Abstract
It is always more evident that the kinematics of galaxies provide us with unique information on the Nature of the dark particles and on the properties of the galaxy Dark Matter (DM) halos. However, in investigating this topic, we have to be very careful about certain issues related to the assumptions that we take or to the practices that we follow. Here, we critically discuss such issues, that, today, result of fundamental importance, in that we have realized that the Nature of the DM will be not provided by “The Theory” but, has to be inferred by reverse engineering the observational scenario.
1. Introduction
In the late 1970s, the kinematics of galaxies started to make very evident the presence in them of a non-luminous mass component ([1]). In the following decades, these observations have increased in number, quality and importance and have set the scene for the Phenomenon of Dark Matter (DMP) at galactic scales ([2]). However, it is well known that, today, observations do not comply (a review in: [3]) with the properties of the DM halo density profiles predicted by preferred theoretical cosmological scenarios, headed by the WIMPs, but including also Ultra Light Axions, Sterile Neutrinos, Self Interacting DM (e.g., [4,5]). In this fundamental cosmological field we are now witnessing a change of paradigm: the strategy of solving the DMP mystery does not imply anymore to adopt a theoretical scenario for the dark particle and then to verify its predictions vs. observations score [6,7] but, instead, to exploit the observed properties of the DM in galaxies as a portal to the underlying theoretical scenario. Therefore, the galaxy kinematics takes a role much more relevant than that of a simple validation of some assumed physics. Consequently, we must make sure that the processes of study, analysis and interpretation of relevant data be extremely accurate and scenario-independent.
Contrary to these requirements, several beliefs, assumptions and practices, well present in literature over the past 30 years, result incorrect/unjustified and jeopardize the investigation of the DMP. While the properties of the dark and luminous matter components in Galaxies have been determined in a number of works (see: [3]), in the present one we aim to critically discuss such beliefs, assumptions and practices. Our goal is to clarify the situation for the benefit of the scientific community. These issues are not “niche topics”, but they concern fundamental aspects of the investigation of the DMP in galaxies. Moreover, we expect that this work will be of widespread interest in that a very large number of published works are involved1, at different levels, with the issues that we will discuss in next sections. However, none of them will be cited in this work2, in that our aim is just to point out, in the issues 1–6, certain critical situations in which the taken approach prevents the body of evidence obtained about the galaxy Dark Matter from speaking out about its Nature.
Let us also stress that this work concerns few specific aspects of the mass modeling of galaxies. A complete discussion of the pipeline required for the full investigation of the DMP in galaxies is beyond the scope of this work.
Let us summarize that the Phenomenon of Dark Matter at galactic scales includes the detection, in all objects, of large anomalous motions (see, e.g., [3]): stars and gas inside them do not move as subjected to their own gravity, but as they were attracted also by another invisible component. Here, we will consider mainly disk systems i.e., spirals, dwarf irregulars and Low Surface Brightness galaxies. For all these objects the RC is an accurate tracer of the total gravitational field and the surface photometry yields important information on the luminous disk component. For the disk systems, the equilibrium between the gravity force and the motions that oppose to it has a simple realization: the stars (and the HI gaseous disk) rotate around the galaxy center, so that:
where the (measured) circular velocity and the galaxy total gravitational potential: and are related by the Poisson Equation. A disk of stars is their main luminous component, whose surface mass density , proportional to the surface luminosity measured by the photometry, takes the form of ([8]):
is the mass of the stellar disk and its scale length, measured from the photometry. With this distribution, one can take as the characteristic length-scale of the luminous component of these systems and the quantity as the meaningful “normalized” radius that marks a specific position in the luminous galaxy, independently of the galaxy luminosity and surface brightness. Moreover, it is useful to define the radius enclosing of the stellar disk mass, as the size of the stellar disk3.
Being the luminous matter contribution to the circular velocity and by defining , we arrive to the universal function ( are the Bessel functions):
that specifies the contribution of the luminous matter to the circular velocity .
In this work, we will deal in depth with a number of specific critical aspects of the investigation of the DMP. Remarkably, the outcome emerges to be of great importance also for scenarios different from those defined by the existence of a dark particle. Furthermore, our results are able to correctly frame the kinematical observations at high redshift resulting in tension with the DM scenarios. (e.g., [9,10,11,12,13]).
2. Issues with the Kinematics of Disk System
An important and unexpected aspect of the rotation curve/circular velocity4 of disk systems is that their “effective” radial coordinate is not the physical radius R, but the normalized radius: (e.g., see Figure 4 in [14] and Figure 1 in [2]). This fact would be understandable if it was referred to the luminous component of the circular velocity of a galaxy, but, since it occurs also for the sum in quadrature of the dark and luminous components, becomes an open question of the galaxy mass distribution. One finds that an Universal relationship ) well represents the great majority of the RCs. The two-normalized circular velocities are well reproduced by a Universal Relation which extends from the galaxy center to the halo virial radius (defined in Equation (9)), i.e., from to (see Figure 1). In this work, we use the URC to represent the phenomenology of the kinematics of disk systems. No result of this work changes if, instead, we use an adequate ensemble of individual RCs. The building of such Universal Rotation Curve, its importance and extension to galaxies of different surface brightness and Hubble types are presented and discussed in: [2,14,15,16,17,18,19,20,21].
Figure 1.
The Universal rotation curve of Spirals from to (see, e.g., [17]). R is in kpc, V in km/s, M in solar masses. The ribbons indicate (bottom-up) the RCs corresponding to . A simple visual impression rules out the claim of “Flat Rotation Curves”.
I stress, then, that the existence of the URC implies that, in disk systems, the radial behavior of the structural properties of the dark and luminous matter components is framed by the quantity , rather than the galactocentric radius R. The rotation curve of a disk system, with its dark and luminous components is given by:
I also introduce two important kinematical quantities: , derived from and , known for the Freeman stellar disk with constant stellar mass-to-light ratio5.
[1] Flat Rotation Curves? The RCs of disk systems cannot be considered as flat6, this condition, i.e., , occurs rarely (see Figure 1) and when it does, this has very little to do with the DM7. The RCs are generally described by locally rising or declining functions of radius (see Figure 1, [2,14,15,16,17,18,19,20,21]). In detail: in disk systems, from the center of the galaxy out to their virial radius, the RC slopes take all the possible values: from 1, that of a rotating solid body, to that of a massless tracer in the Keplerian motion (e.g., see Figure 2 in [2]).
Furthermore, in disk systems, the condition has no special physical meaning in relation with the DM component. Remarkably, the RCs are flattish only in the following (little extended) regions: (a) in objects with: 50 km/s 180 km/s, in the region: , (b) in objects with: 180 km/s 300 km/s, in the region: and (c) in objects with: 300 km/s , in the region: . (see Figure 1 and e.g., [17]). However, let me stress that, in all these cases, the flattening of the RC is not caused by a dominating DM halo as often believed, but, by a tuning between a dominating stellar disk contribution to that decreases with y and a modest halo contribution to that increases with y. Furthermore, also when a RC is constant over a region, the latter is always followed by an external one in which the RC clearly increases or decreases (e.g., [17]). More specifically, the kinematical evidence for the presence of dark matter is not provided by a gentle flattening of a moderately rising RC, as often claimed, but by a strongly rising RC or by an abrupt flattening of a declining RC.
To assume that the Rotation Curves are flat in a large part of the region: is, therefore, not supported by observations. It also affects the investigation of the DMP not only by providing the centrifugal equilibrium condition of Equation (6) with a wrong quantity but, above all, because such assumption (wrongly) implies that: (a) the DM distribution is exactly the same in all objects and there is no structure parameter varying among them and (b) the DM density has an isothermal sphere profile whose enclosed mass is larger, at any radii, than that of the luminous component.
Then, in the region where we have kinematical data (i.e., for: ), the idea of an asymptotically flat RC and that of the corresponding radius from which such condition would start, are unsuitable: does not exist in disk systems. Consequently cannot represent a reference velocity for disk galaxies. Moreover, from the complex profile of the URC in Figure 1 we easily realize that , i.e., the value of the rotation curve at the last measured point and , the value at the radius at which the circular velocity has its maximum value, are misguiding quantities: depends on the instrument employed to obtain the RC. Moreover, in objects at low luminosities, but in objects of high luminosity ([17], a review in [3]).
[2] Investigating the Dark Matter Phenomenon: does every Rotation Curve count?
For a spherical dark halo one has:
where is the DM halo density. After some manipulations and by assuming, for simplicity, that the disk mass is obtained independently from the kinematics, one arrives to:
where both and are known for a good number of objects via available mass models of individual or coadded RCs (e.g., [3]). Let us notice that in Equation (6) the value of the DM density in the LHS emerges as a fine-tuned difference between the first and the second term of the RHS, both up to 10 times bigger than their difference. The above kinematical determination of the DM density, therefore, strongly depends on , and on their systematical and random errors. One can estimate that, a RC, in order to provide us with the mass distribution in a galaxy, must have intrinsic errors <10% in and not more than in . If these conditions are not satisfied, the RC data trigger a totally wrong and a failure in the derived mass model. Noticeably, “bad” RCs not only do not provide useful information, but lead us to totally wrong DM density profiles. This requires a proper selection of the RCs to use, a strategy not always put into practice, in that, although none claims to use bad quality RCs, in many works the rate of rejection of the available RCs is uncomfortably lower than that required.
3. Adopting a DM Halo Profile
The main strategy to determine the DM halo density profile in disk systems is to model their circular velocity with two components. One, includes all the baryonic matter, i.e., the stellar disk, the central bulge and the HI disk. This can be obtained from the galaxy surface brightness, the stellar disk mass-to-light ratio and the HI surface density. Giving the goal of this paper, we consider only the Freeman stellar disk of measured length-scale and mass , a simplifying, but not limiting assumption. For the dark component, the spherical density profiles are usually adopted as result of one of the following approaches: (a) to use “empirical” profiles known to well perform on data: i.e., the Pseudo Isothermal (PI) and the Burkert (B) profiles [22,23] or (b) to use “theoretical” profiles, i.e., the outcome of analytical computations or cosmological simulations performed within a specific Dark Particle scenarios e.g., the CDM, ULA, SIDM ones [4,5,24,25].
Furthermore, one could adopt the “general” gNFW and Zhao profiles, i.e., empirical profiles that are claimed to be able to represent contemporaneously both the cuspy and cored profiles, by varying the values of their free parameters.
[3] The number of the free parameters of the Dark Matter halo density. An important aspect of a DM density profile is the number of its free parameters: each profile, in fact, has a specific functional dependence of radius and a number of parameters , whose scope is to take into account the halo by halo individualities of the DM density law, so: . An incorrect choice in the number or the nature of these parameters is very likely able to jeopardize the ability of determining the dark halo density profile from the galaxy kinematics. For the empirical and the theoretical profiles, the number and values of the parameters are obtained by fitting the RCs or other measures of the total gravitational field and from the outcome of cosmological simulations (or of analytical investigations), respectively.
Remarkably, the observational profiles have been found to possess only two free parameters moderately related each other ([3]). Similarly, the same number of free parameters, very often emerges for the theoretical profiles [3]. In detail, these quantities are: a DM halo density and DM halo length scale. Then, in disk systems and likely, in all galaxies, there is no reason to adopt halo profiles with more than 2 free parameters until this emerges in some (new) dark particle scenario or as result of new observations.
Moreover, Figure 1 with Equation (6) shows that, when expressed in physical units, the halo density of large galaxies is different from that of the small galaxies, . An unique parameter-free functional form , able to account for all the DM halos around galaxies, does not exist. The DM halo density must have at least one free parameter, running (a lot) among galaxies.
This could be problematic for theories alternative to DM with zero free-parameters, such MOND or for Modified Gravity frameworks with very constrained “free parameters”.
[4] Both cored, but different. To represent the DM halo density, often, one of the two following cored profiles is adopted, the Burkert profile ([23]):
or the PI profile ([22]):
, , , are, respectively, the DM central density and the core radius for the two profiles. It is important to notice that, if for , the two profiles are similar and interchangeable, for they strongly diverge. The PI profile, outside the region with available data, converge to a behavior and keeps it out to the virial radius , the “size” of the DM halo, defined from the DM halo mass profile as:
The B profile, instead, in the same region, converges to the very well known collisionless NFW dark halo profile [26]
where [27] is the characteristic radius and the charecteristic density. Remarkably, for :
different from the behavior of the PI profile. Then, according if we adopt a PI or a B fitting profile, the RC data at will contribute in a different way to the best fit of mass profile.
One may adopt, for a cored distribution, the B profile considering that, regarding a dark particle scenario, it is difficult to imagine how it could maintain an isothermal regime in the most external halo regions, given the extremely low values of of their densities: In any case, the PI profile cannot be adopted as the “unique champion” of the cored density profiles, as, instead, has occurred in a number of works8.
It is important to notice that in the outermost regions of the galaxies
for both the NFW and the extrapolated URC scenarios, the halo velocity () decreases as . However, in this region, we do not have the super-efficient tracers of the gravitational field provided by the RCs and we have to resort to model- dependent and complicated weak lensing analysis (e.g., [28]) that cannot determine the “halo velocity” accurately enough to rule out the PI profile.
[5] General Profiles for the DM halo density? The gNFW9 and Zhao (Z)10 profiles ([29] given by):
where is the central density, the “core radius” and g, the slope parameters, have been proposed as “all purpose” halo profiles. By assuming them, one intends to remain in the comfort zone of the cuspy NFW profile, but being still able, if necessary, to go with the observational data leading to a cored configuration.
Let me stress that the gNFW and Z model, in successfully reproducing the RCs generated by NFW or B halos, must deal with the following nuisances: (i) the available data extend only over a limited portion of the whole RC, (ii) the intrinsically different functional form of the B/NFW profiles with respect to the Z/gNFW profiles (iii) the large number of parameters of the latter. On the top of this, the observational errors strongly affect the fitting procedure. The results, shown in Appendix A, clearly indicate the above nuisances determine the game: the gNFW and Z models, despite having one (three) extra free parameter(s) to play with, are unable to fit NFW or B halo velocities with moderate random errors. Then, in dealing with real data, they are useless: (a) in telling whether a RC favors a Burkert or a NFW halo, (b) in assessing whether a sample of galaxies contains objects with a NFW halo and others with a B halo, (c) in providing evidence that B halos originate from the NFW ones via some physical process and (d) in providing us with a cored halo profile which is minimally deviant from the NFW one.
These two models, however, can be used if they emerge from some theory or out of cosmological simulations, or, if one chooses to adopt them as a new (exotic) empirical framework. In any case, they must be considered as: (a) new profiles to be compared with respect to any other proposed so far, and, (b) above all, completely different from the B and the NFW ones.
Finally, it is worth to point out that to fit the RCs with a dark halo + luminous component mass model has other problems (discussed in literature) but outside the scope of this work.
[6] Cuspy or cored DM halos? In the past two decades the evidence that the DM halos have a cored density profile has been much debated in the literature (e.g., [30,31,32,33,34] a recent review: [3]). A decisive proof comes from the mass decomposition of the spiral’s RCs in their dark and luminous components; however, only a small fraction of the available RCs are apt for this approach (e.g., see issue 2). Then, a different method of analysis has been proposed that aims to exploit the different functional form of the two competing profiles. Let us focus on the quantity:
it is then claimed that implies the presence of a cored DM distribution, while , that of a NFW halo; values in between with their uncertainties, yield the probabilities of each of the two cases. Since, in order to estimate , the requirements on the RCs and the assumptions in the distribution of the luminous matter are less severe than those needed for a full mass modeling, this approach has been appreciated and used several times. However, there is one point to consider: from the RC mass modeling we realize that, while the cored region of the B profile extends out to , the DM density is not a constant function of radius from to , where, in fact, its value is only that of the central one (see Equation (7)). is then about zero only very near the center and from there it starts to rapidly decrease with radius (see Figure 2). Also in the NFW framework, in which , we have a similar instance: the value occurs only in the galaxy center and from there outwards, this quantity starts to rapidly decrease with radius (see Figure 2).
Figure 2.
The slope of the DM density profile (Equation (14)) as function of radius for the NFW and B halos of Equations (A1) and (A2) and Appendix A. The yellow area indicates the difference between the B (orange) and the NFW (green) slopes over the whole galaxy and it is inversely proportional to the cuspiness of the halo density.
It is important to stress that in the available RCs the slope cannot be measured at , the innermost radius where this can be safely done is at: . Thus, the expected score of the game: NFW vs. B is not: −1 vs. 0, as often assumed, but something like: −1.4 vs. −0.7. Therefore, also values of < −0.5 may indicate a cored profile and the expected value of is <−1.
4. Conclusions
This aim of this work was not to review the fundamental properties of the dark and the luminous matter in galaxies (as in, e.g., [3]), but to help the researchers on this topic to avoid certain assumptions and practices that could jeopardize their investigation. They, in fact, could prevent the available “body of observations” from talking and telling us the Nature of the dark component. In other words, the kinematics of disk systems can provide us with an unique information about their dark and luminous matter components. However, if such information is not retrieved in the correct way, our understanding of the DM Nature and its astrophysical role will be subject to errors and biases. Finally, this work suggests that Cosmologists should consider the possibility “to renew their toolboxes” with which they address the Physics of Dark Matter in Galaxies. in order to better reverse engineering the observational data into a successful scenario.
Funding
This research received no external funding.
Data Availability Statement
The original contributions presented in this study are included in the article. Further inquiries can be directed to the corresponding author.
Conflicts of Interest
The author declares no conflicts of interest.
Appendix A
Within the NFW and B scenarios we build two reference halo velocity models [17]:
in both cases, we take a reference mass of with the related virial radius: . For the B halo we take: g/cm3, so that: , while for the NFW halo we take: with . In order to mock actual RCs we set the extension of the above RCs from to 11.
Then, by inserting in Equations (A1) and (A2) the above values of the two pairs and we obtain the NFW/B reference halo velocity models. By convolving these two models with moderate random errors, we create 100 B and 100 NFW DM halo velocity components of the circular velocity hereafter, just halo velocities or (see Figure A1). In detail, we substitute, in the two reference halo velocities, the values of and with two pairs of mock values: (, where:
is a random value between and that introduces a random fluctuation in the structural parameters of the halo velocities, while the cosine terms adds a random fluctuation in the halo velocities at their innermost and outermost radii , taking into account that, in these regions, data are more uncertain. In short, we have moderately randomly perturbed the amplitude and the slopes NFW/B halo velocities. We investigate whether the 100 and 100 mock halo velocities, shown in Figure A1 normalized to the reference velocities, can be reproduced by the gNFW and Z models. For simplicity, we consider the disk component in the circular velocity as known, so that we can neglect them in the analysis.
In the gNFW case, the fitting halo velocity (with 3 free parameters: ) reads as:
where are in kpc.
In the Z case, the fitting halo velocity, with 5 free parameters (a reference density, a reference radius and three slopes of the density profile), reads as:
where is the Hyper-geometric function, the radius is in unit of kpc, in unit of g/cm3.
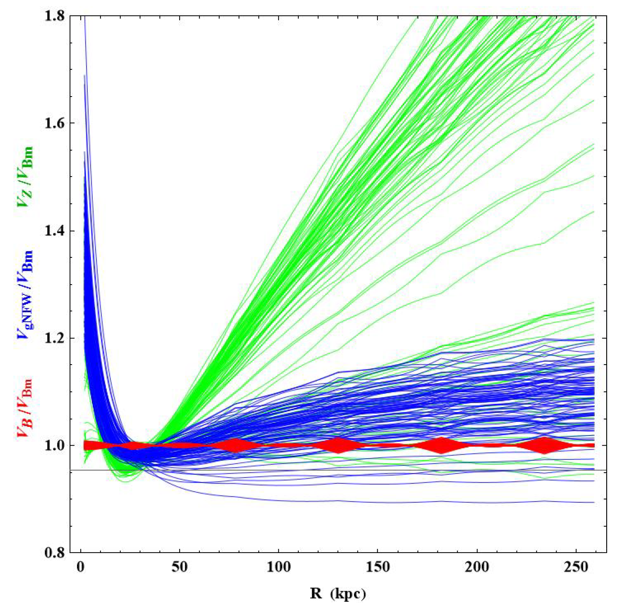
The first step is to fit, separately, the two ensembles of mock velocities, each one with its generating NFW/B model with its two free parameters. Not unexpectedly, these velocity models fit well the generated mock velocities and recover, within reasonable uncertainties, the values of the parameters set for the reference models (see Figure A2). Instead, , generally fails to reproduce the mock NFW and B halo velocities (see Figure A2) and the resulting best-fit free parameters are in serious discrepancy with those of the reference halo velocities. performs even worse (see Figure A2) in fitting the NFW/B mock velocities. Furthermore, the best-fit values of the parameters of the Z model are found to vary among the sample of mock velocities by a factor 5–10, despite the fact that all of them originate from a same velocity profile plus a modest random perturbation.
Figure A1.
100 NFW (left) and 100 B (right) mock halo velocities as function of radius, generated from the reference velocities in Equations (A1) and (A2) as explained in Appendix A. The mock velocities are expressed in units of the corresponding NFW/B reference halo velocities.
Figure A1.
100 NFW (left) and 100 B (right) mock halo velocities as function of radius, generated from the reference velocities in Equations (A1) and (A2) as explained in Appendix A. The mock velocities are expressed in units of the corresponding NFW/B reference halo velocities.


Figure A2.
100 × 3 best fit halo velocities as function of radius, expressed in units of their corresponding Burkert mock velocity. (Red, Blue, Green) color = (Burkert, gNFW, Z) profile.
Figure A2.
100 × 3 best fit halo velocities as function of radius, expressed in units of their corresponding Burkert mock velocity. (Red, Blue, Green) color = (Burkert, gNFW, Z) profile.


Notes
| 1 | Number of involved works: >55 k (ADS). |
| 2 | Parcere personis, dicere de vitiis (Valerio Marziale, 10, 33, 10). |
| 3 | In this work we freely interchange the quantities and as the “size” of the stellar disk. Furthermore, . |
| 4 | In this work, we will freely exchange these two quantities. |
| 5 | . |
| 6 | Contrary to what it has been assumed in >8 k works (ADS). |
| 7 | Notice that in this issue we consider the RCs in the region: as done in the works that we critisize. |
| 8 | >600. |
| 9 | Adopted in >500 works (ADS). |
| 10 | Adopted in >400 works (ADS). |
| 11 | The results in this section do not depend on these assumptions. |
References
- Rubin, V.C.; Ford, W.K., Jr.; Thonnard, N. Rotational properties of 21 SC galaxies with a large range of luminosities and radii, from NGC 4605 (R = 4 kpc) to UGC 2885 (R = 122 kpc). Astrophys. J. 1980, 238, 471. [Google Scholar] [CrossRef]
- Persic, M.; Salucci, P.; Stel, F. The universal rotation curve of spiral galaxies—I. The dark matter connection. Mon. Not. R. Astron. Soc. 1996, 281, 27. [Google Scholar] [CrossRef]
- Salucci, P. The distribution of dark matter in galaxies. Astron. Astrophys. Rev. 2019, 27, 2. [Google Scholar] [CrossRef]
- Hu, W.; Barkana, R.; Gruzinov, A. Fuzzy Cold Dark Matter: The Wave Properties of Ultralight Particles. Phys. Rev. Lett. 2000, 85, 1158. [Google Scholar] [CrossRef]
- Vogelsberger, M.; Zavala, J.; Simpson, C.; Jenkins, A. Dwarf galaxies in CDM and SIDM with baryons: Observational probes of the Nature of dark matter. Mon. Not. R. Astron. Soc. 2014, 444, 3684. [Google Scholar] [CrossRef]
- Salucci, P.; Turini, N.; di Paolo, C. Paradigms and Scenarios for the Dark Matter Phenomenon. Universe 2020, 6, 118. [Google Scholar] [CrossRef]
- Nesti, F.; Salucci, P.; Turini, N. The Quest for the Nature of the Dark Matter: The Need of a New Paradigm. Astronomy 2023, 2, 7. [Google Scholar] [CrossRef]
- Freeman, K.C. On the Disks of Spiral and S0 Galaxies. Astrophys. J. 1970, 160, 811. [Google Scholar] [CrossRef]
- Dialektopoulos, K.F.; Borka, D.; Capozziello, S.; Borka Jovanovic, V.; Jovanovic, P. Constraining nonlocal gravity by S2 star orbits. Phys. Rev. D 2019, 99, 044053. [Google Scholar] [CrossRef]
- Jovanovic, V.; Borka, D.; Capozziello, S.; Jovanovic, P.; Borka, D. Recovering the fundamental plane of galaxies by f(R) gravity. Phys. Dark Univ. 2016, 14, 73. [Google Scholar] [CrossRef]
- Genzel, R.; Schreiber, N.F.; Übler, H.; Lang, P.; Naab, T.; Bender, R.; Tacconi, L.J.; Wisnioski, E.; Wuyts, S.; Alexander, T.; et al. Strongly baryon-dominated disk galaxies at the peak of galaxy formation ten billion years ago. Nature 2017, 543, 397. [Google Scholar] [CrossRef] [PubMed]
- Mistele, T.; McGaugh, S.; Lelli, F.; Schombert, J.; Li, P. Indefinitely Flat Circular Velocities and the Baryonic Tully–Fisher Relation from Weak Lensing. Astrophys. J. Lett. 2024, 969, L3. [Google Scholar] [CrossRef]
- Jovanovic, P.; Borka Jovanovic, V.; Borka, D.; Zakharov, A.F. Constraints on Yukawa gravity parameters from observations of bright stars. J. Cosmol. Astropart. Phys. 2023, 3, 056. [Google Scholar] [CrossRef]
- Rubin, V.C.; Burstein, D.; Ford, W.K.; Thonnard, N. Rotation velocities of 16 SA galaxies and a comparison of Sa, Sb, and SC rotation properties. Astrophys. J. 1985, 289, 81. [Google Scholar] [CrossRef]
- Persic, M.; Salucci, P. The universal galaxy rotation curve. Astrophys. J. 1991, 368, 60. [Google Scholar] [CrossRef]
- Yegorova, I.; Salucci, P. The radial Tully-Fisher relation for spiral galaxies I. Mon. Not. R. Astron. Soc. 2007, 377, 507. [Google Scholar] [CrossRef]
- Salucci, P.; Lapi, A.; Tonini, C.; Gentile, G.; Yegorova, I.; Klein, U. The universal rotation curve of spiral galaxies–II. The dark matter distribution out to the virial radius. Mon. Not. R. Astron. Soc. 2007, 378, 41. [Google Scholar] [CrossRef]
- Catinella, B.; Giovanelli, R.; Haynes, M.P. Template Rotation Curves for Disk Galaxies. Astrophys. J. 2006, 640, 751. [Google Scholar] [CrossRef]
- López Fune, E. Empirical velocity profiles for galactic rotation curves. Mon. Not. R. Astron. Soc. 2018, 475, 2132. [Google Scholar] [CrossRef]
- Karukes, E.V.; Salucci, P. The universal rotation curve of dwarf disk galaxies. Mon. Not. R. Astron. Soc. 2017, 465, 4703. [Google Scholar] [CrossRef]
- Di Paolo, C.; Salucci, P.; Erkurt, A. The universal rotation curve of low surface brightness galaxiesIV: The interrelation between dark and luminous matter. Mon. Not. R. Astron. Soc. 2019, 490, 5451. [Google Scholar] [CrossRef]
- Carignan, C.; Freeman, K.C. Basic parameters of dark halos in late-type spirals. Astrophys. J. 1985, 294, 494. [Google Scholar] [CrossRef]
- Salucci, P.; Burkert, A. Dark Matter Scaling Relations. Astrophys. J. 2000, 537, L9. [Google Scholar] [CrossRef]
- Boyarsky, A.; Drewes, M.; Lasserre, T.; Mertens, S.; Ruchayskiy, O. Sterile neutrino Dark Matter. Prog. Part. Nucl. Phys. 2019, 104, 1–45. [Google Scholar] [CrossRef]
- Di Paolo, C.; Nesti, F.; Villante, F. Phase-space mass bound for fermionic dark matter from dwarf spheroidal galaxies. Mon. Not. R. Astron. Soc. 2018, 475, 5385. [Google Scholar] [CrossRef]
- Navarro, J.; Frenk, C.; White, S. A Universal Density Profile from Hierarchical Clustering. Astrophys. J. 1997, 490, 493. [Google Scholar] [CrossRef]
- Klypin, A.; Trujillo-Gomez, S.; Primack, J. Dark matter halos in the standard cosmological model: Results from the bolshoi simulation. Astrophys. J. 2011, 740, 102. [Google Scholar] [CrossRef]
- Luo, W.; Silverman, J.D.; More, S.; Goulding, A.; Miyatake, H.; Nishimichi, T.; Hikage, C.; Kawinwanichakij, L.; Li, J.; Li, Q.; et al. Dark Matter Halos of Luminous Active Galactic Nuclei from Galaxy–Galaxy Lensing with the HSC Subaru Strategic Program. Astrophys. J. 2024, 977, 59. [Google Scholar] [CrossRef]
- Zhao, H. Analytical models for galactic nuclei. Mon. Not. R. Astron. Soc. 1996, 278, 488. [Google Scholar] [CrossRef]
- Bullock, J.; Boylan-Kolchin, M. Small-scale challenges to the ΛCDM paradigm. Annu. Rev. Astron. Astrophys. 2017, 55, 343. [Google Scholar] [CrossRef]
- Salucci, P. The constant-density region of the dark haloes of spiral galaxies. Mon. Not. R. Astron. Soc. 2001, 320, L1. [Google Scholar] [CrossRef][Green Version]
- Gentile, G.; Salucci, P.; Klein, U.; Vergani, D.; Kalberla, P. The cored distribution of dark matter in spiral galaxies. Mon. Not. R. Astron. Soc. 2004, 351, 903. [Google Scholar] [CrossRef]
- Del Popolo, A.; Kroupa, P. Density profiles of dark matter haloes on galactic and cluster scales. Astron. Astrophys. 2009, 502, 733. [Google Scholar] [CrossRef]
- Donato, F.; Gentile, G.; Salucci, P.; Frigerio Martins, C.; Wilkinson, M.I.; Gilmore, G.; Grebel, E.K.; Koch, A.; Wyse, R. A constant dark matter halo surface density in galaxies. Mon. Not. R. Astron. Soc. 2009, 397, 1169. [Google Scholar] [CrossRef]
Disclaimer/Publisher’s Note: The statements, opinions and data contained in all publications are solely those of the individual author(s) and contributor(s) and not of MDPI and/or the editor(s). MDPI and/or the editor(s) disclaim responsibility for any injury to people or property resulting from any ideas, methods, instructions or products referred to in the content. |
© 2025 by the author. Licensee MDPI, Basel, Switzerland. This article is an open access article distributed under the terms and conditions of the Creative Commons Attribution (CC BY) license (https://creativecommons.org/licenses/by/4.0/).

