Connections between the Shadow Radius and the Quasinormal Modes of Kerr-Sen Black Hole
Abstract
1. Introduction
2. Basic Equations
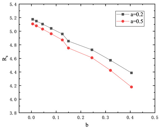
3. Shadow Radius of the Kerr–Sen Black Hole
4. QNMs of the Kerr–Sen Black Hole
4.1. Perturbation of the Scalar Field
4.2. Connections between the QNMs and Shadow Radius
5. Conclusions
Author Contributions
Funding
Data Availability Statement
Conflicts of Interest
References
- Akiyama, K. et al. [Event Horizon Telescope Collaboration] First M87 event horizon telescope results. I. The shadow of the supermassive black hole. Astrophys. J. Lett. 2019, 875, L1. [Google Scholar]
- Akiyama, K. et al. [Event Horizon Telescope Collaboration] First M87 event horizon telescope results. II. Array and instrumentation. Astrophys. J. Lett. 2019, 875, L2. [Google Scholar]
- Akiyama, K. et al. [Event Horizon Telescope Collaboration] First M87 event horizon telescope results. III. Data processing and calibration. Astrophys. J. Lett. 2019, 875, L3. [Google Scholar]
- Akiyama, K. et al. [Event Horizon Telescope Collaboration] First M87 event horizon telescope results. IV. Imaging the central supermassive black hole. Astrophys. J. Lett. 2019, 875, L4. [Google Scholar]
- Akiyama, K. et al. [Event Horizon Telescope Collaboration] First M87 event horizon telescope results. V. Physical origin of the asymmetric ring. Astrophys. J. Lett. 2019, 875, L5. [Google Scholar]
- Akiyama, K. et al. [Event Horizon Telescope Collaboration] First M87 Event Horizon Telescope Results. VI. The Shadow and Mass of the Central Black Hole. Astrophys. J. 2019, 875, L6. [Google Scholar]
- Akiyama, K. et al. [Event Horizon Telescope] First Sagittarius A* Event Horizon Telescope Results. I. The Shadow of the Supermassive Black Hole in the Center of the Milky Way. Astrophys. J. 2022, 930, L12. [Google Scholar]
- Abbott, B.P. et al. [LIGO Scientific Collaboration and Virgo Collaboration] Observation of Gravitational Waves from a Binary Black Hole Merger. Phys. Rev. Lett. 2016, 116, 061102. [Google Scholar]
- Schutz, B.F.; Will, C.M. Black hole normal modes—A semianalytic approach. Astrophys. J. Lett. 1985, 291, L33–L36. [Google Scholar] [CrossRef]
- Iyer, S.; Will, C.M. Black-hole normal modes: A WKB approach. I. Foundations and application of a higher-order WKB analysis of potential-barrier scattering. Phys. Rev. D 1987, 35, 3621–3631. [Google Scholar] [CrossRef]
- Iyer, S. Black-hole normal modes: A WKB approach. II. Schwarzschild black holes. Phys. Rev. D 1987, 35, 3632. [Google Scholar] [CrossRef]
- Cardoso, V.; Miranda, A.S.; Berti, E.; Witek, H.; Zanchin, V.T. Geodesic stability, Lyapunov exponents, and quasinormal modes. Phys. Rev. D 2009, 79, 064016. [Google Scholar] [CrossRef]
- Konoplya, R.A.; Stuchlik, Z. Are eikonal quasinormal modes linked to the unstable circular null geodesics? Phys. Lett. B 2017, 771, 597–602. [Google Scholar] [CrossRef]
- Yang, H. Relating black hole shadow to quasinormal modes for rotating black holes. Phys. Rev. D 2021, 103, 084010. [Google Scholar] [CrossRef]
- Jusufi, K. Connection between the shadow radius and quasinormal modes in rotating spacetimes. Phys. Rev. D 2020, 101, 124063. [Google Scholar] [CrossRef]
- Jusufi, K. Quasinormal modes of black holes surrounded by dark matter and their connection with the shadow radius. Phys. Rev. D 2020, 101, 084055. [Google Scholar] [CrossRef]
- Li, P.-C.; Lee, T.-C.; Guo, M.; Chen, B. Correspondence of eikonal quasinormal modes and unstable fundamental photon orbits for a Kerr-Newman black hole. Phys. Rev. D 2021, 104, 084044. [Google Scholar] [CrossRef]
- Sen, A. Rotating charged black hole solution in heterotic string theory. Phys. Rev. Lett. 1992, 69, 1006–1009. [Google Scholar] [CrossRef]
- Larranaga, A. Entropy of the Kerr-Sen Black Hole. Pramana J. Phys. 2011, 76, 4. [Google Scholar] [CrossRef][Green Version]
- Gwak, B. Weak cosmic censorship in Kerr-Sen black hole under charged scalar field. J. Cosmol. Astropart. Phys. 2020, 2020, 058. [Google Scholar] [CrossRef]
- Gwak, B. Cosmic censorship conjecture in Kerr-Sen black hole. Phys. Rev. D 2017, 95, 124050. [Google Scholar] [CrossRef]
- Huang, Y.; Liu, D.-J.; Zhai, X.-H.; Li, X.-Z. Scalar clouds around Kerr-CSen black holes. Class. Quantum Gravity 2017, 34, 155002. [Google Scholar] [CrossRef]
- Bernard, C. Stationary charged scalar clouds around black holes in string theory. Phys. Rev. D 2016, 94, 085007. [Google Scholar] [CrossRef]
- Belhaj, A.; Benali, M.; Balali, A.E.; Hadri, W.E.; Moumni, H.E. Shadows of Charged and Rotating Black Holes with a Cosmological Constant. arXiv 2020, arXiv:2007.09058[gr-qc]. [Google Scholar] [CrossRef]
- Xavier, S.V.; Cunha, P.V.; Crispino, L.C.; Herdeiro, C.A. Shadows of charged rotating black holes: Kerr-Newman versus Kerr-Sen. Int. J. Mod. Phys. D 2020, 29, 2041005. [Google Scholar] [CrossRef]
- Dastan, S.; Aaffari, R.; Soroushfar, S. Shadow of a Kerr-Sen dilaton-axion Black Hole. arXiv 2016, arXiv:1610.09477[gr-qc]. [Google Scholar]
- Younsi, Z.; Zhidenko, A.; Rezzolla, L.; Konoplya, R.; Mizuno, Y. New method for shadow calculations: Application to parametrized axisymmetric black holes. Phys. Rev. D 2016, 94, 084025. [Google Scholar] [CrossRef]
- Pradhan, P. Thermodynamic products for Sen black hole. Eur. Phys. J. C 2016, 76, 131. [Google Scholar] [CrossRef][Green Version]
- Liu, Y.; Zhang, X. Maximal efficiency of the collisional Penrose process with spinning particles in Kerr-Sen black hole. Eur. Phys. J. C 2020, 80, 31. [Google Scholar] [CrossRef]
- A Blaga, P.; Blaga, C. Bounded radial geodesics around a Kerr-Sen black hole. Class. Quantum Gravity 2001, 18, 3893–3905. [Google Scholar] [CrossRef]
- Narang, A.; Mohanty, S.; Kumar, A. Test of Kerr-Sen metric with black hole observations. arXiv 2020, arXiv:2002.12786[gr-qc]. [Google Scholar]
- Uniyal, R.; Nandan, H.; Purohi, K.D. Null geodesics and observables around the Kerr-Sen black hole. Class. Quantum Gravity 2017, 35, 025003. [Google Scholar] [CrossRef]
- Carter, B. Global Structure of the Kerr Family of Gravitational Fields. Phys. Rev. (Ser. I) 1968, 174, 1559–1571. [Google Scholar] [CrossRef]
- Bardeen, J.M.; Press, W.H.; Teukolsky, S.A. Rotating Black Holes: Locally Nonrotating Frames, Energy Extraction, and Scalar Synchrotron Radiation. Astrophys. J. 1972, 178, 347. [Google Scholar] [CrossRef]
- Feng, X.-H.; Lu, H. On the size of rotating black holes. Eur. Phys. J. C 2020, 80, 551. [Google Scholar] [CrossRef]
- Zhang, M.; Guo, M. Can shadows reflect phase structures of black holes? Eur. Phys. J. C 2020, 80, 790. [Google Scholar] [CrossRef]
- Teukolsky, S.A. Rotating Black Holes: Separable Wave Equations for Gravitational and Electromagnetic Perturbations. Phys. Rev. Lett. 1972, 29, 1114–1118. [Google Scholar] [CrossRef]
- Wu, S.Q.; Cai, X. Massive Complex Scalar Field in a Kerr-Sen Black Hole Background: Exact Solution of Wave Equation and Hawking Radiation. J. Math. Phys. 2003, 44, 1084–1088. [Google Scholar] [CrossRef]
- Kokkotas, K.D.; Konoplya, R.A.; Zhidenko, A. Bifurcation of the quasinormal spectrum and zero damped modes for rotating dilatonic black holes. Phys. Rev. D 2015, 92, 064022. [Google Scholar] [CrossRef]
- Yang, H.; Nichols, D.A.; Zhang, F.; Zimmerman, A.; Zhang, Z.; Chen, Y. Quasinormal-mode spectrum of Kerr black holes and its geometric interpretation. Phys. Rev. D 2012, 86, 104006. [Google Scholar] [CrossRef]
- Leaver, E.W. An analytic representation for the quasi-normal modes of Kerr black holes. Proc. R. Soc. Lond. Ser. A Math. Phys. Sci. 1985, 402, 285–298. [Google Scholar]
- Ferrari, V.; Mashhoon, B. New approach to the quasinormal modes of a black hole. Phys. Rev. D 1984, 30, 295–304. [Google Scholar] [CrossRef]

| b | |||
|---|---|---|---|
| 0.005 | 16.81283709 | −22.97778200 | 5.17568286 |
| 0.02 | 16.88189993 | −23.12877614 | 5.14917896 |
| 0.045 | 16.99831595 | −23.38742770 | 5.10476553 |
| 0.08 | 17.16644714 | −23.76637234 | 5.04155388 |
| 0.125 | 17.39119052 | −24.28492470 | 4.95857888 |
| 0.18 | 17.68007277 | −24.97320521 | 4.85433954 |
| 0.245 | 17.04378505 | −25.87821277 | 4.72668035 |
| 0.32 | 18.49758147 | −27.07611124 | 4.57245092 |
| 0.405 | 19.06366779 | −28.69898429 | 4.38683720 |
Publisher’s Note: MDPI stays neutral with regard to jurisdictional claims in published maps and institutional affiliations. |
© 2022 by the authors. Licensee MDPI, Basel, Switzerland. This article is an open access article distributed under the terms and conditions of the Creative Commons Attribution (CC BY) license (https://creativecommons.org/licenses/by/4.0/).
Share and Cite
Wu, X.; Zhang, X. Connections between the Shadow Radius and the Quasinormal Modes of Kerr-Sen Black Hole. Universe 2022, 8, 604. https://doi.org/10.3390/universe8110604
Wu X, Zhang X. Connections between the Shadow Radius and the Quasinormal Modes of Kerr-Sen Black Hole. Universe. 2022; 8(11):604. https://doi.org/10.3390/universe8110604
Chicago/Turabian StyleWu, Xianglong, and Xiangdong Zhang. 2022. "Connections between the Shadow Radius and the Quasinormal Modes of Kerr-Sen Black Hole" Universe 8, no. 11: 604. https://doi.org/10.3390/universe8110604
APA StyleWu, X., & Zhang, X. (2022). Connections between the Shadow Radius and the Quasinormal Modes of Kerr-Sen Black Hole. Universe, 8(11), 604. https://doi.org/10.3390/universe8110604

