A Very-High-Energy Gamma-Ray View of the Transient Sky
Abstract
1. Introduction
2. Novae
3. Flaring Binary Systems and Microquasars
4. Supernovae
4.1. Expected Gamma-Ray Emission from SNe
4.2. Type Ia SNe
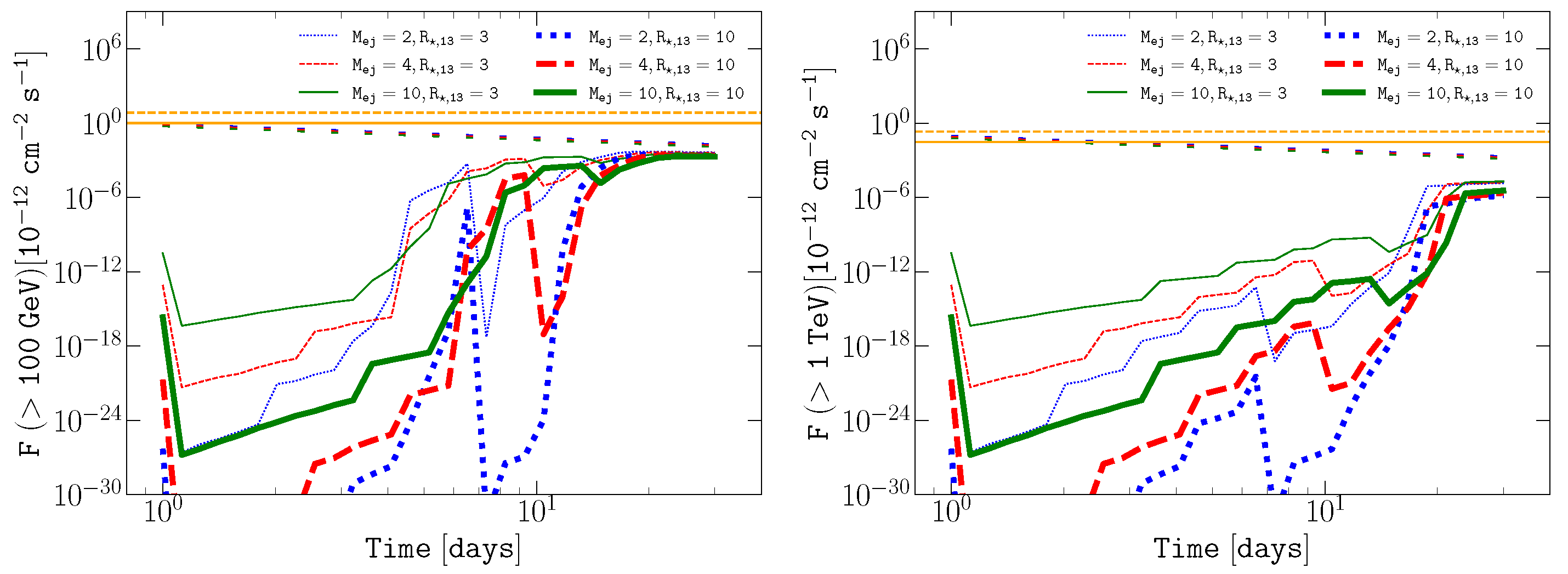
4.3. Core-Collapse SNe
5. Flaring Pulsar-Wind Nebulae
6. Fast Radio Bursts and Magnetars
7. Gravitational Waves
8. Other Transient Sources: Tidal Disruption Events and Gamma-Ray Bursts
8.1. Tidal Disruption Events and Neutrino Connection
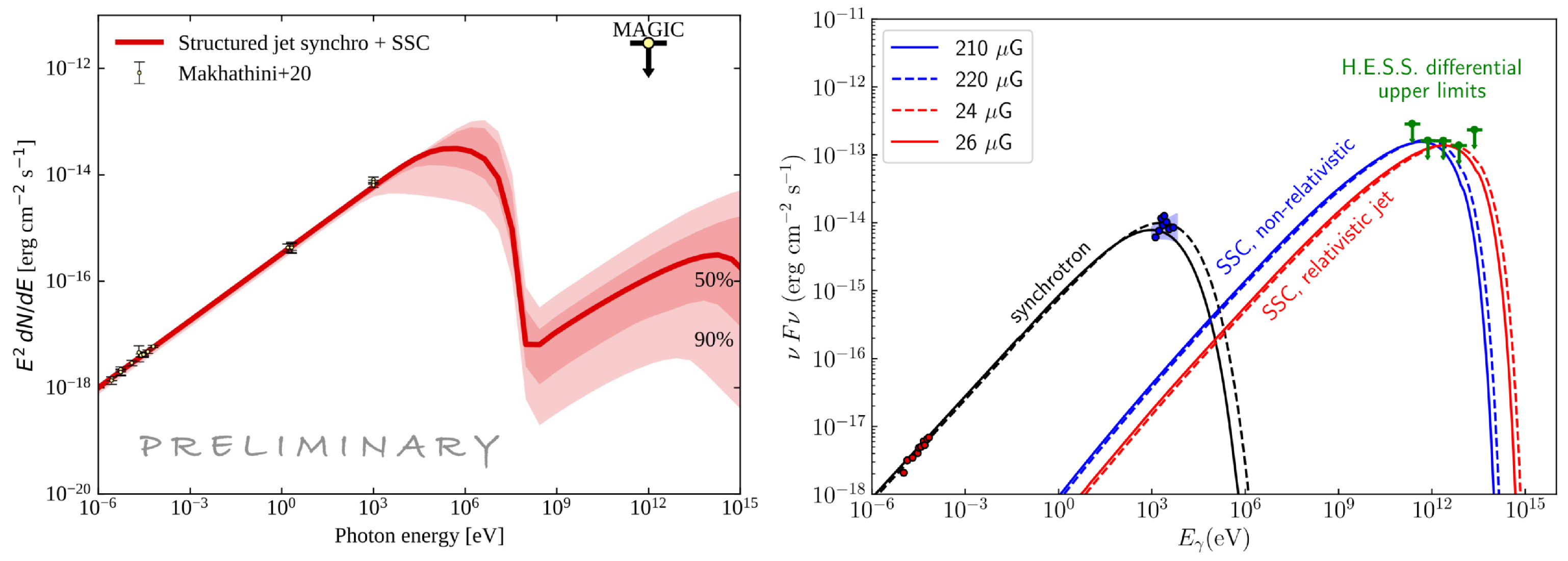
8.2. Gamma-Ray Bursts
9. Discussion and Prospects
9.1. Novae
9.2. Microquasars
9.3. Supernovae
9.4. Crab Nebula Flares
9.5. FRB and Magnetars
9.6. GRBs and GWs
10. Conclusions
Author Contributions
Funding
Data Availability Statement
Conflicts of Interest
Abbreviations
| BH | Black hole |
| CCSNe | Core-collapse supernovae |
| FRB | Fast radio burst |
| GRB | Gamma-ray burst |
| GW | Gravitational wave |
| HE | High energy |
| IACT | Imaging Air Cherenkov Telescopes |
| IC | Inverse Compton |
| NS | Neutron star |
| RG | Red giant |
| SSC | Synchrotron self Compton |
| SED | Spectral energy distribution |
| sGRB | Short gamma-ray burst |
| SNe | Supernovae |
| TDE | Tidal disruption event |
| UL | Upper limit |
| VHE | Very-high-energy |
| WD | White dwarf |
| 1 | See https://asd.gsfc.nasa.gov/Koji.Mukai/novae/latnovae.html (accessed on 14 March 2024) for the list with LAT-detected novae and sub-significance hints. |
| 2 | https://fast.bao.ac.cn/ (accessed on 14 March 2024). |
| 3 | https://www.ligo.org/ (accessed on 14 March 2024). |
| 4 | https://www.virgo-gw.eu/ (accessed on 14 March 2024). |
| 5 | More GRBs have been detected at VHE since then such as GRB 201216C by MAGIC and the remarkable GRB 221009A, although not detected by IACTs, observed by LHAASO up to 13 TeV. |
| 6 | https://www.ztf.caltech.edu/ (accessed on 14 March 2024). |
| 7 | https://www.cta-observatory.org/science/ctao-performance/ (accessed on 14 March 2024). |
| 8 | https://observing.docs.ligo.org/plan/ (accessed on 14 March 2024). |
References
- Fioretti, V.; Ribeiro, D.; Humensky, T.B.; Bulgarelli, A.; Maier, G.; Moralejo, A.; Nigro, C. The Cherenkov Telescope Array sensitivity to the transient sky. In Proceedings of the 36th International Cosmic Ray Conference (ICRC2019), Madison, WI, USA, 24 July–1 August 2019; Volume 36, p. 673. [Google Scholar] [CrossRef]
- Aleksić, J.; Ansoldi, S.; Antonelli, L.A.; Antoranz, P.; Babic, A.; Bangale, P.; Barceló, M.; Barrio, J.A.; Becerra González, J.; Bednarek, W.; et al. The major upgrade of the MAGIC telescopes, Part I: The hardware improvements and the commissioning of the system. Astropart. Phys. 2016, 72, 61–75. [Google Scholar] [CrossRef]
- Cherenkov Telescope Array Consortium; Acharya, B.S.; Agudo, I.; Al Samarai, I.; Alfaro, R.; Alfaro, J.; Alispach, C.; Alves Batista, R.; Amans, J.P.; Amato, E.; et al. Science with the Cherenkov Telescope Array; World Scientific: Singapore, 2019. [Google Scholar] [CrossRef]
- Vigliano, A.; Longo, F. Gamma-Ray Bursts: 50 Years and Counting! Universe 2024, 10, 57. [Google Scholar] [CrossRef]
- Chomiuk, L.; Metzger, B.D.; Shen, K.J. New Insights into Classical Novae. Annu. Rev. Astron. Astrophys. 2021, 59, 391–444. [Google Scholar] [CrossRef]
- Hernanz, M.; Tatischeff, V. High Energy Emission of Symbiotic Recurrent Novae: RS Oph and V407 Cyg. Balt. Astron. 2012, 21, 62–67. [Google Scholar] [CrossRef]
- Mikolajewska, J. The Place of Recurrent Novae Among the Symbiotic Stars. In Astronomical Society of the Pacific Conference Series, Proceedings of the RS Ophiuchi (2006) and the Recurrent Nova Phenomenon, Keele, UK, 12–14 June 2007; Evans, A., Bode, M.F., O’Brien, T.J., Darnley, M.J., Eds.; Astronomical Society of the Pacific: San Francisco, CA, USA, 2008; Volume 401, p. 42. [Google Scholar] [CrossRef]
- Schaefer, B.E. Comprehensive Photometric Histories of All Known Galactic Recurrent Novae. Astrophys. J. Suppl. Ser. 2010, 187, 275–373. [Google Scholar] [CrossRef]
- Tatischeff, V.; Hernanz, M. Evidence for Nonlinear Diffusive Shock Acceleration of Cosmic Rays in the 2006 Outburst of the Recurrent Nova RS Ophiuchi. Astrophys. J. 2007, 663, L101–L104. [Google Scholar] [CrossRef]
- Abdo, A.A.; Ackermann, M.; Ajello, M.; Atwood, W.B.; Baldini, L.; Ballet, J.; Barbiellini, G.; Bastieri, D.; Bechtol, K.; Bellazzini, R.; et al. Gamma-Ray Emission Concurrent with the Nova in the Symbiotic Binary V407 Cygni. Science 2010, 329, 817–821. [Google Scholar] [CrossRef]
- Ackermann, M.; Ajello, M.; Albert, A.; Baldini, L.; Ballet, J.; Barbiellini, G.; Bastieri, D.; Bellazzini, R.; Bissaldi, E.; Blandford, R.D.; et al. Fermi establishes classical novae as a distinct class of gamma-ray sources. Science 2014, 345, 554–558. [Google Scholar] [CrossRef]
- Cheung, C.C.; Jean, P.; Shore, S.N.; Stawarz, Ł.; Corbet, R.H.D.; Knödlseder, J.; Starrfield, S.; Wood, D.L.; Desiante, R.; Longo, F.; et al. Fermi-LAT Gamma-Ray Detections of Classical Novae V1369 Centauri 2013 and V5668 Sagittarii 2015. Astrophys. J. 2016, 826, 142. [Google Scholar] [CrossRef]
- Sitarek, J.; Bednarek, W. GeV-TeV gamma rays and neutrinos from the Nova V407 Cygni. Phys. Rev. D 2012, 86, 063011. [Google Scholar] [CrossRef]
- Aliu, E.; Archambault, S.; Arlen, T.; Aune, T.; Beilicke, M.; Benbow, W.; Bouvier, A.; Bradbury, S.M.; Buckley, J.H.; Bugaev, V.; et al. VERITAS Observations of the Nova in V407 Cygni. Astrophys. J. 2012, 754, 77. [Google Scholar] [CrossRef]
- Ahnen, M.L.; Ansoldi, S.; Antonelli, L.A.; Antoranz, P.; Babic, A.; Banerjee, B.; Bangale, P.; Barres de Almeida, U.; Barrio, J.A.; Becerra González, J.; et al. Very high-energy γ-ray observations of novae and dwarf novae with the MAGIC telescopes. Astron. Astrophys. 2015, 582, A67. [Google Scholar] [CrossRef]
- Mikołajewska, J.; Shara, M.M. The Massive CO White Dwarf in the Symbiotic Recurrent Nova RS Ophiuchi. Astrophys. J. 2017, 847, 99. [Google Scholar] [CrossRef]
- Anupama, G.C.; Mikołajewska, J. Recurrent novae at quiescence: Systems with giant secondaries. Astron. Astrophys. 1999, 344, 177–187. [Google Scholar]
- Brandi, E.; Quiroga, C.; Mikołajewska, J.; Ferrer, O.E.; García, L.G. Spectroscopic orbits and variations of RS Ophiuchi. Astron. Astrophys. 2009, 497, 815–825. [Google Scholar] [CrossRef]
- Hachisu, I.; Kato, M. A Theoretical Light-Curve Model for the 1985 Outburst of RS Ophiuchi. Astrophys. J. 2000, 536, L93–L96. [Google Scholar] [CrossRef][Green Version]
- Hernanz, M.; José, J. The recurrent nova RS Oph: A possible scenario for type Ia supernovae. New Astron. Rev. 2008, 52, 386–389. [Google Scholar] [CrossRef]
- Patat, F.; Chugai, N.N.; Podsiadlowski, P.; Mason, E.; Melo, C.; Pasquini, L. Connecting RS Ophiuchi to [some] type Ia supernovae. Astron. Astrophys. 2011, 530, A63. [Google Scholar] [CrossRef]
- Geary, K. Outburst of RS Ophiuchi. Vsnet-Alert 2021, 26131. Available online: http://ooruri.kusastro.kyoto-u.ac.jp/mailarchive/vsnet-alert/26131 (accessed on 14 March 2024).
- Cheung, C.C.; Ciprini, S.; Johnson, T.J. Fermi-LAT Gamma-ray Detection of the Recurrent Nova RS Oph. Astron. Telegr. 2021, 14834, 1. [Google Scholar]
- H. E. S. S. Collaboration; Aharonian, F.; Ait Benkhali, F.; Angüner, E.O.; Ashkar, H.; Backes, M.; Baghmanyan, V.; Martins, V.B.; Batzofin, R.; Becherini, Y.; et al. Time-resolved hadronic particle acceleration in the recurrent nova RS Ophiuchi. Science 2022, 376, 77–80. [Google Scholar] [CrossRef]
- Acciari, V.A.; Ansoldi, S.; Antonelli, L.A.; Arbet Engels, A.; Artero, M.; Asano, K.; Baack, D.; Babić, A.; Baquero, A.; Barres de Almeida, U.; et al. Proton acceleration in thermonuclear nova explosions revealed by gamma rays. Nat. Astron. 2022, 6, 689–697. [Google Scholar] [CrossRef]
- Abe, H.; Abe, K.; Abe, S.; Aguasca-Cabot, A.; Agudo, I.; Alvarez Crespo, N.; Antonelli, L.A.; Aramo, C.; Arbet-Engels, A.; Artero, M.; et al. RS Ophiuchi nova outburst detection by the LST-1. PoS 2023, Gamma2022, 055. [Google Scholar] [CrossRef]
- Kobayashi, Y.; Aguasca-Cabot, A.; Bernardos Martín, M.I.; Green, D.; López-Coto, R. Detection of the 2021 Outburst of RS Ophiuchi with the LST-1. arXiv 2023, arXiv:2310.09683. [Google Scholar] [CrossRef]
- De Sarkar, A.; Nayana, A.J.; Roy, N.; Razzaque, S.; Anupama, G.C. Lepto-hadronic Interpretation of 2021 RS Ophiuchi Nova Outburst. Astrophys. J. 2023, 951, 62. [Google Scholar] [CrossRef]
- Chomiuk, L.; Linford, J.D.; Yang, J.; O’Brien, T.J.; Paragi, Z.; Mioduszewski, A.J.; Beswick, R.J.; Cheung, C.C.; Mukai, K.; Nelson, T.; et al. Binary orbits as the driver of γ-ray emission and mass ejection in classical novae. Nature 2014, 514, 339–342. [Google Scholar] [CrossRef]
- Chesneau, O.; Nardetto, N.; Millour, F.; Hummel, C.; Domiciano de Souza, A.; Bonneau, D.; Vannier, M.; Rantakyrö, F.; Spang, A.; Malbet, F.; et al. AMBER/VLTI interferometric observations of the recurrent Nova RS Ophiuchii 5.5 days after outburst. Astron. Astrophys. 2007, 464, 119–126. [Google Scholar] [CrossRef]
- Bode, M.F.; Harman, D.J.; O’Brien, T.J.; Bond, H.E.; Starrfield, S.; Darnley, M.J.; Evans, A.; Eyres, S.P.S. Hubble Space Telescope Imaging of the Expanding Nebular Remnant of the 2006 Outburst of the Recurrent Nova RS Ophiuchi. Astrophys. J. 2007, 665, L63–L66. [Google Scholar] [CrossRef]
- Ribeiro, V.A.R.M.; Bode, M.F.; Darnley, M.J.; Harman, D.J.; Newsam, A.M.; O’Brien, T.J.; Bohigas, J.; Echevarría, J.M.; Bond, H.E.; Chavushyan, V.H.; et al. The Expanding Nebular Remnant of the Recurrent Nova RS Ophiuchi (2006). II. Modeling of Combined Hubble Space Telescope Imaging and Ground-based Spectroscopy. Astrophys. J. 2009, 703, 1955–1963. [Google Scholar] [CrossRef]
- Munari, U.; Giroletti, M.; Marcote, B.; O’Brien, T.J.; Veres, P.; Yang, J.; Williams, D.R.A.; Woudt, P. Radio interferometric imaging of RS Oph bipolar ejecta for the 2021 nova outburst. Astron. Astrophys. 2022, 666, L6. [Google Scholar] [CrossRef]
- Nikolov, Y.; Luna, G.J.M.; Stoyanov, K.A.; Borisov, G.; Mukai, K.; Sokoloski, J.L.; Avramova-Boncheva, A. Transient and asymmetric dust structures in the TeV-bright nova RS Oph revealed by spectropolarimetry. arXiv 2023, arXiv:2309.11288. [Google Scholar] [CrossRef]
- Montez, R.; Luna, G.J.M.; Mukai, K.; Sokoloski, J.L.; Kastner, J.H. Expanding Bipolar X-Ray Structure After the 2006 Eruption of RS Oph. Astrophys. J. 2022, 926, 100. [Google Scholar] [CrossRef]
- Diesing, R.; Metzger, B.D.; Aydi, E.; Chomiuk, L.; Vurm, I.; Gupta, S.; Caprioli, D. Evidence for Multiple Shocks from the γ-Ray Emission of RS Ophiuchi. Astrophys. J. 2023, 947, 70. [Google Scholar] [CrossRef]
- Paredes, J.M.; Bordas, P. Phenomenology of gamma-ray emitting binaries. Rend. Lincei Sci. Fis. Nat. 2019, 30, 107–113. [Google Scholar] [CrossRef]
- Ahnen, M.L.; Ansoldi, S.; Antonelli, L.A.; Antoranz, P.; Babic, A.; Banerjee, B.; Bangale, P.; Barres de Almeida, U.; Barrio, J.A.; Becerra González, J.; et al. Super-orbital variability of LS I +61°303 at TeV energies. Astron. Astrophys. 2016, 591, A76. [Google Scholar] [CrossRef]
- Archambault, S.; Archer, A.; Aune, T.; Barnacka, A.; Benbow, W.; Bird, R.; Buchovecky, M.; Buckley, J.H.; Bugaev, V.; Byrum, K.; et al. Exceptionally Bright TeV Flares from the Binary LS I +61 303. Astrophys. J. 2016, 817, L7. [Google Scholar] [CrossRef]
- Adams, C.B.; Benbow, W.; Brill, A.; Buckley, J.H.; Capasso, M.; Chromey, A.J.; Errando, M.; Falcone, A.; A Farrell, K.; Feng, Q.; et al. Observation of the Gamma-Ray Binary HESS J0632+057 with the H.E.S.S., MAGIC, and VERITAS Telescopes. Astrophys. J. 2021, 923, 241. [Google Scholar] [CrossRef]
- Abeysekara, A.U.; Benbow, W.; Bird, R.; Brill, A.; Brose, R.; Buckley, J.H.; Chromey, A.J.; Daniel, M.K.; Falcone, A.; Finley, J.P.; et al. Periastron Observations of TeV Gamma-Ray Emission from a Binary System with a 50-year Period. Astrophys. J. 2018, 867, L19. [Google Scholar] [CrossRef]
- H. E. S. S. Collaboration; Abdalla, H.; Adam, R.; Aharonian, F.; Ait Benkhali, F.; Angüner, E.O.; Arakawa, M.; Arcaro, C.; Armand, C.; Ashkar, H.; et al. H.E.S.S. and Fermi-LAT observations of PSR B1259-63/LS 2883 during its 2014 and 2017 periastron passages. Astron. Astrophys. 2020, 633, A102. [Google Scholar] [CrossRef]
- Bulgarelli, A.; Pittori, C.; Lucarelli, F.; Striani, E.; Gianotti, F.; Trifoglio, M.; Sabatini, S.; Tavani, M.; Verrecchia, F.; Trois, A.; et al. AGILE detection of a gamma ray flare from the Cygnus X-1 region. Astron. Telegr. 2010, 2512, 1. [Google Scholar]
- Sabatini, S.; Tavani, M.; Striani, E.; Bulgarelli, A.; Vittorini, V.; Piano, G.; Del Monte, E.; Feroci, M.; de Pasquale, F.; Trifoglio, M.; et al. Episodic Transient Gamma-ray Emission from the Microquasar Cygnus X-1. Astrophys. J. 2010, 712, L10–L15. [Google Scholar] [CrossRef]
- Sabatini, S.; Tavani, M.; Coppi, P.; Pooley, G.; Del Santo, M.; Campana, R.; Chen, A.; Evangelista, Y.; Piano, G.; Bulgarelli, A.; et al. Gamma-Ray Observations of Cygnus X-1 above 100 MeV in the Hard and Soft States. Astrophys. J. 2013, 766, 83. [Google Scholar] [CrossRef]
- Tavani, M.; Bulgarelli, A.; Piano, G.; Sabatini, S.; Striani, E.; Evangelista, Y.; Trois, A.; Pooley, G.; Trushkin, S.; Nizhelskij, N.A.; et al. Extreme particle acceleration in the microquasar CygnusX-3. Nature 2009, 462, 620–623. [Google Scholar] [CrossRef]
- Fermi LAT Collaboration; Abdo, A.A.; Ackermann, M.; Ajello, M.; Axelsson, M.; Baldini, L.; Ballet, J.; Barbiellini, G.; Bastieri, D.; Baughman, B.M.; et al. Modulated High-Energy Gamma-Ray Emission from the Microquasar Cygnus X-3. Science 2009, 326, 1512. [Google Scholar] [CrossRef] [PubMed]
- Loh, A.; Corbel, S.; Dubus, G.; Rodriguez, J.; Grenier, I.; Hovatta, T.; Pearson, T.; Readhead, A.; Fender, R.; Mooley, K. High-energy gamma-ray observations of the accreting black hole V404 Cygni during its 2015 June outburst. Mon. Not. R. Astron. Soc. Lett. 2016, 462, L111–L115. [Google Scholar] [CrossRef]
- Piano, G.; Munar-Adrover, P.; Verrecchia, F.; Tavani, M.; Trushkin, S.A. High-energy Gamma-Ray Activity from V404 Cygni Detected by AGILE during the 2015 June Outburst. Astrophys. J. 2017, 839, 84. [Google Scholar] [CrossRef]
- Aleksić, J.; Alvarez, E.A.; Antonelli, L.A.; Antoranz, P.; Asensio, M.; Backes, M.; Barrio, J.A.; Bastieri, D.; Becerra González, J.; Bednarek, W.; et al. A Search for Very High Energy Gamma-Ray Emission from Scorpius X-1 with the Magic Telescopes. Astrophys. J. 2011, 735, L5. [Google Scholar] [CrossRef]
- Aleksić, J.; Ansoldi, S.; Antonelli, L.A.; Antoranz, P.; Babic, A.; Bangale, P.; Barrio, J.A.; Becerra González, J.; Bednarek, W.; Bernardini, E.; et al. MAGIC observations of MWC 656, the only known Be/BH system. Astron. Astrophys. 2015, 576, A36. [Google Scholar] [CrossRef]
- Ahnen, M.L.; Ansoldi, S.; Antonelli, L.A.; Arcaro, C.; Babić, A.; Banerjee, B.; Bangale, P.; Barres de Almeida, U.; Barrio, J.A.; Becerra González, J.; et al. MAGIC observations of the microquasar V404 Cygni during the 2015 outburst. Mon. Not. R. Astron. Soc. Lett. 2017, 471, 1688–1693. [Google Scholar] [CrossRef]
- H. E. S. S. Collaboration; Abdalla, H.; Abramowski, A.; Aharonian, F.; Ait Benkhali, F.; Akhperjanian, A.G.; Angüner, E.O.; Arrieta, M.; Aubert, P.; Backes, M.; et al. A search for very high-energy flares from the microquasars GRS 1915+105, Circinus X-1, and V4641 Sgr using contemporaneous H.E.S.S. and RXTE observations. Astron. Astrophys. 2018, 612, A10. [Google Scholar] [CrossRef]
- Abe, H.; Abe, S.; Acciari, V.A.; Aniello, T.; Ansoldi, S.; Antonelli, L.A.; Arbet Engels, A.; Arcaro, C.; Artero, M.; Asano, K.; et al. Gamma-ray observations of MAXI J1820+070 during the 2018 outburst. Mon. Not. R. Astron. Soc. Lett. 2022, 517, 4736–4751. [Google Scholar] [CrossRef]
- Albert, J.; Aliu, E.; Anderhub, H.; Antoranz, P.; Armada, A.; Baixeras, C.; Barrio, J.A.; Bartko, H.; Bastieri, D.; Becker, J.K.; et al. Very High Energy Gamma-Ray Radiation from the Stellar Mass Black Hole Binary Cygnus X-1. Astrophys. J. 2007, 665, L51–L54. [Google Scholar] [CrossRef]
- Abeysekara, A.U.; Albert, A.; Alfaro, R.; Alvarez, C.; Álvarez, J.D.; Arceo, R.; Arteaga-Velázquez, J.C.; Avila Rojas, D.; Ayala Solares, H.A.; Belmont-Moreno, E.; et al. Very-high-energy particle acceleration powered by the jets of the microquasar SS 433. Nature 2018, 562, 82–85. [Google Scholar] [CrossRef]
- Tibolla, O. Recent results from the HAWC experiment. J. Phys. Conf. Ser. 2023, 2429, 012017. [Google Scholar] [CrossRef]
- H. E. S. S. Collaboration; Olivera-Nieto, L.; Reville, B.; Hinton, J.; Tsirou, M. Acceleration and transport of relativistic electrons in the jets of the microquasar SS 433. Science 2024, 383, 402–406. [Google Scholar] [CrossRef]
- Filippenko, A.V. Optical Spectra of Supernovae. Annu. Rev. Astron. Astrophys. 1997, 35, 309–355. [Google Scholar] [CrossRef]
- Georgy, C.; Meynet, G.; Walder, R.; Folini, D.; Maeder, A. The different progenitors of type Ib, Ic SNe, and of GRB. Astron. Astrophys. 2009, 502, 611–622. [Google Scholar] [CrossRef]
- Cao, Z.; Aharonian, F.A.; An, Q.; Axikegu; Bai, L.X.; Bai, Y.X.; Bao, Y.W.; Bastieri, D.; Bi, X.J.; Bi, Y.J.; et al. Ultrahigh-energy photons up to 1.4 petaelectronvolts from 12 γ-ray Galactic sources. Nature 2021, 594, 33–36. [Google Scholar] [CrossRef]
- Cao, Z.; Aharonian, F.; An, Q.; Axikegu; Bai, Y.X.; Bao, Y.W.; Bastieri, D.; Bi, X.J.; Bi, Y.J.; Cai, J.T.; et al. The First LHAASO Catalog of Gamma-Ray Sources. arXiv, 2023; arXiv:2305.17030. [Google Scholar] [CrossRef]
- Smith, N.; Li, W.; Filippenko, A.V.; Chornock, R. Observed fractions of core-collapse supernova types and initial masses of their single and binary progenitor stars. Mon. Not. R. Astron. Soc. Lett. 2011, 412, 1522–1538. [Google Scholar] [CrossRef]
- Murase, K.; Thompson, T.A.; Lacki, B.C.; Beacom, J.F. New class of high-energy transients from crashes of supernova ejecta with massive circumstellar material shells. Phys. Rev. D 2011, 84, 043003. [Google Scholar] [CrossRef]
- Cristofari, P.; Marcowith, A.; Renaud, M.; Dwarkadas, V.V.; Tatischeff, V.; Giacinti, G.; Peretti, E.; Sol, H. The first days of Type II-P core collapse supernovae in the gamma-ray range. Mon. Not. R. Astron. Soc. Lett. 2022, 511, 3321–3329. [Google Scholar] [CrossRef]
- Brose, R.; Sushch, I.; Mackey, J. Core-collapse supernovae in dense environments—Particle acceleration and non-thermal emission. Mon. Not. R. Astron. Soc. Lett. 2022, 516, 492–505. [Google Scholar] [CrossRef]
- Ahnen, M.L.; Ansoldi, S.; Antonelli, L.A.; Antoranz, P.; Arcaro, C.; Babic, A.; Banerjee, B.; Bangale, P.; Barres de Almeida, U.; Barrio, J.A.; et al. Very-high-energy gamma-ray observations of the Type Ia Supernova SN 2014J with the MAGIC telescopes. Astron. Astrophys. 2017, 602, A98. [Google Scholar] [CrossRef]
- Dwarkadas, V.V. Exploring the γ-ray emissivity of young supernova remnants—I. Hadronic emission. Mon. Not. R. Astron. Soc. Lett. 2013, 434, 3368–3377. [Google Scholar] [CrossRef]
- Yuan, Q.; Liao, N.H.; Xin, Y.L.; Li, Y.; Fan, Y.Z.; Zhang, B.; Hu, H.B.; Bi, X.J. Fermi Large Area Telescope Detection of Gamma-Ray Emission from the Direction of Supernova iPTF14hls. Astrophys. J. 2018, 854, L18. [Google Scholar] [CrossRef]
- Xi, S.Q.; Liu, R.Y.; Wang, X.Y.; Yang, R.Z.; Yuan, Q.; Zhang, B. A Serendipitous Discovery of GeV Gamma-Ray Emission from Supernova 2004dj in a Survey of Nearby Star-forming Galaxies with Fermi-LAT. Astrophys. J. 2020, 896, L33. [Google Scholar] [CrossRef]
- Prokhorov, D.A.; Moraghan, A.; Vink, J. Search for gamma rays from SNe with a variable-size sliding-time-window analysis of the Fermi-LAT data. Mon. Not. R. Astron. Soc. Lett. 2021, 505, 1413–1421. [Google Scholar] [CrossRef]
- H. E. S. S. Collaboration; Abdalla, H.; Aharonian, F.; Ait Benkhali, F.; Angüner, E.O.; Arakawa, M.; Arcaro, C.; Armand, C.; Ashkar, H.; Backes, M.; et al. Upper limits on very-high-energy gamma-ray emission from core-collapse supernovae observed with H.E.S.S. Astron. Astrophys. 2019, 626, A57. [Google Scholar] [CrossRef]
- Acharyya, A.; Adams, C.B.; Bangale, P.; Benbow, W.; Buckley, J.H.; Capasso, M.; Dwarkadas, V.V.; Errando, M.; Falcone, A.; Feng, Q.; et al. VERITAS and Fermi-LAT Constraints on the Gamma-Ray Emission from Superluminous Supernovae SN2015bn and SN2017egm. Astrophys. J. 2023, 945, 30. [Google Scholar] [CrossRef]
- Hirata, K.; Kajita, T.; Koshiba, M.; Nakahata, M.; Oyama, Y.; Sato, N.; Suzuki, A.; Takita, M.; Totsuka, Y.; Kifune, T.; et al. Observation of a neutrino burst from the supernova SN1987A. Phys. Rev. Lett. 1987, 58, 1490–1493. [Google Scholar] [CrossRef]
- Bionta, R.M.; Blewitt, G.; Bratton, C.B.; Casper, D.; Ciocio, A.; Claus, R.; Cortez, B.; Crouch, M.; Dye, S.T.; Errede, S.; et al. Observation of a neutrino burst in coincidence with supernova 1987A in the Large Magellanic Cloud. Phys. Rev. Lett. 1987, 58, 1494–1496. [Google Scholar] [CrossRef]
- Cigan, P.; Matsuura, M.; Gomez, H.L.; Indebetouw, R.; Abellán, F.; Gabler, M.; Richards, A.; Alp, D.; Davis, T.A.; Janka, H.T.; et al. High Angular Resolution ALMA Images of Dust and Molecules in the SN 1987A Ejecta. Astrophys. J. 2019, 886, 51. [Google Scholar] [CrossRef]
- Greco, E.; Miceli, M.; Orlando, S.; Olmi, B.; Bocchino, F.; Nagataki, S.; Ono, M.; Dohi, A.; Peres, G. Indication of a Pulsar Wind Nebula in the Hard X-Ray Emission from SN 1987A. Astrophys. J. 2021, 908, L45. [Google Scholar] [CrossRef]
- McCray, R.; Fransson, C. The Remnant of Supernova 1987A. Annu. Rev. Astron. Astrophys. 2016, 54, 19–52. [Google Scholar] [CrossRef]
- H. E. S. S. Collaboration; Abramowski, A.; Aharonian, F.; Ait Benkhali, F.; Akhperjanian, A.G.; Angüner, E.O.; Backes, M.; Balenderan, S.; Balzer, A.; Barnacka, A.; et al. The exceptionally powerful TeV γ-ray emitters in the Large Magellanic Cloud. Science 2015, 347, 406–412. [Google Scholar] [CrossRef]
- Marti-Devesa, G. Fermi-LAT gamma-ray observations of SN 2023ixf. Astron. Telegr. 2023, 16075, 1. [Google Scholar]
- Gaensler, B.M.; Slane, P.O. The Evolution and Structure of Pulsar Wind Nebulae. Annu. Rev. Astron. Astrophys. 2006, 44, 17–47. [Google Scholar] [CrossRef]
- Giacinti, G.; Mitchell, A.M.W.; López-Coto, R.; Joshi, V.; Parsons, R.D.; Hinton, J.A. Halo fraction in TeV-bright pulsar wind nebulae. Astron. Astrophys. 2020, 636, A113. [Google Scholar] [CrossRef]
- Olmi, B. Evolved Pulsar Wind Nebulae. Universe 2023, 9, 402. [Google Scholar] [CrossRef]
- Abeysekara, A.U.; Albert, A.; Alfaro, R.; Alvarez, C.; Álvarez, J.D.; Arceo, R.; Arteaga-Velázquez, J.C.; Avila Rojas, D.; Ayala Solares, H.A.; Barber, A.S.; et al. Extended gamma-ray sources around pulsars constrain the origin of the positron flux at Earth. Science 2017, 358, 911–914. [Google Scholar] [CrossRef]
- Weekes, T.C.; Cawley, M.F.; Fegan, D.J.; Gibbs, K.G.; Hillas, A.M.; Kowk, P.W.; Lamb, R.C.; Lewis, D.A.; Macomb, D.; Porter, N.A.; et al. Observation of TeV Gamma Rays from the Crab Nebula Using the Atmospheric Cerenkov Imaging Technique. Astrophys. J. 1989, 342, 379. [Google Scholar] [CrossRef]
- Aliu, E.; Anderhub, H.; Antonelli, L.A.; Antoranz, P.; Backes, M.; Baixeras, C.; Barrio, J.A.; Bartko, H.; Bastieri, D.; Becker, J.K.; et al. Observation of Pulsed γ-Rays Above 25 GeV from the Crab Pulsar with MAGIC. Science 2008, 322, 1221. [Google Scholar] [CrossRef]
- Ansoldi, S.; Antonelli, L.A.; Antoranz, P.; Babic, A.; Bangale, P.; Barres de Almeida, U.; Barrio, J.A.; Becerra González, J.; Bednarek, W.; Bernardini, E.; et al. Teraelectronvolt pulsed emission from the Crab Pulsar detected by MAGIC. Astron. Astrophys. 2016, 585, A133. [Google Scholar] [CrossRef]
- H. E. S. S. Collaboration. Resolving the Crab pulsar wind nebula at teraelectronvolt energies. Nat. Astron. 2020, 4, 167–173. [Google Scholar] [CrossRef]
- Amenomori, M.; Bao, Y.W.; Bi, X.J.; Chen, D.; Chen, T.L.; Chen, W.Y.; Chen, X.; Chen, Y.; Cirennima.; Cui, S.W.; et al. First Detection of Photons with Energy beyond 100 TeV from an Astrophysical Source. Phys. Rev. Lett. 2019, 123, 051101. [Google Scholar] [CrossRef]
- Abeysekara, A.U.; Albert, A.; Alfaro, R.; Alvarez, C.; Álvarez, J.D.; Camacho, J.R.A.; Arceo, R.; Arteaga-Velázquez, J.C.; Arunbabu, K.P.; Avila Rojas, D.; et al. Measurement of the Crab Nebula Spectrum Past 100 TeV with HAWC. Astrophys. J. 2019, 881, 134. [Google Scholar] [CrossRef]
- MAGIC Collaboration; Acciari, V.A.; Ansoldi, S.; Antonelli, L.A.; Arbet Engels, A.; Baack, D.; Babić, A.; Banerjee, B.; Barres de Almeida, U.; Barrio, J.A.; et al. MAGIC very large zenith angle observations of the Crab Nebula up to 100 TeV. Astron. Astrophys. 2020, 635, A158. [Google Scholar] [CrossRef]
- Tavani, M.; Bulgarelli, A.; Vittorini, V.; Pellizzoni, A.; Striani, E.; Caraveo, P.; Weisskopf, M.C.; Tennant, A.; Pucella, G.; Trois, A.; et al. Discovery of Powerful Gamma-Ray Flares from the Crab Nebula. Science 2011, 331, 736. [Google Scholar] [CrossRef]
- Abdo, A.A.; Ackermann, M.; Ajello, M.; Allafort, A.; Baldini, L.; Ballet, J.; Barbiellini, G.; Bastieri, D.; Bechtol, K.; Bellazzini, R.; et al. Gamma-Ray Flares from the Crab Nebula. Science 2011, 331, 739. [Google Scholar] [CrossRef]
- Bühler, R.; Blandford, R. The surprising Crab pulsar and its nebula: A review. Rep. Prog. Phys. 2014, 77, 066901. [Google Scholar] [CrossRef]
- Mariotti, M. No significant enhancement in the VHE gamma-ray flux of the Crab Nebula measured by MAGIC in September 2010. Astron. Telegr. 2010, 2967, 1. [Google Scholar]
- Ong, R.A. Search for an Enhanced TeV Gamma-Ray Flux from the Crab Nebula with VERITAS. Astron. Telegr. 2010, 2968, 1. [Google Scholar]
- Ojha, R.; Hays, E.; Buehler, R.; Dutka, M. Fermi LAT detection of a new gamma-ray flare from the Crab Nebula region. Astron. Telegr. 2013, 4855, 1. [Google Scholar]
- H. E. S. S. Collaboration; Abramowski, A.; Aharonian, F.; Ait Benkhali, F.; Akhperjanian, A.G.; Angüner, E.; Anton, G.; Balenderan, S.; Balzer, A.; Barnacka, A.; et al. H.E.S.S. observations of the Crab during its March 2013 GeV gamma-ray flare. Astron. Astrophys. 2014, 562, L4. [Google Scholar] [CrossRef]
- Aliu, E.; Archambault, S.; Aune, T.; Benbow, W.; Berger, K.; Bird, R.; Bouvier, A.; Buckley, J.H.; Bugaev, V.; Byrum, K.; et al. A Search for Enhanced Very High Energy Gamma-Ray Emission from the 2013 March Crab Nebula Flare. Astrophys. J. 2014, 781, L11. [Google Scholar] [CrossRef]
- van Scherpenberg, J.; Mirzoyan, R.; Vovk, I.; Peresano, M.; Zaric, D.; Temnikov, P.; Godinović, N.; Besenrieder, J. Searching for Variability of the Crab Nebula Flux at TeV Energies using MAGIC Very Large Zenith Angle Observations. In Proceedings of the 36th International Cosmic Ray Conference (ICRC2019), Madison, WI, USA, 24 July–1 August 2019; Volume 36, p. 812. [Google Scholar]
- Lyutikov, M.; Komissarov, S.; Sironi, L.; Porth, O. Particle acceleration in explosive relativistic reconnection events and Crab Nebula gamma-ray flares. J. Plasma Phys. 2018, 84, 635840201. [Google Scholar] [CrossRef]
- Kirk, J.G.; Giacinti, G. Inductive Spikes in the Crab Nebula: A Theory of γ -Ray Flares. Phys. Rev. Lett. 2017, 119, 211101. [Google Scholar] [CrossRef]
- Nizamov, B.A.; Pshirkov, M.S. Gamma-ray flares from pulsar wind nebulae in the Large Magellanic Cloud. Mon. Not. R. Astron. Soc. Lett. 2023, 520, 4456–4462. [Google Scholar] [CrossRef]
- Lorimer, D.R.; Bailes, M.; McLaughlin, M.A.; Narkevic, D.J.; Crawford, F. A Bright Millisecond Radio Burst of Extragalactic Origin. Science 2007, 318, 777. [Google Scholar] [CrossRef]
- Cordes, J.M.; Chatterjee, S. Fast Radio Bursts: An Extragalactic Enigma. Annu. Rev. Astron. Astrophys. 2019, 57, 417–465. [Google Scholar] [CrossRef]
- Petroff, E.; Hessels, J.W.T.; Lorimer, D.R. Fast radio bursts. Astron. Astrophys. Rev. 2019, 27, 4. [Google Scholar] [CrossRef]
- Chime/Frb Collaboration; Andersen, B.C.; Bandura, K.; Bhardwaj, M.; Boyle, P.J.; Brar, C.; Cassanelli, T.; Chatterjee, S.; Chawla, P.; Cook, A.M.; et al. CHIME/FRB Discovery of 25 Repeating Fast Radio Burst Sources. Astrophys. J. 2023, 947, 83. [Google Scholar] [CrossRef]
- Tendulkar, S.P.; Bassa, C.G.; Cordes, J.M.; Bower, G.C.; Law, C.J.; Chatterjee, S.; Adams, E.A.K.; Bogdanov, S.; Burke-Spolaor, S.; Butler, B.J.; et al. The Host Galaxy and Redshift of the Repeating Fast Radio Burst FRB 121102. Astrophys. J. 2017, 834, L7. [Google Scholar] [CrossRef]
- Chatterjee, S.; Law, C.J.; Wharton, R.S.; Burke-Spolaor, S.; Hessels, J.W.T.; Bower, G.C.; Cordes, J.M.; Tendulkar, S.P.; Bassa, C.G.; Demorest, P.; et al. A direct localization of a fast radio burst and its host. Nature 2017, 541, 58–61. [Google Scholar] [CrossRef]
- Bassa, C.G.; Tendulkar, S.P.; Adams, E.A.K.; Maddox, N.; Bogdanov, S.; Bower, G.C.; Burke-Spolaor, S.; Butler, B.J.; Chatterjee, S.; Cordes, J.M.; et al. FRB 121102 Is Coincident with a Star-forming Region in Its Host Galaxy. Astrophys. J. 2017, 843, L8. [Google Scholar] [CrossRef]
- Chime/Frb Collaboration; Amiri, M.; Andersen, B.C.; Bandura, K.M.; Bhardwaj, M.; Boyle, P.J.; Brar, C.; Chawla, P.; Chen, T.; Cliche, J.F.; et al. Periodic activity from a fast radio burst source. Nature 2020, 582, 351–355. [Google Scholar] [CrossRef]
- Rajwade, K.M.; Mickaliger, M.B.; Stappers, B.W.; Morello, V.; Agarwal, D.; Bassa, C.G.; Breton, R.P.; Caleb, M.; Karastergiou, A.; Keane, E.F.; et al. Possible periodic activity in the repeating FRB 121102. Mon. Not. R. Astron. Soc. Lett. 2020, 495, 3551–3558. [Google Scholar] [CrossRef]
- Pleunis, Z.; Good, D.C.; Kaspi, V.M.; Mckinven, R.; Ransom, S.M.; Scholz, P.; Bandura, K.; Bhardwaj, M.; Boyle, P.J.; Brar, C.; et al. Fast Radio Burst Morphology in the First CHIME/FRB Catalog. Astrophys. J. 2021, 923, 1. [Google Scholar] [CrossRef]
- CHIME/FRB Collaboration; Andersen, B.C.; Bandura, K.M.; Bhardwaj, M.; Bij, A.; Boyce, M.M.; Boyle, P.J.; Brar, C.; Cassanelli, T.; Chawla, P.; et al. A bright millisecond-duration radio burst from a Galactic magnetar. Nature 2020, 587, 54–58. [Google Scholar] [CrossRef]
- Mereghetti, S.; Savchenko, V.; Ferrigno, C.; Götz, D.; Rigoselli, M.; Tiengo, A.; Bazzano, A.; Bozzo, E.; Coleiro, A.; Courvoisier, T.J.L.; et al. INTEGRAL Discovery of a Burst with Associated Radio Emission from the Magnetar SGR 1935+2154. Astrophys. J. 2020, 898, L29. [Google Scholar] [CrossRef]
- Tavani, M.; Casentini, C.; Ursi, A.; Verrecchia, F.; Addis, A.; Antonelli, L.A.; Argan, A.; Barbiellini, G.; Baroncelli, L.; Bernardi, G.; et al. An X-ray burst from a magnetar enlightening the mechanism of fast radio bursts. Nat. Astron. 2021, 5, 401–407. [Google Scholar] [CrossRef]
- Ridnaia, A.; Svinkin, D.; Frederiks, D.; Bykov, A.; Popov, S.; Aptekar, R.; Golenetskii, S.; Lysenko, A.; Tsvetkova, A.; Ulanov, M.; et al. A peculiar hard X-ray counterpart of a Galactic fast radio burst. Nat. Astron. 2021, 5, 372–377. [Google Scholar] [CrossRef]
- Palmer, D.M. A Forest of Bursts from SGR 1935+2154. Astron. Telegr. 2020, 13675, 1. [Google Scholar]
- Fletcher, C.; Fermi GBM Team. Fermi GBM observation of a bright flare from magnetar SGR 1935+2154. GRB Coord. Netw. 2020, 27659, 1. [Google Scholar]
- Lin, L.; Zhang, C.F.; Wang, P.; Gao, H.; Guan, X.; Han, J.L.; Jiang, J.C.; Jiang, P.; Lee, K.J.; Li, D.; et al. No pulsed radio emission during a bursting phase of a Galactic magnetar. Nature 2020, 587, 63–65. [Google Scholar] [CrossRef]
- Kirsten, F.; Marcote, B.; Nimmo, K.; Hessels, J.W.T.; Bhardwaj, M.; Tendulkar, S.P.; Keimpema, A.; Yang, J.; Snelders, M.P.; Scholz, P.; et al. A repeating fast radio burst source in a globular cluster. Nature 2022, 602, 585–589. [Google Scholar] [CrossRef] [PubMed]
- Popov, S.B.; Postnov, K.A. Hyperflares of SGRs as an engine for millisecond extragalactic radio bursts. In Evolution of Cosmic Objects through Their Physical Activity; Proceedings of the Conference Dedicated to Viktor Ambartsumian’s 100th Anniversary, Yerevan and Byurakan, Armenia, 15–18 September 2008; Harutyunian, H.A., Mickaelian, A.M., Terzian, Y., Eds.; Cornell University: Ithaca, NY, USA, 2010; pp. 129–132. [Google Scholar] [CrossRef]
- Kulkarni, S.R.; Ofek, E.O.; Neill, J.D.; Zheng, Z.; Juric, M. Giant Sparks at Cosmological Distances? Astrophys. J. 2014, 797, 70. [Google Scholar] [CrossRef]
- Katz, J.I. How Soft Gamma Repeaters Might Make Fast Radio Bursts. Astrophys. J. 2016, 826, 226. [Google Scholar] [CrossRef]
- Zhang, B. The physical mechanisms of fast radio bursts. Nature 2020, 587, 45–53. [Google Scholar] [CrossRef] [PubMed]
- Beloborodov, A.M. Blast Waves from Magnetar Flares and Fast Radio Bursts. Astrophys. J. 2020, 896, 142. [Google Scholar] [CrossRef]
- Metzger, B.D.; Margalit, B.; Sironi, L. Fast radio bursts as synchrotron maser emission from decelerating relativistic blast waves. Mon. Not. R. Astron. Soc. Lett. 2019, 485, 4091–4106. [Google Scholar] [CrossRef]
- Metzger, B.D.; Fang, K.; Margalit, B. Neutrino Counterparts of Fast Radio Bursts. Astrophys. J. 2020, 902, L22. [Google Scholar] [CrossRef]
- Bissaldi, E.; Briggs, M.; Burns, E.; Roberts, O.J.; Veres, P.; Fermi GBM Team. GRB 200415A: Fermi GBM observation. GRB Coord. Netw. 2020, 27587, 1. [Google Scholar]
- Omodei, N.; Axelsson, M.; Piron, F.; Longo, F.; Kocevski, D.; Bissaldi, E.; Berretta, A.; Fermi-LAT Collaboration. GRB 200415A: Fermi-LAT detection. GRB Coord. Netw. 2020, 27586, 1. [Google Scholar]
- Principe, G.; Di Venere, L.; Negro, M.; Di Lalla, N.; Omodei, N.; Di Tria, R.; Mazziotta, M.N.; Longo, F. Hunting for gamma-ray emission from fast radio bursts. Astron. Astrophys. 2023, 675, A99. [Google Scholar] [CrossRef]
- Lyubarsky, Y. A model for fast extragalactic radio bursts. Mon. Not. R. Astron. Soc. Lett. 2014, 442, L9–L13. [Google Scholar] [CrossRef]
- Murase, K.; Kashiyama, K.; Mészáros, P. A burst in a wind bubble and the impact on baryonic ejecta: High-energy gamma-ray flashes and afterglows from fast radio bursts and pulsar-driven supernova remnants. Mon. Not. R. Astron. Soc. Lett. 2016, 461, 1498–1511. [Google Scholar] [CrossRef]
- Margalit, B.; Beniamini, P.; Sridhar, N.; Metzger, B.D. Implications of a Fast Radio Burst from a Galactic Magnetar. Astrophys. J. 2020, 899, L27. [Google Scholar] [CrossRef]
- López-Oramas, A.; Jiménez Martínez, I.; Hassan, T.; Hoang, J.; Inoue, S.; Acciari, V.A.; Ansoldi, S.; Antonelli, L.A.; Arbet Engels, A.; Artero, M.; et al. Monitoring the magnetar SGR 1935+2154 with the MAGIC telescopes. PoS 2021, ICRC2021, 783. [Google Scholar] [CrossRef]
- Abdalla, H.; Aharonian, F.; Ait Benkhali, F.; Angüner, E.O.; Arcaro, C.; Armand, C.; Armstrong, T.; Ashkar, H.; Backes, M.; Baghmanyan, V.; et al. Searching for TeV Gamma-Ray Emission from SGR 1935+2154 during Its 2020 X-Ray and Radio Bursting Phase. Astrophys. J. 2021, 919, 106. [Google Scholar] [CrossRef]
- Holder, J.; VERITAS Collaboration; Lynch, R.S. VERITAS Observations of Fast Radio Bursts. In Proceedings of the 36th International Cosmic Ray Conference (ICRC2019), Madison, WI, USA, 24 July–1 August 2019; Volume 36, p. 698. [Google Scholar] [CrossRef]
- H. E. S. S. Collaboration; Abdalla, H.; Abramowski, A.; Aharonian, F.; Ait Benkhali, F.; Akhperjanian, A.G.; Andersson, T.; Angüner, E.O.; Arakawa, M.; Arrieta, M.; et al. First limits on the very-high energy gamma-ray afterglow emission of a fast radio burst. H.E.S.S. observations of FRB 150418. Astron. Astrophys. 2017, 597, A115. [Google Scholar] [CrossRef]
- Keane, E.F.; Johnston, S.; Bhandari, S.; Barr, E.; Bhat, N.D.R.; Burgay, M.; Caleb, M.; Flynn, C.; Jameson, A.; Kramer, M.; et al. The host galaxy of a fast radio burst. Nature 2016, 530, 453–456. [Google Scholar] [CrossRef]
- MAGIC Collaboration; Acciari, V.A.; Ansoldi, S.; Antonelli, L.A.; Arbet Engels, A.; Arcaro, C.; Baack, D.; Babić, A.; Banerjee, B.; Zariɣ, D.; et al. Constraining very-high-energy and optical emission from FRB 121102 with the MAGIC telescopes. Mon. Not. R. Astron. Soc. Lett. 2018, 481, 2479–2486. [Google Scholar] [CrossRef]
- Bird, R.; VERITAS Collaboration. Observing FRB 121102 with VERITAS; Searching for Associated TeV Emission. In Proceedings of the 35th International Cosmic Ray Conference (ICRC2017), Busan, Republic of Korea, 12–20 July 2017; Volume 301, p. 621. [Google Scholar] [CrossRef]
- Veritas; Capasso, M.; Ong, R.; Sadeh, I.; Kaaret, P.; Jin, W.; Benbow, W.; Mukherjee, R.; Prado, R.; Lundy, M.; et al. Gamma-ray and Optical Observations of Repeating Fast Radio Bursts with VERITAS. In Proceedings of the 37th International Cosmic Ray Conference, Berlin, Germany, 12–23 July 2022; p. 857. [Google Scholar] [CrossRef]
- Hoang, J.; Hassan, T.; Tejedor, L.A.; Barrio, J.A.; López, M.; Fink, D.; Will, M.; Contreras, J.L. MAGIC-II’s central pixel system for simultaneous optical and gamma-ray observation. J. Astron. Telesc. Instruments Syst. 2020, 6, 036002. [Google Scholar] [CrossRef]
- Griffin, S.; Hanna, D.; Gilbert, A. Searching for Fast Optical Transients using VERITAS Cherenkov Telescopes. In Proceedings of the International Cosmic Ray Conference, Beijing, China, 11–18 August 2011; Volume 9, p. 38. [Google Scholar] [CrossRef]
- Franzen, A.; Gillessen, S.; Hermann, G.; Hinton, J.; H. E. S. S. Collaboration. Optical Observations of the Crab Pulsar Using the First H.E.S.S. Cherenkov Telescope. In Proceedings of the International Cosmic Ray Conference, Tsukuba, Japan, 31 July–7 August 2003; Volume 5, p. 2987. [Google Scholar]
- Yang, Y.P.; Zhang, B.; Wei, J.Y. How Bright Are Fast Optical Bursts Associated With Fast Radio Bursts? Astrophys. J. 2019, 878, 89. [Google Scholar] [CrossRef]
- Stefanescu, A.; Kanbach, G.; Słowikowska, A.; Greiner, J.; McBreen, S.; Sala, G. Very fast optical flaring from a possible new Galactic magnetar. Nature 2008, 455, 503–505. [Google Scholar] [CrossRef]
- Abbott, B.P.; Abbott, R.; Abbott, T.D.; Abernathy, M.R.; Acernese, F.; Ackley, K.; Adams, C.; Adams, T.; Addesso, P.; Adhikari, R.X.; et al. Observation of Gravitational Waves from a Binary Black Hole Merger. Phys. Rev. Lett. 2016, 116, 061102. [Google Scholar] [CrossRef]
- Abbott, B.P.; Abbott, R.; Abbott, T.D.; Acernese, F.; Ackley, K.; Adams, C.; Adams, T.; Addesso, P.; Adhikari, R.X.; Adya, V.B.; et al. GW170817: Observation of Gravitational Waves from a Binary Neutron Star Inspiral. Phys. Rev. Lett. 2017, 119, 161101. [Google Scholar] [CrossRef]
- Abbott, B.P.; Abbott, R.; Abbott, T.D.; Abraham, S.; Acernese, F.; Ackley, K.; Adams, C.; Adhikari, R.X.; Adya, V.B.; Affeldt, C.; et al. GWTC-1: A Gravitational-Wave Transient Catalog of Compact Binary Mergers Observed by LIGO and Virgo during the First and Second Observing Runs. Phys. Rev. X 2019, 9, 031040. [Google Scholar] [CrossRef]
- Goldstein, A.; Veres, P.; Burns, E.; Briggs, M.S.; Hamburg, R.; Kocevski, D.; Wilson-Hodge, C.A.; Preece, R.D.; Poolakkil, S.; Roberts, O.J.; et al. An Ordinary Short Gamma-Ray Burst with Extraordinary Implications: Fermi-GBM Detection of GRB 170817A. Astrophys. J. 2017, 848, L14. [Google Scholar] [CrossRef]
- Savchenko, V.; Ferrigno, C.; Kuulkers, E.; Bazzano, A.; Bozzo, E.; Brandt, S.; Chenevez, J.; Courvoisier, T.J.L.; Diehl, R.; Domingo, A.; et al. INTEGRAL Detection of the First Prompt Gamma-Ray Signal Coincident with the Gravitational-wave Event GW170817. Astrophys. J. 2017, 848, L15. [Google Scholar] [CrossRef]
- Levan, A.; Crowther, P.; de Grijs, R.; Langer, N.; Xu, D.; Yoon, S.C. Gamma-Ray Burst Progenitors. Space Sci. Rev. 2016, 202, 33–78. [Google Scholar] [CrossRef]
- Coulter, D.A.; Foley, R.J.; Kilpatrick, C.D.; Drout, M.R.; Piro, A.L.; Shappee, B.J.; Siebert, M.R.; Simon, J.D.; Ulloa, N.; Kasen, D.; et al. Swope Supernova Survey 2017a (SSS17a), the optical counterpart to a gravitational wave source. Science 2017, 358, 1556–1558. [Google Scholar] [CrossRef]
- Li, L.X.; Paczyński, B. Transient Events from Neutron Star Mergers. Astrophys. J. 1998, 507, L59–L62. [Google Scholar] [CrossRef]
- Metzger, B.D.; Martínez-Pinedo, G.; Darbha, S.; Quataert, E.; Arcones, A.; Kasen, D.; Thomas, R.; Nugent, P.; Panov, I.V.; Zinner, N.T. Electromagnetic counterparts of compact object mergers powered by the radioactive decay of r-process nuclei. Mon. Not. R. Astron. Soc. Lett. 2010, 406, 2650–2662. [Google Scholar] [CrossRef]
- Troja, E.; Piro, L.; van Eerten, H.; Wollaeger, R.T.; Im, M.; Fox, O.D.; Butler, N.R.; Cenko, S.B.; Sakamoto, T.; Fryer, C.L.; et al. The X-ray counterpart to the gravitational-wave event GW170817. Nature 2017, 551, 71–74. [Google Scholar] [CrossRef]
- Blandford, R.D.; McKee, C.F. Fluid dynamics of relativistic blast waves. Phys. Fluids 1976, 19, 1130–1138. [Google Scholar] [CrossRef]
- Pian, E.; D’Avanzo, P.; Benetti, S.; Branchesi, M.; Brocato, E.; Campana, S.; Cappellaro, E.; Covino, S.; D’Elia, V.; Fynbo, J.P.U.; et al. Spectroscopic identification of r-process nucleosynthesis in a double neutron-star merger. Nature 2017, 551, 67–70. [Google Scholar] [CrossRef]
- Ghirlanda, G.; Salafia, O.S.; Paragi, Z.; Giroletti, M.; Yang, J.; Marcote, B.; Blanchard, J.; Agudo, I.; An, T.; Bernardini, M.G.; et al. Compact radio emission indicates a structured jet was produced by a binary neutron star merger. Science 2019, 363, 968–971. [Google Scholar] [CrossRef]
- Abdalla, H.; Adam, R.; Aharonian, F.; Ait Benkhali, F.; Angüner, E.O.; Arakawa, M.; Arcaro, C.; Armand, C.; Ashkar, H.; Backes, M.; et al. A very-high-energy component deep in the γ-ray burst afterglow. Nature 2019, 575, 464–467. [Google Scholar] [CrossRef]
- MAGIC Collaboration; Acciari, V.A.; Ansoldi, S.; Antonelli, L.A.; Arbet Engels, A.; Baack, D.; Babić, A.; Banerjee, B.; Barres de Almeida, U.; Barrio, J.A.; et al. Teraelectronvolt emission from the γ-ray burst GRB 190114C. Nature 2019, 575, 455–458. [Google Scholar] [CrossRef]
- H. E. S. S. Collaboration; Abdalla, H.; Aharonian, F.; Ait Benkhali, F.; Angüner, E.O.; Arcaro, C.; Armand, C.; Armstrong, T.; Ashkar, H.; Backes, M.; et al. Revealing X-ray and gamma ray temporal and spectral similarities in the GRB 190829A afterglow. Science 2021, 372, 1081–1085. [Google Scholar] [CrossRef] [PubMed]
- Acciari, V.A.; Ansoldi, S.; Antonelli, L.A.; Arbet Engels, A.; Asano, K.; Baack, D.; Babić, A.; Baquero, A.; Barres de Almeida, U.; Barrio, J.A.; et al. MAGIC Observations of the Nearby Short Gamma-Ray Burst GRB 160821B. Astrophys. J. 2021, 908, 90. [Google Scholar] [CrossRef]
- Antonelli, A.; Carosi, A.; de Lotto, B.; Mirzoyan, R.; Stamerra, A. LIGO/Virgo G211117: MAGIC very-high energy gamma-ray observations. GRB Coord. Netw. 2015, 18776, 1. [Google Scholar]
- de Lotto, B.; Ansoldi, S.; Antonelli, A.; Berti, A.; Carosi, A.; Longo, F.; Stamerra, A. MAGIC electromagnetic follow-up of gravitational wave alerts. In New Frontiers in Black Hole Astrophysics, Ljubljana, Slovenia, Proceedings of the International Astronomical Union, IAU Symposium; Cambridge University Press: Cambridge, UK, 2017; Volume 324, pp. 287–290. [Google Scholar] [CrossRef]
- Mukherjee, R.; VERITAS Collaboration. LIGO/Virgo G268556: VERITAS Very-High-Energy Gamma-Ray Observations. GRB Coord. Netw. 2017, 21153, 1. [Google Scholar]
- Ashka, H.; Schüssler, F.; Seglar-Arroyo, M.; H. E. S. S. Collaboration. Searches for TeV gamma-ray counterparts to gravitational wave events with H.E.S.S. Mem. Soc. Astron. Ital. 2019, 90, 49. [Google Scholar] [CrossRef]
- Abdalla, H.; Abramowski, A.; Aharonian, F.; Ait Benkhali, F.; Angüner, E.O.; Arakawa, M.; Arrieta, M.; Aubert, P.; Backes, M.; Balzer, A.; et al. TeV Gamma-Ray Observations of the Binary Neutron Star Merger GW170817 with H.E.S.S. Astrophys. J. 2017, 850, L22. [Google Scholar] [CrossRef]
- Coulter, D.A.; Kilpatrick, C.D.; Siebert, M.R.; Foley, R.J.; Shappee, B.J.; Drout, M.R.; Simon, J.S.; Piro, A.L.; Rest, A.; One-Meter Two-Hemisphere (1M2H) Collaboration. LIGO/Virgo G298048: Potential optical counterpart discovered by Swope telescope. GRB Coord. Netw. 2017, 21529, 1. [Google Scholar]
- Salafia, O.S.; Berti, A.; Covino, S.; D’Elia, V.; Miceli, D.; Nava, L.; Patricelli, B.; Righi, C.; Inoue, S.; Antonelli, L.A.; et al. Follow-up observations of GW170817 with the MAGIC telescopes. In Proceedings of the 37th International Cosmic Ray Conference, Berlin, Germany, 12–23 July 2021; p. 944. [Google Scholar] [CrossRef]
- Abdalla, H.; Adam, R.; Aharonian, F.; Ait Benkhali, F.; Angüner, E.O.; Arakawa, M.; Arcaro, C.; Armand, C.; Armstrong, T.; Ashkar, H.; et al. Probing the Magnetic Field in the GW170817 Outflow Using H.E.S.S. Observations. Astrophys. J. 2020, 894, L16. [Google Scholar] [CrossRef]
- Salafia, O.S.; Ghirlanda, G.; Ascenzi, S.; Ghisellini, G. On-axis view of GRB 170817A. Astron. Astrophys. 2019, 628, A18. [Google Scholar] [CrossRef]
- Farrar, G.R.; Piran, T. Tidal disruption jets as the source of Ultra-High Energy Cosmic Rays. arXiv 2014, arXiv:1411.0704. [Google Scholar] [CrossRef]
- Guépin, C.; Kotera, K.; Barausse, E.; Fang, K.; Murase, K. Ultra-high-energy cosmic rays and neutrinos from tidal disruptions by massive black holes (Corrigendum). Astron. Astrophys. 2020, 636, C3. [Google Scholar] [CrossRef]
- Aartsen, M.G.; Abraham, K.; Ackermann, M.; Adams, J.; Aguilar, J.A.; Ahlers, M.; Ahrens, M.; Altmann, D.; Anderson, T.; Archinger, M.; et al. Evidence for Astrophysical Muon Neutrinos from the Northern Sky with IceCube. Phys. Rev. Lett. 2015, 115, 081102. [Google Scholar] [CrossRef]
- IceCube Collaboration; Aartsen, M.G.; Ackermann, M.; Adams, J.; Aguilar, J.A.; Ahlers, M.; Ahrens, M.; Al Samarai, I.; Altmann, D.; Andeen, K.; et al. Multimessenger observations of a flaring blazar coincident with high-energy neutrino IceCube-170922A. Science 2018, 361, eaat1378. [Google Scholar] [CrossRef]
- IceCube Collaboration; Abbasi, R.; Ackermann, M.; Adams, J.; Aguilar, J.A.; Ahlers, M.; Ahrens, M.; Alameddine, J.M.; Alispach, C.; Alves, A.A.J.; et al. Evidence for neutrino emission from the nearby active galaxy NGC 1068. Science 2022, 378, 538–543. [Google Scholar] [CrossRef] [PubMed]
- Bellm, E.C.; Kulkarni, S.R.; Graham, M.J.; Dekany, R.; Smith, R.M.; Riddle, R.; Masci, F.J.; Helou, G.; Prince, T.A.; Adams, S.M.; et al. The Zwicky Transient Facility: System Overview, Performance, and First Results. Publ. Astron. Soc. Pac. 2019, 131, 018002. [Google Scholar] [CrossRef]
- Stein, R.; van Velzen, S.; Kowalski, M.; Franckowiak, A.; Gezari, S.; Miller-Jones, J.C.A.; Frederick, S.; Sfaradi, I.; Bietenholz, M.F.; Horesh, A.; et al. A tidal disruption event coincident with a high-energy neutrino. Nat. Astron. 2021, 5, 510–518. [Google Scholar] [CrossRef]
- Acciari, V.A.; Aniello, T.; Ansoldi, S.; Antonelli, L.A.; Arbet Engels, A.; Artero, M.; Asano, K.; Baack, D.; Babić, A.; Baquero, A.; et al. Investigating the Blazar TXS 0506+056 through Sharp Multiwavelength Eyes During 2017-2019. Astrophys. J. 2022, 927, 197. [Google Scholar] [CrossRef]
- Acciari, V.A.; Ansoldi, S.; Antonelli, L.A.; Arbet Engels, A.; Baack, D.; Babić, A.; Banerjee, B.; Barres de Almeida, U.; Barrio, J.A.; Becerra González, J.; et al. Constraints on Gamma-Ray and Neutrino Emission from NGC 1068 with the MAGIC Telescopes. Astrophys. J. 2019, 883, 135. [Google Scholar] [CrossRef]
- Aleksić, J.; Antonelli, L.A.; Antoranz, P.; Asensio, M.; Backes, M.; Barres de Almeida, U.; Barrio, J.A.; Becerra González, J.; Bednarek, W.; Berger, K.; et al. Very high energy gamma-ray observation of the peculiar transient event Swift J1644+57 with the MAGIC telescopes and AGILE. Astron. Astrophys. 2013, 552, A112. [Google Scholar] [CrossRef]
- Aliu, E.; Arlen, T.; Aune, T.; Beilicke, M.; Benbow, W.; Böttcher, M.; Bouvier, A.; Bradbury, S.M.; Buckley, J.H.; Bugaev, V.; et al. VERITAS Observations of the Unusual Extragalactic Transient Swift J164449.3+573451. Astrophys. J. 2011, 738, L30. [Google Scholar] [CrossRef]
- Ivezić, Ž.; Kahn, S.M.; Tyson, J.A.; Abel, B.; Acosta, E.; Allsman, R.; Alonso, D.; AlSayyad, Y.; Anderson, S.F.; Andrew, J.; et al. LSST: From Science Drivers to Reference Design and Anticipated Data Products. Astrophys. J. 2019, 873, 111. [Google Scholar] [CrossRef]
- Chen, X.; Gómez-Vargas, G.A.; Guillochon, J. The γ-ray afterglows of tidal disruption events. Mon. Not. R. Astron. Soc. Lett. 2016, 458, 3314–3323. [Google Scholar] [CrossRef] [PubMed][Green Version]
- Paczynski, B. Gamma-ray bursters at cosmological distances. Astrophys. J. 1986, 308, L43–L46. [Google Scholar] [CrossRef]
- Piran, T. Gamma-ray bursts and the fireball model. Phys. Rep. 1999, 314, 575–667. [Google Scholar] [CrossRef]
- Sari, R.; Esin, A.A. On the Synchrotron Self-Compton Emission from Relativistic Shocks and Its Implications for Gamma-Ray Burst Afterglows. Astrophys. J. 2001, 548, 787–799. [Google Scholar] [CrossRef]
- Zhang, B.; Mészáros, P. High-Energy Spectral Components in Gamma-Ray Burst Afterglows. Astrophys. J. 2001, 559, 110–122. [Google Scholar] [CrossRef]
- Gupta, N.; Zhang, B. Prompt emission of high-energy photons from gamma ray bursts. Mon. Not. R. Astron. Soc. Lett. 2007, 380, 78–92. [Google Scholar] [CrossRef]
- Ghisellini, G.; Ghirlanda, G.; Nava, L.; Celotti, A. GeV emission from gamma-ray bursts: A radiative fireball? Mon. Not. R. Astron. Soc. Lett. 2010, 403, 926–937. [Google Scholar] [CrossRef]
- Carosi, A.; Ashkar, H.; Berti, A.; Bordas, P.; de Bony Lavergne, M.; Donini, A.; Dalchenko, M.; Fiasson, A.; Foffano, L.; Fukami, S.; et al. First follow-up of transient events with the CTA Large Size Telescope prototype. arXiv 2021, arXiv:2108.04309. [Google Scholar] [CrossRef]
- LHAASO Collaboration; Cao, Z.; Aharonian, F.; An, Q.; Axikegu, A.; Bai, L.X.; Bai, Y.X.; Bao, Y.W.; Bastieri, D.; Bi, X.J.; et al. A tera-electron volt afterglow from a narrow jet in an extremely bright gamma-ray burst. Science 2023, 380, 1390–1396. [Google Scholar] [CrossRef]
- Scuderi, S.; Giuliani, A.; Pareschi, G.; Tosti, G.; Catalano, O.; Amato, E.; Antonelli, L.A.; Becerra Gonzàles, J.; Bellassai, G.; Bigongiari, C.; et al. The ASTRI Mini-Array of Cherenkov telescopes at the Observatorio del Teide. J. High Energy Astrophys. 2022, 35, 52–68. [Google Scholar] [CrossRef]
- Stamerra, A.; Saturni, F.G.; Green, J.G.; Nava, L.; Lucarelli, F.; Antonelli, L.A. TeV Transients with the ASTRI Mini-Array: A case study with GRB 190114C. In Proceedings of the ICRC2021, Berlin, Germany, 12–23 July 2021; p. 890. [Google Scholar] [CrossRef]
- Carosi, A.; Stamerra, A.; Nava, L.; Pintore, F.; Antonelli, L.A.; D’Aì, A.; Lombardi, S.; Lucarelli, F.; Saturni, F.G.; Ghirlanda, G.; et al. The ASTRI Mini-Array observations of TeV transient events. In Proceedings of the 38th International Cosmic Ray Conference—PoS(ICRC2023), Nagoya, Japan, 26 July–3 August 2023; p. 785. [Google Scholar] [CrossRef]
- Berti, A.; Carosi, A. The Detection of GRBs at VHE: A Challenge Lasting for More than Two Decades, What Is Next? Galaxies 2022, 10, 67. [Google Scholar] [CrossRef]
- Bošnjak, Ž.; Brown, A.M.; Carosi, A.; Chernyakova, M.; Cristofari, P.; Longo, F.; López-Oramas, A.; Santander, M.; Satalecka, K.; Schüssler, F.; et al. Multi-messenger and transient astrophysics with the Cherenkov Telescope Array. arXiv 2021, arXiv:2106.03621. [Google Scholar] [CrossRef]
- Carosi, A.; López-Oramas, A.; Longo, F.; CTA Collaboration. The Cherenkov Telescope Array transient and multi-messenger program. In Proceedings of the 37th International Cosmic Ray Conference, (ICRC2021), Berlin, Germany, 12–23 July 2021; p. 736. [Google Scholar] [CrossRef]
- López-Oramas, A. Transient and multi-messenger astrophysics with the Cherenkov Telescope Array. In Proceedings of the Highlights on Spanish Astrophysics XI, La Laguna, Spain, 5–9 September 2022; p. 159. [Google Scholar]
- Schaefer, B.E. The B & V light curves for recurrent nova T CrB from 1842-2022, the unique pre- and post-eruption high-states, the complex period changes, and the upcoming eruption in 2025.5 ± 1.3. Mon. Not. R. Astron. Soc. Lett. 2023, 524, 3146–3165. [Google Scholar] [CrossRef]
- Schaefer, B.E.; Kloppenborg, B.; Waagen, E.O.; Observers, T.A. Recurrent nova T CrB has just started its Pre-eruption Dip in March/April 2023, so the eruption should occur around 2024.4 +- 0.3. Astron. Telegr. 2023, 16107, 1. [Google Scholar]
- Munari, U.; Ochner, P.; Dallaporta, S.; Valisa, P.; Vagnozzi, A.; Moretti, S.; Bergamini, A.; Cherini, G. Fast and steady re-brightening of the accretion disk of T CrB past the deep minimum of August-September 2023. Astron. Telegr. 2024, 16404, 1. [Google Scholar]
- Sarmah, P. New constraints on the gamma-ray and high energy neutrino fluxes from the circumstellar interaction of SN 2023ixf. arXiv 2023, arXiv:2307.08744. [Google Scholar] [CrossRef]
- Mestre, E.; de Oña Wilhelmi, E.; Khangulyan, D.; Zanin, R.; Acero, F.; Torres, D.F. The Crab nebula variability at short time-scales with the Cherenkov telescope array. Mon. Not. R. Astron. Soc. Lett. 2021, 501, 337–346. [Google Scholar] [CrossRef]
- López-Oramas, A.; Bulgarelli, A.; Chaty, S.; Chernyakova, M.; Gnatyk, R.; Hnatyk, B.; Kantzas, D.; Markoff, S.; McKeague, S.; Mereghetti, S.; et al. Prospects for Galactic transient sources detection with the Cherenkov Telescope Array. In Proceedings of the 37th International Cosmic Ray Conference, (ICRC2021), Berlin, Germany, 12–23 July 2021; p. 784. [Google Scholar] [CrossRef]
- Aleksić, J.; Antonelli, L.A.; Antoranz, P.; Asensio, M.; Barres de Almeida, U.; Barrio, J.A.; Becerra González, J.; Bednarek, W.; Berger, K.; Bernardini, E.; et al. Observations of the magnetars 4U 0142+61 and 1E 2259+586 with the MAGIC telescopes. Astron. Astrophys. 2013, 549, A23. [Google Scholar] [CrossRef]
- Fermi-LAT Collaboration; Ajello, M.; Atwood, W.B.; Axelsson, M.; Baldini, L.; Barbiellini, G.; Baring, M.G.; Bastieri, D.; Bellazzini, R.; Berretta, A.; et al. High-energy emission from a magnetar giant flare in the Sculptor galaxy. Nat. Astron. 2021, 5, 385–391. [Google Scholar] [CrossRef]
- Paneque, D. MAGIC observation of GRB 231115A, a possible magnetar giant flare. GRB Coord. Netw. 2023, 35068, 1. [Google Scholar]
- Green, J.G.; Seglar-Arroyo, M.; Consortium, C.; Abe, K.; Abe, S.; Acharyya, A.; Adam, R.; Aguasca-Cabot, A.; Agudo, I.; Dörner, J.; et al. Chasing Gravitational Waves with the Cherenkov Telescope Array. arXiv 2023, arXiv:2310.07413. [Google Scholar] [CrossRef]
- Petrov, P.; Singer, L.P.; Coughlin, M.W.; Kumar, V.; Almualla, M.; Anand, S.; Bulla, M.; Dietrich, T.; Foucart, F.; Guessoum, N. Data-driven Expectations for Electromagnetic Counterpart Searches Based on LIGO/Virgo Public Alerts. Astrophys. J. 2022, 924, 54. [Google Scholar] [CrossRef]














Disclaimer/Publisher’s Note: The statements, opinions and data contained in all publications are solely those of the individual author(s) and contributor(s) and not of MDPI and/or the editor(s). MDPI and/or the editor(s) disclaim responsibility for any injury to people or property resulting from any ideas, methods, instructions or products referred to in the content. |
© 2024 by the authors. Licensee MDPI, Basel, Switzerland. This article is an open access article distributed under the terms and conditions of the Creative Commons Attribution (CC BY) license (https://creativecommons.org/licenses/by/4.0/).
Share and Cite
Carosi, A.; López-Oramas, A. A Very-High-Energy Gamma-Ray View of the Transient Sky. Universe 2024, 10, 163. https://doi.org/10.3390/universe10040163
Carosi A, López-Oramas A. A Very-High-Energy Gamma-Ray View of the Transient Sky. Universe. 2024; 10(4):163. https://doi.org/10.3390/universe10040163
Chicago/Turabian StyleCarosi, Alessandro, and Alicia López-Oramas. 2024. "A Very-High-Energy Gamma-Ray View of the Transient Sky" Universe 10, no. 4: 163. https://doi.org/10.3390/universe10040163
APA StyleCarosi, A., & López-Oramas, A. (2024). A Very-High-Energy Gamma-Ray View of the Transient Sky. Universe, 10(4), 163. https://doi.org/10.3390/universe10040163

