Ultra-Compact Reconfigurable Band Reject UWB MIMO Antenna with Four Radiators
Abstract
1. Introduction
2. Design Procedure
3. Results and Discussion
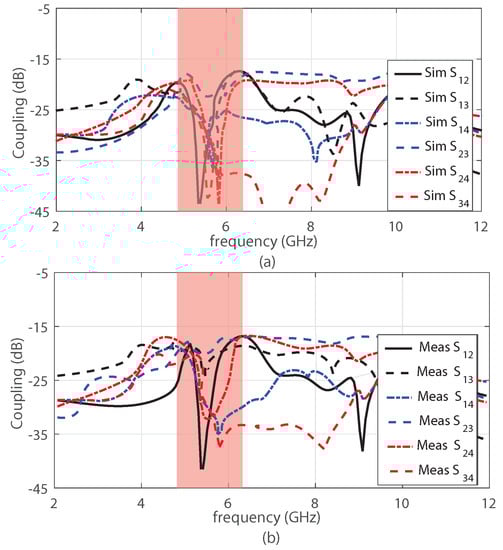
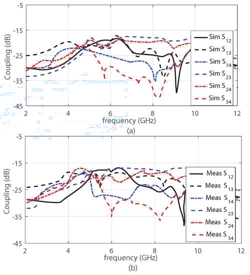
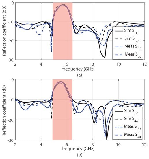
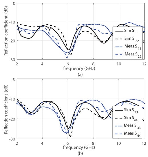
3.1. S Parameters
3.2. Radiation Pattern and Peak Gain
3.3. Diversity Analysis
3.4. Parametric Analysis on Bandwidth Control
3.5. Comparison With Previous Work Done
4. Conclusions
Author Contributions
Funding
Conflicts of Interest
References
- Kaiser, T.; Zheng, F.; Dimitrov, E. An Overview of Ultra-Wide-Band Systems with MIMO. Proc. IEEE 2009, 97, 285–312. [Google Scholar] [CrossRef]
- Vaughan, R.G.; Andersen, J.B. Antenna diversity in mobile communications. IEEE Trans. Veh. Tech. 1978, 36, 149–172. [Google Scholar] [CrossRef]
- Xu, H.-X.; Wang, G.-M.; Qi, M.-Q. A miniaturized triple-band metamaterial antenna with radiation pattern selectivity and polarization diversity. Prog. Electromagn. Res. 2013, 137, 275–292. [Google Scholar] [CrossRef]
- First Report and Order, Revision of Part 15 of the Commissions Rule Regarding Ultra Wideband Transmission Systems; Federal Communication Commission: Washington, DC, USA, 2002; pp. 2–48.
- Anagnostou, D.E.; Chryssomallis, M.T.; Braaten, B.D.; Ebel, J.L.; Sepulveda, N. Reconfigurable UWB antenna with RF-MEMS for on demand WLAN Rejection. IEEE Trans. Antennas Propag. 2014, 62, 602–608. [Google Scholar] [CrossRef]
- Zhu, F.; Gao, S.; Ho, A.T.; Abd-Alhameed, R.A.; See, C.H.; Brown, T.W.C.; Li, J.; Wei, G.; Xu, J. Multiple band-notched UWB antenna with band rejected elements integrated in the feed line. IEEE Trans. Antennas Propag. 2014, 61, 3952–3960. [Google Scholar] [CrossRef]
- Li, J.-F.; Chu, Q.-X.; Li, Z.-H.; Xia, X.-X. Compact dual band-notched UWB MIMO antenna with high isolation. IEEE Trans. Antennas Propag. 2012, 61, 4759–4766. [Google Scholar] [CrossRef]
- Zhao, H.; Zhang, F.; Zhang, X.; Wang, C. A compact band-notched ultra-wideband Spatial diversity antenna. Prog. Electromagn. Res. 2014, 51, 19–26. [Google Scholar] [CrossRef][Green Version]
- Najam, A.; Duroc, Y.; Tedjni, S. UWB-MIMO antenna with novel stub structure. Prog. Electromagn. Res. 2011, 19, 245–257. [Google Scholar] [CrossRef]
- Lee, J.-M.; Kim, K.-B.; Ryu, H.-K.; Woo, J.-M. A compact ultrawideband MIMO antenna with WLAN band-rejected operation for mobile devices. IEEE Antennas Wirel. Propag. Lett. 2012, 11, 990–993. [Google Scholar]
- Yoon, H.K.; Yoon, Y.J.; Kim, H.; Lee, C.H. Flexible ultrawideband polarization diversity antenna with band-notch function. IET Microw. Antennas Propag. 2011, 5, 1463–1470. [Google Scholar] [CrossRef]
- Gao, P.; He, S.; Wei, X.; Xu, Z.; Wang, N.; Zheng, Y. Compact printed UWB diversity slot antenna with 5.5 GHz band-notched characteristics. IEEE Antennas Wirel. Propag. Lett. 2014, 13, 376–379. [Google Scholar] [CrossRef]
- Chacko, B.P.; Augustin, G.; Denidni, T.A. Uniplanar slot antenna for ultrawideband polarization-diversity applications. IEEE Antennas Wirel. Propag. Lett. 2013, 12, 88–91. [Google Scholar] [CrossRef]
- Kiem, N.K.; Phuong, H.N.B.; Chein, D.N. Design of compact 4×4 UWB-MIMO antenna with WLAN band rejection. Int. J. Antennas Propag. 2014, 2014, 1–11. [Google Scholar] [CrossRef]
- Huang, H.; Liu, Y.; Zhang, S.S.; Gong, S.X. Compact polarization diversity ultrawideband MIMO antenna with triple band-notched characteristics. Microw. Opt. Technol. Lett. 2015, 57, 946–953. [Google Scholar] [CrossRef]
- Wu, W.; Yuan, B.; Wu, A. A quad-element UWB-MIMO antenna with band-notch and reduced mutual coupling based on EBG structures. Int. J. Antennas Propag. 2018, 2018, 1–10. [Google Scholar] [CrossRef]
- Khan, M.S.; Capobianco, A.-D.; Asif, S.; Iftikhar, A.; Braaten, B.D. A 4 element compact ultra-wideband MIMO antenna array. In Proceedings of the 2015 IEEE International Symposium on Antennas and Propagation, Vancouver, BC, Canada, 19–25 July 2015. [Google Scholar]
- Khan, M.S.; Iftikhar, A.; Asif, S.; Capobianco, A.-D.; Braaten, B.D. A Compact four Elements UWB MIMO antenna with on-demand WLAN rejection. Microw. Opt. Tech. Lett. 2016, 58, 270–276. [Google Scholar] [CrossRef]
- Jung, C.W.; Lee, M.; Li, G.P.; De Flaviis, F. Reconfigurable scanbeam single-arm spiral antenna integrated with RF-MEMS switches. IEEE Trans. Antennas Propag. 2006, 54, 455–463. [Google Scholar] [CrossRef]
- Khan, M.S.; Asif, S.; Capobianco, A.D.; Ijaz, B.; Anagnostou, D.E.; Braaten, B.D. Frequency reconfigurable self-adapting conformal array for changing wedge- and cylindrical-shaped surfaces. IET Microw. Antennas Propag. 2016, 10, 897–901. [Google Scholar] [CrossRef]
- Shelley, S.; Costantine, J.; Christodoulou, C.G.; Anagnostou, D.E.; Lyke, J.C. FPGA-controlled switch-reconfigured antenna. IEEE Antennas Wirel. Propag. Lett. 2010, 9, 355–358. [Google Scholar] [CrossRef]
- Zhao, X.; Riaz, S.; Geng, S. A reconfigurable MIMO/UWB MIMO antenna for cognitive radio applications. IEEE Access 2019, 7, 46739–46747. [Google Scholar] [CrossRef]
- Fatima, A.; Saleem, R.; Shabbir, T.; Rehman, S.-U.; Bilal, M.; Shafique, M.F. A compact quad-element UWB-MIMO antenna system with parasitic decoupling mechanism. Appl. Sci. 2019, 9, 2371. [Google Scholar]
- Kumar, P.; Urooj, S.; Alrowais, F. Design of quad-port MIMO/Diversity antenna with tripple-band elimination characteristics for super wideband applications. Sensors 2020, 20, 624. [Google Scholar] [CrossRef] [PubMed]
- Knudsen, M.B.; Pedersen, G.F. Spherical outdoor to indoor power spectrum model at the mobile terminal. IEEE J. Sel. Areas Commun. 2002, 20, 1156–1168. [Google Scholar] [CrossRef]
- Anitha, R.; Vinesh, P.V.; Prakash, K.C.; Mohanan, P.; Vasudevan, K. A compact quad element slotted ground wideband antenna for MIMO applications. IEEE Trans. Antennas Propag. 2016, 64, 4550–4553. [Google Scholar] [CrossRef]















| Published Literature | Total PCB Size without Height (mm | Bandwidth (GHz) | Notch Band (GHz) | |S| at Notch (or Notch Quality) | Bandwidth Control/Complex or Simple Structure/ Recon-Figurable | Mutual Coupling (dB) | Gain Var-(dBi)/ Notch Band Gain (dBi) | ECC Using Far-Field Patterns |
|---|---|---|---|---|---|---|---|---|
| [26] Anitha et al. | 45 × 45 | 2.2–6.28 | No | N.A | N.A | ≤−14 | <4/ N.A | <0.25 (uniform) |
| [17] Asif et al. | 50 × 39.8 | 2.5–12 | No | N.A | N.A | ≤−17 | <N.A/ N.A | N.A |
| [18] Asif et al. | 50 × 39.8 | 2.7–12 | 4.8–6.2 | −2 dB | Not presented/ complex design structure used to obtain notch/Yes | ≤−17 | <4/ −3.8 | N. A |
| [14] Keim et al. | 60 × 60 | 2.73–10.68 | 5.36–6.04 | −1.8 dB | Not presented / complex EBG structure/No | <−15 | <5/ −3.7 | N.A |
| [16] Wenjing et al. | 60 × 60 | 3.0–16.2 | 4.0–5.2 | −1.4 dB | Not presented / complex EBG structure with vias/No | <−17.5 | <6/ −1 | <0.3 (uniform) |
| Proposed antenna | 25 × 50 | 2–12 | 4.9–6.3 | −1 dB | Yes/simple LC stub/ Yes | <−17 | <3.5/ −4 | <0.15 (uniform) <0.43 (indoor) <0.43 (outdoor) |
© 2020 by the authors. Licensee MDPI, Basel, Switzerland. This article is an open access article distributed under the terms and conditions of the Creative Commons Attribution (CC BY) license (http://creativecommons.org/licenses/by/4.0/).
Share and Cite
Khan, M.S.; Iftikhar, A.; Shubair, R.M.; Capobianco, A.-D.; Asif, S.M.; Braaten, B.D.; Anagnostou, D.E. Ultra-Compact Reconfigurable Band Reject UWB MIMO Antenna with Four Radiators. Electronics 2020, 9, 584. https://doi.org/10.3390/electronics9040584
Khan MS, Iftikhar A, Shubair RM, Capobianco A-D, Asif SM, Braaten BD, Anagnostou DE. Ultra-Compact Reconfigurable Band Reject UWB MIMO Antenna with Four Radiators. Electronics. 2020; 9(4):584. https://doi.org/10.3390/electronics9040584
Chicago/Turabian StyleKhan, Muhammad Saeed, Adnan Iftikhar, Raed M. Shubair, Antonio-Daniele Capobianco, Sajid Mehmood Asif, Benjamin D. Braaten, and Dimitris E. Anagnostou. 2020. "Ultra-Compact Reconfigurable Band Reject UWB MIMO Antenna with Four Radiators" Electronics 9, no. 4: 584. https://doi.org/10.3390/electronics9040584
APA StyleKhan, M. S., Iftikhar, A., Shubair, R. M., Capobianco, A.-D., Asif, S. M., Braaten, B. D., & Anagnostou, D. E. (2020). Ultra-Compact Reconfigurable Band Reject UWB MIMO Antenna with Four Radiators. Electronics, 9(4), 584. https://doi.org/10.3390/electronics9040584

