mefodiev, A.; et al. A fully active fine grained detector with three readout views. J. Instrum. 2018, 13, 02006. [Google Scholar] [CrossRef]
- Alekou, A. et al. [ESSnuSB Collaboration] Updated physics performance of the ESSnuSB experiment. Eur. Phys. J. C 2021, 81, 1130. [Google Scholar] [CrossRef]
- Study of the Use of the ESS Facility to Accurately Measure the Neutrino Cross-Sections for ESSnuSB Leptonic CP Violation Measurements and to Perform Sterile Neutrino Searches and Astroparticle Physics-ESSnuSB+ (Active Project). Available online: https://cordis.europa.eu/project/id/101094628 (accessed on 1 March 2023).
- Ruso, L.A.; Alves, T.; Boyd, S.; Bross, A.; Hobson, P.R.; Kyberd, P.; Lagrange, J.B.; Long, K.; Lu, X.G.; Pasternak, J.; et al. Neutrinos from Stored Muons (nuSTORM). arXiv 2022, arXiv:hep-ex/2203.07545. [Google Scholar]
- Longhin, A.; Terranova, F. Enhanced NeUtrino BEams from kaon Tagging (ENUBET). arXiv 2022, arXiv:hep-ex/2203.08319. [Google Scholar]
- Delogu, C. et al. [ENUBET Collaboration] The hadronic beamline of the ENUBET neutrino beam. arXiv 2020, arXiv:physics.acc-ph/2004.03196. [Google Scholar]
- Dazeley, S.; Bernstein, A.; Bowden, N.S.; Svoboda, R. Observation of Neutrons with a Gadolinium Doped Water Cerenkov Detector. Nucl. Instrum. Meth. A 2009, 607, 256. [Google Scholar] [CrossRef][Green Version]
- Renshaw, A. Research and Development for a Gadolinium Doped Water Cherenkov Detector. Phys. Procedia 2012, 37, 1249–1256. [Google Scholar] [CrossRef][Green Version]











Disclaimer/Publisher’s Note: The statements, opinions and data contained in all publications are solely those of the individual author(s) and contributor(s) and not of MDPI and/or the editor(s). MDPI and/or the editor(s) disclaim responsibility for any injury to people or property resulting from any ideas, methods, instructions or products referred to in the content. |
© 2023 by the authors. Licensee MDPI, Basel, Switzerland. This article is an open access article distributed under the terms and conditions of the Creative Commons Attribution (CC BY) license (https://creativecommons.org/licenses/by/4.0/).
Share and Cite
Alekou, A.; Baussan, E.; Bhattacharyya, A.K.; Kraljevic, N.B.; Blennow, M.; Bogomilov, M.; Bolling, B.; Bouquerel, E.; Bramati, F.; Branca, A.; et al. The ESSnuSB Design Study: Overview and Future Prospects. Universe 2023, 9, 347. https://doi.org/10.3390/universe9080347
Alekou A, Baussan E, Bhattacharyya AK, Kraljevic NB, Blennow M, Bogomilov M, Bolling B, Bouquerel E, Bramati F, Branca A, et al. The ESSnuSB Design Study: Overview and Future Prospects. Universe. 2023; 9(8):347. https://doi.org/10.3390/universe9080347
Chicago/Turabian StyleAlekou, A., E. Baussan, A. K. Bhattacharyya, N. Blaskovic Kraljevic, M. Blennow, M. Bogomilov, B. Bolling, E. Bouquerel, F. Bramati, A. Branca, and et al. 2023. "The ESSnuSB Design Study: Overview and Future Prospects" Universe 9, no. 8: 347. https://doi.org/10.3390/universe9080347
APA StyleAlekou, A., Baussan, E., Bhattacharyya, A. K., Kraljevic, N. B., Blennow, M., Bogomilov, M., Bolling, B., Bouquerel, E., Bramati, F., Branca, A., Buchan, O., Burgman, A., Carlile, C. J., Cederkall, J., Choubey, S., Christiansen, P., Collins, M., Morales, E. C., D’Alessi, L., ... Zou, Y. (2023). The ESSnuSB Design Study: Overview and Future Prospects. Universe, 9(8), 347. https://doi.org/10.3390/universe9080347

