Abstract
Assuming that the common-spectrum process in the NANOGrav 12.5-year dataset has an origin of scalar-induced gravitational waves, we study the enhancement of primordial curvature perturbations and the mass function of primordial black holes, by performing the Bayesian parameter inference for the first time. We obtain lower limits on the spectral amplitude, i.e., at 95% confidence level, when assuming the power spectrum of primordial curvature perturbations to follow a log-normal distribution function with width . In the case of , we find that the primordial black holes with solar mass are allowed to compose at least a fraction of dark matter. Such a mass range is shifted to more massive regimes for larger values of , e.g., to a regime of solar mass in the case of . We expect the planned gravitational-wave experiments to have their best sensitivity to in the range of to , depending on the experimental setups. With this level of sensitivity, we can search for primordial black holes throughout the entire parameter space, especially in the mass range of to solar masses, where they could account for all dark matter. In addition, the importance of multi-band detector networks is emphasized to accomplish our theoretical expectation.
1. Introduction
It is well-known that the primordial black holes (PBHs) could be produced by gravitational collapses of the enhanced primordial curvature perturbations on small scales [1]. The mass function of PBHs is determined by the power spectrum of primordial curvature perturbations [2,3,4]. To produce a sizeable quantity of PBHs, the scalar spectral amplitude should conquer a critical magnitude ∼ [5], which is about eight orders of magnitudes larger than the spectral amplitude on large scales. On the other hand, the dynamics of cosmic inflation [6,7,8] is one of the greatest puzzles of cosmology to be uncovered. In particular, the small-scale primordial curvature perturbations were generated by quantum fluctuations at the late-time stage of inflation. Their power spectrum encodes characteristic information about the late-time dynamics of inflation, which could be different from that of the early-time one measured precisely with experiments on cosmic microwave background (CMB) [9,10] and large-scale structure (LSS) [11,12]. Therefore, we can gain more information about cosmic inflation by investigating the PBHs.
The scenario of PBHs can also be a reasonable candidate of dark matter, or compose a part of the latter [13,14]. The mass function of PBHs is defined as a ratio between the energy density fractions of PBHs and dark matter. Extensive studies have shown observational constraints on the mass function of PBHs (e.g., see reviews in Refs. [15,16]). In addition, the scenario of PBHs was suggested to interpret the formation mechanism of supermassive black holes (SMBHs) [17] and the events of compact binary coalescences [18,19,20,21,22,23,24,25], which emitted the gravitational waves (GWs) observed by the Advanced LIGO, Virgo and KAGRA detectors [26,27,28].
Accompanied by the formation process of PBHs, the scalar induced gravitational waves (SIGWs) [29,30,31,32] were inevitably produced by the enhanced primordial curvature perturbations. Specifically, they were produced through nonlinear couplings of tensor-scalar-scalar modes in the very early cosmos. Given the power spectrum of primordial curvature perturbations, a semi-analytic formula was provided to compute the energy density fraction spectrum of SIGWs [33,34]. It has been widely used to investigate the mass function of PBHs in the literature.
In this work, we will investigate the mass function of PBHs, as well as the power spectrum of primordial curvature perturbations, by analyzing a 12.5-year dataset from North American Nanohertz Observatory for Gravitational Waves (NANOGrav)1 [35]. Strong evidence of a stochastic common-spectrum process was reported by NANOGrav Collaboration. If this signal has an origin of SIGWs, we can straightforwardly obtain constraints on the power spectrum of primordial curvature perturbations. Since the latter can collapse to form the PBHs due to gravity, we therefore obtain corresponding constraints on the mass function of PBHs. In fact, the scenario of PBHs with different masses has been suggested to interpret such a signal (see, e.g., Refs. [36,37,38,39,40,41]). However, there is still lack of systematic Bayesian parameter inferences, which will be performed for the first time in this paper.
The rest of the paper is arranged as follows. We briefly review the theory of SIGWs in Section 2. By performing Bayesian analysis, we obtain the NANOGrav constraints on the enhancement of primordial curvature perturbations in Section 3. Correspondingly, we demonstrate the physical implications for the mass function of PBHs in Section 4. We forecast the sensitivity curves of ongoing and planned gravitational-wave detectors in Section 5. The conclusion and discussion are shown in Section 6.
2. Theory of Scalar-Induced Gravitational Waves
As previously shown [33,34], there is a lengthy and tedious derivation process to obtain a semi-analytic formula for the energy density fraction spectrum of SIGWs in the early cosmos. Therefore, we summarize some theoretical results that would be essential to our data analysis. The energy density fraction spectrum of GWs is defined as , where k denotes the GW wavenumber, is the critical energy density of the cosmos, and denotes the total energy density of GWs. The SIGWs in the subhorizon have the energy density spectrum as [42], where the overbar stands for the oscillation average and the angle brackets defines the power spectrum. The strain of SIGWs, as the second-order tensor perturbations produced by the linear scalar perturbations, can be roughly expressed as , where denotes the linear scalar perturbation. If considering the Gaussian scalar perturbations, we obtain , where is determined by the initial value and transfer function of . Therefore, following Equation (14) of Ref. [33], the energy density fraction spectrum of SIGWs in the radiation-dominated cosmos is given as
where (and ) is power spectrum of primordial curvature perturbations at wavenumber (and ) with u (and v) being a dimensionless variable, and is a functional of the scalar transfer function describing the post-inflationary evolution of and can be simplified as
Due to a lack of direct measurements, the nature of primordial curvature perturbations on small scales remains unknown, compared with that on the largest scales measured by the cosmic microwave background. For computational simplicity, we take two concrete expressions of , which are frequently adopted in the literature (e.g., Refs. [33,43,44,45,46]), as follows
where is an amplitude, is a standard variance, and is a pivot wavenumber. We can relate the wavenumber with the frequency, i.e., and . During the process of parameter inferences, both and are independent parameters. However, we will not let be independent, even though different values of would alter our results. In fact, it is challenging to explore the full parameter space of based on the current dataset. Therefore, we let for simplicity in this work. We can test the robustness of our conclusions by comparing the results obtained when taking two different values of . In particular, we will compare the results from Equations (3) and (4). We leave this point to be demonstrated further in the following sections.
In Figure 1, we show the energy density fraction spectrum of SIGWs, which is normalized with . For comparison, we show the results when taking different versions of . Equation (3) can be viewed as a limit of Equation (4) when . In the regime of , the choice of displays the highest spectral amplitude than non-vanishing choices of . This implies that in such a case, we can obtain the best sensitivity on measurements of for a given GW experiment. Correspondingly, we can obtain the strictest constraints on the mass function of PBHs. We will demonstrate these points in the following sections.
Once the early-universe quantity is given in Equation (1), we have the energy density fraction spectrum of SIGWs in the present cosmos to be [43]
where is the present energy density fraction of radiations, and the subscript stands for cosmological quantities at the epoch of matter-radiation equality. Here, we have taken into account contributions from the effective relativistic degrees of the cosmos, i.e., and , as functions of f by interpolating their tabulated data in terms of cosmic temperature T in Ref. [47]2 as well as by considering a relation between T and f in Wang et al. [43], i.e.,
Throughout this paper, we use the measured value of cosmological parameters in the data release 2018 of Planck satellite [10]. The publicly available Astropy [48,49,50] software3 is adopted to evaluate all cosmological quantities. Please note that Equation (5) is one of the leading formulas that will be used during Bayesian analysis in the next section.
3. NANOGrav Constraints on Primordial Curvature Perturbations
When a pulsar timing array (PTA) experiment measures the stochastic gravitaitonal wave background, the timing residual cross-power spectral density is given by , which can be shown by combining Equations (1) and (2) in Arzoumanian et al. [51]. Here, stands for the overlap reduction function (ORF) that describes the correlation between two pulsars a and b as a function of line-of-sight separation angle between them. Following Equation (17) in Maggiore [52], is the characteristic strain defined as , where is the Hubble constant with being the reduced Hubble constant. Therefore, the timing residual cross-power spectral density becomes [51]
where is a pivot frequency corresponding to a duration time of 1 year, and the formula for is shown in Equation (5). For an isotropic background of GW, e.g., the SIGWs considered in this work, we take ORF to be the Hellings and Downs coefficients [53].
The timing residual data for a single pulsar is decomposed in its individual constituents, i.e., [54]
The term stands for the inaccuracies in the subtraction of timing model, where M denotes the timing model design matrix, and is a vector describing small offsets for the timing model parameters. The matrix M is computed through libstempo [55]4, which is a python interface for TEMPO2 [56,57]5 timing package. We use the latest Jet Propulsion Laboratory (JPL) solar system ephemeris (SSE) model, DE438 [58], in the timing model fits. The term accounts for all low-frequency signals, including the pulsar-intrinsic red noise. The Fourier design matrix F has alternating sine and cosine functions, and is a vector comprised of Fourier coefficients at the integer () multiples of the harmonic base frequency , where denotes the span between the minimum and maximum time of arrivals (TOAs) in the array [59]. Described by a per-epoch variance (ECORR) for each receiver and backend system [54], the term denotes the white noise which is fully correlated for simultaneous observations at different frequencies, but fully uncorrelated in time. The matrix U maps all TOAs observed simultaneously at different frequencies to a total TOA, and is the per-epoch white noise which is fully correlated across all observing frequencies. The term is the timing residual introduced by Gaussian white noise, which is described by the parameters of the TOA uncertainties (EFAC) and an additive variance (EQUAD) for each receiver and backend system [54].
To estimate the allowed parameter space, we perform Bayesian parameter inferences by analyzing a dataset of 45 pulsars in the 12.5-year data release of NANOGrav Collaboration [35]6. We list all independent parameters as well as their priors in Table 1. We adopt frequency bands to the power-law spectrum of pulsar-intrinsic red noise and the common-spectrum process. In practice, we will use the publicly available enterprise [60]7 to compute the likelihoods and PTMCMCSampler [61]8 to perform Markov-Chain Monte-Carlo sampling.
Table 1.
Priors used in all analyses performed in this paper.
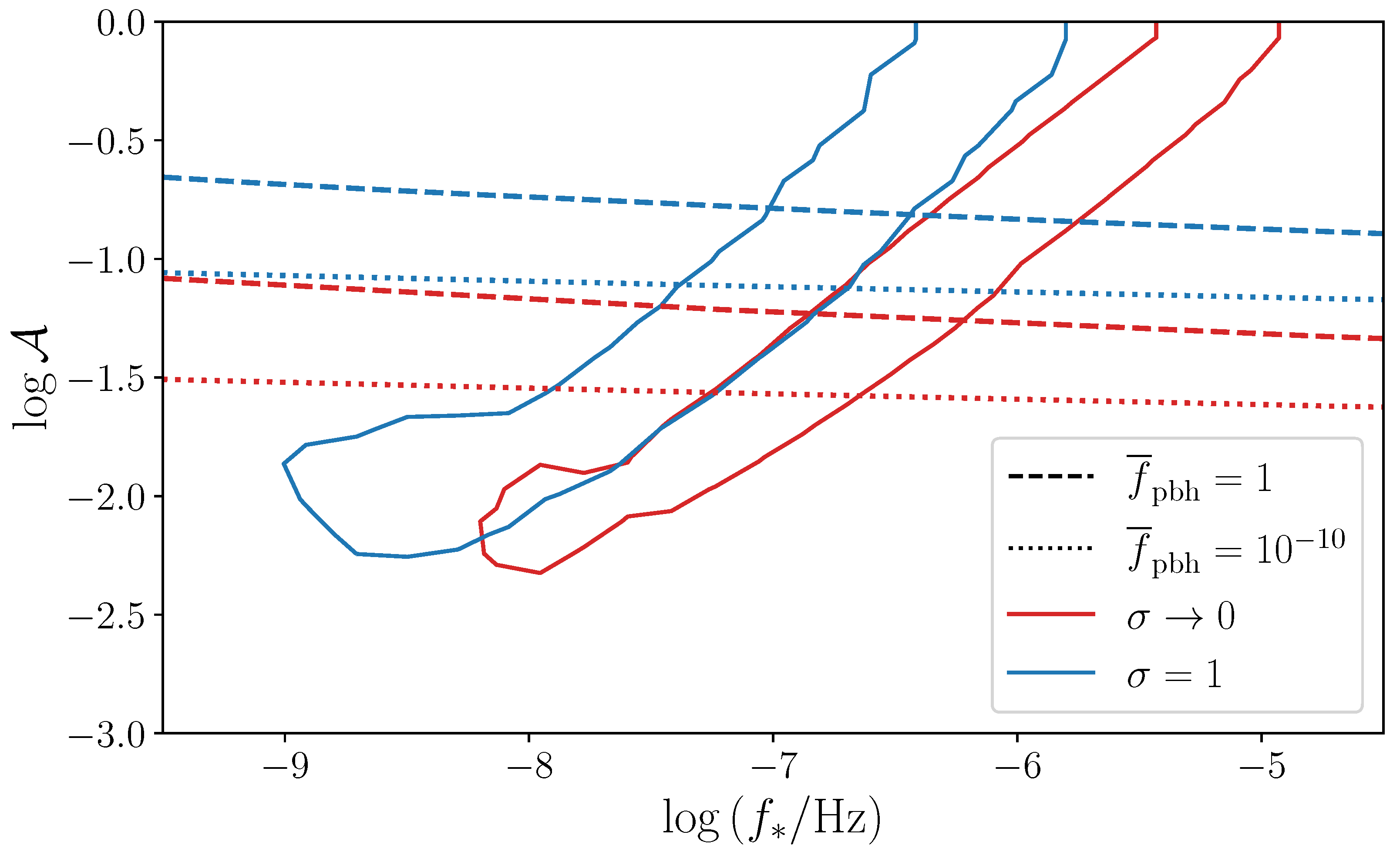
Our results are shown in Figure 2, which displays the 95% CL contour plots of and for the power spectra of primordial curvature perturbations with (red solid curve) and (blue solid curve), respectively. We find that has lower limits around for the two different choices of . In contrast, the NANOGrav dataset prefers different frequency bands. For a given value of , the frequency range in the case of is almost always larger than that in the case of by a few times. This result is consistent with the expectations of Figure 1. However, we find strong positive correlations between and in either choice of . Furthermore, in Figure 2, we also label the spectral amplitudes that produce the PBHs with total abundance (dashed curves) and (dotted curves) that will be interpreted in the next section.
Figure 2.
The 95% CL contour plot of and inferred from the NANOGrav 12.5yr dataset. Solid curves stand for and , while other curves denote and .
4. Implications for Primordial Black Holes
We define the mass function of PBHs as , in which and stand for the present energy density fractions of dark matter and PBHs with mass m, respectively. We adopt the concept of critical collapse [62,63] and Press-Schechter formalism [64]. Therefore, following Equation (9) in Wang et al. [43], we have
where is the present energy density fraction of non-relativistic matter. Here, we denote
where we have with numerical constants and , and the critical overdensity for gravitational collapse is . Here, we disregard corrections to from, e.g., QCD equation of state [65]. The quantity is a mass distribution function of PBHs, which were produced when the horizon mass was . The subscript stands for cosmological quantities at the epoch of matter-radiation equality. Cosmic temperature T is related to enclosed by the Hubble horizon, i.e., [43]
where denotes the solar mass. We can relate f with by combining Equation (6) with Equation (12) and by reducing T from both equations. The coarse-grained fluctuations in the radiation-dominated cosmos are given by [66,67]
where is a Gaussian window function and with is a scalar transfer function. We further define the total abundance of PBHs in dark matter to be , and define the average mass of PBHs to be . The latter roughly displays , where is corresponded to .
Once the constraints on the power spectrum of primordial curvature perturbations are obtained, as shown in Figure 2, we can recast them into constraints on the mass function of PBHs, or more precisely, on the average mass and total abundance of PBHs. We show the results in Figure 3. The shaded regions are allowed by the NANOGrav 12.5-year dataset for (red region) and (blue region). When at least one fraction (e.g., ) of dark matter is composed of PBHs, the mass range () for () is preferred by the current dataset. Based on Figure 3 in Wang et al. [43], we find that these mass ranges can be cross-checked with high-precision by observing the GWs emitted from inspiraling stage of PBH binaries. In addition, they might be further tested by measuring the anisotropies in stochastic gravitational-wave background (SGWB) [68]. For comparison, we also depict the existing upper limit (cyan curve) on the mass function of PBHs, as reviewed in Carr et al. [15]. We find the SIGW probe to be more powerful than electromagnetic probes, implying that a larger parameter space can be explored with the SIGW probe. This can also be understood by revisiting Figure 2, in which we depicted the curves labeling . The latter is corresponded to . In contrast, the NANOGrav experiment has reached in the most sensitive frequency band ∼ Hz.
Figure 3.
The NANOGrav constraints on the averaged mass and total abundance of PBHs. Shaded regions are allowed by the NANOGrav dataset for and . Cyan curve denotes the existing upper limit on the mass function of PBHs [15].
5. Constraints from Ongoing and Planned Gravitational-Wave Detectors
In the future, the power spectrum of primordial curvature perturbations and the mass function of PBHs, which remain unknown until now, can be further explored with ongoing and planned GW experiments, such as Square Kilometer Array (SKA) [69,70,71], Ares [72], Laser Interferometer Space Antenna (LISA) [73,74], Big Bang Observer (BBO) [75,76], Decihertz Interferometer Gravitational wave Observatory (DECIGO) [77,78], Einstein Telescope (ET) [79] and Advanced LIGO and Virgo [26,27,28]. Such multi-band observations could explore all possible parameter spaces of primordial curvature perturbations and PBHs. Other experiments are not considered in this work, but our method can be generalized straightforwardly to study them, if needed.
To estimate the sensitivity curve of a given GW experiment consisting of detectors, we define an optimal signal-to-noise ratio (SNR) denoted with as follows [80]
where is a duration time of observing run, the power spectral density (PSD) of SIGWs is defined as
and the effective noise PSD of the detector network is denoted as that is a function of f. The concrete setups of aforementioned experiments are summarized in Table 2 of Ref. [81] and references therein. We consider a single detector for LISA, two independent detectors for Ares, BBO and DECIGO, three detectors for ET, and 200 pulsars for SKA. For comparison, we consider one detector for Advanced LIGO with an observing duration of four years and 100% duty circle.
Given a desired value of SNR, which is unity in this work, we obtain the minimal detectable for the given experiment by resolving Equation (14). Since is uniquely determined by and , we depict the theoretical expectation of in the plane in Figure 4 and Figure 5 for the choices of and , respectively. For comparison, we plot the exclusion region on from the Advanced LIGO and Virgo first three observing runs (red shaded) [82].
Figure 4.
Sensitivities of ongoing and planned GW experiments on measurements of the power spectrum of primordial curvature perturbations with . The excluded region by Advanced LIGO–Virgo first three observing runs [82] is shown for comparison. We show the allowed region from NANOGrav 12.5-year dataset, as shown in Figure 2. We also depict critical curves corresponded to and .
Figure 5.
The same as Figure 4 but .
Based on Figure 4 and Figure 5, we find that the regions allowed by the current dataset of NANOGrav (enclosed by black curves) can be thoroughly tested with SKA and Ares. Smaller values of , i.e., ∼, are also expected to be reached by the planned GW experiments. The sensitivity of Advanced LIGO to measure the SIGWs is expected to be improved by one order of magnitude in upcoming observing runs. If other values of SNR are desired, we can obtain revised by rescaling the above results by multiplying a factor of . After recasting the expected constraints on into constraints on the mass function of PBHs, we further find that the full parameter space of PBHs, that account for at least a fraction of dark matter, e.g., , can be thoroughly explored with multi-band GW measurements, e.g., a detector network composed of SKA, Ares and ET, or other detector networks. Therefore, we expect that the scenario of PBHs as a candidate of dark matter can be supported or vetoed by future GW observations.
6. Conclusions and Discussion
In this work, we obtained new constraints on the power spectrum of primordial curvature perturbations and the mass function of PBHs by searching for the energy density fraction spectrum of SIGWs in the NANOGrav 12.5-year dataset. We found the lower limits on , namely, and showed the 95% CL contours of and (see Figure 2). Recasting these contours into the PBH mass-abundance plane, we showed the parameter space of PBHs allowed by the NANOGrav (see Figure 3). We found that at least a fraction of dark matter can be interpreted with the scenario of PBHs in the mass range ∼. We also studied dependence of the above results on the value of . Furthermore, this mass range is expected to be cross-checked with high-precision by observing the GWs from PBH mergers (see Figure 3 in Wang et al. [43]). We also found that the SIGW probe is much more powerful than other probes to search for the PBHs.
We further forecasted the sensitivity curves of ongoing and planned GW experiments on detection of PBHs and the primordial curvature perturbations by searching for SIGWs. We found that the primordial curvature perturbations with spectral amplitude larger than ∼ can be measured with planned GW detection programs. The sensitivity of Advanced LIGO-Virgo to detect the SIGWs was expected to be improved by one order of magnitude in the near future. This prediction may promote extensive investigations of cosmic inflation at late-time stages. Meanwhile, the scenario of PBHs within almost whole mass range can be thoroughly tested, since the critical spectral amplitude to form the PBHs is much larger than (see Figure 4 and Figure 5). In particular, we can search for the PBHs within mass range , which can compose all of the dark matter and otherwise are beyond capabilities of other probes. In addition, we emphasized the importance of multi-band GW detector networks for accomplishing the above theoretical expectations.
In this paper, we made several assumptions to simplify our computations. First, we disregarded possible contributions of primordial non-Gaussianity to the formation of PBHs [46,83,84,85,86] and to the production of SIGWs [45]. It is an interesting topic to study the primordial non-Gaussianity, deserving an independent work. Second, we took into account the median value of the effective relativistic degrees of freedom of the early Universe, but disregarded their uncertainties [47]. In fact, changing the above two assumptions could alter the mass function of PBHs and the energy density fraction spectrum of SIGWs. We would leave a possible study of this question to future works. Third, we disregarded contributions of nonlinear cosmological perturbations to the energy density fraction spectrum of SIGWs, since there is not a complete theory of SIGWs at the third order [87,88,89,90,91]. We might revisit this assumption in future, once the theory is complete.
Author Contributions
Conceptualization, S.W.; methodology, Z.-C.Z. and S.W.; software, Z.-C.Z.; validation, Z.-C.Z. and S.W.; formal analysis, Z.-C.Z. and S.W.; investigation, Z.-C.Z. and S.W.; resources, S.W.; data curation, Z.-C.Z.; writing—original draft preparation, S.W.; writing—review and editing, Z.-C.Z. and S.W.; visualization, Z.-C.Z. and S.W.; supervision, S.W.; project administration, S.W.; funding acquisition, Z.-C.Z. and S.W. All authors have read and agreed to the published version of the manuscript.
Funding
This research was funded by the National Natural Science Foundation of China grant number 12175243 and grant number 12005016, the Key Research Program of the Chinese Academy of Sciences grant number XDPB15, and the science research grants from the China Manned Space Project grant number CMS-CSST-2021-B01.
Data Availability Statement
Publicly available datasets were analyzed in this study. This data can be found here: https://data.nanograv.org (accessed on 21 March 2023).
Acknowledgments
We acknowledge Zu-Cheng Chen, Jun-Peng Li and Ke Wang for helpful discussions.
Conflicts of Interest
The authors declare no conflict of interest.
Notes
| 1 | http://data.nanograv.org, version v3, accessed on 21 March 2023. |
| 2 | https://member.ipmu.jp/satoshi.shirai/EOS2018.php, accessed on 1 January 2019. |
| 3 | https://www.astropy.org/, version 5.1, accessed on 21 March 2023. |
| 4 | https://vallis.github.io/libstempo/, version 2.4.5, accessed on 21 March 2023. |
| 5 | https://bitbucket.org/psrsoft/tempo2.git, version 2021.07.1, accessed on 21 March 2023. |
| 6 | https://github.com/nanograv/12p5yr_stochastic_analysis, accessed on 1 January 2022. |
| 7 | https://zenodo.org/record/4059815, version 3.2.3, accessed on 21 March 2023. |
| 8 | https://zenodo.org/record/1037579, version 2.0.0, accessed on 21 March 2023. |
References
- Hawking, S. Gravitationally collapsed objects of very low mass. Mon. Not. R. Astron. Soc. 1971, 152, 75. [Google Scholar] [CrossRef]
- Khlopov, M.Y. Primordial Black Holes. Res. Astron. Astrophys. 2010, 10, 495–528. [Google Scholar] [CrossRef]
- Belotsky, K.M.; Dmitriev, A.D.; Esipova, E.A.; Gani, V.A.; Grobov, A.V.; Khlopov, M.Y.; Kirillov, A.A.; Rubin, S.G.; Svadkovsky, I.V. Signatures of primordial black hole dark matter. Mod. Phys. Lett. A 2014, 29, 1440005. [Google Scholar] [CrossRef]
- Franciolini, G.; Musco, I.; Pani, P.; Urbano, A. From inflation to black hole mergers and back again: Gravitational-wave data-driven constraints on inflationary scenarios with a first-principle model of primordial black holes across the QCD epoch. arXiv 2022, arXiv:2209.05959. [Google Scholar] [CrossRef]
- Musco, I.; De Luca, V.; Franciolini, G.; Riotto, A. Threshold for primordial black holes. II. A simple analytic prescription. Phys. Rev. D 2021, 103, 063538. [Google Scholar] [CrossRef]
- Guth, A.H. The Inflationary Universe: A Possible Solution to the Horizon and Flatness Problems. Phys. Rev. 1981, D23, 347–356. [Google Scholar] [CrossRef]
- Linde, A.D. A New Inflationary Universe Scenario: A Possible Solution of the Horizon, Flatness, Homogeneity, Isotropy and Primordial Monopole Problems. Phys. Lett. 1982, 108B, 389–393. [Google Scholar] [CrossRef]
- Starobinsky, A.A. A New Type of Isotropic Cosmological Models Without Singularity. Phys. Lett. 1980, B91, 99–102. [Google Scholar] [CrossRef]
- Hinshaw, G.; Larson, D.; Komatsu, E.; Spergel, D.N.; Bennett, C.L.; Dunkley, J.; Nolta, M.R.; Halpern, M.; Hill, R.S.; Odegard, N. Nine-Year Wilkinson Microwave Anisotropy Probe (WMAP) Observations: Cosmological Parameter Results. Astrophys. J. Suppl. 2013, 208, 19. [Google Scholar] [CrossRef]
- Aghanim, N.; Larson, D.; Komatsu, E.; Sperge, D.N.; Bennett, C.L.; Dunkley, J.; Nolta, M.R.; Halpern, M.; Hill, R.S.; Odegard, N. Planck 2018 results. VI. Cosmological parameters. Astron. Astrophys. 2020, 641, A6, Erratum in Astron. Astrophys. 2021, 652, C4. [Google Scholar] [CrossRef]
- Alam, S.; Ata, M.; Bailey, S.; Beutler, F.; Bizyaev, D.; Blazek, J.A.; Bolton, A.S.; Brownstein, J.R.; Burden, A.; Chuang, C.-H. The clustering of galaxies in the completed SDSS-III Baryon Oscillation Spectroscopic Survey: Cosmological analysis of the DR12 galaxy sample. Mon. Not. R. Astron. Soc. 2017, 470, 2617–2652. [Google Scholar] [CrossRef]
- Abbott, T.M.C. et al. [DES Collaboration] Dark Energy Survey Year 3 results: Cosmological constraints from galaxy clustering and weak lensing. Phys. Rev. D 2022, 105, 023520. [Google Scholar] [CrossRef]
- Carr, B.J.; Hawking, S.W. Black holes in the early Universe. Mon. Not. R. Astron. Soc. 1974, 168, 399–415. [Google Scholar] [CrossRef]
- Chapline, G.F. Cosmological effects of primordial black holes. Nature 1975, 253, 251–252. [Google Scholar] [CrossRef]
- Carr, B.; Kohri, K.; Sendouda, Y.; Yokoyama, J. Constraints on primordial black holes. Rept. Prog. Phys. 2021, 84, 116902. [Google Scholar] [CrossRef] [PubMed]
- Escrivà, A.; Kuhnel, F.; Tada, Y. Primordial Black Holes. arXiv 2022, arXiv:2211.05767. [Google Scholar]
- Kohri, K.; Sekiguchi, T.; Wang, S. Cosmological 21-cm line observations to test scenarios of super-Eddington accretion on to black holes being seeds of high-redshifted supermassive black holes. Phys. Rev. D 2022, 106, 043539. [Google Scholar] [CrossRef]
- Sasaki, M.; Suyama, T.; Tanaka, T.; Yokoyama, S. Primordial Black Hole Scenario for the Gravitational-Wave Event GW150914. Phys. Rev. Lett. 2016, 117, 061101. [Google Scholar] [CrossRef]
- Raidal, M.; Vaskonen, V.; Veermäe, H. Gravitational Waves from Primordial Black Hole Mergers. JCAP 2017, 09, 037. [Google Scholar] [CrossRef]
- Ali-Haïmoud, Y.; Kovetz, E.D.; Kamionkowski, M. Merger rate of primordial black-hole binaries. Phys. Rev. D 2017, 96, 123523. [Google Scholar] [CrossRef]
- Chen, Z.C.; Huang, Q.G. Merger Rate Distribution of Primordial-Black-Hole Binaries. Astrophys. J. 2018, 864, 61. [Google Scholar] [CrossRef]
- Nishikawa, H.; Kovetz, E.D.; Kamionkowski, M.; Silk, J. Primordial-black-hole mergers in dark-matter spikes. Phys. Rev. 2019, D99, 043533. [Google Scholar] [CrossRef]
- Bird, S.; Cholis, I.; Munoz, J.B.; Ali-Haimoud, Y.; Kamionkowski, M.; Kovetz, E.D.; Raccanelli, A.; Riess, A.G. Did LIGO detect dark matter? Phys. Rev. Lett. 2016, 116, 201301. [Google Scholar] [CrossRef] [PubMed]
- Wang, S.; Zhao, Z.C. GW200105 and GW200115 are compatible with a scenario of primordial black hole binary coalescences. Eur. Phys. J. C 2022, 82, 9. [Google Scholar] [CrossRef]
- Belotsky, K.M.; Dokuchaev, V.I.; Eroshenko, Y.N.; Esipova, E.A.; Khlopov, M.Y.; Khromykh, L.A.; Kirillov, A.A.; Nikulin, V.V.; Rubin, S.G.; Svadkovsky, I.V. Clusters of primordial black holes. Eur. Phys. J. C 2019, 79, 246. [Google Scholar] [CrossRef]
- Harry, G.M. Advanced LIGO: The next generation of gravitational wave detectors. Class. Quant. Grav. 2010, 27, 084006. [Google Scholar] [CrossRef]
- Acernese, F.; Agathos, M.; Agatsuma, K.; Aisa, D.; Allemandou, N.; Allocca, A.; Amarni, J.; Astone, P.; Balestri, G.; Ballardin, G. Advanced Virgo: A second-generation interferometric gravitational wave detector. Class. Quant. Grav. 2015, 32, 024001. [Google Scholar] [CrossRef]
- Somiya, K. Detector configuration of KAGRA: The Japanese cryogenic gravitational-wave detector. Class. Quant. Grav. 2012, 29, 124007. [Google Scholar] [CrossRef]
- Mollerach, S.; Harari, D.; Matarrese, S. CMB polarization from secondary vector and tensor modes. Phys. Rev. 2004, D69, 063002. [Google Scholar] [CrossRef]
- Ananda, K.N.; Clarkson, C.; Wands, D. The Cosmological gravitational wave background from primordial density perturbations. Phys. Rev. 2007, D75, 123518. [Google Scholar] [CrossRef]
- Baumann, D.; Steinhardt, P.J.; Takahashi, K.; Ichiki, K. Gravitational Wave Spectrum Induced by Primordial Scalar Perturbations. Phys. Rev. 2007, D76, 084019. [Google Scholar] [CrossRef]
- Assadullahi, H.; Wands, D. Constraints on primordial density perturbations from induced gravitational waves. Phys. Rev. 2010, D81, 023527. [Google Scholar] [CrossRef]
- Kohri, K.; Terada, T. Semianalytic calculation of gravitational wave spectrum nonlinearly induced from primordial curvature perturbations. Phys. Rev. 2018, D97, 123532. [Google Scholar] [CrossRef]
- Espinosa, J.R.; Racco, D.; Riotto, A. A Cosmological Signature of the SM Higgs Instability: Gravitational Waves. JCAP 2018, 09, 012. [Google Scholar] [CrossRef]
- Arzoumanian, Z.; Baker, P.T.; Blumer, H.; Bécsy, B.; Brazier, A.; Brook, P.R.; Burke-Spolaor, S.; Chatterjee, S.; Chen, S.; Cordes, J.M. The NANOGrav 12.5 yr Data Set: Search for an Isotropic Stochastic Gravitational-wave Background. Astrophys. J. Lett. 2020, 905, L34. [Google Scholar] [CrossRef]
- De Luca, V.; Franciolini, G.; Riotto, A. NANOGrav Data Hints at Primordial Black Holes as Dark Matter. Phys. Rev. Lett. 2021, 126, 041303. [Google Scholar] [CrossRef]
- Vaskonen, V.; Veermäe, H. Did NANOGrav see a signal from primordial black hole formation? Phys. Rev. Lett. 2021, 126, 051303. [Google Scholar] [CrossRef]
- Kohri, K.; Terada, T. Solar-Mass Primordial Black Holes Explain NANOGrav Hint of Gravitational Waves. Phys. Lett. B 2021, 813, 136040. [Google Scholar] [CrossRef]
- Domènech, G.; Pi, S. NANOGrav hints on planet-mass primordial black holes. Sci. China Phys. Mech. Astron. 2022, 65, 230411. [Google Scholar] [CrossRef]
- Atal, V.; Sanglas, A.; Triantafyllou, N. NANOGrav signal as mergers of Stupendously Large Primordial Black Holes. JCAP 2021, 06, 022. [Google Scholar] [CrossRef]
- Yi, Z.; Fei, Q. Constraints on primordial curvature spectrum from primordial black holes and scalar-induced gravitational waves. arXiv 2022, arXiv:2210.03641. [Google Scholar] [CrossRef]
- Maggiore, M. Gravitational Waves. Volume 1: Theory and Experiments; Oxford Master Series in Physics; Oxford University Press: Oxford, UK, 2007. [Google Scholar]
- Wang, S.; Terada, T.; Kohri, K. Prospective constraints on the primordial black hole abundance from the stochastic gravitational-wave backgrounds produced by coalescing events and curvature perturbations. Phys. Rev. D 2019, 99, 103531. [Google Scholar] [CrossRef]
- Bugaev, E.; Klimai, P. Induced gravitational wave background and primordial black holes. Phys. Rev. D 2010, 81, 023517. [Google Scholar] [CrossRef]
- Adshead, P.; Lozanov, K.D.; Weiner, Z.J. Non–Gaussianity and the induced gravitational wave background. JCAP 2021, 10, 080. [Google Scholar] [CrossRef]
- Ferrante, G.; Franciolini, G.; Iovino, A.J. Primordial non-gaussianity up to all orders: Theoretical aspects and implications for primordial black hole models. arXiv 2022, arXiv:2211.01728. [Google Scholar] [CrossRef]
- Saikawa, K.; Shirai, S. Primordial gravitational waves, precisely: The role of thermodynamics in the Standard Model. JCAP 2018, 1805, 035. [Google Scholar] [CrossRef]
- Robitaille, T.P. et al. [The Astropy Collaboration] Astropy: A Community Python Package for Astronomy. Astron. Astrophys. 2013, 558, A33. [Google Scholar] [CrossRef]
- Price-Whelan, A.M. et al. [The Astropy Collaboration] The Astropy Project: Building an Open-science Project and Status of the v2.0 Core Package. Astron. J. 2018, 156, 123. [Google Scholar] [CrossRef]
- Price-Whelan, A.M. et al. [The Astropy Collaboration] The Astropy Project: Sustaining and Growing a Community-oriented Open-source Project and the Latest Major Release (v5.0) of the Core Package*. Astrophys. J. 2022, 935, 167. [Google Scholar] [CrossRef]
- Arzoumanian, Z.; Baker, P.T.; Brazier, A.; Burke-Spolaor, S.; Chamberlin, S.J.; Chatterjee, S.; Christy, B.; Cordes, J.M.; Cornish, N.J.; Crawford, F.; et al. The NANOGrav 11-year Data Set: Pulsar-timing Constraints on the Stochastic Gravitational-wave Background. Astrophys. J. 2018, 859, 47. [Google Scholar] [CrossRef]
- Maggiore, M. Gravitational wave experiments and early universe cosmology. Phys. Rept. 2000, 331, 283–367. [Google Scholar] [CrossRef]
- Hellings, R.W.; Downs, G.S. Upper limits on the isotropic gravitational radiation background from pulsar timing analysis. Astrophys. J. Lett. 1983, 265, L39–L42. [Google Scholar] [CrossRef]
- Arzoumanian, Z.; Brazier, A.; Burke-Spolaor, S.; Chamberlin, S.; Chatterjee, S.; Christy, B.; Cordes, J.; Cornish, N.; Demorest, P.; Deng, X.; et al. The NANOGrav Nine-year Data Set: Limits on the Isotropic Stochastic Gravitational Wave Background. Astrophys. J. 2016, 821, 13. [Google Scholar] [CrossRef]
- Michele, V. Libstempo: Python Wrapper for Tempo2. Astrophysics Source Code Library, Record ascl:2002.017. 2020. Available online: https://bitbucket.org/psrsoft/tempo2.git (accessed on 21 March 2023).
- Hobbs, G.; Edwards, R.T.; Manchester, R.N. Tempo2, a new pulsar timing package. 1. overview. Mon. Not. R. Astron. Soc. 2006, 369, 655–672. [Google Scholar] [CrossRef]
- Edwards, R.T.; Hobbs, G.B.; Manchester, R.N. Tempo2, a new pulsar timing package. 2. The timing model and precision estimates. Mon. Not. R. Astron. Soc. 2006, 372, 1549–1574. [Google Scholar] [CrossRef]
- Folkner, W.M.; Park, R.S. Planetary Ephemeris DE438 for Juno; Technical Report IOM 392R-18-004; CAJet Propulsion Laboratory: Pasadena, CA, USA, 2018. [Google Scholar]
- van Haasteren, R.; Vallisneri, M. New advances in the Gaussian-process approach to pulsar-timing data analysis. Phys. Rev. D 2014, 90, 104012. [Google Scholar] [CrossRef]
- Ellis, J.A.; Vallisneri, M.; Taylor, S.R.; Baker, P.T. ENTERPRISE: Enhanced Numerical Toolbox Enabling a Robust PulsaR Inference SuitE; Zenodo: Genève, Switzerland, 2020. [Google Scholar] [CrossRef]
- Ellis, J.; van Haasteren, R. jellis18/PTMCMCSampler: Official Release; Zenodo: Genève, Switzerland, 2017. [Google Scholar] [CrossRef]
- Carr, B.; Kuhnel, F.; Sandstad, M. Primordial Black Holes as Dark Matter. Phys. Rev. 2016, D94, 083504. [Google Scholar] [CrossRef]
- Yokoyama, J. Cosmological constraints on primordial black holes produced in the near critical gravitational collapse. Phys. Rev. 1998, D58, 107502. [Google Scholar] [CrossRef]
- Press, W.H.; Schechter, P. Formation of galaxies and clusters of galaxies by selfsimilar gravitational condensation. Astrophys. J. 1974, 187, 425–438. [Google Scholar] [CrossRef]
- Byrnes, C.T.; Hindmarsh, M.; Young, S.; Hawkins, M.R.S. Primordial black holes with an accurate QCD equation of state. JCAP 2018, 08, 041. [Google Scholar] [CrossRef]
- Young, S.; Byrnes, C.T.; Sasaki, M. Calculating the mass fraction of primordial black holes. JCAP 2014, 1407, 045. [Google Scholar] [CrossRef]
- Ando, K.; Inomata, K.; Kawasaki, M. Primordial black holes and uncertainties in the choice of the window function. Phys. Rev. 2018, D97, 103528. [Google Scholar] [CrossRef]
- Wang, S.; Vardanyan, V.; Kohri, K. Probing primordial black holes with anisotropies in stochastic gravitational-wave background. arXiv 2021, arXiv:2107.01935. [Google Scholar] [CrossRef]
- Dewdney, P.E.; Hall, P.J.; Schilizzi, R.T.; Lazio, T.J.L. The square kilometre array. Proc. IEEE 2009, 97, 1482–1496. [Google Scholar] [CrossRef]
- Weltman, A.; Bull, P.; Camera, S.; Kelley, K.; Padmanabhan, H.; Pritchard, J.; Raccanelli, A.; Riemer-Sørensen, S.; Shao, L.; Andrianomena, S.; et al. Fundamental physics with the Square Kilometre Array. Publ. Astron. Soc. Austral. 2020, 37, e002. [Google Scholar] [CrossRef]
- Moore, C.J.; Cole, R.H.; Berry, C.P.L. Gravitational-wave sensitivity curves. Class. Quant. Grav. 2015, 32, 015014. [Google Scholar] [CrossRef]
- Sesana, A.; Korsakova, N.; Sedda, M.A.; Baibhav, V.; Barausse, E.; Barke, S.; Berti, E.; Bonetti, M.; Capelo, P.R.; Caprini, C.; et al. Unveiling the gravitational universe at μ-Hz frequencies. Exper. Astron. 2021, 51, 1333–1383. [Google Scholar] [CrossRef]
- Amaro-Seoane, P.; Audley, H.; Babak, S.; Baker, J.; Barausse, E.; Bender, P.; Berti, E.; Binetruy, P.; Born, M.; Bortoluzzi, D.; et al. Laser Interferometer Space Antenna. arXiv 2017, arXiv:1702.00786. [Google Scholar]
- Robson, T.; Cornish, N.J.; Liu, C. The construction and use of LISA sensitivity curves. Class. Quant. Grav. 2019, 36, 105011. [Google Scholar] [CrossRef]
- Crowder, J.; Cornish, N.J. Beyond LISA: Exploring future gravitational wave missions. Phys. Rev. D 2005, 72, 083005. [Google Scholar] [CrossRef]
- Harry, G.M.; Fritschel, P.; Shaddock, D.A.; Folkner, W.; Phinney, E.S. Laser interferometry for the big bang observer. Class. Quant. Grav. 2006, 23, 4887–4894. [Google Scholar] [CrossRef]
- Sato, S.; Seiji, K.; Masaki, A.; Takashi, N.; Kimio, T.; Akito, A.; Ikkoh, F.; Kunihito, I.; Nobuyuki, K.; Shigenori, M.; et al. The status of DECIGO. J. Phys. Conf. Ser. 2017, 840, 012010. [Google Scholar] [CrossRef]
- Kawamura, S.; Ando, M.; Seto, N.; Sato, S.; Musha, M.; Kawano, I.; Yokoyama, J.; Tanaka, T.; Ioka, K.; Akutsu, T.; et al. Current status of space gravitational wave antenna DECIGO and B-DECIGO. PTEP 2021, 2021, 05A105. [Google Scholar] [CrossRef]
- Punturo, M.; Abernathy, M.; Acernese, F.; Allen, B.; Andersson, N.; Arun, K.; Barone, F.; Barr, B.; Barsuglia, M.; Beker, M. The Einstein Telescope: A third-generation gravitational wave observatory. Class. Quant. Grav. 2010, 27, 194002. [Google Scholar] [CrossRef]
- Schmitz, K. New Sensitivity Curves for Gravitational-Wave Signals from Cosmological Phase Transitions. JHEP 2021, 01, 097. [Google Scholar] [CrossRef]
- Campeti, P.; Komatsu, E.; Poletti, D.; Baccigalupi, C. Measuring the spectrum of primordial gravitational waves with CMB, PTA and Laser Interferometers. JCAP 2021, 01, 012. [Google Scholar] [CrossRef]
- Romero-Rodriguez, A.; Martinez, M.; Pujolàs, O.; Sakellariadou, M.; Vaskonen, V. Search for a Scalar Induced Stochastic Gravitational Wave Background in the Third LIGO-Virgo Observing Run. Phys. Rev. Lett. 2022, 128, 051301. [Google Scholar] [CrossRef]
- Franciolini, G.; Kehagias, A.; Matarrese, S.; Riotto, A. Primordial Black Holes from Inflation and non-Gaussianity. JCAP 2018, 03, 016. [Google Scholar] [CrossRef]
- Gow, A.D.; Assadullahi, H.; Jackson, J.H.P.; Koyama, K.; Vennin, V.; Wands, D. Non-perturbative non-Gaussianity and primordial black holes. arXiv 2022, arXiv:2211.08348. [Google Scholar]
- Cai, Y.F.; Ma, X.H.; Sasaki, M.; Wang, D.G.; Zhou, Z. Highly non-Gaussian tails and primordial black holes from single-field inflation. arXiv 2022, arXiv:2207.11910. [Google Scholar] [CrossRef]
- Kitajima, N.; Tada, Y.; Yokoyama, S.; Yoo, C.M. Primordial black holes in peak theory with a non-Gaussian tail. JCAP 2021, 10, 053. [Google Scholar] [CrossRef]
- Yuan, C.; Chen, Z.C.; Huang, Q.G. Probing primordial–black-hole dark matter with scalar induced gravitational waves. Phys. Rev. D 2019, 100, 081301. [Google Scholar] [CrossRef]
- Zhou, J.Z.; Zhang, X.; Zhu, Q.H.; Chang, Z. The third order scalar induced gravitational waves. JCAP 2022, 05, 013. [Google Scholar] [CrossRef]
- Chang, Z.; Zhang, X.; Zhou, J.Z. Primordial black holes and third order scalar induced gravitational waves. arXiv 2022, arXiv:2209.12404. [Google Scholar] [CrossRef]
- Chen, C.; Ota, A.; Zhu, H.Y.; Zhu, Y. Missing one-loop contributions in secondary gravitational waves. arXiv 2022, arXiv:2210.17176. [Google Scholar]
- Meng, D.S.; Yuan, C.; Huang, Q.G. One-loop correction to the enhanced curvature perturbation with local-type non-Gaussianity for the formation of primordial black holes. Phys. Rev. D 2022, 106, 063508. [Google Scholar] [CrossRef]
Disclaimer/Publisher’s Note: The statements, opinions and data contained in all publications are solely those of the individual author(s) and contributor(s) and not of MDPI and/or the editor(s). MDPI and/or the editor(s) disclaim responsibility for any injury to people or property resulting from any ideas, methods, instructions or products referred to in the content. |
© 2023 by the authors. Licensee MDPI, Basel, Switzerland. This article is an open access article distributed under the terms and conditions of the Creative Commons Attribution (CC BY) license (https://creativecommons.org/licenses/by/4.0/).




