Abstract
Due to the Askaryan effect, radio emissions will be produced when ultra-high-energy (UHE) cosmic rays and neutrinos impact the lunar regolith. Many experiments have been proposed and performed to detect such radio emissions from the lunar regolith. However, none of the Cherenkov radio signals has been detected in these experiments up to now. In order to improve the detectability of the UHE particles, we proposed an experiment to carry out the radio observations of the UHE cosmic rays and neutrinos with two 30 m telescopes for a far longer time than the present experiments. The expected sensitivity for the detection of such UHE particles has been calculated, both for cosmic rays and neutrinos. The results show that a few UHE particle events above 1020 eV could be detected with the expected observation time of several thousand hours.
1. Introduction
The study of ultra-high-energy (>1018 eV) particles is of great interest in high-energy astrophysics and particle physics. However, the origin of ultra-high-energy cosmic rays (UHECRs) remains unknown, largely due to their deflected trajectories caused by cosmic magnetic fields. Another reason is that the UHECRs of energy above ∼1019.6 eV will interact with the cosmic microwave background (CMB) and lose a substantial amount of energy within tens of megaparsec (Mpc). This Greisen–Zatsepin–Kuzmin (GZK) effect results in a steepening of the cosmic ray spectrum at this energy [1,2,3], which has been identified by the Auger and HiRes experiments [4,5]. The universe becomes opaque so that the origin of UHECRs beyond tens of Mpc cannot be retrieved by studying cosmic rays directly. A method to determine the source origin of such UHECRs is to the detect the UHE neutrinos (UHECν) that are produced during the GZK interaction. Since neutrinos are chargeless and weakly interacting, the UHECν usually carry direct information of their original source.
For the detection of UHECR and UHECν events, huge collectors are required due to their extreme low flux; for instance, the Pierre Auger Observatory (PAO) has a collecting area of 3000 km2. Even then, the PAO can only detect ~20 particles above the GZK energy per year [6]. In order to detect the particles with a higher energy of ZeV (1021 eV), the collecting area of the particle detectors has to be increased by a thousand times. For the terrestrial detector, it is highly challenging to achieve such a huge collecting area in both technology and engineering.
Based on the Askaryan effect, the lunar Askaryan technique is proposed to detect both cosmic ray and neutrino showers [7], which utilizes the Moon as a natural detector to achieve a huge collecting area. When the high-energy particles impact the Moon, particle cascades will be induced in the lunar regolith, which usually radiate radio emissions due to the presence of excess negative charge. When the radio emissions escape from the lunar surface, they could be observed by a sensitive terrestrial or lunar orbital telescope. Using the above technique, lots of experiments have been proposed and carried out to search for UHE particles impacting the Moon. The terrestrial experiments include Parkes [8,9], GLUE [10], LUNASKA [11,12], NuMoon [13], RESUN [14], LaLuna [15], LOFAR [16], FAST [17], etc. In the literature [18], the LORD experiment was presented and addressed to detect UHE cosmic rays and neutrinos with a lunar orbital telescope. In addition, the scheme of lunar orbital satellite systems was addressed for UHE particle detection in [19,20]. Among all these experiments, the radio observations last no more than 200 h [11]. Hitherto, none of the implemented experiments have detected UHE particles successfully.
In this paper, we present a new experiment to perform the radio detection of the UHECRs and UHECν with two 30 m radio telescopes. The paper is organized as follows: in Section 2, we describe the detection experiment of the lunar Cherenkov radio emission with these telescopes. The sensitivities for the lunar UHECR and UHECν detections are estimated and analyzed in Section 3. Finally, a summary and conclusions are provided in Section 4.
2. Detection Experiment with Two 30 m Radio Telescopes
When energetic particles interact on the lunar surface, intense coherent radio pulses are produced in the frequency range from MHz to GHz. The intensity of radio emission peaks at around the 3 GHz regime, since the typical lateral size of a shower induced by the UHE particles in the lunar regolith is of the order of 10 cm [21]. Hence, most of the early lunar Askaryan experiments operate at the GHz frequency band [8,10,11,14,15]. At lower frequencies, the peak intensity of the Cherenkov radiation decreases due to the Askaryan effect. However, the increasing angular spread allows the radio emissions to escape from the lunar surface within a broader solid angle, which may lead to an increasing efficiency to detect the Askaryan radiation at lower frequencies [21]. Therefore, some experiments operating at low frequencies (~150 MHz) have been proposed and carried out for lunar UHE particle detection, such as NuMoon [13], LOFAR [16], etc.
In this work, we proposed a lunar Askaryan experiment running at three frequencies with two 30 m radio telescopes, as shown in Figure 1. These two radio telescopes were built as an important instrument of the Meridian II project for the InterPlanetary Scintillation (IPS) observations [22]. The system design of them is the same for each, including the dish, the feed, and the analog and digital receivers. Only the locations are different, being ~200 km away from each other. Since the IPS observations are mostly performed in the daytime and last only 1–2 h per day, these two radio telescopes are totally free at other times to perform the observations for different sciences, which allows us to make the long-time observations of lunar Askaryan radio emissions induced by UHE particles impacting the Moon.
Figure 1.
The two 30 m radio telescopes located at Suniteyou Qi (left) Banner and Abaga Qi (right), inner Mongolia, China.
2.1. Receiver of the 30 m Radio Telescope
The sensitivity for the radio detection of lunar Askaryan radio emissions is determined by the sensitivity of the radio telescope, which is closely related to its receiver design. The 30 m radio telescope operates at three frequencies, 327 MHz, 654 MHz, and 1.4 GHz. Two feeds are employed to receive the radio signals reflected by the dish. One feed is designed to run at dual frequencies, 327 MHz and 654 MHz, and the other one is designed for a frequency of 1.4 GHz. They can be switched by a mechanical device during the observations. Each feed has two linear polarizations. The signal of each polarization will be amplified and filtered independently in the receiver. Although these two feeds cannot work at the same time, six parallel signal chains were designed for all three frequencies in the receiver, as shown in Figure 2. The frequency bands of the receiver are 40 MHz, 80 MHz, and 100 MHz for the three frequencies of 327 MHz, 654 MHz, and 1.4 GHz, respectively. The receiver noise temperature is about 86 K for the frequencies of both 327 MHz and 654 MHz. At a frequency of 1.4 GHz, the receiver is cooled by a helium refrigerator; it can therefore achieve a very low noise of 15 K.
Figure 2.
Receiver diagram of the 30 m IPS radio telescope.
As mention above, during the observations with the 30 m radio telescope, the radio signals will be received with different analog chains for three frequencies, and the output bandwidth-limited signals will then be fed to the digital receiver. It digitizes the radio signals with a sampling rate of 200 MSPS and integrates the spectral data for 1 ms. The observation of each IPS radio source lasted for a short time of several minutes. This digital receiver is specially designed to process the IPS signals, totally different from that for the detection of lunar Askaryan radio emissions.
2.2. New Receiver for UHE Particle Detection
The radio emissions from the hadronic cascades induced by the UHE cosmic rays or neutrinos in the lunar regolith resembles a radio impulse with a duration of few nanoseconds. The present digital receiver of the 30 m radio telescope is not capable of detecting the nanosecond radio pulses. Therefore, a new customized receiver is required for the lunar Askaryan experiment.
When observing the Moon with a terrestrial radio telescope, besides the potential Askaryan radio pulses that we expected to detect, the observed signals also contain artificial radio frequency interferences (RFIs) and thermal noise fluctuations from the receiver, the Moon disk, and the sky. To search for the nanosecond-duration impulse against the RFI and thermal noise, we developed a dedicated digital receiver with a high-speed data acquisition board and a Snap2 field-programmable gate array (FPGA) board. On the data acquisition board, the analog bandwidth-limited signals are sampled by analog-to-digital converters (ADCs) at a rate of 2.5 GHz, and the sampled data will then be corrected for ionospheric dispersion and triggered in real time on the FPGA board. Since the two feeds of the 30 m radio telescope cannot work simultaneously, only four data channels are designed to digitize the radio signals of 327 and 654 MHz or 1.4 GHz, as shown in Figure 3. In order to correlate the raw data between the two 30 m radio telescopes located 200 km away from each other, four buffers of 800 μs are employed to store the raw data for searching the correlation fringe offline, which will help to identify the real lunar Askaryan events.
Figure 3.
New digital receiver diagram for the lunar Askaryan experiment with 30 m telescope.
2.3. De-Dispersion, RFI Rejection, and Triggering
In radio observations, the dispersion results from a frequency-dependent refractive index are caused by the free electrons [17]. For the detection of lunar Askaryan radio pulses with a nanosecond time duration, the dispersion induced by the Earth’s ionosphere has to be considered. The dispersion Δt induced in a bandwidth-limited radio pulse can be given by Equation (1) [11].
where fmin and fmax represent the minimum and maximum frequencies, respectively. The TECU is the standard measure for the number of electrons (total electron content units, 1016 e−/m2) along the line of sight. For a typical night-time TEC of 10 × 1016 e−/m2 at the telescope site, the dispersion of radio pulses at the observed frequencies will be 30.9 ns, 9.7 ns, and 1.0 ns, respectively. During the day, the dispersion will be more serious. To detect the short-time-duration Askaryan impulse, the de-dispersion must be implemented online in the digital signal processing, and the offline de-dispersion will be carried out in detail to the recorded raw data after triggering.
For the lunar Askaryan experiment, RFI is a serious threat to discriminate a genuine radio pulse from the hadronic cascades, and it must be excluded in the radio detections. Among different RFIs, the narrow-band RFI can be easily identified, since the RFI environment has been well monitored at the telescope site. The unknown-source impulsive RFI is a problem in data processing. Considering the characteristic of the lunar Askaryan radio emission, such impulsive RFIs can be rejected from the expected pulses by analyzing their polarization, time duration, dispersion, and their origin [17], of which the time duration and dispersion are the prominent distinctions. Although RFI could also be a burst-like signal, it tends to be much longer than the Askaryan pulses; a high time resolution will be vital to search for the lunar pulse against RFI events. Regarding the dispersion, the terrestrial RFI signal will evidently not have this expected signature. In our experiments, we utilize two 30 m radio telescopes to observe the Moon. An easier way to reject the RFI is to correlate the signals between these two telescopes. However, they are 200 km away from each other, so it is quite difficult to transmit the data in real time via the present network; we thus prefer to perform the data correlation offline to improve the efficiency of RFI rejection.
The lunar Askaryan technique requires a high time resolution and high dynamic range to discriminate the weak nanosecond radio pulses. The signals are therefore sampled at a high frequency (more than GHz) with high precision (more than 8 bits). In our experiment, the sampling frequency and precision are 2.5 GHz and 10 bits, respectively, which will produce a data rate of 25 GBs−1. Such a data rate is too high to record the raw data; a real-time trigger must be implemented in the receiver, which was conducted in most of the lunar Askaryan experiments. Although there was an experiment that recorded all the raw data without triggering [13], its observations did not last for a long time. Due to the limitation of real-time data processing, the de-dispersion will not be very accurate, and the efficiency of RFI rejection will not be as high as a complete offline analysis, both of which will decrease the detection sensitivity for lunar Askaryan radio emissions. In order to compensate for the sensitivity loss, the real-time triggering criteria could be lower that the theoretical values to ensure any potential pulse event is recorded, which will result in more event candidates and recording data. Since the two radio telescopes are ~200 km away from each other, it is necessary to record the data for more than 700 μs to search for the correlation fringe between these two telescopes, which can be used to locate the impulse and further reject the local RFI.
2.4. System Calibration
When the telescope detects lunar Askaryan radio emissions produced by the candidate UHE particles, its intensity is vital to determine the energy of the primary particle. To obtain the accurate particle energy, careful system calibrations are required to obtain the precise radiation intensity of the lunar particle event. Some known strong radio sources in the sky will be used to make the amplitude calibrations for the whole telescope system, as well as the bandpass calibration. In the telescope design, a highly stable noise source is employed in the front-end box to calibrate the gain of the receiving system except the antenna and feed. Since the antenna and the feed are passive components, the gain of them is almost constant; the slight gain variation in the receiving system can be calibrated frequently by the noise source. In addition, the recorded raw data between the two radio telescopes will be correlated offline to identify if the radio signal comes from the Moon, as well as to reject the local RFI. Therefore, the time delay and phase difference between these two telescopes have to be calibrated. We will use the celestial point radio sources to calibrate them in this experiment.
2.5. Description of the Experimental Observations
In the experiment that we proposed, two 30 m radio telescopes are employed to detect the UHE cosmic rays and neutrinos off the Moon. These radio telescopes operate at three different frequencies, 327 MHz, 654 MHz, and 1.4 GHz. Since both the low and high frequencies have their own advantages, respectively, in the detections, we will make the observations at all these frequencies to improve the detection possibility.
In the observations at low frequencies of 327 and 654 MHz, the telescope will be pointed at the center of the Moon, and its beam will cover the whole Moon disk. This pointing strategy had the most biggest collecting area, although it also increases the system temperature. Considering the relatively high receiver noise, the increasing system noise will not affect the sensitivity noticeably. For the observations at 1.4 GHz, the telescope will point at the lunar limb, from where the lunar Askaryan radio emissions could most possibly escape. In this way, a limb coverage of 30.5% can be achieved.
For a radio telescope with a flat system noise spectrum over the observed bandwidth, its sensitivity to detect an Askaryan radio pulse (minimum detectable electric field) can be expressed by Equation (2) [23].
where Nσ is the minimum number of standard deviations needed to reject statistical noise pulses.
While observing the Moon, suppose the lunar brightness temperature is 230 K; thus, the system noise temperatures of the radio telescope can be computed according to the beam width, the antenna efficiency, and the galactic background. They are 123 K at 327 MHz, 129 K at 654 MHz, and 80 K at 1.4 GHz, respectively. Using the system temperatures and the observed bandwidth at the three frequencies, the sensitivity of the 30 m telescope to detect an Askaryan radio pulse has been calculated with Formula (2) for a nominal value Nσ = 3. As shown in Table 1, the observation parameters are listed as well.
Table 1.
Observation parameters for the proposed experiment in this paper; frequency and bandwidth are in MHz.
As mentioned above, the two 30 m telescopes observe the IPS signals for 1–2 h in the daytime. We planned to use them to observe the Moon at other times to search for the lunar Askaryan radio pulses. The estimated observation time could be around 2000 h in one year, and the experiment was expected to last at least three years.
3. Detection Analysis
The lunar Askaryan radio emissions caused by the UHECRs and UHECν interacting with the Moon have been parameterized in the literature [18,19,20,23,24,25]; we used the formula given in [23,24,25] to calculate the electric field strength ε (μVm−1 MHz−1) induced on the radio telescope.
Here, d is the distance between the source point and the detector and Es is the shower energy in eV. The Cherenkov angle θc = cos−1(1/n), , where n is the refraction index of the lunar regolith, is used. The radiation spreading is determined by (in radians) and the shower length is , [18]. Moreover, the Askaryan radio emissions will be reflected and transmitted at the interface when they escape from the lunar surface. Therefore, the transmission coefficient should also be taken into account for the calculation of the electric field intensity.
In this work, the method presented in our previous study [26] was used to analyze the detection of lunar UHE particles. The basic idea is to determine the aperture size according to the telescope sensitivity. By integrating the angular aperture ΔΩ over the angles at the lunar surface (θS, φS) and over the angles (θn, φn) of the cascade shower axis relative to the normal to this surface, as shown in Figure 4, the analytic aperture A can be calculated for the specific energy E with Equation (4).
Figure 4.
Schematic view of the radio detection of lunar Askaryan radio emissions with two 30 m telescopes (left) and beam pointing used for different frequencies (right). In the presented experiment, the telescope points at the Moon center at the frequencies of 327 MHz and 654 MHz and the Moon limb at 1.4 GHz.
Here, A0 = 2πRM2 is the physical area of the lunar hemisphere.
For the UHE cosmic rays, the hadronic cascades usually occur in the lunar regolith near the surface. Therefore, only the upper hemisphere (cosθn > 0) has a contribution to the aperture calculation [26].
where the unit step function Θ[ε – εmin] only selects the particle events that produce radio emissions above the threshold value εmin.
The cascades induced by the UHE neutrinos are different from those initiated by the cosmic rays. Since most of the UHE neutrino cascades are produced very deep inside the Moon due to the long attenuation length of neutrinos, the attenuation of radio wave propagation caused by the lunar regolith cannot be neglected, and the contribution of both the upper and lower lunar hemisphere have to be calculated for the total aperture analysis [26].
Here, ΔΩ+ and ΔΩ− represent the apertures that are contributed by the upper and lower lunar hemisphere, respectively. is the radio wave attenuation length. The neutrino–nucleon interaction length is [23]. It is assumed that only 20% of the primary neutrino energy goes into the lunar hadronic particle cascade.
Based on the model-independent estimate [27], assuming zero detected events, the 90% confidence limit for the differential (in energy) flux J(E) of primary particles within the observation time tobs can be expressed by Equation (8).
In order to calculate the event rates for the UHECRs and UHECν, the aperture size is multiplied by an isotropic cosmic ray or neutrino flux J(E). During the observation time tobs, the number of detected events in the given energy interval between E1 and E2 can be obtained by N = .
3.1. UHE Cosmic Rays
Using analytic integrations of the angular aperture over the lunar surface, the effective aperture is calculated for the two 30 m radio telescopes at different frequencies. As shown in Figure 5, the physical aperture illuminated by the telescope increases with the frequency changing from 327 MHz to 654 MHz. However, the aperture drops greatly at a frequency of 1.4 GHz due to the low limb coverage. The minimum particle energy, at which the radio emission intensity observed by the telescope equals the threshold intensity εmin, decreases when the frequency rises. For different frequencies, the effective aperture reaches the peak at different energies.
The flux limits set by the 30 m radio telescope are calculated for three frequencies with the different observation times. As shown in Figure 5, only the cosmic rays of energy above 9 × 1019 eV can be detected at 1.4 GHz by the telescopes, and the energy threshold increases to 4 × 1020 eV at 327 MHz. The results in Figure 5 also show that the observations at 654 MHz of the 30 m radio telescope have a better sensitivity around 1021 eV among the three operating frequencies, which is competitive with the large terrestrial radio telescopes such as LOFAR [28] and SKA Low [29].
Figure 5.
Total aperture (left) and flux limits (right) of UHE cosmic rays for the two 30 m radio telescopes at different frequencies of 327, 654, and 1400 MHz. Note that the flux limits are calculated with an observation time of 4000 h for 327 and 654 MHz and 2000 h for 1400 MHz. The flux results are compared with the flux limits of both SKA Low1 for a 1000 h observation and LOFAR for a 90-day observation (reproduced from Bray et al. [29]).
Figure 5.
Total aperture (left) and flux limits (right) of UHE cosmic rays for the two 30 m radio telescopes at different frequencies of 327, 654, and 1400 MHz. Note that the flux limits are calculated with an observation time of 4000 h for 327 and 654 MHz and 2000 h for 1400 MHz. The flux results are compared with the flux limits of both SKA Low1 for a 1000 h observation and LOFAR for a 90-day observation (reproduced from Bray et al. [29]).

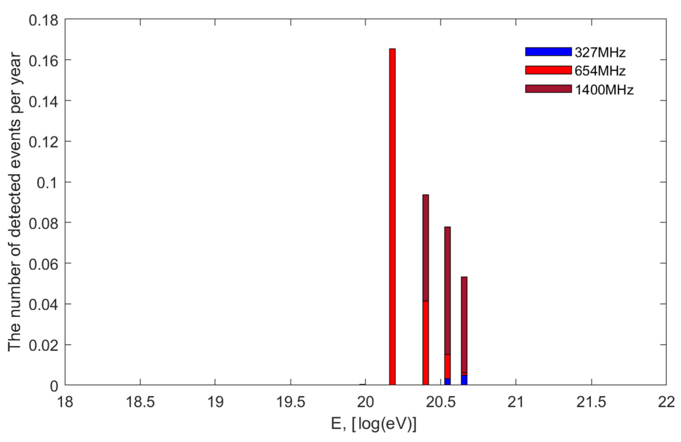
With the UHECR flux parametrization given by the Auger Collaboration [3], the expected event rates are calculated, as shown in Figure 6, for the 30 m radio telescopes operating at different frequencies. In the energy range between 1018 and 1021 eV, the total detected UHECR events increases for the observations at a higher frequency, and the detected events mostly lie in the lower energy range with increasing frequency. However, the total event numbers are less than one.
Figure 6.
The number of detected cosmic ray events for the observations at different frequencies with the flux parametrization of the Auger Collaboration.
3.2. UHE Neutrinos
The total apertures of the UHE neutrinos for the radio observations at different frequencies are given in Figure 7. The shape is different from that of cosmic rays due to the different particle interactions in the lunar regolith. The aperture decreases with rising frequency, which could be ascribed to the fact that the radiation at a low frequency escapes from the lunar surface much easier, even if it is initiated by the hadronic cascade in the deeper lunar regolith. Unlike the cosmic rays, the aperture of the UHE neutrinos increases over the entire energy range from 1020 eV to 1024 eV without reaching peaks for all the three frequencies. With increasing frequency, the minimum energy of the detectable neutrino events drops from 2 × 1021 eV to 2 × 1020 eV.
Figure 7.
Total aperture (left) and flux limits (right) of UHE neutrinos at different frequencies of 327, 654, and 1400 MHz. The flux results are compared with the flux limits of the SKA Low for a 1000 h observation between 100 and 350 MHz and LOFAR for a 90-day observation between 125 and 175 MHz (reproduced from Bray et al. [29]). The blue chain-dotted lines show the predicted fluxes from the GZK and topological defects (TDs). The green dashed lines show the flux limits set by the past experiments of IceCube and Auger.
The flux limits of UHE neutrinos for the observations at different frequencies are compared with other lunar Askaryan experiments in Figure 7, which include the flux limits of the SKA Low, the LOFAR, IceCube [30] and Auger [6], as well as the predicted fluxes from the models of the GZK [31] and topological defects (TDs) [32]. The results show that the experiment in this paper can reach the comparable flux limits with the estimated fluxes of the SKA Low1 and the LOFAR core.
The expected UHECν event rates are computed for the 30 m radio telescopes operating with the predicted neutrino fluxes from the GZK model, the topological defects (TDs) model, and the neutrino flux limit set by the experiment of ANITA-II [33]. The results in Figure 8 show that GZK neutrinos are almost not detectable for all the three frequencies. For the TD neutrinos, the total UHECν events observed at both 327 MHz and 654 MHz will be more than one above the energy range of 1018 eV. With the flux limits set by the ANITA-II experiment, the expected neutrino events decrease from ~200 at 327 MHz to around one at 1400 MHz. Due to the low field of view (FoV) of the telescope and high radio emission attenuation in the lunar regolith, the detectable neutrino event for the observation at 1.4 GHz is far lower than that of other two frequencies.
Figure 8.
The total number of detected neutrino events with the predicted fluxes for the GZK neutrinos and topological defects (TDs), the flux limits set by the ANITA-II experiment, and for different frequencies in this experiment.
4. Summary and Conclusions
In this study, we proposed a lunar Askaryan experiment to detect the UHE cosmic rays and neutrinos with two 30 m radio telescopes. This experiment will be performed for several thousand hours per year and is expected to last at least three years; the observation time is far more than the past experiments.
Using the method of analysis, the sensitivities have been calculated for both UHE cosmic rays and neutrinos. The results show that the radio observations at 654 MHz and 1.4 GHz have more chances than that of 327 MHz to detect the UHECR events, and the observations at 327 MHz and 654 MHz have a better sensitivity than that of 1.4 GHz for the UHE neutrino detection. With the known flux of the UHE cosmic rays, the expected events in this experiment increase when the frequency rises. In view of this, we could employ a multibeam feed to enlarge the telescope FoV for the radio observations at 1.4 GHz so as to further improve the detectability of UHECRs. For the UHE neutrinos, during the observations in this experiment, it is shown that the GZK neutrinos could not be detected, while a few TD model neutrino events could be detected at both 327 MHz and 654 MHz.
Author Contributions
Conceptualization, L.C. (Linjie Chen) and L.G.; methodology, L.C. (Linjie Chen); software, L.C. (Linjie Chen) and L.C. (Lingmei Cheng); validation, L.C. (Linjie Chen), J.Z. and L.C. (Lingmei Cheng); formal analysis, L.C. (Linjie Chen); investigation, J.Z.; resources, L.G.; data curation, L.C. (Linjie Chen) and J.Z.; writing—original draft preparation, L.C. (Linjie Chen); writing—review and editing, J.Z.; visualization, L.C. (Linjie Chen); supervision, L.C. (Linjie Chen); project administration, L.C. (Linjie Chen); funding acquisition, L.C. (Linjie Chen) and L.G. All authors have read and agreed to the published version of the manuscript.
Funding
This research was funded by the National Natural Science Foundation of China (NSFC), grant number 12373101, 12375108, and the Technical Support Talent Project of the Chinese Academy of Science.
Data Availability Statement
Data is contained within the article.
Acknowledgments
The authors would like to thank Bray, J.D. and James, C.W. for the help and data support in this work; we are grateful to the anonymous referees for many valuable comments and suggestions.
Conflicts of Interest
The authors declare no conflicts of interest. The funders had no role in the design of the study; in the collection, analyses, or interpretation of data; in the writing of the manuscript; or in the decision to publish the results.
References
- Askaryan, G. Excess negative charge of an electron-photon shower and its coherent radio emission. Sov. Phys. JETP 1962, 14, 441. [Google Scholar]
- Greisen, K. End to the Cosmic-Ray Spectrum. Phys. Rev. Lett. 1966, 16, 748. [Google Scholar] [CrossRef]
- Zatsepin, G.T.; Kuzmin, V.A. Upper Limit of the Spectrum of Cosmic Rays. JETP Lett. 1966, 4, 78. [Google Scholar]
- The Pierre Auger Collaboration. Observation of the suppression of the flux of cosmic rays above 4 × 1019 eV. Phys. Rev. Lett. 2008, 101, 061101. [Google Scholar]
- Abbasi, R.U.; Abu-Zayyad, T.; Allen, M.; Amman, J.F.; Archbold, G.; Belov, K.; Belz, J.W.; Ben Zvi, S.Y.; Bergman, D.R.; Blake, S.A.; et al. First Observation of the Greisen-Zatsepin-Kuzmin Suppression. Phys. Rev. Lett. 2008, 100, 101101. [Google Scholar] [CrossRef]
- Aab, A.; Abreu, P.; Aglietta, M.; Albury, J.M.; Allekotte, I.; Almela, A.; Alvarez Castillo, J.; Alvarez-Muñiz, J.; Alves Batista, R.; Anastasi, G.A.; et al. Measurement of the cosmic-ray energy spectrum above 2.5 × 1018 eV using the Pierre Auger Observatory. Phys. Rev. D 2020, 102, 062005. [Google Scholar] [CrossRef]
- Dagkesamanskii, R.D.; Zheleznykh, I.M. Radio-astronomy method for detecting neutrinos and other elementary particles of superhigh energy. Sov. Phys. JETP Lett. 1989, 50, 259–261. [Google Scholar]
- Hankins, T.H.; Ekers, R.D.; O’Sullivan, J.D. A search for lunar radio Čerenkov emission from high-energy neutrinos. Mon. Not. R. Astron. Soc. 1996, 283, 1027–1030. [Google Scholar] [CrossRef]
- Hankins, T.H.; Ekers, R.D.; O’Sullivan, J.D. Proceedings of the RADHEP 2000. In AIP Conference Series; American Institute of Physics: College Park, MD, USA, 2001; Volume 579. [Google Scholar]
- Gorham, P.W.; Hebert, C.L.; Liewer, K.M.; Naudet, C.J.; Saltzberg, D.; Williams, D. Experimental limit on the cosmic diffuse ultrahigh energy neutrino flux. Phys. Rev. Lett. 2004, 93, 041101. [Google Scholar] [CrossRef] [PubMed]
- James, C.W.; Ekers, R.D.; Alvarez-Muñiz, J.; Bray, J.D.; McFadden, R.A.; Phillips, C.J.; Protheroe, R.J.; Roberts, P. LUNASKA experiments using the Australia Telescope Compact Array to search for ultrahigh energy neutrinos and develop technology for the lunar Cherenkov technique. Phys. Rev. D 2010, 81, 042003. [Google Scholar] [CrossRef]
- James, C.W.; Protheroe, R.J. The directional dependence of apertures, limits and sensitivity of the lunar Cherenkov technique to a UHE neutrino flux. Astropart. Phys. 2009, 31, 392–398. [Google Scholar] [CrossRef]
- Buitink, S.; Scholten, O.; Bacelar, J.; Braun, R.; de Bruyn, A.G.; Falcke, H.; Singh, K.; Stappers, B.; Strom, R.G.; Yahyaoui, R.A. Constraints on the flux of ultra-high energy neutrinos from Westerbork Synthesis Radio Telescope bservations. Astron. Astrophys. 2010, 521, A47. [Google Scholar] [CrossRef]
- Jaeger, T.R.; Mutel, R.L.; Gayley, K.G. Project RESUN, a radio EVLA search for UHE neutrinos. Astropart. Phys. 2010, 34, 293–303. [Google Scholar] [CrossRef]
- Spencer, R.E.; Macfarlane, A.; Mills, O.; Piccirillo, L. La luna: Lovell attempts LUnar Neutrino Acquisition. In Proceedings of the Science on 10th EVN Symposium, Manchester, UK, 20–24 September 2010; Volume 125, p. 97. [Google Scholar]
- Singh, K.; Mevius, M.; Scholten, O.; Anderson, J.M.; van Ardenne, A.; Arts, M.; Avruch, M.; Asgekar, A.; Bell, M.; Bennema, P. Optimized trigger for ultra-highenergy cosmic-ray and neutrino observations with the low frequency radio array. Nucl. Instrum. Meth. A 2012, 664, 171–185. [Google Scholar] [CrossRef]
- James, C.W.; Bray, J.D.; Ronald, D.E. Prospects for detecting ultra-high-energy particles with FAST. Res. Astron. Astrophys. 2019, 19, 19. [Google Scholar] [CrossRef]
- Gusev, G.A.; Lomonosov, B.N.; Pichkhadze, K.M.; Polukhina, N.G.; Ryabov, V.A.; Saito, T.; Sysoev, V.K.; Feinberg, E.L.; Tsarev, V.A.; Chechin, V.A. Detection of Ultrahigh-Energy Cosmic Rays and Neutrinos by Radio Method Using Artificial Lunar Satellites. Cosm. Res. 2006, 44, 19–38. [Google Scholar] [CrossRef]
- Aminaei, A.; Chen, L.; Pourshaghaghi, H.; Buitink, S.; Klein-Wolt, M.; Koopmans, L.V.E.; Falcke, H. Prospects of probing the radio emission of lunar UHECRv events. Adv. Space Res. 2018, 62, 2708–2728. [Google Scholar] [CrossRef]
- Stal, O.; JBergman, E.S.; Thide, B.; Daldorff, L.K.S.; Ingelman, G. Prospects for Lunar Satellite Detection of Radio Pulses from Ultrahigh Energy Neutrinos Interacting with the Moon. Phys. Rev. Lett. 2007, 98, 071103. [Google Scholar] [CrossRef]
- Scholten, O.; Bacelar, J.; Braun, R.; de Bruyn, A.G.; Falcke, H.; Stappers, B.; Strom, R.G. Optimal radio window for the detection of ultra-high energy cosmic rays and neutrinos off the Moon. Astropart. Phys. 2006, 26, 219–229. [Google Scholar] [CrossRef][Green Version]
- Yan, Y.; Wang, W.; Chen, L.; Liu, F.; Geng, L.; Chen, Z. New interplanetary scintillation telescope array in China for space weather. Sun Geosph. 2018, 13, 153–155. [Google Scholar] [CrossRef]
- Bray, J.D. The sensitivity of past and near-future lunar radio experiments to ultra-high-energy cosmic rays and neutrinos. Astropart. Phys. 2016, 77, 1. [Google Scholar] [CrossRef]
- Gayley, K.G.; Mutel, R.L.; Jaeger, T.R. Analytic aperture calculation and scaling laws for radio detection of lunar-target ultra-high-energy neutrinos. Astrophys. J. 2009, 706, 1556–1570. [Google Scholar] [CrossRef]
- James, C.W.; Protheroe, R.J. The sensitivity of the next generation of lunar Cherenkov observations to UHE neutrinos and cosmic rays. Astropart. Phys. 2009, 30, 318–332. [Google Scholar] [CrossRef]
- Chen, L.; Klein-Wolt, M.; Aminaei, A.; Buitink, S.; Falcke, H. Detection of ultra high energy cosmic rays and neutrinos with lunar orbital radio telescope. Eur. Phys. J. C 2023, 83, 102. [Google Scholar] [CrossRef]
- Lehtinen, N.G.; Gorham, P.W.; Jacobson, A.R.; Rousse-Dupre, R.A. FORTE satellite constraints on ultra-high energy cosmic particle fluxes. Phys. Rev. D 2004, 69, 013008. [Google Scholar] [CrossRef]
- Singh, K.; Bahren, L.; Buitink, S.; Falcke, H.; Horandel, J.; Horneffer, A.; Scholten, O. Searching for Neutrino Radio Flashes from the Moon with LOFAR. In Proceedings of the 31st ICRC, Lódz, Poland, 8 July 2009. [Google Scholar]
- Bray, J.D.; Alvarez-Muñiz, J.; Buitink, S.; Dagkesamanskii, R.D.; Ekers, R.D.; Falcke, H.; Gayley, K.G.; Huege, T.; James, C.W.; Mevius, M.; et al. Lunar detection of ultra-high-energy cosmic rays and neutrinos with the Square Kilometre Array. In Proceedings of the Science on Advancing Astrophysics with the Square Kilometre Array, Giardini Naxos, Italy, 9–13 June 2014; Volume 215, p. 144. [Google Scholar]
- Aartsen, M.G.; Abbasi, R.; Ackermann, M.; Adams, J.; Aguilar, J.A.; Ahlers, M.; Altmann, D.; Arguelles, C.; Auffenberg, J.; Bai, X.; et al. Probing the origin of cosmic rays with extremely high energy neutrinos using the IceCube Observatory. Phys. Rev. D 2013, 88, 112008. [Google Scholar] [CrossRef]
- Engel, R.; Seckel, D.; Stanev, T. Neutrinos from propagation of ultrahigh energy protons. Phys. Rev. D 2001, 64, 093010. [Google Scholar] [CrossRef]
- Semikoz, D.V.; Sigl, G. Ultra-high energy neutrino fluxes: New constraints and implications. J. Cosmol. Astropart. Phys. 2004, 2004, 3. [Google Scholar] [CrossRef]
- Gorham, P.W.; Allison, P.; Baughman, B.; Beatty, J.J.; Belov, K.; Besson, D.Z.; Bevan, S.; Binns, W.R.; Chen, C.; Chen, P.; et al. Observational constraints on the ultrahigh energy cosmic neutrino flux from the second flight of the ANITA experiment. Phys. Rev. Lett. 2010, 82, 022004. [Google Scholar] [CrossRef]
Disclaimer/Publisher’s Note: The statements, opinions and data contained in all publications are solely those of the individual author(s) and contributor(s) and not of MDPI and/or the editor(s). MDPI and/or the editor(s) disclaim responsibility for any injury to people or property resulting from any ideas, methods, instructions or products referred to in the content. |
© 2024 by the authors. Licensee MDPI, Basel, Switzerland. This article is an open access article distributed under the terms and conditions of the Creative Commons Attribution (CC BY) license (https://creativecommons.org/licenses/by/4.0/).






