Abstract
We fit the three finestructure constants of the Standard Model, in which the first approximation of theoretically estimable parameters include (1) a “unified scale”, turning out not equal to the Planck scale and thus only estimable by a very speculative story, the second includes (2) a “number of layers” being a priori the number of families, and the third is (3) a unified coupling related to a critical coupling on a lattice. So formally, we postdict the three fine structure constants! In the philosophy of our model, there is a physical lattice theory with link variables taking values in a (or in the various) “small” representation(s) of the standard model Group. We argue for that these representations function in the first approximation based on the theory of a genuine theory. Next, we take into account fluctuation of the gauge fields in the lattice and obtain a correction to the a priori approximation, because of course the link fluctuations not corresponding to any standard model Lie algebra, but only to the SU(5), do not exist. The model is a development of our old anti-grand-unification model having as its genuine gauge group, close to fundamental scale, a cross-product of the standard model group with itself, with there being one Cartesian product factor for each family. In our old works, we included the hypothesis of the “multiple point criticallity principle”, which here effectively means the coupling constants are critical on the lattice. Counted relative to the Higgs scale, we suggest in our sense that the“unified scale” (where the deviations between the inverse fine structure constants deviate by quantum fluctuations being only from standard model groups, not SU(5)) makes up the 2/3rd power of the Planck scale relative to the Higgs scale or the topquarkmass scale.
1. Introduction
We and others [1,2,3,4,5,6,7,8,9,10,11,12,13,14,15,16,17,18,19,20] have long ago worked on fitting the fine structure constants—especially the non-Abelian ones—in a model based on the following main assumptions:
- Critical Couplings at Fundamental Scale: Preferably, the gauge couplings should be at some multiple critical point for a lattice theory at the “fundamental scale”. And it is in the spirit of that model that there indeed would exist a lattice theory in nature.
- AntiGUT: [1,2] The gauge group is at the “fundamental scale” of the Cartesian product of the same group G with itself and defined one time for every family of fermions. (This was called AntiGUT by L. Laperashvili.)
But mainly, the Abelian coupling of was not so well predicted, contrary to the non-Abelian ones (the attempt by Don Bennett and myself [21] obtained good numbers, but the theory is a bit complicated). Furthermore, Laperashvili, Das, and Ryzhikh [2] have even united this type of model with grand unification using [2]. They also used supersymmetry in their picture.
Now, it is the point of the present article to also make such a combination of the GUT [22,23] and the A(nti)GUT theory (AGUT= “anti-grand-unification theory”, meaning the type of theory with a cross-product of several copies of the standard model group, e.g., one cross product factor for each family of fermions) just mentioned, but without SUSY. Rather, we shall here seek an -like “unification” without taking the theory as really true, but rather taking the theory as an approximate symmetry appearing because the link variables have a form reminiscent of . In fact, one possible argumentation is to assume that the link variables are constructed as matrices (with the dynamical matrix element with somewhat restricting movability) for a most simple and smallest faithfull representation (a sort of principle [24,25,26] of smallest link representation). Another similar argumentation is to use our earlier work [24,25,26] to tell that one can define a concept of “small representation” so that the standard model group [27]1 This would, taken seriosly, tell that it is important that the group chosen by nature should have small representation, and that makes it natural that the link degrees of freedom corresponds to a “small” faithfull representation of the standard model group. Then, it turns out that such a typical small representation is the one obtained by starting from the -plet of and restricting to the standard model group, as contained in . Really, the standard model group is even in the notation, as used here in an obvious subgroup of just , the notation of which—the matrices—is used to write it.
In the game, we proposed [24,25,26] to specify the standard model group as a group, where it turns out that a cross-product of several isomorphic groups has the same “points” (the game of our reference [24,25,26], which means the AGUT model in the article is on a shared first place with the single standard model group) as the group itself, so a group would be equally favored by our game.
In any case, the idea is that the link variables are defined in terms of the fundamental physics, that is, they are imagined to be behind and represented by variables like in some “small” representation [24] of the standard model group, and then this representation happens to be/naturally is effectively an representation. This means that the link variables can formally be interpreted as variables; but in reality, they are not. That is, there is no symmetry for turning around the matrix elements in the link 5-plet, only under the standard model subgroup. There is no true theory in our model! But we can describe the model in terms of an theory, which is broken fundamentally. It is not broken according to the Higgs mechanism as in the usual SU(5) theories (a priori at least), but other gauge fields than the ones in the standard model subgroup do not exist (in the first place). There are only gauge fields corresponding to the degrees of freedom in the standard model groups—one set for each family (So you must imagine either that we really have the gauge group with as many standrad model group factors as there are families of fermions, three of them, or you imagine there to be three layers of a usual lattice so that we have three links where you usually have only one).
In the very crudest approximaton of a lattice action linear in the trace of the representation matrix, the similarity to the matrix theory is so great that the coupling constant ratios at the fundamental lattice theory in the first approximation become just as in the GUT unification scale. However, when it now comes to perturbative corrections due to the fluctuation of the lattice theory degrees of freedom, it becomes important that the degrees of freedom present in theory, but not in the standard model, are missing and therefore cannot fluctuate. So, the quantum corrections from the fluctuation of these–in standard model not present-degrees of freedom—are lacking and thus make the effective couplings observed in the continuum limit obtain different values from what they would have obtained in a true theory. Being quantum corrections, one would usually treat them perturbatively and expect them to be small. If this is indeed the case, then the usual predictions will be approximate! We can say that it is the main point of present article to calculate this deviation from the exact predictions to the usual picture of unifying gauge couplings. Thus, the standard model (inverse) fine structure constants do not truly unify (at a unification scale, but we shall talk in the present paper about an “our unified scale”, which is the scale at which there is unification, except for our (quantum) corrections, that we call ), but we calculate the degree of lack of unification and even make a prediction of the numerical value of the deviation.
1.1. Some Previous Attempts
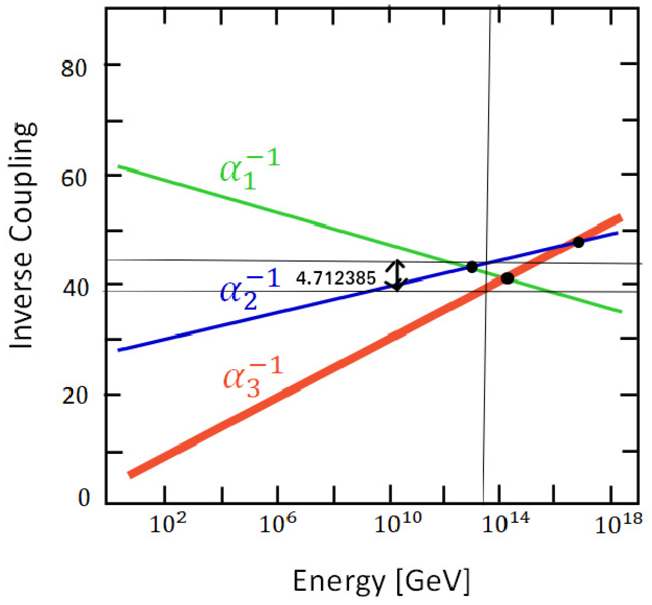
Since it has long been well known that when using the SU(5) there is no working unifying scale in the sense that we see on, e.g., Figure 1, the three lines representing the runnings of the three standard model Lie groups do not cross just in a point as the SU(5) GUT would suggest. The two very popular ways of seeking to solve this problem are the following:
Figure 1.
This is the usual graph representing the three standard model inverse fine structure constants with the being in the notation suitable for , meaning it is 3/5 times the natural normalization: = =. The vertical thin line at the energy scale points out “our unified scale”, which is, as can be seen, not really unifying the couplings but rather is the scale where the ratio of the two independent differences, and , have just the ratio 2/3 as our model predicts at “our unification scale”. One may note that “our unified scale” is actually very close to where the three inverse couplings are nearest to each other and in that sense is an “approximate” unification scale.
- Supersymmetry: By introducing supersymmetry, one has to have a scale for breaking this SUSY and thus of course a new parameter with which to adjust the crossing of the three lines. It happens, and this is then a success for SUSY in that this SUSY-breaking scale is very close, where we have the data and thus the place from which SUSY is possible. We mainly expect this from the hierarchy problem, which SUSY can determine that the breaking scale shall be very high in energy. So SUSY, like in our model, has a theoretical story about the value of the parameter introduced to fit the SU(5). We have instead that our quantum correction shall be just the number of family times bigger than calculated with a simple lattice.
- Bigger Groups Containing SU(5):If you have a group containing SU(5) as a subgroup such as SO(10), there are possibilities for having the three standard model groups be packed, so to speak, into bigger simple groups at different ranges of scales and thus also arrive at a way to achieve an extra parameter and solve the problem.In our philosophy, we start from the group of the standard model, which is , which means we already have the favored group fixed, and then we argue that the “smallest”/essentially simplest representation to use to construct the plaquette variable action contribtuion happens to be an representation. That is to say, we claim that taking the standard model very seriously points to the group proper in a way that we do not have for the alternative unification groups.This is of course a very weak argument in favor of just SU(5) only, and thus in theory, we have some prediction for the energy scales of the various symmetry breakings; a prediction of the minimal SU(5) breaking in the fine structure constants would be of an anlogous strength as our somewhat ad hoc factor 3 on the quantum correction from the lattice.
In general, one should bring it as a support for our model that apart from the lattice—which should at the end be assumed to be fluctuating in link size from place to place in Minkowski space as quantum fluctuations—a lattice that is somehow needed to avoid divergencies is kept to just the standard model and nothing else, at least if you ignore our story about the critical coupling, which is only important for settling the unified fine structure constant. In other words, our model claims to be more minimal than the previously mentioned competing scenarious SUSY and grand unification with larger than SU(5) groups or even with true SU(5) full symmetry.
1.2. Character of Our Prediction(s)
The main point of the present article (recently further developped in [28,29]) is really to predict the deviation from the exact GUT at a certain scale at which we calculate the corrections to the exact inverse fine structure constants in the standard model due to quantum fluctuations in the lattice theory assumed to be really physically existent at some scale. Since we predict the absolute values of the differences between the inverse fine structure constants at the scale, we have at this scale two numerical predictions, and thus, we can afford to use one of these predictions at the fundamental scale to fit the scale, and we shall still have one predition left. For instance, we can use the prediction at the scale, at which the ratio of the difference to the other difference shall be 2 to 3 (as our calculation implies). This is illustrated in Figure 1, and one shall remark that the three crossings of the inverse fine structure constant with the vertical black line on the figure at the scale about has been fitted so that the three crossings lie with the ratio 2:3 of the two intervals. The inverse fine structure constant passes in between the above it with a piece that is proportional to 2 and the line, then below it with a distance proportional to 3. But having fixed the scale this way, it is still a very non-trivial prediction that, e.g., the absolute difference between the -crossing and the -crossing is just . This is illustrated in Figure 2.
Figure 2.
Same as Figure 1, but now with our prediction inserted, marked as the number , which is predicted to be at “our unified scale”—the difference . Our prediction is that just at the horizontal thin black line at corresponding to the scale given by our fit to the green line crossing point dividing the region between the blue and the red in the ratio 2 to 3, we shall have the difference in ordinate points between the red and the blue crossing points with the vertical black being .
1.3. Our Rather Simple Fitting Formulas
1.3.1. The Quantum Corrections Breaking the Approximate
Our formulas for fitting the three inverse fine structure constants in the standard model in for the adjusted notation, wherein one uses , are rather simple and concern of course the three standard model fine structures via a renormalization group transformed to a certain scale , which is our replacement for the unification scale (because there is, as we know, no unification scale proper unless one involves SUSY or something else extra). The choice of the scale is only indirectly determined in our model, and it is essentially just a fitting parameter, although in Section 11 we shall speculatively relate to the Planck energy scale by a crude relation . Then at this scale to be fitted
where the one parameter , which could also have other definitions like
is our replacement for the unified inverse fine structure constant. The symbols, which we propose = = , are used to tell that this coefficient in the action functioning as the inverse coupling is without the quantum fluctuation couplings, i.e., it is uncorrected (=uncor.) or “bare”. We could also define a corrected one as follows:
The other parameter q that we use to calculate in our model with its three families of fermions and in a Wilson lattice in a lowest order approximation is defined as follows:
Using this notation, we could equally use the formulation
Here in fact, the quantity is analogous to the unifying -inverse coupling. At our (replacement for) unified scale , all three standard model couplings are equal to approximately. Of course, since there is no ture symmetry, these couplings are rather formal only, at the exact level.
1.3.2. The Critical Coupling
The requirement of the gauge couplings at the fundamental scale being just on the borderline on one or preferably more phase transitions, that are welcome to be lattice artifacts, was the basic ingredient in the previous works, of which the present one is a development [5,6,7,8,9,10,12,13,14]. In the present work with its approximate , it may seem natural to require the coupling to be just on the phase border for the pseudo-unified coupling, as represented by . In principle, the critical coupling depends on the lattice details, and it has to be calculated by lattice computer calculations, but here, we have for a start just taken an approximate formula for the critical coupling out of our earlier works [12].
1.3.3. The “Unified Scale” from Lattice Constant Fluctuating “Lattice”
The fact that there has always been a discrepancy for GUT theories of, e.g., , namely, that the unified scale turns out appreciably smaller in energy than the Planck scale, is also a discrepancy in our theory, and for rescuing it against this problem, we propose the speculation of a strongly fluctuating lattice. It should fluctuate in the size of the lattice constant, and we should imagine that in various places and moments, the lattice is more or less fine. We shall see below that this kind of fluctuation can be used as an excuse for the effective scale for gravity, the Planck energy scale, and that for the standard model, “our” grand unified scale (which is a replacement for the GUT scale) can deviate from the other violently. The parameter giving our unified scale, namely, the logarithm of it relative to the weak scale known as (or it may be better to use instead of ), is defined according to our speculation given in terms of the Planck scale, which thus is a needed input to obtain all three parameters to give the three fine structure constants.
1.3.4. Resume of the Fitting
The three parameters with which we fit the three standard model fine structure constants come in our present work from rather different speculations which, though all should be sufficiently compatible, means that we can have them in the same model. Here, we announce in the table below the success of our model.
| Parameter | Formula | From ’s | Theory | Deviation | Section |
| q | q = | 4.618201 | 4.712385 | −0.094 ± 0.05 | Section 3, Section 3.1 |
| see above | 51.705 | 45.927 | 5.778 ± 3.5 | Section 9 | |
| 26.43 | 24.76 | 1.67 ± 1 | Section 11 | ||
| or 0.02 |
In the third parameter line, we put a somewhat estimated uncertainty for the theoretical value, because the scales being divided, the Planck scale over the scale of the three families ending at low energy taken as the scale or better top-mass , form a ratio of rather ill-defined concepts of scales and thus at least give an uncertainty of one unit in the natural logarithm.
Depending on how many of the stories behind the “theory” of these parameters the reader might buy as trustable, the reader can decide with how many parameters we fit the three standard model (inverse) fine structure constants. In fact, the “theories” for the three different parameters are rather independent of each other, so that means that selecting some that are wrong and some that are right would not at all be excluded.
1.4. Plan of Article
In the following Section 2, we describe our assumption of the lattice for the standard model group, which means that it is important to know what the global structure of this group is and not only the Lie algebra. According to O’Raifaighty [27], the global structure of the group is connected with the system of allowed representations, and one can thus consider the system of repsentations for the fermions in the standard model as a strong indication for the special gauge group .
In Section 3, I perform calculations of the quantum correctons meaning calculating zero-point fluctuations in plaquette variables, as well as Taylor expanding the partition function and developping a table for the contributions of the zero-point fluctuations on the continuum/effective (inverse) fine structure constants. Strictly speaking, our correction depends on the type of lattice used, although we can hope that it will not be very dependent. In Section 4, I at least mention the Wilson lattice action, which is the lattice we have used. In Section 5, I compare the work to an old similar quantum fluctuation which we, Don Bennett and the present author, made many years ago in the similar model. Also, I look for checking the crude estimation for what in lattice calculations is called a tadpole improvement [30] but actually is the quantum fluctuations, and I consider it as the main mechanism breaking the approximate that appears, so to speak, by accident, because the representation matrix in the links happen to also have symmetry before some motions of it are restricted to not occur.
The fitting of the data—the experimentally determined fine structure constants in the standard model—comes in Section 6, where I first determine the requirement of the ratio of the difference between running couplings being as according to the prediction of the scale that must be the fundamental scale in the model . It is what we can call “our unification scale” , but really of course, there is no true unification, since our is only approximate. Next I compare to see if the separations at this scale are what I predict. At the end of the section, we do the opposite as a check.
In Section 9, I look at whether the coupling, say the approximate GUT one, is the critical coupling. In the works that led up to this one, having these critical couplings was the crucial point [5,6,7,8,9,10,12,13,14]. We shall in general postpone second-order calculation, but I should mention that a second-order calculation is called for, see Section 10, and presumably not exceedingly hard.
In Section 11, I discuss the most speculative one among the parmeters in our model, which should be obtainable in an other way than just by the fitting fine structure constants, namely, the “scale of unification” . Although it is probably the most shocking result, if one would believe the model, that the “fundamental scale is not the Planck scale, then I shall present a speculative story on the in-size fluctuating lattice that shall suggest a relation between the “fundamental scale” in the model and the Planck one (allowing them to deviate in order of magnitude).
Finally, I conclude in Section 12 but also include some thoughts about the problems or suggestion for a quantum gravity if we take the present work seriously, wherein one must claim that the fundamental scale for the standard model is the unification one for our approximate GUT, even if it is a bit low in energy compared to the usual unified scale. This proposes a lattice which fluctuates even in scale in some background of a manifold or a projective space. If one could have the lattice imbedded in the continuum space with some symmetry, including scalings, there might be a chance of having a different way to average over fluctuations in the lattice constant size (i.e., coping with a fluctuating “fundamental scale”) for the fine structure constants gauge theories and for gravity. Such a different kind of averaging can seperate the different scales to be observed for the two groups of forces: the standard model ones and gravity.
2. Our Model
Our concrete model is that we have in nature a fundamental lattice with an energy scale corresponding to the lattice constant (with )—with the lattice being the Wilson one. Let us say that this lattice is “tripled up” in the sense that there is really one Wilson lattice for each family of fermions. Calling the number of families , one can think of it as the genuine group being not the standard model group itself but rather its third power as the true gauge group in our model:
The symbol denotes a discrete subgroup of the center of the covering group , which is determined by the Lie algebra of the standard model. The crucial requirement is that the elements is this subgroup of the center shall be represented trivially in all the representation for the various fields/particels in the standard model. This requirement leads to a rule ensuring in fact that leptons must have integer electric charges and and that the quarks must have charges 1/3 modulo 1. This means that some of the victories usually ascribed to SU(5) grand unification here are considered to be built into the global group.
Alternatively, one might think of a model like this as being three usual lattices lying parallel to each other (seperated in an extra dimension), and it could therefore be tempting to call them “layers” of lattices.
In any case, we imagine that some way or another the is broken down to its diagonal subgroup, which is (isomorphic to) the standard model group . In fact, this diagonal subgroup is defined as
We tend to use both notations and for the same definition, so we can simply express it as . This breaking down of to the diagonal can easily be imagined to come about by a little bit of mixing up the different layers locally all over. (“confusion” [31,32]). In Section 11, we shall speculate a bit more complicated about the lattice structure because we shall propose that there is diffeomorphism symmetry even at the lattice scale or at least some symmetry like the symmetry of a projective space–time containing (local or global) scalings. This then means that we imagine the lattice to fluctuate in both size and position, so that even if it is a Wilson type very locally, it varies in both in the orientation and size of the lattice constant very strongly from place to place. If that is so, and it might be unrealistic to imagine that it is not fluctuating, we shall have a usual gravity theory with its reparametrization fluctuating (as one should imagine the gauge of any gauge theory to really fluctuate [33]), e.g., the “fundamental scale” that we calculate below by fitting must be at the end considered an average value of the “fundamental scale” while the local fundamental scale fluctuates.
But apart from this story of connecting our model to gravity, the fluctuations might be ignored, and a lattice with a fixed lattice constant of order ∼1/ would be acceptable (But remember, we fit “the our unification scale” like the one in the usual exact to be appreciably lower in energy than the Planck scale).
2.1. The “Small” Representations Used in the Links and Plaquettes
The crucial special assumtption for this article is to assume that the degrees of freedom of the lattice links representing the element of the standard model group SMG are the matrix elements of a matrix representation of this SMG on a minimal faithfull representation. It is then assumed that these matrix elements are restricted to only (be able to) move quite freely along the image of the SMG into the “small” representation used, while motion in other directions is strongly restricted (perhaps by very high potentials). But at least we shall ignore them if there is any fluctuations, except along the standard model group. The idea of thinking of such an imbedding is to note that in such an imbedding we have a way of thinking of an SU(5) representation too, because the “small” reprensentation we have in mind is the one that is the -plet reprentation of . It is of course also a representation of the . Now a really crucial point is that we imagine that once the has been represented this simulating approach, it tends to inherit an symmetry, even though our model has no true symmetry postulated. It is only that it seems a bit similar in its simplest reprentaion. A bit more concretely, we may say that we use the smoothness also assumed for the Lagrangian density as a function of the plaquette variables, which are also postulated to be formulated in matrices, is a smoothness defined from the matrices. When we then Taylor expand and from that look for the form of the plaquette action, we come to the trace of the matrix just as in the usual theory. By this, we have thus “sneaked in” an approximate symmetry. This is really the crux of the matter of our model: The symmetry is not a symmetry imposed on nature but rather an approximate symmetry that can be suggested to be the most natural way to represent the link and plaquette degrees of freedom for a model that basically is only symmetric under the standard model group. Thus, there is of course already bulit into our picture a breaking of the symmetry. Most importantly, the degrees of freedom from the components in the theory fields that are not also in the standard model group, SMG, are lacking.
For us, this then means that there are no quantum fluctuations in the plaquette or link variables corresponding to these lacking degrees of freedom. The concern of the present article is to evaluate how these lacking modes lead to lacking quantum corrections for the fine structure constants, as well as how these corrections from the lacking modes of oscillations are not quite equally big for the three different standard model gauge couplings. This is then accordingly the reason for breaking in these couplings of the fundamentally non-existing symmetry.
2.2. The Plaquette Trace Action
As is usual, once you formulate your gauge theory on a lattice, you for smoothness reasons let the plaquette action typically be a linear function in the trace of the matrix representing the plaquette group element. This mainly from smoothness a decided action for the use of the reprenstation of the standard model group, SMG, on the -plet function as if it were in theory. Actually, it leads to couplings for the three sub-Lie algebras corresponding to the three Lie algebras , , and being equal to each other in the same notation, in which they are equal in true theory. So at first, we just have from this simplification and Taylor-expansion-type arguments obtained effective symmetry! The plaquette action, as we shall use it to give the more precise result also including quantum fluctuations H, takes the form
where both h and H are the Lie-algebra-valued fields written as represented by the representation on the -plet. The h symbolizes the field for which we want to estimate an effective action; we can think of it as representing a continuous field translated into the lattice and matrx formulation. On the other hand, the part H should describe the quantum fluctuations, i.e., quantum mechanically, even in a situation in which you classically describe the situation by the field from which h has come. There is in reallity a superposition of field configurations. That is to say that the plaquette or link at a certain position in space–time deviates appreciably from the confuguration given by h, which is the “naive” translation of the ansatz field considered for the lattice. It is this deviation that we call H. In the first approximation—and we shall be satisfied with that–the fluctuation part H will simply be the fluctuation in a vacuum.
Now, it is our calculational approach to Taylor expand the trace action (13) to include the first term, which is even on the average get non-trivial contribution from the fluctuations. We shall in our calculation show that it is this lowest non-trivial order term in the fluctuations that gives the deviation from symmetry. And what really shall come out is that this contribtuion indeed also fits with the deviation from the symmetry of the (inverse) fine structure constants as measured the under use of the standard model.
It is important for the present work to calculate that the fluctuation in one component of H is
and we shall do it in the following subsection. The reason we gave the value for 1/2 of the fluctuation is that there is a factor of 1/2 extra from the Taylor expansion so that the counting of the fluctuation contributuion in the expression is to be multiplied by 1/2 to give the correction to the relevant inverse fine structure constant. For the approximation that we in the zeroth order have an exact value, we do not have to distinguish which precise one of the various fine structure constants we shall use. This is also something which would require a bit more thinking/calculation, and I would like to postpone it for a later article (see Section 10).
What is crucial is our Taylor expansion of the plaquette action (13):
The fields both the fluctuation H and the “test” part h correspond to unitary representation matrices and are Hermitean as matrices. Thus, taking the real part removes the odd power terms, so they do not contribute, leaving in the above expansion up to fourth power of interest only the terms with second and fourth powers. Now, if we are interested in the corrections to the effective (continuum) fine structure constants, we only have interest in the terms of even orders in h, meaning that even from the fourth-order term, we only care for those six terms in the expnansion of that have two h factors and two H factors. Among the a priori = 16 terms in the development, there are only six terms with h to just the second power, and if the h and H commuted, these six terms would be identical. Indeed, h and H do not commute, but when we take the average over the distribution of the fluctuations of H, it turns out that these terms have the same average after all, as if h and H did commute.
The terms to be kept for effective fine structure constant calculations purposes are
In the last line, we canceled the factor of 6 in the 24 by having here only one term, so this is achievable only if the h and H “effectively”—i.e., after averaging over the fluctuating H—do commute.
The full plaquette action shall have a coefficient in front of it of course. To connect the continuum theory with Lagrangian density
we should, say, use a normalization
to identify for a link in the direction
Calculation-wise, it may be easiest to avoid problems with normalization to extract the ratio of the second of these two terms to the first. The first of the two represents the naive (or lowest order) extraction of the continuum coupling from the lattice, while the second represents the lowest-order effect of the fluctuations.
3. Extraction of Coupling Corrections
Once we have decided to look for the ratio of the second order and the fourth order terms in the Taylor expansion of the Plaquette action (16), we should be able to extract the relative correction due to inclusion of the quantum fluctuations by just putting in some ansatz for fields alone meaning a set up of one of the three standard model subgroup fields at a time, and even the normalization (of h) is then not important for this relative size of the two terms, while the size of the fluctuations still have to be calculated.
Now, we want to estimate the three standard model fine structure constants—or rather their ratios—by putting on a “test field”, which for the plaquette action on which we think is denoted as , and if we think of a purely spatial plaquette, it is really a magnetic field of that plaquette. This magnetic field is thought upon in the notation with the coupling constant absored into the field so that the action actually has an inverse fine structure constant contained as a factor to compensate for the absorbed charge factor , say,
(see Section 4 for why we just place in front of the .)
Thus, the inverse fine structure constants are found from how the action (or we can say the magnetic energy) varies approximately linearly with the square of the test field imposed on . If the fluctuation field was -invariant—as it would of course be in a theory without any breaking of the SU(5) symmetry—the three fine structure constants in the “SU(5)”-invariant notation, which are well known to deviate from the more natural one by the replacement
would be equal to each other for all three.
The test fields we shall use, and which for the non-Abelian groups and correspond to the coupling definitions,
could be
All of the three proposed test matrices h have been normalized so that their squares
become of traces equal to unity:
It is this normalization that ensures that the three couplings all become equal in the exact limit. (Based on the unbroken symmetry under the standard model group, it will not matter which component under one of the three standard model groups is used as the test field, as long as it is a combination of the components of just that one of the three groups , , and .) These fields h are meant to be added to the already fluctuating field, but not to flutuate themselves, and then dividing the thereby achieved (magnetic) energy increase or action decrease shall obtain (apart from a constant factor) the inverse fine structure constant for the subgroup of the standard model in question.
3.1. Difference Between Our Approximate and Usual
In the very first approximation—the -invariant one—there is the same amount of fluctuation in all the 24 components of the -Lie algebra; actually, each of them have the average of the field squared for one component . But in the philosophy that only the standard model components really exist, we must in our model only have fluctuations in these components.
The difference between our model, in which there, truly speaking, only is gauge symmetry according to the standard model and not even fields corresponding to the full , the usual theory comes in by restricting the fluctuation field H in our model to only fluctuate in standard model degrees of freedom.
Actually, the Lie algebra components, which are in the -Lie algebra but not in the standard model one, can be in the notation, and I have chosen them here (27) to be represented by the matrix element being put to zero in the following matrix :
I.e., the difference between our model and the symmetric model is that the fluctuation in the vacuum fields on the 2 times 6 points in this matrix marked by the 0 s is suppressed in our model, while in the symmetric H, the fluctuation is the same size in all the matrix elements, except for the detail that the trace of H is restricted to be zero, that is,
In both usual values and ours, the trace is zero, but the 12 elements marked with zero are restricted from fluctuating only in our model.
The technique to estimate what happens when one puts up in a region a smooth continium field is simply that we add the field due to the continuum field, which we can call F, translated to the matrix h to the fluctuating field H. That is to say, we consider the following configuration:
and to extract magnetic energy or the action of the plaquette, we assume the usual type of the real part of the trace action
and look for the terms in the action change, which are of the second order in the continuum extra field representing the continuum field. The coefficient to this second order used to give the action change due to the continuum field is simply proportional to the inverse fine structure constant for the type of field we used.
3.2. Expansion of exp
The Taylor expansion of the exponential is well known, and we only have to keep the terms of second order in h, and we shall not go further than to second order in H, so we only need to expand to the fourth order in the sum .
In fact, we generelly have
Dropping the order terms, we obtain
3.3. Classification of Fluctuations
For the presentation of the calculation of the quantum fluctuation corrections to the three different fine stracture constants in the standard model, we divide the fluctuations into four classes. Have in mind that in the crudest approximation, the vacuum fluctuations in the symmetric approximation consist of independent fluctuations after all the 24 basis vectors in a basis for the Lie algebra value. Imagine having chosen this basis so that the 12 basis vectors are also basis vectors for the three sub-Lie algebras corresponding to the three standard model groups, and we can then divide the fluctuation into four sets denoted symbolically by for the fluctuation in the single mode of the subgroup, for the fluctuation in the degrees of freedom, and for the fluctuations, and then for us, the most interesting class , namely, those remaining fluctuations in the Lie algebra value which do not fall into any of the three well-known subgroups of in the standard model and which in our model are declared to not exist in nature, must be removed, i.e., these fluctuations under the name become zero. With such a classification, we can divide the fourth-order term into a series in principle of combinations. In fact, we can ask for any of the three fine structure constants for which we want to calculate the quantum fluctuation corrections, wherein the contribution is from one of any of the four fluctuation classses , , , and .
3.4. Calculation Description
We want to calculate the shift in the three inverse fine structure constants of the standrd model by first calculating the relative changes of these inverse fines tructure constants for by denoting, respctively, the subgroups , , and . Since we are now computing the “correction” after the very lowest order approximation is considered to be exact symmetry, we can in principle be careless with which fine structure constants we use in this calculation when performed at the unification point of energy scale, because at this scale at zeroth approximation, all three and even the are equal.
We shall first caculate the shifts from their relative shifts. For this, we need the very important = (but it is here where we can be careless to our approximation with which you replace this ), and the factor is explained below in Section 4.
Thus, the shift of the inverse fine structure constant becomes
One can think of the fraction as a kind of counting of how many components of the fluctuation contribute to the correction of the ith inverse fine structure constant,
Here of course
and if we also include into this sum the fluctuations, we obtain the corrections under unbroken , and in this case, the sum of these should for all three inverse fine structure constants be . There are 24 components for full , but in order to contribute to the trace a factor 1, you need five 1s (along the diagonal).
3.5. The Table
By a little thinking that we want the average of these fluctuations, which are independent except along the diagonal, and that the elements in the matrix related by permuting the column number with the row number are strongly correlated—as must be the case to ensure hermiticity of the fluctuating fields —we find out that one obtains the same result, regardless of the order in the matrix product, so that h and H effectively commute after all.
Let us now list in the following Table 1 these and their calculations.
Table 1.
Table of the numbers first without the explicit denominator 2, but then at the very two lowest lines, the half is taken for the sum of the contribution from the standard model group fluctuations and for the ones from the which is missing in the standard model.
The numbers in this Table 1 are easily obtained when having in mind that the trace is of the form , because we can then simply evaluate the traces by using the following diagonal matrices
combined with the squares of the ansatz matrices
3.6. The Problem with Commutation
The above multiplication to make the table is acceptable if the hs and Hs indeed commute. Effectively however, we can show that by applying the averaging, we do end up with a result as if they commuted:
For the hs, i.e., the ansatz matrices, we can simply choose diagonal ones, because that is just to select an appropriate basis vector for the group one wants. If the fluctuation field is a diagonal one, it is then indeed commuting, but if we consider an off-diagonal component of an field, then we can argue that it leads to a product of the two diagonal elements in the h, and this leads in the special cases to consider taking the trace of an h, which is zero. So in practice, it is as if we had commutation almost by accident.
4. Wilson Action
We shall use the notation for the single-layer (our model has three layers corresponding to three families) Wilson lattice that is related to a continuum theory (we here leave the gauge group open) and with the charge absorbed into the field (containing magnetic and electric part with their g absorbed).
If we use a notation in which the gauge fields are already Lie-algabra-valued fields—or for our groups of interest here, they are equivalent matrices—we can thus define basis vector matrices and so that
you can interprete the fields as representations in some representation R construct of unitary matrices in the crude continuum limit identification
in the usual way that requires the
to be obtained using (17) and the relation
And this leads to the fluctuating part of the exponent in the plaquette variable
going into the action with
So if the plaquettes were not coupled—though they are—then in the partition function/the Euclidean path integral, which is
where is the Haar measure, the fluctuation of a plaquette variable (exponent) would be given as = (when restriction between the plaquette variables is neglected), since . But of course, they are connected so that there are only half the plaquette variables, which are independent. This can actually be seen to lead to the distribution of the partition function distribtuion becoming twice as narrow a measure in the square average: So in the lattice partition faction or the Euclideanized path integral, the fluctuation is
We here used that the plaquette variables, say for the different plaquettes □, are not independently integrated. On the contrary, for each cube in the lattice, there is a constraint that when linearized means that the sum of six plaquaette variable for the plaquettes around the cube is restricted to be zero. Since in four dimensions there are six plaquettes per site and four cubes, this restriction would first mean that there are only two independent plaquette variables per site, but that is, however, not true, because there is a constraint between the four cube constraints on the plaquettes. So in reality, there are three independent constraints per site on six a priori plaquette variables. This yields that the average of the square of a (Gaussian-distributed) plaquaette variable becomes reduced by a factor 6 to (6 to 3) mean a factor of 2. Simplifying this to just two variables to be restricted to one independent variable, we could just think of a Gaussian distribution about the origen in a plane, and we then restrict the first two dimensions to a diagonal—a single dimension—being a restriction symmetric between the two original variables thought of as the coordinates. Then, the restricted distribtuion on the symmetric diagonal would project into one of the coordinate axes with the average of the saquare diminished by a factor of 2.
The meaning of our basis choice for defining our lattice variables could be illustrated by asking what is now the calculated average of the square of an off-diagonal element in the matrix. For example, for matrix element row 1 and column 2, we obtain
It is an easy off-diagonal element that we denote by , and its numerical average square is for one layer
The reason we want this half of the average square of the matrix element in the matrix is that the Taylor expansion (39) has a two-factor deviation between the two terms, which we shall compare.
4.1. Our Relative Correction
In the calculation of the relative correction to the inverse exact fine structure constants, we need the ratio of the two terms (39), and the correction term comes from the Taylor expansion as
4.2. On Table
Use the numbers from the three table as traces of the products of the diagonal matrices, which are normalized so that their traces are 1 for the , and the dimension of the Lie group for the normalizes the difference of to one “unit” ignoring yet the factor 3 of the number of families, with the hereby absorbed denominator 2 being
Now we have the notation with “Re Tr” (in which it would at first have been ). So, the prediction will be that the difference at the unifying scale of the two non-Abelian inverse fine strucutre constants—which have the number 1 (when the explicit 1/2 is not included)—will be for only one family, but it will be for three families.
5. Comparison with Old Work with Bennett and with Computer Works
Since it is so crucial for our prediction that we calculate the absolute size of the quantum correction, defining our correctly and that it is indeed such a quantum correction effect, we shall here compare it to an old work with Don Bennett, though only calculating this correction for simple groups SU(3) and SU(2), but this checks the absolute size. That the physics of this type of quantum correction works even with a background of extensive computer calculation is seen in the next Tadpole Correction Calculations Section. In my old work with Don Bennett [10] arXiv:hep-ph/9311321v1 “Predictions for Nonabelian Fine Structure Constants from Multicriticality”, we in fact presented the same correction that I use here and even had the normalization included and used that the correction to the inverse fine structure constants is
where means the quadratic Cassimir in the fundamental representation of the group in question. In fact, we find in this article the following:
Tadpole Correction Calculations
In fact, the quatity , which is so crucial to us to estimate, is a quantity needed to make the so-called tadpole improvements for lattice calculations [34]. In the calculation by Niyazi et al. [30], we find some computer study that also reached the quantity defined by
as being the average value in the fluctuating lattice (in vaccum) for a link variable. They presented as a result of their numerical studies a region of s around in their notation that means :
where .
On the basis of the crudest approximations as speculated in Section 4, we expect the to be of the form
(here, the correction factor comes from our (68) correction for a in the notation of [30], and because of the continuum coupling, the correction—the —obtains a contribution from a lattice action term with double plaquettes having a coefficient in the first approximation and contribtuiing eight times as much as the “main Wilson term”). If the inverse -type fitting here is correct, then the derivative being the coefficiient on the second term should be
This is a little bit lower than the value.
From Formula (2) in reference [30], we see that Niayzi et al. use the N included in the action explicitely so that for , their , so, e.g., the they worked out would mean that the notation without the N included in the definition comes out to . Then, since in the usual notation, which Niayzy et al. seem to use, one has, e.g., according to [35] the result of , implying that
But there is a further point in extracting the fine structure constant used in the work by Nyaizi et al.: They use Lüscher–Weisz action, which even in a large limit, has an extra term consisting of double plaquette actions with a coefficient which, according to [36], is given by
So this would mean that we shall use (69), but with changed to . The case in the notation of [30] corresponds then to
However, when we now remember the inclusion of the effect of the double plaquette term at least in the weak coupling limit giving the factor 3/5, then instead of Niyazi et al.’s value, we have the following:
Now, there is very little difference, meaning that we can consider that this extraction from the calculation of the became a test of our calculation of the correction from the loop corrections that are so crucial for the present work.
Let us take yet another example, namely, ; it gives and . Now, we have for 7.7 that , and thus, , giving a change of the value by in value. This is still close to (But I do not like it for it to get further away from this 4.1887 value when the coupling becomes weaker, because we expect our values to be exact in the weak coupling limit).
6. Fitting
The first step in our fitting of our model is to calculate the “unifying” scale at which the ratios between the differences between the inverse fine structure constants for the three subgroups of the standard model group is the one predicted from our calculation of the quantum fluctuation corrections. In fact, the three inverse fine structure constants shall lie on the number axis as the numbers corresponding to the subgroups , where we have chosen the normalization for the fine structure constant. The relation is expressed in terms of the two independent differences that can be formed. Let us, e.g., say that
We express the s as
and this relation for the s is written for the -scale fine structure constants as
Inserting the values obtained for the inverse fine structure constants, this becomes
6.1. Table for Inverse Fine Structure Constants and Our Fitting
In Table 2 in this Section 6.1 just below we go through the calculation to first determine the unification scale by requiring the ratios of the two relative deviations from true symmetry to be in the ratio required by our model. We have shown this to be done by requiring the linear combination of the three inverse finestructure constants at this unifying scale to make zero the linear combination of the inverse fine structure constants have the coefficients for, respectively, . As a check of our model, we work this out by correcting for the quantum fluctuations in the inverse fine structure constant to reproduce the two s, namely, the one without quantum corrections—the bare inverse fine structure constant—and the “effective” inverse fine structure constant, which has been corrected for these quantum corrections. The test is that these two formal (inverse) couplings shall be the same regardless of which of the three standard model fine structure constants are used for the calculation of them, provided our model agrees with the data used.
Table 2.
Calculation of Replacement for Unifying Scale.
6.2. Values at the -Scale
What we are really interested in is the magnitude of the deviation from being accurate at the our “unified scale” , and we should like to develop the expression for this deviation in terms of the original variables at even values. But to obtain an overview, it is better first obtain the deviations by simply calculating the three inverse finstructure constants at our “unification scale” :
We may note down the differences and check that they are in the right ratio:
The test now is the following:
Now, our question is how big is this 4.62 value in units of . We find
This is remarkably close to 3, which is the number of families (with an order of magnitude uncertainty of it the inverse finestructure constants, which is a deviation of only and is very good!)! This is in itself a remarkable coincidence in spirit with our old work stories about critical inverse fine structure constants getting multiplied by the number of families because of the anti-GUT theory behind them.
Corresponding to this spacing, we can now—with the above calculations being used—find two inverse couplings, namely, one before the effect of the quantum fluctuations of H are taken into account and one after they are taken into account for the—in our theory—non-existent whole .
6.3. The Unification Couplings
Using Table 2 (in Section 6.1) we find that using as unit a , the two slightly different inverse unified couplings and (for formally) at our unification scale are given as
It is these unified fine structure constants and , which only deviate from each other by quantum correction, which should by our critical coupling assumption be equal to the critical couplings for a lattice SU(5) model. In the Figure 3 they are compared to the critical coupling for the lattice SU(5) corrected by the factor 3, because there are 3 families. (See the Section 9 for further details of our philosophy, that the “unified” coupling should be just on the phase boarder, i.e., critical, except that it should be corrected by a factor 3.)
Figure 3.
On this figure we show the running fine structure constants extrapolated by renormalization group to our replacement for the unifying scale (or approximate unification scale ) togther with the two definitions of “unified inverse finestructure constants”, and , and finally our by the number of families multiplied critical inverse finestructure constant for evaluated by the formula by Larisa and Rykhsikh, see Formula (217) below. The latter is our prediction and it is denoted by an arrow contrary to the other inverse fine structure constants, which were derived from the measured couplings, denoted by lines.
(We used in this table, Table 2, the “experimental” value , but it would have made only very little difference to use the theoretical value , because our agreement is so good).
7. What Do Our Result Say About Original Variables?
Our remarkable result is that at the “unified scale” for our approximate value—the difference between, say, and —is just the number of families times the “unit” . It is, so to speak, the deviation from proper symmetry, which seems remarkably to be an integer—the number of families—times the “unit” , which denotes the amount of shift in an inverse per unit of quantum fluctuations in the lattice theory of the theory in question.
For testing and for illustrating that there is truly a result in our prediction, we want now to rewrite this result in terms of the -scale quantities:
Let us begin to write down the difference that should have the remarkable value (where is the number of families):
where now
Here, the ratio of the s becomes
Our difference is
Calculating Our Difference from -Scale Data
Let us use
Then, our difference becomes
If you would like to blame all our deviation on the strong , we would derive that instead of the 0.1184 used, a number 2.3 standard deviations higher, the replacement would be
8. Alternative Way of Calculating
As an alternative or check of our work, we could impose our predicted values for the differences of the inverse fine structure constants and in that way obtain a “unification scale” . If our model is right, then fitting the “unification scale” to the different differences between the three inverse fine structure constants in the standard model should lead to the same “unification scale”.
Let us as the first example take the difference . At the -scale, we have
The, the slope for the renorm group of this difference is
Now, our model—with its quantum fluctuations—says that at the “unified scale” of interest in our model, the difference, 2 to 1, shall have run to
So, the ratio of our “unified scale” to the -scale has the logarithm
We earlier obtained by different calculation giving with GeV that the “unifying scale” is GeV.
Note that the difference between the two fits to the deviate by just 0.03, while the predicted quantity 1.88 we used would give rise to a contribution to this logarithm of the order of 1.6, which is more than 50 times larger. So, we can claim that the prediction works well to about 2% accuracy.
In Table 3, we have collected similar calculations for the other two differences too.
Table 3.
Table of results for three—not indenpent—ways of using our predicted differences between the running inverse fine structure constants at “unfied scale in our model” which is the scale at which the three running differences should be equal to the numbers in line 3 or 4. These predictions are to be fullfilled at this “unified scale” which, using each of the three differences, is written in line 8, and the success of our model is really that these three numbers agree. They deviate from their average by the numbers of standard deviations (s.d.) given in line 12. The “small” deviations agree within accuracy. But more important is to compare these deviations from the common average to the ratios given in line 9, which should be the contribution from our prediction numbers translated into the numbers in , which we gave in line 8. Here, it turns out that the deviations from the average of the three numbers as written in line 12 in terms of standard deviations, when compared to these predictions divided by the running rate, are relatively small, as seen in line 11. In fact, these numbers in line 11 are at most of the order of 1/20, while the two smaller ones of them are only of the order of 1/70. This means that our prediction values turned out correctly to be better than 5%. A similar conclusion would be reached instead by the average of the three fits using the value of the fitted by directly insisting on the ratio of the differences of th the inverse fine structure constants being the one we require. This insisting on the ratio of the differences directly leads to , which is only deviating by 0.01 from the average here in the table of when wieighting with uncertaitties were used in evaluating the average (the naive average is 27.00). The difference 0.03 is only 1.5 s.d. measures and quite small compared the to the predicted corresponding shifts in the , as seen in line 9 or 10. Again, this fact ensures that our agreement, although not perfect (yet), is remarkably good.
8.1. The 2 Minus 3 Case
We could estimate the same “unification scale” logarithm similarly using another difference predicted as, e.g., .
At the -scale, we have
and this difference run with the renorm group by the rate
So, the natural logarithm of ratio is
This is to be compared with the from above and deviated by about , which with an uncertainty for the difference between the two numbers put to would be But note that even with this not-so-impressive number of standard deviations, the deviation of is compared to the number corresponding to our prediction of the value at the unified scale, which is about 30 times as small. So, our theory works in that sense to accuracy.
8.2. Superfluous Case Difference 1 to 3
Although it is just related to the two foregoing calculations, let us also explicitly calculate what our requirement for the difference 1 to 3 means:
Then,
8.3. Table
The average of the three values for turns out to be exactly within our uncertainty. The 11th line in the table gives the deviation from this average relative to the part of the value, which is due to our prediction value, so it gives the order of magnitude of the failure of our prediction relatively. Note that even the biggest of these three deviation measures relative to our predictions is only 0.052, meaning that even this deviation is only fits well in 1 out of 24 cases.
The value corresponds to that the “unification scale in our model”:
9. Critical Coupling
Now, we have without the lattice theory philosophy—see the old works and [37] in connection to our several phase speculations [38]—reached an understanding in our picture of the deviations from symmetry. It would of course be natural first to determine if the unifying coupling should be the critical one for corrected for the factor that is the number of families. This is not at all obviously the correct thing to do in our philosophy, because we have in the philosophy of the present article no true theory. It is only approximate, but it lacks half of the degrees of freedom. Nevertheless, let us for the first orientation look to compare the expression for the critical coupling given by Laperashvili, Ryzhikh, and Das [2,12]:
where we for the critical coupling take the lattice value for Wilson and Villain actions:
This gives
With the family factor , this would let us expect to be compared with the estimates from the data above. (see Figure 3 for the immediate comparizon.)
Presumably, the value to compare with is the for the unified coupling not corrected by the quantum fluctuations, which we considered at length in this paper. Now, we must remember that the -critical coupling was , resulting in uncertainty. This means for the 46 we predicted. So, the “experimental” value from our fit is only off by s.d. amounts. If there is an uncertainty in the critical coupling formula we used, in addition to the one from the uncertainty in the critical coupling for , then the deviation in standard deviations will be even smaller than the 1.6 value.
So formally, we must count the hypotesis that indeed the critical inverse unified finestructure constant should be just three times the critical one, which is very successfull! One should have in mind that, in reality, the “the critial finstructure constant” is not quite well defined, because it depends on the details of the lattice theory. (See Figure 3 for illustration.)
If we accept this agreement, we can say that we fitted all three Standar Model fine structure constants with only the unification scale, i.e., one paramter. The unification value of the fine structure constant for the was determined by the “critcallity”.
Actually, we shall even below in Section 11 claim that we can relate the approximate unification scale—the lacking parameter to predict at this stage in the article—to the top mass and the Planck scale so that at the end we shall have predicted all three parameters.
More Thoughts on the Critical Coupling and Unified Coupling
Thinking a bit deeper, we should really not take a formula for the -critical coupling without correction, because we have been claiming all through the article that in our model the symmetry and all its degrees of freedom do not exist. Rather, we should look for correcting the number for the critical value to the critial coupling for the lattice standard model group coupling.
Very crudely, we can think of the critial coupling for groups like the ones we look at to be the transition between two phases described as follows:
- An essentially classical phase, wherein the coupling is so weak-i.e., is so large that at the scale we consider (the lattice links cale) all the plaquette variables are so close to unity, that the quantum effects can just be considered perturbations, and that we basically have the classical theory working.
- A “confined” phase in which we rather have that for the first approximation the plaquette variables are distributed uniformly all over the group volume, as in the Haar measure, we could say. Of course, it will still be more likely to find the plaquette variables closer to the unit element in the group until the inverse coupling reaches zero. But for now, it is the variation in the probability density over the group that is the “small” perturbation.
If the standard model group lies as a dence network inside the in the -plet vector representation space, then the a bit-smeared volume of the standard model group would be similar to that of proper, as well as the value of the (inverse) fine structure constant at which one or the other one of the two approximations above will shift their dominance (i.e., the critical value) to be (roughly) the same as for full . But of course, the density of the net formed by the standard model group is not perfect, and thus, it will require that one goes to a somewhat stronger coupling (i.e., smaller inverse ) to give the “confinement phase” enough weight in the partition function to (barely) compete with the “classical phase”. Thus, we expect
But now we have—to be fair—to remember that the standard model group never had the quantum fluctuating degrees of freedom that the full lattice gauge theory has. It lacks at least the 12 degrees of freedom we referred to as in our calculation. So going from the standard model of “total” coupling, if such a thing existed, to the various subgroups would not corresond to taking away so many fluctuations as if one went from the full . So, the critical should not be identified with the above fitted , but rather with an inverse fine structure constant of a type that shall not have had its fluctuations in the set of -type ones removed, as we did in our formalism when constructing this “bare” inverse fine structure constant. So what we should rather identify as the implimentation of the critical coupling assumption is that a “fitted” is the one you obtain by not counting that the referred to modes be included, but only the other ones, is to be identified by the three values, which by (218) are actually only a bit smaller than . The “fitted” quantity comes actually very close to being an average of the three inverse fine structure constants from the standard model, which is rather expected, since they are in the standard model genuine gauge group. Then, if the dence network with which the standard model group covers the , there will only be little difference between the two sides in (218), and we now expect that the average of the three standard model group inverse fine structure constants at “our unification scale” essentially say that shall be a bit smaller than the critical SMG inverse fine structure constant times the three of them, which again is just a bit smaller than the three of them times the critical inverse fine structure constant for :
10. Crude Second-Order Calculation
We did in principle the above calculations only up to first-order approximation in a preturbative scheme in which the 0th-order approximation is the exact value, wherein all three standard fine structure constants are equal to each other and the first-order approximation is the one in which our corrections are considered small of first order so that the squares of the corrections can be considered negligible. The numerical order of the first-order quantities are
One unneccesary consideration of the second-order terms, which are expected to be of the order times the main term, is that we let the appearing as a factor in the s cancel with the —whichever among the s we meet. Actually, it is tempting to think that by using this lucky trick of getting rid of the parameters in the estimate of our corrections, we are likely actually to obtain a better result with respect to agreement with our calculations. Once we look for accuracies of the second order, there may be more corrections, such as the H distribtuion being not just Gaussian, and the whole program of doing the second order deserves a further article. Here, we shall only make a very crude attempt to estimate the effect of seeing what (among the three) comes into which of the fluctuations of . We shall make the assumption that the to be used for an —where it is the fuctuation in one of the basis vectors for the subgroup i of the —is . Then, we see from Table 1 that we have had relativley good luck by letting the two s cancel each other, because the value mostly contributing to the correction for the inverse fine structure constant for the standard model subgroup denoted as j is actually mostly itself. In fact, according to Table 1, the correction to
For the inverse fine structure constant is the dominant contributuion to the corrections that comes from the two non-Abelian groups, i.e., from and , but it has a bigger number from the than any of the other two groups, namely, . But since the coupling correction is so mixed, taking all the same values is not so bad.
In any case, it looks like it is only about 1/10 of the correction for the SU(2) coupling and 1/20 for the SU(3) coupling, which would be changed by being a bit more careful with which to use. The change to the more correct to use would thus increase the difference for percent-wise by
This is now to be compared with the deviation of of the value from the number in (148), which is and thus smaller than our prediction of by and relatively is . This agrees only modulo by a factor of 2.
The observed renorm group developing the fine structure constants to “our unification scale” defined from the ratios of the two independent differences of inverse couplings to be 2:3 was 4.62, i.e., smaller than the theoretical 4.71 value, but now the effect of pushing the inverse fine structure constants predicted down from their starting point in the SU(5)-symmetric limit is getting increased for the -inverse fine structure constant, because for that, the changed contribution is getting increased by our second-order correction because the value is correctly stonger than what we used at first. For the value, the is, on the contrary, above the value at “our unification” so that for the value of the contribution corresponds to a weaker value, thus giving a lower suppression compared to the naive inverse SU(5) coupling . Thus, the theoretical value should be diminshed—since the three-inverse coupling goes up by the correction and two-inverse coupling down—relatively by the . But that would bring the theoretical number to , which is close to the value.
The deviation from the only to first order result of the number derived by fitting is of the order of magnitude of the second-order estimate. So, it is important to estimate this second-order approach more carefully.
11. Speculative Relation to Planck Scale
A major problem and surprise that results if one takes our suggestion of the truly existing lattice at the approximate or our unification scale = GeV seriously is that it suggests a “fundamental” scale that is quite different from the Planck scale. To seek a way out of this problem, we propose to think of a fluctuating lattice in size of the lattice constant in the sense that we speculate that the general theory of relativity is still perturbatively treatable and rather well understood already—so that no completely speculated quatum gravity theory is needed at the scale—so that the whole lattice structure must be in a quantum superpostion state invariant under the reparametrization group from the general relativity. That is to say, with the philosophy, there are very big quantum fluctuations in the gauge that take the diffeomorphism of reparametrization symmetry as the gauge symmetry of general relativity, so we must accept that the world is in a superposition of all the possible deformations of the lattice needed for our model for the approximate GUT achieved by reparametrizations. That is to say that in a typical component in this superpostion, we find somewhere a very small lattice constant and find somewhere a very big one so that the lattice cannot exactly be a Wilson one, for example, but locally, it could still be close to a Wilson lattice. Then, of course, the lattice constant value suggested by our parameter as lattice constant could only be true in an average sense of the value
where a is some local or possibly single-link lattice constant, i.e., the length of the link in the metric of general relativity, which should still be perturbatively treatable in the range around GeV (which is a small energy amount relative to the Planck scale).
So the physical model in which we developed our more primitive lattice model, is in the rest of the article further developed into some presumably more chaotic lattice theory (a kind of glass) in which the degree of fineness varies from region to region, and one finds links of all possible sizes—at least the approximate diffeomorphism-invariant structure of the lattice. It is of course only approximately diffeomrphism-invariant by being in the superposition of having different fineness levels of the lattice at any place. From the approximate diffeomorphism-invariant structure of the lattice model in this section, we cannot avoid that the density of links of the length around a has to vary approximately as
where is the probablity of finding a random link taken out of our “chaotic lattice” within the scale in the logartihm from . A similar distribtion of the sizes of the plaquettes found in the “chaotic lattice” of this section would also have a factor in the density going as the fourth power of the inverse plaquette side size.
There is actually a divergence problem with this “chaotic lattice” as we speculate it: If indeed this density distribution should be fully true, the probablity of finding links of a specific order of magnitude would need to be zero, and all the contribtuion would come from infinitely small links or infinitely long links. So, we have to imagine that there must finally be some cut-offs for very long—not so important—and for very short links at least.
To have approximate diffeomorphism symmetry and thus also approximate-scale invariance we should have at most a very slowly varying weight factor depending on the logarithm of the link length that only very weakly breaks the scale symmetry in the range of scales we consider relevant, meaning scales between the Planck scale and macroscopic scales.
But if we shall be concrete, we would propose a Gaussian weighting as a function of the logarithm of the link length. Near the peak in the Gaussian, such a Guassian weighting is only very weakly breaking the scaling invariance, but for very large or very small scales, the Gaussian distribution of the weighting in the logarithm is enormous. But somehow, we can hope that for very small or very big link lengths, we have obtain the cut-off effectively, and there is at any rate so little chance for the links to have that size that it does not matter so much. But I think we need a cut-off in this style to be smooth for some “relevant” region and then very drastically cut off in the scales of very small a values (i.e., high energies), becuase if we did not have the strong cut-off somewhere, then attempting to play simultaneously with the extra factor for the standard model approximate value and another extra factor for describing the general relativity Einstein–Hilbert action would unavoidably lead to severe divergences.
We could say that the proposed Gaussian as a function of the logarithm is very robust by being able to cut off at the ends large and big scales of any polynomial extra factor. Then, in addition to in this means be able to cope with any extra power factor, it can be claimed in the appropriate region of scales to be rather flat so that it is not at such scales that drastically break scale symmetry.
With this very special “cut-off” assumption, it might feel necessary to make at least a little bit of a justification for it: Once we preferably have had invariance under scalings in size, it is suggested that we need a slowly varying weight as a function of the logarithm of the scale. We also like to have at the end a robust cut-off that can cut off anything polynomial, and then an exponential of a smooth function
is suggested. But then the Gaussian—which may not be so crucial exactly—is obtained by Taylor expanding the function f around the maximum, which is of course the most important region. One could as justification also say that the cut-off proposed represents a weak coupling to the metric tensor of gravity.
Then, depending on whether you have a factor for the inverse fine structure constants or a factor for the gravitational , the weighted maximum in the over-scale logarithm intergal will have somewhat different central values, i.e., central logarithms of scales.
These centers of the contributing distrbutions will be the effective lattice scales for the different weightings. So we can indeed obtain the weighted with and the gravitational scale being the central one for weight will become different by orders of magnitude. If we just at first give a name to scale , which one obtains with weight 1, then in the Taylor expansion lowest-order approximation the drag shifting will be in the ratio 6:4 so that
(whether one shall use the formal Planck constant just made by dimensional arguments from the Newton constant G or some reduced one with an extra factor extracted might be discussed, but this may just be considered an uncertainty).
11.1. Averaging over Our “Chaotic Lattice”
When we have some part of the continuum Lagrangian like the , then the contribution to it in the lattice theory—our chaotic one or just a usual Wilson lattice—comes from individual plaquettes or whichever combination of the lattice ingredients that contribute, but you therefore obtain a bigger contribution the more of these contributing objects there are per hypercubic unit volume to the coefficient in the continuum Lagrangian density.
Actually, we can use simple dimensional arguments to see how the average of the continuum Lagrangian coefficient comes about.
For the inverse fine structure constants, you simply obtain a contribution to the action from each plaquette that is independent of its size (provided you let the weighting the plaquette in the action be the same regardless of the size of the plaquette, especially with our philosophy that it should be critical a independent of the size suggested). So in terms of an integral over the logarithm of the inverse size, say , of the laticce constant or link length, we have
So, we see that we predict from the “chaotic lattice” model with its approximate scale invariance, through an essentially dimensional argument, that there shall be different effective lattice scales for the Yang–Mills theories and for gravity. (But it is of course dependent on our Gaussian in log form, which is in some sense a special cut-off, although it is suggestive.)
Figure 4 illustrates how after having inserted a strong cut off implementing weight, we obtain a distribtuion in the logarithm of the scale with a broad peak, (which we imagine is Gaussian, in this log, in the first approximation).
The main point is that the dominant or peak value for the distributions depends on the exact distribution and that the one for gravity has an extra factor . For the standard model gauge couplings, this peak scale is only of relevance via the renormalization group, while for gravity, the very size of the (inverse) coupling (also) depends on the peak value for the (logarithm of) .
It should be clarified that it is only because of some “phenomenologically” added “cut-off weight” factor that we at all manage to obtain a peaking distribution instead of some nonsencal divergent one just increasing monotomously. So, the picture we propose is really dependent on there being some cut-off of this type, and this cut-off has to be considered some sort of “new physics”, even though we escape from assuming many details about it, except that it is smooth in the logarithm of the scale and sufficiently strong to cause the convergence (preferably exponential in form but with a low coefficient on the function, say , in the exponent).
Let us now suppose that by including this “new physics” weight, there is a scale that we call for which the density of plaquettes or links counted per link-size volume is maximal. Then if we do not put the factor or on as we did above, then the peak of the so-called “weight” would be at , or we should say , when thinking of the plotting with along the abscissa, as seen in Figure 4.
Now, in the approximation of the “weight” distribtuion being Gaussian in the logarithmic scale and noticing that the extra factors and from the logarithmic abscissa point of view are linear terms in the exponents and , which will shift the peak from by amonts respectively proportional to 4 and 6, we see that
11.2. On the Maximum Before the Powers in Factors
In seeking to guess what to take for the maximum density scale , when no extra factor like the or , we should have in mind that the density of plaquettes in a volume (in four space) of a size like the plaquette or link is indeed what we called the number of “layers”, which again were identified with the number of families, or at least this density of plaquettes in the range associated with a plaquette is proportional to the number of layers.
Since we identify by our hypothesis the number of layers with the number of families, we take the number of layers at different scales to reflect the number of families being present as fermions with negligible mass at the various scales. That is to say that in the range of scales of the quark and (charged) lepton masses, we have a region of scales where as one goes down in energy, one loses more and more families. With such a philosophy of only counting the effectively massless fermions at the scale, we may—using a table like Table 4—extrapolate to a scale with a maximal number of families and take that as ; we could take it close to the mass of the most massive quark or lepton, seen at the top. Actually, as seen in Table 5, putting as the top quark mass is close to satifying our prediction (241). Fitting to make our prediction (241) be exact would require a slightly higher energy scale for .
Table 4.
Here, we list the charged quarks and leptons exposing their masses and the natural logarithms of the latter with the purpose of very crudely using them to extrapolate to scale the at which the number of that scale of effectively massless flavors would be maximal. This scale is presumably very close to the top mass, since just above , all the quarks and leptons are effectively massless. But how high above we shall expect the maximum for the purpose of our lattice remains speculative.
We consider this to be as close to a successful agreement for theoretically explaining the “unification scale” of our approximate .
11.3. Ambiguity of Concept of Planck Energy Scale Reduced?
In reduced Planck units, the Planck energy GeV from unreduced Planck units is divided by so as to obtain
Now, however, we must ask: What is it that gives us a scale in the sense of the studies of the running couplings? The ratio of the reduced Planck energy relative to the logarithmically averaged charged lepton masses is
Had we not used the reduced Planck energy, but the usual one, we would have obtained the logarithmic distance from the quark and charged lepton mass scale to the Planck one up to bigger so that it would go from the 44.15 value up to 44.15 + 1.612 = 45.76 value. Then, we would obtain the ratio changed to
In fact we think we can argue that this latter choice is not the correct one, because the or usually comes from the differnce in the coefficient to a Coulomb field and the charge appearing in the field theory action. When we have just used the fermion masses without any -like correction, we associate it with the simple relation , while if we would like the Yukawa field around the Higgs particle, we would get a factor in. So, the simple masses correspond we could say to the Yukawa coupling being used for unit and not the alternative . So this means that
This argues for the reduced as the right one to use to not introduce unjustified extra factors.
We could also have argued that the nice scheme of the standard model with its gauge fields and three families is spoiled when already going down in energy at the Higgs scale so that we should not come up with these logarithmically averaged fermion masses but just use the mass instead; then, our ratio would be a bit simpler to compute:
11.4. Table of Combinations
The most important outcome of the fluctuating-size-of-links lattice we propose is that it gives us the possibility of having a Planck scale very different from the “unification scale” and still claim a “fundamental” lattice at the unification scale. But we would of course like to see if the order of magnitudes are at all thinkable. We therefore in Figure 4 illustrate how we imagine a smooth Gaussian distribution in the logarithm of the link length.
Description of Figure 4: Here, the number densities of links or of plaquettes in a small length range of say a percent counted or weighted in different ways. The curve “original” is for counting this number density as the number in 4-cube size proportional to the link length range which is being counted. In the two other curves, the “original” density has been weighted with, respectively, the inverse fourth power of the link length a and the sixth power. For all three curves, it is the logarithm of the density, which is plotted, and a Gaussian behavior as function of the logarithm of the inverse length of the link is assumed as suggestive example. Plotted with logarithmic ordinate of course, a Gaussian distribution looks like a downward pointing parabola, and the three curves are meant to be such downward pointing parbolas. It is trivial algebra to see that weighting the density counted the “original” way by and , the logarithms of which are linear in , just leads to displacements of the p parbolas but leaves their shapes the same. For the fine structure constants or, say, our approximate , it is the total number of plaquettes equivalent to the weighting with that counts, and the effective lattice link size for our approximate model should thus be the tip of the distribution with the “extra factor ”. The abscissa of this tip is therefore marked by the symbol (with a written by the curve progarm). Because the Einstein–Hilbert action has a dimension 2 different behaviors from just the counting plaquettes, it is the abscissa of the tip of the parabola, which had an weighting relative to the “original”, which means the effective lattice link size for the extraction of the Planck scale energy. One shall note from figure or the trivial algebra that by denoting the abscissa for the peak of the “original” by , then the pushing of this tip energy scale by the two different linear extra terms in the logarithm by and , respectively, makes displacements in the dominant (energy) scale by terms in the logarithm be in the ration 4:6 = 2:3. This means the prediction
But we have to guess, e.g., or to use this.
Figure 4.
As function of the logarithm of the scale—given as energy being the inverse of the link length —we give here the (1) density of links per links-length to the fourth, (2) this density multiplied by that is the contribution to the Lagrangian dentity for Yang–Mills theories, (3) the first density multiplied by that is the density of contribution to the Einstein–Hilbert Lagrangian density. See also the text. In our approximation, we assume these densities to be Gaussian, and with the logarithmic ordinate, these Gaussians are parabolas pointing downwards.
Figure 4.
As function of the logarithm of the scale—given as energy being the inverse of the link length —we give here the (1) density of links per links-length to the fourth, (2) this density multiplied by that is the contribution to the Lagrangian dentity for Yang–Mills theories, (3) the first density multiplied by that is the density of contribution to the Einstein–Hilbert Lagrangian density. See also the text. In our approximation, we assume these densities to be Gaussian, and with the logarithmic ordinate, these Gaussians are parabolas pointing downwards.

11.5. Variants of the Relation Planck Scale to “Our Unified”
In fact, the scales and also the “Planck scale” do not come in precisely from our physics and are at best order of magnitude-wise determined. The scale should be where the effective number of families is having it maximum, but is this effective number of families of an order of three from the top mass and up to infinity? So, we only know . And for the Planck scale, we shall in fact claim that it would be expected that the reduced Planck scale (including the often-associated to G before using dimensional arguments to construct an energy scale) is actually more reasonable to use.
11.6. How Well Does Our Relation Agree?
In Table 5, we combine our fit obtained value of “our unification scale” = GeV with some reasonable suggestions for the two less well-defined scales and the “Planck scale”.
Table 5.
Table with = GeV of = .
Table 5.
Table with = GeV of = .
| Name | |||
|---|---|---|---|
| = | = GeV | ||
| mass | 1.4579 | 1.3968 | |
| = 91.1876 GeV | |||
| Av. fermion mass | |||
| = 163 MeV | 1.3711 | 1.3216 | |
| Top quark | |||
| = 172.52 GeV | 1.4689 | 1.4079 | |
| Fitted | |||
| = 24.231 TeV | 1.5769 | 1.5 (exact) |
11.7. Fitted
Alternatively to just guessing good ideas of what our scale at which the density of the size of the scale is maximal by counting its own link length as a unit, we can simply fit what we would like this scale to be and then possibly build up a story of what it should be of that order. Such a fitting of the scale would simply mean that we solve the equation of our prediction, say
The choice of that would make the prediction perfect can be as seen from the table and our calculation of 24 TeV, which is higher than the top quark mass only by a factor of . Very speculatively, one could attempt to construct some fitting of the density as a function of the scale fermions and still effectively find the massless scales considered. Above the top mass of course, the effective number of massless fermions at the scale correspond to three families, but below the top quark mass, there is a 1/3 or 1/4 value of a family missing, and one could claim that just below the top mass, we have some 3 and 1/4 or 3 and 1/3 families left and then crudely estimate in this spirit if one could fit the (non-integer) number of families to a function reaching a bit above the top mass a maximum of three families. Then, this maximum in a curve taken as a function of the logartihm of the scale would have its maximum with value three families very close to our desired TeV. (which is most welcome to make gravity scale match our model).
Such a very crude and somewhat arbitrary extrapolation might be this:
First have in mind that the derivative of the number of “effectively massless” fermion families as function of the logarithm of the scale is given by the “density of the fermions with mass at that scale” = “density of species”.
On a logarithmic mass scale, there is a “density of species” of 1 over a scale dististance , meaning a density = 0.166 per e-factor. The center of this interval is the geometric mean of 172.25 GeV and 4.180 GeV, which is 26.83 GeV. Next, take the interval beteen the b-mass and the s-mass, which has length and contains two species of quarks and three species fermions if we include the -lepton. This means that for this region around GeV = 0.630 GeV, we have a density of quark species of . This density is 3.184 times bigger than in the interval between t and b. If the deviation from the maximal number three of the number of families at the scale being seen as massless were varying with the logarithm of the scale quadratically counted out from some center value of the scale, then the slope of it would be in fact the “density of species” and would vary linearly, and we should just extrapolate the density to the point where it passes zero to find the maximum point for the formal number of massless families. In logarithmic terms, the distance between the two points we considered is , and the linear extrapolation leads to zero for the slope point displaced upward from the 26.83 by the exponential of 3.75/(3.184 − 1) = 1.717 that gives 149.4 GeV. It is actually very close to the top mass. Now we see that if we take the difference between the two possibilities we mention in the table for the Planck scale as an estimate of the uncertainty of only the order of magnitude numbers, then this uncertainty for the ratio given in the table is of the order 0.06. But actually, the best of the points for the top mass as deviates only by 0.03 from the predicted 1.5, so we must say that we should take it as agreement within expected uncertainty.
In any case, we have shown how a fluctuating lattice size can speculatively solve our problem that the unification scale is quite different from the Planck energy scale in spite of the fact that we want a common lattice to describe them both.
12. Conclusions
We have succeeded in constructing a lattice model picture in which we fit the three fine structure constants in the standard model by three parameters, which have limited accuracy predicted by various assumptions of the model. What we consider to be the most important is that we suggest that the way that the smallest representation used as the link variables for the standard model group—understood as the global group structure in the O’Raifeartaigh sense [27] and not only the Lie algebra sense—in fact links, this also could have been an representation, and therefore, the model obtains an approximate symmetry when we impose the usual trace action. We then took that this first approximation of symmetry of the classically treated simple trace action was broken by quantum fluctuations, which are of course only present for those fluctuations and are true standard model group degrees of freedom, while the degrees of freedom which are only in but not in the Standard model group do not contribute quantum corrections to correct the fine structure constants in our model, wherein they do not exist. It is this quantum correction breaking of the symmetry (the relation between the couplings is only valid in the classical approximation) that brings the deviations from GUT theories without help from additions as SUSY, and indeed, we “predict” in our model not only ratios of the shifts caused by the quantum fluctuation for the three different standard model inverse fine structure constants but also the absolute size of the corrections. So even if we used the ratio of the corrections to fit the pseudo-unified scale, or let us say “our unification scale” , then it is still a prediction that we know the size of the correction from precise unification. This prediction—it must be admitted—contains a factor of three being the number of families. Really, it is the number of parallel lattices supposed to exist in nature—that is, three—so the connection to the number of families is that there would be by assumption one layer (one of the Wilson lattices lying in parallel) for each family of fermions (with each family being its own “layer”).
The success of this prediction of the deviation from GUT by quantum corrections actually fits to the experiment-fitted fine structure constants at the (-mass scale) within uncertainties! And this is quite remarkable, because these uncertainties for the three inverse fine structure constants in the standard model are much smaller by a factor of the order of 50 than the corrections due to the quantum fluctuations, as we predicted.
This is due to the high accuracy with which the fine structure constants are nowadays known that we can find such good agreement compared to our quantum corrections, because these corrections are indeed about 10 times smaller than the typical inverse fine structure constant, which is of the order 40, while our correction is of the order of 1 times the important “unit” for our corrections . In fact, we predict, e.g., the difference between the inverse fine structure constants at “our unification scale” () such as
and the uncertainty in these inverse fine structure, e.g., the is , so the deviation of is only in s.d. (s.d. = standard deviations), and if we count two similar numbers, the estimated uncertainty would be = and we would have 1.3 s.d. Our deviation and uncertainty are of the order of a factor 52 smaller than the quantity of deviation 4.62, which we found!
It would in itself be interesting just to leave the two further parameters, namely, the unified coupling for the and the scale of this approximate unification, because we would even then have an interesting relation between the fine structure constants.
12.1. The Further Two Parameters
But we also have formally manged to find assumptions so that these two further parameters are fitted within the now somewhat smaller accuracies:
- The Unified Coupling as Critical CouplingWe managed to claim that the unified coupling is indeed the critical coupling for the non-existent in our model. So in a way, there is the little worry with this prediction that for the lattice gauge thoery, we use the critical coupling, but this theory is not truly present in our model. One should possibly replace the critical couplng by one with a modified and the degrees of freedom cut down to those of the standard model—like it is in our model—but such a correction would make the critical coupling be stronger (i.e., lower ), and that would make the fitting with this critical coupling being the unified one a worse prediction. So after such an improvement, our unified coupling prediction would not work so well if this was all we did. But if one starts from a standard model group critical coupling, then one should not make the quantum corrections as if it were a full value. When we also correct the quantum correction for the standard model group, then it actually seems to agree better.
- Relation of the Unified Scale to the Planck ScaleOur story behind our formality within the errors relating our model to a unified scale—at which our corrections are to be applied—to the Planck scale may be a bit too much derived with guesswork to be truly convincing. Thus, this part of the work should, rather than being an attempt to find a third predicted parameter, namely, the unification scale, be taken as a needed story for rescuing our model against a severe problem: Our unification scale should like the lattice scale be the fundamental scale in our model. But that is not so good, because this “unification energy scale” is much lower than the presumably fundamental scale of gravity—the Planck energy scale.
12.2. Problem with Planck Scale in Our Model
In the references [28,29], we have made progress on the fluctuating lattice, which is meant to help with the problem of unified and Planck scales not matching.
The problem with the Planck scale comes about like this:
It is not surprising that this unified scale turns out, like in all GUT theories, to be appreciably smaller than the Planck scale, and in our theory, it is even compared to usual unification to be a bit small:
However, the real problem is that we suggest to have a lattice that is taken seriously to exist in nature, and we would seemingly loose ordinary continuum manifold physics for smaller distances than , and the seemingly approximate well-working generel relativity taken classically at such scales would already be considered as a quantum gravity; in addition, we would find it a priori non-attractive to have several (two) fundamental scales ( and the Planck energy scale).
12.3. Gravity Has to Be “Weak” on Fundamental Scale
This may bring us some message about gravity: We have to invent a story that gravity is for some reason very weak compared to the fundamental scale expectation. Our described model has as a philosophy that the unified scale—which remains low compared to the Planck scale in energy—is the “fundamental scale”! You might speculatively think that the (with upper indices) has appeared as a kind of spontaneous breaking of, e.g., diffeomorphism symmetry, and thus has a chance to be small (often one finds relatively small spontaneously breaking fields; otherwise, it would not be so common with low temperature superconductivity that it is a big sensation to find high temperature superconductivity). If this is small compared the our fundamental lattice, then compared to this lattice, the with lower indices will be large, and thus, the length of a lattice link would be big. This bigness would be big compared to the Planck constant, and so obtaining by some spontaneous breaking story would help bring about the lack of coincidence of our fundamental scale with the Planck one [39].
Although this idea of having represent a spontaneous symmetry breakdown and be “small” for that reason seems attractive to me, we shall in this article rather seek to solve the problem with the Planck scale being different from “our unified one” by the idea of fluctuating the lattice link size described in next subsection.
12.4. Fluctuating Lattice Scale
A priori, it seems somewhat incongruent that our theory taken seriously wants a fundamental scale with a lattice already at the approximate unification scale GeV, while we a priori would expect the fundamenntal scale at the Planck scale, especially for the gravity itself, when we even seek to uphold a principle of critical coupling constants. If a lattice gravity should have in one sense or another a critical coupling, then the lattice should roughly be of the Planck scale lattice constant. The speculation solution that almost has to be needed is that of the a scale fluctuating lattice like this or something similar.
At around the “unifying scale”, the gravitational fields must behave classically to a very good approximation, except that a gauge degree of freedom would tend to fluctuate infinitely (actually Ninomiya Förster and myself [33] even would let such strong quantum fluctuation be the reason for the exact gauge symmetry) because there is a lack of terms in the Lagrangian sense that can keep the gauge to a fixed one, except to by hand put in gauge fixing terms, but they are of course not physical.
This then means that we must think in a gravity containing theory of the lattice fluctuating being dense with a small lattice constant somewhere in the Riemann space–time and large somewhere else. In that case, we must imagine that the “observed” lattice scale (for our model, the GeV) will be some appropriate average over a highly fluctuating lattice constant size. We would expect the local lattice scale to fluctuate with a distribution that would be an approximately flat distribution in the logarithm of the lattice constant, because the diffeomorphism group contains scalings, and the Haar measure for a pure scaling symmetry subgroup would suggest smooth logarithm distribtution. But now, while the averaging of the Yang–Mills Lagrangiam over a distribution of scales with a smooth distribution in the logarithm would be weighted in a slowly varying way, the gravity action of the Einstein–Hilbert one varies with a power law with the scale of the lattice if you, as we had success with, assumed a critial coupling. This would then lead to the average size of the lattice link or plaquette structures contributing dominantly to gravity action that would be much smaller than the ones contributing to the Yang–Mills fields action.
This could suggest a mechanism for the seeming fundamental scale (=lattice constant size scale) for gravity that would be much higher in energy than for the Yang–Mills theories.
A fluctuating lattice might provide a natural explanation for the much smaller Planck length than the length scale at the Yang–Mill.
12.5. Baryon Non-Conservation?
Our theory is in danger of inheriting baryon decay in analogy to the usual grand unification theories, but at least the gauge particles in the theory are not in one of the standard model groups that are also supposed not to exist in our scheme, so the obvious diagram with an exchange of such an gauge particle is missing in our model. Actually, some four fermion interactions are in our model that could give the baryon violation, but such an interaction would have a dimension similar to that of the Einstein–Hilbert action, and thus, the interaction of such a type violating baryon number conservation would be suppressed as a term in a Lagrangian sense of high order with Planck energy as the energy unit. At least that is what happens in our model just using our cut-off scheme as we did with gravity (fluctuating lattice scale). Whether our Gaussian in log weighting can be assumed sufficiently consistently to suppress the baryon number violation to cope with the bounds on proton decay may deserve study in a later work, but at first it looks like it works and gives sufficient suppression.
When we in this way have no other breaking of the baryon number than via the instantons present in the standard model, this means that our model points toward baryon assymetry that should be caused via lepton assymetry. We only obtain the instant baryon number variation to wash away any previous baryon number assymetry unless there is lepton number assymmetry. But this pointing to the baryon assymetry coming from lepton assymetry is not an absolute must, because the baryon number conservation is still only an accidental symmetry in our model; we only got rid of the true SU (5) so to reconcile the violation of baryon conservation.
That we have a seesaw scale much lower than the Planck scale may also encourage us that even baryon violation could exist too if it could help the assymetry without making decays. But we do favor lepton assymetry as the mechanism.
12.6. Is Approximate Scale Invariance a Dirty Assumption?
Of course, when we claim what we in this fluctuating lattice model claim—that we have at least approximate scale invariance—this symmetry is nevertheless broken so much that the size distribution of the numbers of lattice links, or of lattice plaquettes, has a maximum at some finite scales—even in order of magnitude—depending on the exact weighting, which sounds a bit dangerous and can only be true approximately. The means that if you include some extra power of the (inverse) link length , it can shift the maximum in the size distribution from, e.g., “our unifying scale” to the Planck scale. It also involves some physical effect or principle that performs the necessary very strong suppression of links or plaquettes being stronger and stronger the smaller the link or plaquette.
At first, it looks like breaking reparametrization invariance in general relativity, which does not sound nice. But we must postpone this problem having now just admitted that there is a problem, that would need more detailed modeling, and most likely, such improved models would be too complicated to be believable.
12.7. Our Progress Compared to Our Earlier Works
One way of looking at the progress of the present work is to think of it as an updated version of the work by Don Bennett and myself [21], which seeks to obtain all three fine structure constants from criticality at the Planck scale and the anti-GUT type of model with the gauge group being a cross-product of three isomorphic standard model groups. But in the old works, we had to use extra assumptions regarding the fine structure constant. In the present article, this value has been replaced by the approximate value so that it seems more natura, and not so specially just making some story for alone.
12.8. Outlook
12.8.1. The Dream of Exact Formula for
Of course, behind such fittings of fine structure constants is the holy grail dream of finding the mathematical formula for the (electrodynamics) fine structure constant, because that is so well known—with many decimals—that it contains so much infromation [40] that one could hope to justify a theory to be correct if it fitted the fine structure constant in a sufficiently simple way (with the many decimals). A work like the present would suggest restrictions on the form of the formula for the fine structure constant and thereby make a bit more complicated formula be acceptable as convincing provided it were of the right form.
But to make a formula without from phenomenology included expressions possible, we would of course need to have the Higgs and the fermion masses connected, and for the time being, the usual philosophy is that the Higgs scale is a pure mystery and that it needs a solution to the hierarchy problem to be possible at all. Some different philosophies, e.g., a coupling of the weak scale or Higgs scale to the development of the renorm group (e.g., the top quark mass) are needed; one example is our [41,42] paper applying the complex action theory from [43].
12.8.2. Could the Seesaw Scale Be Identified with Our Unifcation Scale?
It is characteristic of the our unified scale for the only approximate that it is a bit to the low side in energy to even unified scales in other models (especially if they are models with SUSY), and furthermore, it is the spirit of our model that our unification scale is a lattice scale—or some dominating average in a fluctuating lattice link size—so it is only GeV. So, this puts us in the direction of asking if the seesaw mass scale could be the same as our unification scale.
The neutrino mass square differences are for the atmospheric neutrino mass square difference and the solar one
indicating masses of the order of magnitudes and . With a typical charged fermion mass in the standard model being of a mass of 1 GeV, you would expect by dimensional arguments a seesaw neutrino mass of the order
If we take it that the spread in the charged fermion masses from the electron mass GeV and if the top quark 174 GeV implies that our typical charged fermion mass shall be considered to have 2 to 3 orders of magnitude of uncertaity, implying by the squaring in going to the seesaw mass a doubling in the numbers of orders of magnitude, then the seesaw scale is
So if we believe in a lattice already at the , we can look for replacement of the seesaw neutrinos by some lattice effects.
12.8.3. Small Hierarchy by the Charges from
If our model were right, one would look to understand the charged fermion masses along the lines of our old work with Yasutaka Takanishi and Colin Froggatt [14], while the neutrino oscillations would be related to the lattice of effective lattice scale only by .
12.8.4. Modification of Accurate Standard Model Results
The idea of the fluctuating lattice put forward above and the hypothesis that the lattice truly exists means that ideal standard model perturbative calculations studied with high accuracy, such as the famous anomalous magnetic moment calculations, would be modified, because they should be performed with truly exisitng lattices, which only have finite link lengths. In fact, in the philosophy of the fluctuating lattice stricly speaking is the central value for the link distribution about the top mass or better defined as , which means that corrections to ideal perturbation theory would be much closer than if the most fundamental scale had been the Planck scale.
Also, it would be very great of course if one could experimentally somehow explore the non-locality due to relatively seldom-found lattice links of exceptionally large lengths. Indeed, such effects also should be much more accesible if the present fluctuating lattice was true compared to say if the Planck scale were the fundamental scale.
Funding
This research received no external funding.
Data Availability Statement
No new data were created or analyzed in this study. Data sharing is not applicable to this article.
Acknowledgments
I am thankful to the Niels Bohr Institute, and then I am thankful for all the discussions during the earlier related works, although some of it now took place many years ago with Niels Brene, Don Bennett, Larisa Laperashvili, Ivica Picek, and other important collaborators together who were very close to the same subject of combining Anti-GUT and GUT, including D. A. Ryzhikh and C.R.Das. I remember that Svend Erik Rugh was the first to tell me that the SU(5) GUT coupling was critical (for SUSY-GUT) when the unified coupling inverted is down to and closer to just one of the abovementioned critical (217), , but without a factor three. I thank the referees for their small additions, e.g., in Section 1.1 and Section 12.8.4.
Conflicts of Interest
The author declares no conflicts of interest.
Note
| 1 | O Raifeartaigh points out that by choosing the group among the set of groups with the given Lie algebra, which is “smallest” and thus has the fewest representations but still has the representations used by the fermions and the Higgs(es), one can claim that one selected the gauge group for the used theory with its fermions. So in a sense, it can be given in this way to the standard model group, and it turns out to be , meaning the group of matrices is composed along (and around) the diagonal and a , and then we impose the condition—symbolized by the “S”—of the determinat of the whole matrix, wherein gets selected as having the smallest faithfull representation among all groups. |
References
- Laperashvili, L.V.; Nielsen, H.B.; Ryzhikh, D.A. Phase Transition in Gauge Theories and Multiple Point Model. Phys. Atom. Nucl. 2002, 65, 353–364. [Google Scholar] [CrossRef]
- Laperashvili, L.; Ryzhikh, D. [SU(5)]3 SUSY unification. arXiv 2001, arXiv:hep-th/0112142v1. [Google Scholar]
- Volovik, G.E. Introduction: Gut and Anti-Gut. In The Universe in a Helium Droplet; Oxford University Press: Oxford, UK, 2009; pp. 1–8. [Google Scholar] [CrossRef]
- Picek, I. Critical Couplings and Three Generations in a Random-Dynamics Inspired Model. Fizika B 1992, 1, 99–110. [Google Scholar]
- Bennett, D.L.; Laperashvili, L.V.; Nielsen, H.B. Fine structure Constants at the Planck scale from Multiple Point Prinicple. In Proceedings of the Tenth Workshop What Comes Beyond the Standard Models, Bled, Slovenia, 17–27 July 2007. Bled Workshop Volume 8, No. 2. [Google Scholar]
- Bennett, D.; Nielsen, H.B.; Picek, I. Understanding fine structure constants and three generations. Phys. Lett. 1988, B208, 275. [Google Scholar] [CrossRef]
- Nielsen, H.B. Random Dynamics and Relations Between the Number of Fermion Generations and the Fine Structure Constants; Acta Physica Polonica Series B(1); Crakow School of Theoretical Physics: Zakopane, Poland, 1989. [Google Scholar]
- Nielsen, H.B.; Brene, N. Proceedings of the XVIII International Symposium on the Theory of Elementary Particles, Ahrenshoop, Germany, 21–26 October 1985; Bennett, D.L., Brene, N., Mizrachi, L., Eds.; Institut fur Hochenergi-physik, Akad. der Wissenschaften der DDR: Berlin/Zeuthen, Germany, 1985. [Google Scholar]
- Nielsen, H.B. Confusing the Heterotic String. Phys. Lett. 1986, B178, 179. [Google Scholar]
- Bennett, D.L.; Nielsen, H.B. Predictions for Nonabelian Fine Structure Constants from Multicriticality. arXiv 1993, arXiv:hep-ph/9311321. [Google Scholar]
- Nielsen, H.B.; Takanishi, Y. Baryogenesis via lepton number violation in Anti-GUT model. Phys. Lett. 2001, B507, 241–251. [Google Scholar] [CrossRef]
- Laperashvili, L.V.; Ryzhikh, D.A.; Nielsen, H.B. Phase transition couplings in U(1) and SU(N) regularized gauge theories. Int. J. Mod. Phys. 2001, 16, 3989–4009. [Google Scholar] [CrossRef]
- Das, C.R.; Froggatt, C.D.; Laperashvili, L.V.; Nielsen, H.B. Flipped SU(5), see-saw scale physics and degenerate vacua. Mod. Phys. Lett. 2006, A21, 1151–1160. [Google Scholar] [CrossRef]
- Froggatt, C.D.; Nielsen, H.B.; Takanishi, Y. Family replicated gauge groups and large mixing angle solar neutrino solution. Nucl. Phys. B 2002, 631, 285. [Google Scholar] [CrossRef]
- Nielsen, H.B.; Takanishi, Y. Five adjustable parameter fit of quark and lepton masses and mixings. Phys. Lett. B 2002, 543, 249. [Google Scholar] [CrossRef]
- Nielsen, H.B.; Froggatt, C.D. Masses and mixing angles and going beyond thye Standard Model. In Proceedings of the 1st International Workshop on What Comes Beyond the Standard Model, Bled, Slovenia, 29 June–9 July 1998. [Google Scholar]
- Borstnik, N.S.M.; Nielsen, H.B.; Lukman, D. Blejske Delavnice Iz Fizike Letnik 2. What Comes Beyond the Standard Model. Available online: http://bsm.fmf.uni-lj.si/bled2015bsm/talks/BledVol16No2procFinal.pdf (accessed on 21 November 2024).
- Froggatt, C.D.; Nielsen, H.B. Hierarchy of quark masses, Cabibbo angles and CP violation. Nucl. Phys. B 1979, 147, 277. [Google Scholar] [CrossRef]
- Nielsen, H.B.; Takanishi, Y. Neutrino mass matrix in Anti-GUT with see-saw mechanism. Nucl. Phys. B 2001, 604, 405. [Google Scholar] [CrossRef]
- Froggatt, C.D.; Gibson, M.; Nielsen, H.B. Neutrino masses and mixing from an SMG × U(2)2 model. arXiv 1998, arXiv:hep-ph/0012333. [Google Scholar]
- Bennett, D.L.; Nielsen, H.B. Gauge Couplings Calculated from Multiple Point Criticality Yield α−1=137±9: At Last, the Elusive Case of U(1). Int. J. Mod. Phys. 1999, A14, 3313–3385. [Google Scholar] [CrossRef]
- Georgi, H.; Glashow, S.L. Unity of All Elementary-Particle Forces. Phys. Rev. Lett. 1974, 32, 438. [Google Scholar] [CrossRef]
- Masiero, A.; Nanopoulos, A.; Tamvakis, K.; Yanagida, T. Naturally Massless Higgs Doublets in Supersymmetric SU(5). Phys. Lett. B 1982, 115, 380–384. [Google Scholar] [CrossRef]
- Nielsen, H.B.; Bennett, D. Seeking a Game in which the standard model Group shall Win. 33 pages Part of Proceedings, 14th Workshop on What comes beyond the standard models?: Bled, Slovenia, July 11–21. 2011. Bled Workshops Phys. 2011, 12, 149. [Google Scholar]
- Nielsen, H.B. Small Representations Explaining, Why standard model group? PoS(CORFU2014)045. In Proceedings of the Corfu Summer Institute 2014 School and Workshops on Elementary Particle Physics and Gravity, Corfu, Greece, 3–21 September 2014. [Google Scholar]
- Nielsen, H. Dimension Four Wins the Same Game as the Standard Model Group. Phys. Rev. D 2013, 119245261. [Google Scholar] [CrossRef]
- O’Raifeartaigh, L. The Dawning of Gauge Theory; Princeton University Press: Princeton, NJ, USA, 1997. [Google Scholar]
- Nielse, H.B. Fluctuating Lattice, Several Energy Scales to Appear in: Bled Workshop Beyond the Standard Models. Mankoc-Borstnik, N., Khlopov, M., Kleppe, A., Nielsen, H.B., Eds.; 2024. Available online: http://bsm.fmf.uni-lj.si/bled2023bsm/ (accessed on 21 November 2024).
- Nielsen, H.B. Remarkable Scale relation, Approximate SU(5), Fluctuating Lattice. arXiv 2024, arXiv:2411.03552v1. [Google Scholar]
- Niyazi, H.; Alexandru, A.; Lee, F.X.; Brett, R. Setting the scale for nHYP fermions with the Lüscher-Weisz gauge action. Phys. Rev. D 2020, 102, 094506. [Google Scholar] [CrossRef]
- Nielsen, H.B. What Comes Beyond the Standard Models. 2019. Available online: http://bsm.fmf.uni-lj.si/bled2019bsm/talks/HolgerTransparencesconfusion2.pdf (accessed on 21 November 2024).
- Bennett, D.L.; Nielsen, H.B.; Brene, N.; Mizrachi, L. The Confusion Mechanism and the Heterotic String. In Proceedings of the 20th International Symposium on the Theory of Elementary, Budapest, Hungary, 20–25 July 1987. Particles, 361 (exists KEK-scanned version). [Google Scholar]
- Foerster, D.; Nielsen, H.B.; Ninomiya, M. Dynamical stability of local gauge symmetry Creation of light from chaos. Phys. Lett. B 1980, 94, 135. [Google Scholar] [CrossRef]
- Lepage, G.P.; Mackenzie, P.B. Viability of lattice perturbation theory. Phys. Rev. D 1993, 48, 2250. [Google Scholar] [CrossRef]
- Vege, H.M.M. Solving SU(3) Yang-Mills Theory on the Lattice: A Calculation of Selected Gauge Observables with Gradient Flow. Master’s Thesis, Faculty of Mathematics and Natural Sciences University of Oslo, Oslo, Norway, 2019. [Google Scholar]
- Alford, M.; Dimm, W.; Lepage, G.P.; Hockney, G.; Mackenzie, P.B. Lattice QCD on Small Computers. Phys. Lett. B 1995, 361, 87–94. [Google Scholar] [CrossRef]
- Feruglio, F. Fermion Masses, Critical Behavior and Universality; Springer: Berlin/Heidelberg, Germany, 2023. [Google Scholar]
- Nielsen, H.B.; Froggatt, C.D. Connecting Insights in Fundamental Physics: Standard Model and Beyond Several degenerate vacua and a model for DarkMatter in the pure Standard Model. In Proceedings of the Corfu Summer Institute 2019 School and Workshops on Elementary Particle Physics and Gravity (CORFU2019), Corfu, Greece, 31 August–25 September 2019; Volume 376. [Google Scholar]
- Nielsen, H.B. Deriving Locality, Gravity as Spontaneous Breaking of Diffeomor-phism Symmetry. In Proceedings of the 26th Workshop What Comes Beyond the Standard Models, Bled, Slovenia, 10–19 July 2023. [Google Scholar]
- Nielsen, H.B.; Rugh, S.E.; Surlykke, C. Seeking Inspiration from the Standard Model in Order to Go Beyond It. arXiv 1994, arXiv:hep-th/9407012. [Google Scholar]
- Nielsen, H.B. “Relations Derived from Minimizing the Higgs Field Squared (Integrated Over Space-Time)” Talk at Rudjer Boskovich Institute: Institut Ruder Boskovic ZAVOD ZA TEORIJSKU FIZIKU Bijenicka c. 54 Zagreb, Hrvatska. Available online: https://indico.cern.ch/event/1426375/contributions/6037581/attachments/2919472/5124072/Nielsen_scales7c.pdf (accessed on 21 November 2024).
- Nielsen, H.B. Complex Action Support from Coincidences of Couplings. arXiv 2011, arXiv:1103.3812v2. [Google Scholar] [CrossRef]
- Nielsen, H.B. Remarkable Relation from Minimal Imaginary Action Model. arXiv 2011, arXiv:1006.2455v2. [Google Scholar]
Disclaimer/Publisher’s Note: The statements, opinions and data contained in all publications are solely those of the individual author(s) and contributor(s) and not of MDPI and/or the editor(s). MDPI and/or the editor(s) disclaim responsibility for any injury to people or property resulting from any ideas, methods, instructions or products referred to in the content. |
© 2025 by the author. Licensee MDPI, Basel, Switzerland. This article is an open access article distributed under the terms and conditions of the Creative Commons Attribution (CC BY) license (https://creativecommons.org/licenses/by/4.0/).


