CT-Based Attenuation Correction Algorithm for Quantitative L-Shell X-Ray Fluorescence Imaging of Gold Nanoparticles in Murine Tumor Tissues
Abstract
1. Introduction
2. Materials and Methods
2.1. Murine Sample Preparation
2.2. Nanoparticle Preparation
2.3. Measurements
2.4. CT-Based Attenuation Correction Algorithm
- Voxel model: The CT dataset was converted into a 3D voxel model, with each voxel assigned a Hounsfield Unit (HU).
- Material mapping: Based on predefined HU ranges, voxels were classified into material types (air, paraffin wax, adipose tissue, soft tissue, cortical bone), yielding a sample-specific 3D material map. Note that tumor tissue is here approximated as adipose and soft tissue. This assumes the change in the tumor tissue’s elemental composition and elemental weight fractions during progression until the resection is negligible. Also, there is no NIST compound catalog entry for this type of tissue.The HU thresholds were initially derived from literature values (e.g., [38]), which correlate CT numbers with physical tissue parameters. These values were then iteratively refined by manual inspection of the CT slices, ensuring accurate anatomical segmentation of the specific samples. The defined HU ranges are listed in Table 2.
- Path-dependent attenuation: For each scan point and detector, attenuation of both the incident beam and the outgoing fluorescence photons was computed using the Beer–Lambert law [39]:where denotes the energy- and material-specific mass attenuation coefficient, obtained from the xraylib database [40]. Transmission factors T were calculated separately along all excitation and emission paths yielding a mean attenuation value for each scan position and detector.
- Correction factor: For each scan point, the inverse of the combined transmission factor, averaged over all potential fluorescence origins and weighted by detector geometry and efficiency, yielded the final correction factor .
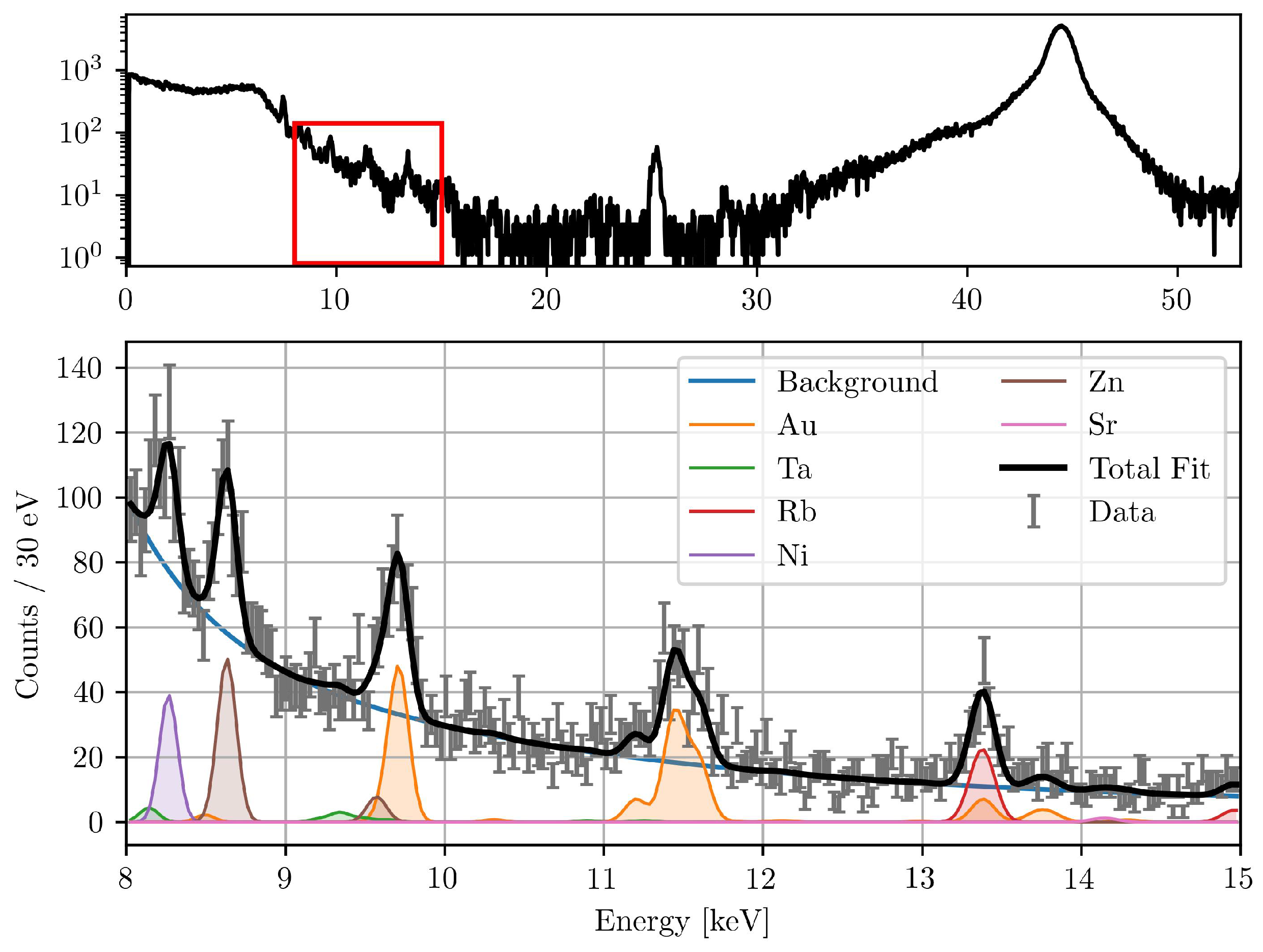
2.5. Data Analysis
3. Results
3.1. Quantitative Impact of Attenuation Correction
3.2. Composite X-Ray Fluorescence and CT Imaging
3.3. Strontium as an Internal Fiducial Marker
3.4. Elemental Correlation Analysis
3.5. GNP Biodistribution Coefficients
4. Discussion
5. Conclusions
Author Contributions
Funding
Institutional Review Board Statement
Informed Consent Statement
Data Availability Statement
Acknowledgments
Conflicts of Interest
Abbreviations
| XFI | X-ray fluorescence imaging |
| GNP | Gold nanoparticle |
| PEG | Polyethylene glycol |
| CT | Computed tomography |
| EPR | Enhanced permeability and retention |
| MRI | Magnetic resonance imaging |
| PET | Positron emission tomography |
| SPECT | Single-photon emission computed tomography |
| Z | Atomic number |
| XFCT | X-ray fluorescence computed tomography |
| PETRA | Positron–electron tandem ring accelerator |
| DESY | Deutsches Elektronen-Synchrotron |
| HU | Hounsfield unit |
| NIST | National Institute of Standards and Technology |
| ICRP | International Commission on Radiological Protection |
| FWHM | Full width at half maximum |
| SDD | Silicon drift detector |
| NBC | Nanoparticle biodistribution coefficient |
| ID | Injected dose |
| ICP-MS | Inductively coupled plasma mass spectrometry |
Appendix A. Mathematical Formulation of the Attenuation Correction
References
- Bray, F.; Laversanne, M.; Sung, H.; Ferlay, J.; Siegel, R.L.; Soerjomataram, I.; Jemal, A. Global Cancer Statistics 2022: GLOBOCAN Estimates of Incidence and Mortality Worldwide for 36 Cancers in 185 Countries. CA A Cancer J. Clin. 2024, 74, 229–263. [Google Scholar] [CrossRef]
- Dattani, S.; Samborska, V.; Ritchie, H.; Roser, M. Cancer. Our World Data 2024. Available online: https://ourworldindata.org/cancer (accessed on 3 July 2025).
- Mura, S.; Couvreur, P. Nanotheranostics for Personalized Medicine. Adv. Drug Deliv. Rev. 2012, 64, 1394–1416. [Google Scholar] [CrossRef]
- Shukla, R.; Bansal, V.; Chaudhary, M.; Basu, A.; Bhonde, R.R.; Sastry, M. Biocompatibility of Gold Nanoparticles and Their Endocytotic Fate Inside the Cellular Compartment: A Microscopic Overview. Langmuir 2005, 21, 10644–10654. [Google Scholar] [CrossRef] [PubMed]
- Chen, Y.; Xianyu, Y.; Jiang, X. Surface Modification of Gold Nanoparticles with Small Molecules for Biochemical Analysis. Accounts Chem. Res. 2017, 50, 310–319. [Google Scholar] [CrossRef]
- Huang, X.; El-Sayed, M.A. Gold Nanoparticles: Optical Properties and Implementations in Cancer Diagnosis and Photothermal Therapy. J. Adv. Res. 2010, 1, 13–28. [Google Scholar] [CrossRef]
- Li, W.B.; Stangl, S.; Klapproth, A.; Shevtsov, M.; Hernandez, A.; Kimm, M.A.; Schuemann, J.; Qiu, R.; Michalke, B.; Bernal, M.A.; et al. Application of High-Z Gold Nanoparticles in Targeted Cancer Radiotherapy—Pharmacokinetic Modeling, Monte Carlo Simulation and Radiobiological Effect Modeling. Cancers 2021, 13, 5370. [Google Scholar] [CrossRef]
- Hainfeld, J.F.; Smilowitz, H.M.; O’Connor, M.J.; Dilmanian, F.A.; Slatkin, D.N. Gold Nanoparticle Imaging and Radiotherapy of Brain Tumors in Mice. Nanomedicine 2013, 8, 1601–1609. [Google Scholar] [CrossRef]
- Maeda, H. The Enhanced Permeability and Retention (EPR) Effect in Tumor Vasculature: The Key Role of Tumor-Selective Macromolecular Drug Targeting. Adv. Enzym. Regul. 2001, 41, 189–207. [Google Scholar] [CrossRef] [PubMed]
- Peer, D.; Karp, J.M.; Hong, S.; Farokhzad, O.C.; Margalit, R.; Langer, R. Nanocarriers as an Emerging Platform for Cancer Therapy. Nat. Nanotechnol. 2007, 2, 751–760. [Google Scholar] [CrossRef] [PubMed]
- Steichen, S.D.; Caldorera-Moore, M.; Peppas, N.A. A Review of Current Nanoparticle and Targeting Moieties for the Delivery of Cancer Therapeutics. Eur. J. Pharm. Sci. Off. J. Eur. Fed. Pharm. Sci. 2013, 48, 416–427. [Google Scholar] [CrossRef]
- Tewabe, A.; Abate, A.; Tamrie, M.; Seyfu, A.; Abdela Siraj, E. Targeted Drug Delivery—From Magic Bullet to Nanomedicine: Principles, Challenges, and Future Perspectives. J. Multidiscip. Healthc. 2021, 14, 1711–1724. [Google Scholar] [CrossRef] [PubMed]
- Huang, X.; Kaneda-Nakashima, K.; Kadonaga, Y.; Kabayama, K.; Shimoyama, A.; Ooe, K.; Kato, H.; Toyoshima, A.; Shinohara, A.; Haba, H.; et al. Astatine-211-Labeled Gold Nanoparticles for Targeted Alpha-Particle Therapy via Intravenous Injection. Pharmaceutics 2022, 14, 2705. [Google Scholar] [CrossRef]
- Basirinia, G.; Ali, M.; Comelli, A.; Sperandeo, A.; Piana, S.; Alongi, P.; Longo, C.; Di Raimondo, D.; Tuttolomondo, A.; Benfante, V. Theranostic Approaches for Gastric Cancer: An Overview of In Vitro and In Vivo Investigations. Cancers 2024, 16, 3323. [Google Scholar] [CrossRef]
- Giaccone, P.; Benfante, V.; Stefano, A.; Cammarata, F.P.; Russo, G.; Comelli, A. PET Images Atlas-Based Segmentation Performed in Native and in Template Space: A Radiomics Repeatability Study in Mouse Models. In Image Analysis and Processing. ICIAP 2022 Workshops; Mazzeo, P.L., Frontoni, E., Sclaroff, S., Distante, C., Eds.; Springer Nature: Cham, Switzerland, 2022; pp. 351–361. [Google Scholar] [CrossRef]
- Bernal, A.; Calcagno, C.; Mulder, W.J.M.; Pérez-Medina, C. Imaging-Guided Nanomedicine Development. Curr. Opin. Chem. Biol. 2021, 63, 78–85. [Google Scholar] [CrossRef]
- Galper, M.W.; Saung, M.T.; Fuster, V.; Roessl, E.; Thran, A.; Proksa, R.; Fayad, Z.A.; Cormode, D.P. Effect of Computed Tomography Scanning Parameters on Gold Nanoparticle and Iodine Contrast. Investig. Radiol. 2012, 47, 475. [Google Scholar] [CrossRef]
- Lin, E.; Alessio, A. What Are the Basic Concepts of Temporal, Contrast, and Spatial Resolution in Cardiac CT? J.Cardiovasc. Comput. Tomogr. 2009, 3, 403–408. [Google Scholar] [CrossRef]
- James, M.L.; Gambhir, S.S. A Molecular Imaging Primer: Modalities, Imaging Agents, and Applications. Physiol. Rev. 2012, 92, 897–965. [Google Scholar] [CrossRef]
- Estelrich, J.; Sánchez-Martín, M.J.; Busquets, M.A. Nanoparticles in Magnetic Resonance Imaging: From Simple to Dual Contrast Agents. Int. J. Nanomed. 2015, 10, 1727–1741. [Google Scholar] [CrossRef] [PubMed]
- Goel, S.; England, C.G.; Chen, F.; Cai, W. Positron Emission Tomography and Nanotechnology: A Dynamic Duo for Cancer Theranostics. Adv. Drug Deliv. Rev. 2017, 113, 157–176. [Google Scholar] [CrossRef] [PubMed]
- Moses, W.W. Fundamental Limits of Spatial Resolution in PET. Nucl. Instruments Methods Phys. Res. Sect. A Accel. Spectrometers Detect. Assoc. Equip. 2011, 648, S236–S240. [Google Scholar] [CrossRef]
- Vandenberghe, S.; Moskal, P.; Karp, J.S. State of the Art in Total Body PET. EJNMMI Phys. 2020, 7, 35. [Google Scholar] [CrossRef] [PubMed]
- Arms, L.; Smith, D.W.; Flynn, J.; Palmer, W.; Martin, A.; Woldu, A.; Hua, S. Advantages and Limitations of Current Techniques for Analyzing the Biodistribution of Nanoparticles. Front. Pharmacol. 2018, 9, 802. [Google Scholar] [CrossRef] [PubMed]
- Ungerer, A.; Staufer, T.; Schmutzler, O.; Körnig, C.; Rothkamm, K.; Grüner, F. X-Ray-Fluorescence Imaging for In Vivo Detection of Gold-Nanoparticle-Labeled Immune Cells: A GEANT4 Based Feasibility Study. Cancers 2021, 13, 5759. [Google Scholar] [CrossRef] [PubMed]
- Grüner, F.; Blumendorf, F.; Schmutzler, O.; Staufer, T.; Bradbury, M.; Wiesner, U.; Rosentreter, T.; Loers, G.; Lutz, D.; Richter, B.; et al. Localising Functionalised Gold-Nanoparticles in Murine Spinal Cords by X-ray Fluorescence Imaging and Background-Reduction through Spatial Filtering for Human-Sized Objects. Sci. Rep. 2018, 8, 16561. [Google Scholar] [CrossRef]
- Zhang, R.; Li, L.; Sultanbawa, Y.; Xu, Z.P. X-Ray Fluorescence Imaging of Metals and Metalloids in Biological Systems. Am. J. Nucl. Med. Mol. Imaging 2018, 8, 169–188. [Google Scholar]
- Pushie, M.J.; Pickering, I.; Korbas, M.; Hackett, M.J.; George, G.N. Elemental and Chemically Specific X-ray Fluorescence Imaging of Biological Systems. Chem. Rev. 2014, 114, 8499–8541. [Google Scholar] [CrossRef]
- Staufer, T.; Körnig, C.; Liu, B.; Liu, Y.; Lanzloth, C.; Schmutzler, O.; Bedke, T.; Machicote, A.; Parak, W.J.; Feliu, N.; et al. Enabling X-ray Fluorescence Imaging for in Vivo Immune Cell Tracking. Sci. Rep. 2023, 13, 11505. [Google Scholar] [CrossRef] [PubMed]
- Staufer, T.; Grüner, F. Review of Development and Recent Advances in Biomedical X-ray Fluorescence Imaging. Int. J. Mol. Sci. 2023, 24, 10990. [Google Scholar] [CrossRef]
- Powers, N.D.; Ghebregziabher, I.; Golovin, G.; Liu, C.; Chen, S.; Banerjee, S.; Zhang, J.; Umstadter, D.P. Quasi-Monoenergetic and Tunable X-rays from a Laser-Driven Compton Light Source. Nat. Photonics 2014, 8, 28–31. [Google Scholar] [CrossRef]
- Manohar, N.; Reynoso, F.J.; Cho, S.H. Experimental Demonstration of Direct L-shell X-ray Fluorescence Imaging of Gold Nanoparticles Using a Benchtop X-ray Source. Med. Phys. 2013, 40, 080702. [Google Scholar] [CrossRef]
- Bazalova-Carter, M.; Ahmad, M.; Xing, L.; Fahrig, R. Experimental Validation of L-shell X-ray Fluorescence Computed Tomography Imaging: Phantom Study. J. Med. Imaging 2015, 2, 043501. [Google Scholar] [CrossRef]
- Bazalova, M.; Ahmad, M.; Pratx, G.; Xing, L. L-Shell X-ray Fluorescence Computed Tomography (XFCT) Imaging of Cisplatin. Phys. Med. Biol. 2014, 59, 219–232. [Google Scholar] [CrossRef]
- Liu, L.; Huang, Y.; Xu, Q.; Yan, L.T.; Li, L.; Feng, S.L.; Feng, X.Q. Attenuation Correction of L-shell X-ray Fluorescence Computed Tomography Imaging*. Chin. Phys. C 2015, 39, 038203. [Google Scholar] [CrossRef]
- Ahmed, M.F.; Yasar, S.; Cho, S.H. Development of an Attenuation Correction Method for Direct X-ray Fluorescence (XRF) Imaging Utilizing Gold L-shell XRF Photons. Med. Phys. 2018, 45, 5543–5554. [Google Scholar] [CrossRef]
- Zhang, S.; Li, L.; Chen, Z. Attenuation Correction for X-Ray Fluorescence Computed Tomography (XFCT) Utilizing Transmission CT Image. In Proceedings of the 15th International Meeting on Fully Three-Dimensional Image Reconstruction in Radiology and Nuclear Medicine, Philadelphia, PA, USA, 2–6 June 2019; p. 62. [Google Scholar] [CrossRef]
- Schneider, W.; Bortfeld, T.; Schlegel, W. Correlation between CT Numbers and Tissue Parameters Needed for Monte Carlo Simulations of Clinical Dose Distributions. Phys. Med. Biol. 2000, 45, 459. [Google Scholar] [CrossRef]
- Swinehart, D.F. The Beer-Lambert Law. J. Chem. Educ. 1962, 39, 333. [Google Scholar] [CrossRef]
- Schoonjans, T.; Brunetti, A.; Golosio, B.; Sanchez del Rio, M.; Solé, V.A.; Ferrero, C.; Vincze, L. The Xraylib Library for X-ray–Matter Interactions. Recent Developments. Spectrochim. Acta Part B At. Spectrosc. 2011, 66, 776–784. [Google Scholar] [CrossRef]
- Körnig, C.; Staufer, T.; Schmutzler, O.; Bedke, T.; Machicote, A.; Liu, B.; Liu, Y.; Gargioni, E.; Feliu, N.; Parak, W.J.; et al. In-Situ X-ray Fluorescence Imaging of the Endogenous Iodine Distribution in Murine Thyroids. Sci. Rep. 2022, 12, 2903. [Google Scholar] [CrossRef]
- Andrae, R.; Schulze-Hartung, T.; Melchior, P. Dos and Don’ts of Reduced Chi-Squared. arXiv 2010, arXiv:1012.3754. [Google Scholar] [CrossRef]
- Kołodziejska, B.; Stępień, N.; Kolmas, J. The Influence of Strontium on Bone Tissue Metabolism and Its Application in Osteoporosis Treatment. Int. J. Mol. Sci. 2021, 22, 6564. [Google Scholar] [CrossRef]
- Thauer, R.K.; Diekert, G.; Schönheit, P. Biological Role of Nickel. Trends Biochem. Sci. 1980, 5, 304–306. [Google Scholar] [CrossRef]
- Kupriyanov, V.V. Rubidium in Biological Systems and Medicine. In Encyclopedia of Metalloproteins; Springer: New York, NY, USA, 2013; pp. 1851–1856. [Google Scholar] [CrossRef]
- Osredkar, J. Copper and Zinc, Biological Role and Significance of Copper/Zinc Imbalance. J. Clin. Toxicol. 2011, S3, 1–18. [Google Scholar] [CrossRef]
- Chan, M.F.; Cohen, G.N.; Deasy, J.O. Qualitative Evaluation of Fiducial Markers for Radiotherapy Imaging. Technol. Cancer Res. Treat. 2015, 14, 298–304. [Google Scholar] [CrossRef] [PubMed]
- Dahl, S.G.; Allain, P.; Marie, P.J.; Mauras, Y.; Boivin, G.; Ammann, P.; Tsouderos, Y.; Delmas, P.D.; Christiansen, C. Incorporation and Distribution of Strontium in Bone. Bone 2001, 28, 446–453. [Google Scholar] [CrossRef]
- 1 mm Thick FAST SDD®—Amptek—X-Ray Detectors and Electronics. 2025. Available online: https://www.amptek.com/internal-products/1mm-thick-fast-sdd (accessed on 6 October 2025).
- Kumar, M.; Kulkarni, P.; Liu, S.; Chemuturi, N.; Shah, D.K. Nanoparticle Biodistribution Coefficients: A Quantitative Approach for Understanding the Tissue Distribution of Nanoparticles. Adv. Drug Deliv. Rev. 2023, 194, 114708. [Google Scholar] [CrossRef]
- Fuller, C.D.; Scarbrough, T.J. Fiducial Markers in Image-guided Radiotherapy of the Prostate. Oncol. Hematol. Rev. 2006, 1, 75–79. [Google Scholar] [CrossRef]
- Nolan, C.P.; Forde, E.J. A Review of the Use of Fiducial Markers for Image-Guided Bladder Radiotherapy. Acta Oncol. 2016, 55, 533–538. [Google Scholar] [CrossRef] [PubMed]
- Staufer, T.; Kopatz, V.; Pradel, A.; Brodie, T.; Kuhrwahl, R.; Stroka, D.; Wallner, J.; Kenner, L.; Pichler, V.; Grüner, F.; et al. Biodistribution of Nanoplastics in Mice: Advancing Analytical Techniques Using Metal-Doped Plastics. Commun. Biol. 2025, 8, 1247. [Google Scholar] [CrossRef] [PubMed]
- Tran, V.; Nguyen, N.; Renkes, S.; Nguyen, K.T.; Nguyen, T.; Alexandrakis, G. Current and Near-Future Technologies to Quantify Nanoparticle Therapeutic Loading Efficiency and Surface Coating Efficiency with Targeted Moieties. Bioengineering 2025, 12, 362. [Google Scholar] [CrossRef]
- Manohar, N.; Reynoso, F.; Jayarathna, S.; Moktan, H.; Ahmed, M.F.; Diagaradjane, P.; Krishnan, S.; Cho, S.H. High-Sensitivity Imaging and Quantification of Intratumoral Distributions of Gold Nanoparticles Using a Benchtop X-ray Fluorescence Imaging System. Opt. Lett. 2019, 44, 5314–5317. [Google Scholar] [CrossRef]
- Cheng, Y.H.; He, C.; Riviere, J.E.; Monteiro-Riviere, N.A.; Lin, Z. Meta-Analysis of Nanoparticle Delivery to Tumors Using a Physiologically Based Pharmacokinetic Modeling and Simulation Approach. ACS Nano 2020, 14, 3075–3095. [Google Scholar] [CrossRef] [PubMed]
- Chow, J.C.L. Nanomaterial-Based Molecular Imaging in Cancer: Advances in Simulation and AI Integration. Biomolecules 2025, 15, 444. [Google Scholar] [CrossRef] [PubMed]
- Hristova-Panusheva, K.; Xenodochidis, C.; Georgieva, M.; Krasteva, N. Nanoparticle-Mediated Drug Delivery Systems for Precision Targeting in Oncology. Pharmaceuticals 2024, 17, 677. [Google Scholar] [CrossRef]
- Ouyang, B.; Poon, W.; Zhang, Y.N.; Lin, Z.P.; Kingston, B.R.; Tavares, A.J.; Zhang, Y.; Chen, J.; Valic, M.S.; Syed, A.M.; et al. The Dose Threshold for Nanoparticle Tumour Delivery. Nat. Mater. 2020, 19, 1362–1371. [Google Scholar] [CrossRef]
- Edwards, N.P.; Webb, S.M.; Krest, C.M.; van Campen, D.; Manning, P.L.; Wogelius, R.A.; Bergmann, U. A New Synchrotron Rapid-Scanning X-ray Fluorescence (SRS-XRF) Imaging Station at SSRL Beamline 6-2. J. Synchrotron Radiat. 2018, 25, 1565–1573. [Google Scholar] [CrossRef]
- Trojek, T.; Novotný, P. Comparison of Benchtop Devices for X-ray Fluorescence Imaging Based on Scanning and Full-Field Techniques. Radiat. Phys. Chem. 2025, 237, 113062. [Google Scholar] [CrossRef]
- Jacquet, M. High Intensity Compact Compton X-ray Sources: Challenges and Potential of Applications. Nucl. Instruments Methods Phys. Res. Sect. B Beam Interact. Mater. Atoms 2014, 331, 1–5. [Google Scholar] [CrossRef]
- Feng, P.; Luo, Y.; Zhao, R.; Huang, P.; Li, Y.; He, P.; Tang, B.; Zhao, X. Reduction of Compton Background Noise for X-ray Fluorescence Computed Tomography with Deep Learning. Photonics 2022, 9, 108. [Google Scholar] [CrossRef]






| P21.1 Beamline | Compact XFI System | |
|---|---|---|
| Scanned samples/ orientation | Tumor Liver Spleen | Tumor |
| Beam energy (keV) | 53 | 59 |
| Bandwidth | ||
| Photon flux 1 (ph/s) | ||
| Beam cross-section 2 (mm2) | (rms) | |
| Number of detectors | 10 | 4 |
| Detector distance (cm) | 6 | 4 |
| Raster scan step size (mm) | 1 | 0.6 |
| Acquisition time (s/point) | 30 | 40 |
| HU Range | NIST Compound |
|---|---|
| −1000 to −750 | Air, dry (near sea level) |
| −750 to −350 | Paraffin wax |
| −350 to −100 | Adipose tissue (ICRP) |
| −100 to 250 | Tissue, soft (ICRP) |
| 250 to 2000 | Bone, cortical (ICRP) |
Disclaimer/Publisher’s Note: The statements, opinions and data contained in all publications are solely those of the individual author(s) and contributor(s) and not of MDPI and/or the editor(s). MDPI and/or the editor(s) disclaim responsibility for any injury to people or property resulting from any ideas, methods, instructions or products referred to in the content. |
© 2025 by the authors. Licensee MDPI, Basel, Switzerland. This article is an open access article distributed under the terms and conditions of the Creative Commons Attribution (CC BY) license (https://creativecommons.org/licenses/by/4.0/).
Share and Cite
Lohff, M.; Haroske, G.; Staufer, T.; Scheunemann, J.; Ziegler, F.; Haak, J.; Kabayama, K.; Huang, X.; Fukase, K.; Grüner, F. CT-Based Attenuation Correction Algorithm for Quantitative L-Shell X-Ray Fluorescence Imaging of Gold Nanoparticles in Murine Tumor Tissues. Diseases 2025, 13, 403. https://doi.org/10.3390/diseases13120403
Lohff M, Haroske G, Staufer T, Scheunemann J, Ziegler F, Haak J, Kabayama K, Huang X, Fukase K, Grüner F. CT-Based Attenuation Correction Algorithm for Quantitative L-Shell X-Ray Fluorescence Imaging of Gold Nanoparticles in Murine Tumor Tissues. Diseases. 2025; 13(12):403. https://doi.org/10.3390/diseases13120403
Chicago/Turabian StyleLohff, Marin, Gerret Haroske, Theresa Staufer, Jan Scheunemann, Florian Ziegler, Jannis Haak, Kazuya Kabayama, Xuhao Huang, Koichi Fukase, and Florian Grüner. 2025. "CT-Based Attenuation Correction Algorithm for Quantitative L-Shell X-Ray Fluorescence Imaging of Gold Nanoparticles in Murine Tumor Tissues" Diseases 13, no. 12: 403. https://doi.org/10.3390/diseases13120403
APA StyleLohff, M., Haroske, G., Staufer, T., Scheunemann, J., Ziegler, F., Haak, J., Kabayama, K., Huang, X., Fukase, K., & Grüner, F. (2025). CT-Based Attenuation Correction Algorithm for Quantitative L-Shell X-Ray Fluorescence Imaging of Gold Nanoparticles in Murine Tumor Tissues. Diseases, 13(12), 403. https://doi.org/10.3390/diseases13120403

