Examination of Intermolecular Forces Influencing Headspace Analysis of Biological Samples
Abstract
1. Introduction
2. Materials and Methods
2.1. Materials
2.2. Methods
2.2.1. Headspace Sampling
2.2.2. Analytical Instrument Settings
2.2.3. Test Solution Preparation
2.2.4. Effect of Analyte Solubility on Headspace Concentration
2.2.5. Effect of Matrix Protein on Headspace Concentration
2.2.6. Effect of Temperature on Headspace Concentration
3. Results
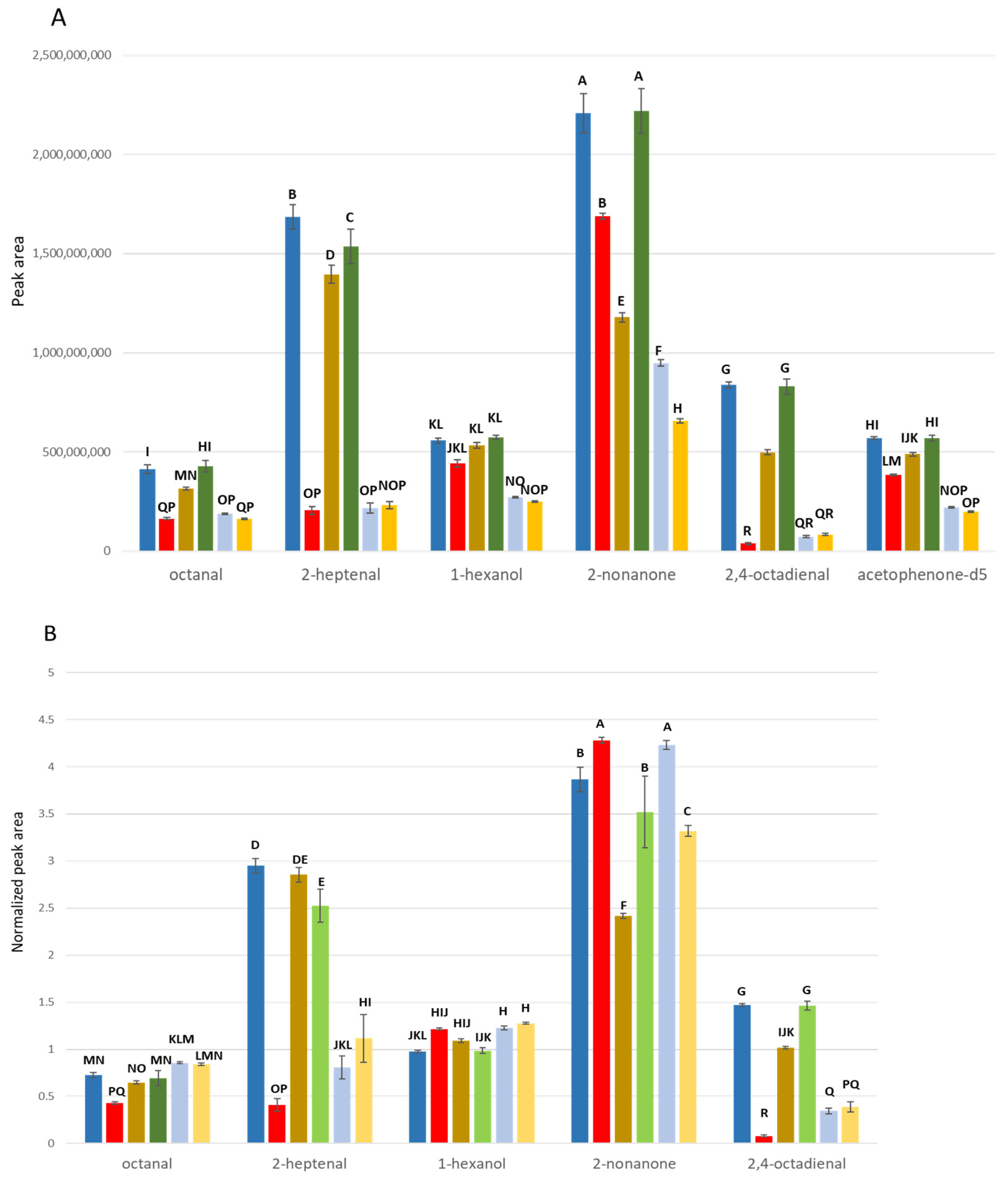
3.1. Effect of Analyte Solubility on Headspace Concentration
3.2. Effect of Matrix Protein on Headspace Concentration
3.3. Effect of Temperature on Headspace Concentration
4. Discussion
Supplementary Materials
Author Contributions
Funding
Institutional Review Board Statement
Informed Consent Statement
Data Availability Statement
Conflicts of Interest
References
- Bianconi, E.; Piovesan, A.; Facchin, F.; Beraudi, A.; Casadei, R.; Frabetti, F.; Vitale, L.; Pelleri, M.C.; Tassani, S.; Piva, F.; et al. An estimation of the number of cells in the human body. Ann. Hum. Biol. 2013, 40, 463–471. [Google Scholar] [CrossRef]
- Djago, F.; Lange, J.; Poinot, P. Induced volatolomics of pathologies. Nat. Rev. Chem. 2021, 5, 183–196. [Google Scholar] [CrossRef] [PubMed]
- Broza, Y.Y.; Zuri, L.; Haick, H. Combined volatolomics for monitoring of human body chemistry. Sci. Rep. 2014, 4, 4611. [Google Scholar] [CrossRef]
- Giannoukos, S.; Agapiou, A.; Brkić, B.; Taylor, S. Volatolomics: A broad area of experimentation. J. Chromatogr. B. 2019, 1105, 136–147. [Google Scholar] [CrossRef] [PubMed]
- Janfaza, S.; Khorsand, B.; Nikkhah, M.; Zahiri, J. Digging deeper into volatile organic compounds associated with cancer. Biol. Methods Protoc. 2019, 4, bpz014. [Google Scholar] [CrossRef] [PubMed]
- Millet, P.; Martin, T.; Opiekun, M.; Beauchamp, G.K.; Kimball, B.A. Differing Alterations of Odor Volatiles Among Pathogenic Stimuli. Chem. Senses 2021, 46, bjab030. [Google Scholar] [CrossRef]
- Belizário, J.E.; Faintuch, J.; Malpartida, M.G. Breath Biopsy and Discovery of Exclusive Volatile Organic Compounds for Diagnosis of Infectious Diseases. Front. Cell. Infect. Microbiol. 2021, 10, 564194. [Google Scholar] [CrossRef]
- Fitzgerald, S.; Holland, L.; Ahmed, W.; Piechulla, B.; Fowler, S.J.; Morrin, A. Volatilomes of human infection. Anal. Bioanal. Chem. 2024, 416, 37–53. [Google Scholar] [CrossRef]
- Amann, A.; Costello, B.L.; Miekisch, W.; Schubert, J.; Buszewski, B.; Pleil, J.; Ratcliffe, N.; Risby, T. The human volatilome: Volatile organic compounds (VOCs) in exhaled breath, skin emanations, urine, feces and saliva. J. Breath Res. 2014, 8, 034001. [Google Scholar] [CrossRef]
- de Lacy Costello, B.; Amann, A.; Al-Kateb, H.; Flynn, C.; Filipiak, W.; Khalid, T.; Osborne, D.; Ratcliffe, N.M. A review of the volatiles from the healthy human body. J. Breath Res. 2014, 8, 014001. [Google Scholar] [CrossRef]
- Rowan, D.D. Volatile Metabolites. Metabolites 2011, 1, 41–63. [Google Scholar] [CrossRef]
- Angle, C.; Waggoner, L.P.; Ferrando, A.; Haney, P.; Passler, T. Canine Detection of the Volatilome: A Review of Implications for Pathogen and Disease Detection. Front. Vet. Sci. 2016, 3, 47. [Google Scholar] [CrossRef] [PubMed]
- Cambau, E.; Poljak, M. Sniffing animals as a diagnostic tool in infectious diseases. Clin. Microbiol. Infect. 2020, 26, 431–435. [Google Scholar] [CrossRef] [PubMed]
- Pirrone, F.; Albertini, M. Olfactory detection of cancer by trained sniffer dogs: A systematic review of the literature. J. Vet. Behav. 2017, 19, 105–117. [Google Scholar] [CrossRef]
- Shirasu, M.; Touhara, K. The scent of disease: Volatile organic compounds of the human body related to disease and disorder. J. Biochem. 2011, 150, 257–266. [Google Scholar] [CrossRef]
- van Keulen, K.E.; Jansen, M.E.; Schrauwen, R.W.M.; Kolkman, J.J.; Siersema, P.D. Volatile organic compounds in breath can serve as a non-invasive diagnostic biomarker for the detection of advanced adenomas and colorectal cancer. Aliment. Pharmacol. Ther. 2020, 51, 334–346. [Google Scholar] [CrossRef] [PubMed]
- Dell’Olio, A.; Rubert, J.; Capozzi, V.; Tonezzer, M.; Betta, E.; Fogliano, V.; Biasioli, F. Non-invasive VOCs detection to monitor the gut microbiota metabolism in-vitro. Sci. Rep. 2024, 14, 15842. [Google Scholar] [CrossRef]
- Soria, A.C.; García-Sarrió, M.J.; Sanz, M.L. Volatile sampling by headspace techniques. TrAC Trends Anal. Chem. 2015, 71, 85–99. [Google Scholar] [CrossRef]
- Chai, M.; Pawliszyn, J. Analysis of Environmental Air Samples by Solid-Phase Microextraction and Gas Chromatography/Ion Trap Mass Spectrometry. Environ. Sci. Technol. 1995, 29, 693–701. [Google Scholar] [CrossRef]
- Pawliszyn, J. Theory of Solid-Phase Microextraction. J. Chromatogr. Sci. 2000, 38, 270–278. [Google Scholar] [CrossRef]
- Boyacı, E.; Rodríguez-Lafuente, Á.; Gorynski, K.; Mirnaghi, F.; Souza-Silva, É.A.; Hein, D.; Pawliszyn, J. Sample preparation with solid phase microextraction and exhaustive extraction approaches: Comparison for challenging cases. Anal. Chim. Acta 2015, 873, 14–30. [Google Scholar] [CrossRef] [PubMed]
- Meylan, W.M.; Howard, P.H.; Boethling, R.S.; Aronson, D.; Printup, H.; Gouchie, S. Improved method for estimating bioconcentration/bioaccumulation factor from octanol/water partition coefficient. Environ. Toxicol. Chem. 1999, 18, 664–672. [Google Scholar] [CrossRef]
- Alonso, M.; Castellanos, M.; Besalú, E.; Sanchez, J.M. A headspace needle-trap method for the analysis of volatile organic compounds in whole blood. J. Chromatogr. A 2012, 1252, 23–30. [Google Scholar] [CrossRef]
- Kiseleva, O.; Kurbatov, I.; Ilgisonis, E.; Poverennaya, E. Defining Blood Plasma and Serum Metabolome by GC-MS. Metabolites 2021, 12, 15. [Google Scholar] [CrossRef]
- Kwak, J.; Grigsby, C.C.; Rizki, M.M.; Preti, G.; Koksal, M.; Josue, J.; Yamazaki, K.; Beauchamp, G.K. Differential binding between volatile ligands and major urinary proteins due to genetic variation in mice. Physiol. Behav. 2012, 107, 112–120. [Google Scholar] [CrossRef] [PubMed]
- Psychogios, N.; Hau, D.D.; Peng, J.; Guo, A.C.; Mandal, R.; Bouatra, S.; Sinelnikov, I.; Krishnamurthy, R.; Eisner, R.; Gautam, B.; et al. The Human Serum Metabolome. PLoS ONE 2011, 6, e16957. [Google Scholar] [CrossRef]
- Lee, P.; Wu, X. Review: Modifications of Human Serum Albumin and Their Binding Effect. Curr. Pharm. Des. 2015, 21, 1862–1865. [Google Scholar]
- Williams, M.L.; Olomukoro, A.A.; Emmons, R.V.; Godage, N.H.; Gionfriddo, E. Matrix effects demystified: Strategies for resolving challenges in analytical separations of complex samples. J. Sep. Sci. 2023, 46, 2300571. [Google Scholar] [CrossRef]
- Sangster, J. Octanol-Water Partition Coefficients of Simple Organic Compounds. J. Phys. Chem. Ref. Data 1989, 18, 1111–1229. [Google Scholar] [CrossRef]
- Leading Statistical Analysis Software, SAS/STAT. Available online: https://www.sas.com/en_us/software/stat.html (accessed on 9 December 2024).
- Fortini, M.; Migliorini, M.; Cherubini, C.; Cecchi, L.; Calamai, L. Multiple internal standard normalization for improving HS-SPME-GC-MS quantitation in virgin olive oil volatile organic compounds (VOO-VOCs) profile. Talanta 2017, 165, 641–652. [Google Scholar] [CrossRef]
- Fiorini, D.; Pacetti, D.; Gabbianelli, R.; Gabrielli, S.; Ballini, R. A salting out system for improving the efficiency of the headspace solid-phase microextraction of short and medium chain free fatty acids. J. Chromatogr. A 2015, 1409, 282–287. [Google Scholar] [CrossRef] [PubMed]
- Musile, G.; Pigaiani, N.; Pasetto, E.; Ballotari, M.; Tagliaro, F.; Bortolotti, F. Validation of a New Salt-Assisted HS-GC-FID Method for the Determination of Ethanol in the Vitreous Humor. J. Anal. Toxicol. 2023, 46, e274–e279. [Google Scholar] [CrossRef] [PubMed]
- Sutaria, S.R.; Gori, S.S.; Morris, J.D.; Xie, Z.; Fu, X.A.; Nantz, M.H. Lipid Peroxidation Produces a Diverse Mixture of Saturated and Unsaturated Aldehydes in Exhaled Breath That Can Serve as Biomarkers of Lung Cancer—A Review. Metabolites 2022, 12, 561. [Google Scholar] [CrossRef] [PubMed]
- Yang, G.X.; Li, X.; Snyder, M. Investigating metabolite–protein interactions: An overview of available techniques. Methods 2012, 57, 459–466. [Google Scholar] [CrossRef]
- Sanz, C.; Ansorena, D.; Bello, J.; Cid, C. Optimizing Headspace Temperature and Time Sampling for Identification of Volatile Compounds in Ground Roasted Arabica Coffee. J. Agric. Food Chem. 2001, 49, 1364–1369. [Google Scholar] [CrossRef]
- Berdyshev, E.V. Mass Spectrometry of Fatty Aldehydes. Biochim. Biophys. Acta 2011, 1811, 680–693. [Google Scholar] [CrossRef]




| Volatile Compound | Log Kow [29] |
|---|---|
| 1-Hexanol | 1.80 |
| Hexanal | 1.78 |
| 2-Heptanal | 2.06 |
| Octanal | 2.55 |
| 2-Octenal | 2.57 |
| 2,4-Octadienal | 2.35 |
| Nonanal | 3.27 |
| 2-Nonanone | 3.16 |
| Benzaldehyde | 1.48 |
| Acetophenone | 1.65 |
| Volatile | a-Term | b-Term | Intercept (C) |
|---|---|---|---|
| 1-Octanol | 0.3676 | 0.1251 | 0.0101 |
| Octanal | 0.0033 | 0.0012 | 0.0009 |
| 2-Octenal | <0.0001 | <0.0001 | 0.0001 |
| 2,4-Octadienal | <0.0001 | <0.0001 | <0.0001 |
| Acetophenone-2′,3′,4′,5′,6′-d5 | 0.2471 | 0.1535 | 0.0749 |
| Volatile | Log Kow | Serum | Intralipid | Water |
|---|---|---|---|---|
| 1-Octanol | N/A | 69.7 °C | 68.2 °C | 59.6 °C |
| Octanal | 2.55 | 63.5 °C | 40.5 °C | 41.4 °C |
| 2-Octenal | 2.57 | 67.6 °C | 61.1 °C | 39.0 °C |
| 2,4-Octadienal | 2.35 | 70.7 °C | 68.7 °C | 64.1 °C |
| Acetophenone-2′,3′,4′,5′,6′-d5 | 1.65 | 68.5 °C | 68.2 °C | 65.3 °C |
Disclaimer/Publisher’s Note: The statements, opinions and data contained in all publications are solely those of the individual author(s) and contributor(s) and not of MDPI and/or the editor(s). MDPI and/or the editor(s) disclaim responsibility for any injury to people or property resulting from any ideas, methods, instructions or products referred to in the content. |
© 2025 by the authors. Licensee MDPI, Basel, Switzerland. This article is an open access article distributed under the terms and conditions of the Creative Commons Attribution (CC BY) license (https://creativecommons.org/licenses/by/4.0/).
Share and Cite
Lee, Y.E.; Kimball, B.A. Examination of Intermolecular Forces Influencing Headspace Analysis of Biological Samples. Metabolites 2025, 15, 183. https://doi.org/10.3390/metabo15030183
Lee YE, Kimball BA. Examination of Intermolecular Forces Influencing Headspace Analysis of Biological Samples. Metabolites. 2025; 15(3):183. https://doi.org/10.3390/metabo15030183
Chicago/Turabian StyleLee, Young Eun, and Bruce A. Kimball. 2025. "Examination of Intermolecular Forces Influencing Headspace Analysis of Biological Samples" Metabolites 15, no. 3: 183. https://doi.org/10.3390/metabo15030183
APA StyleLee, Y. E., & Kimball, B. A. (2025). Examination of Intermolecular Forces Influencing Headspace Analysis of Biological Samples. Metabolites, 15(3), 183. https://doi.org/10.3390/metabo15030183

