Photovoltaic Self-Consumption in Industrial Cooling and Refrigeration
Abstract
1. Introduction
2. Materials and Methods
2.1. Consumer Profiles of Industrial Refrigeration and Cooling Companies
2.2. Generation Profiles
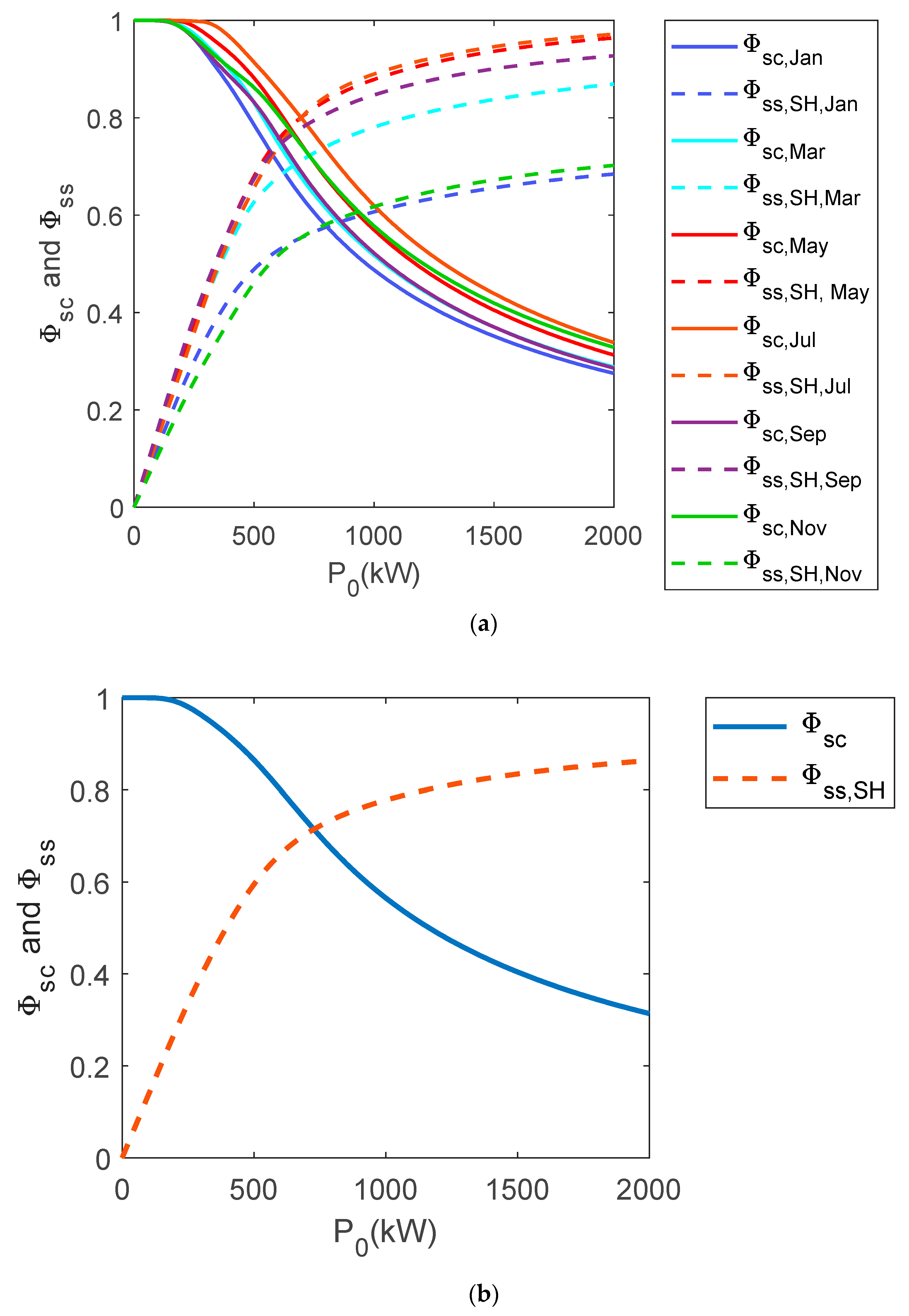
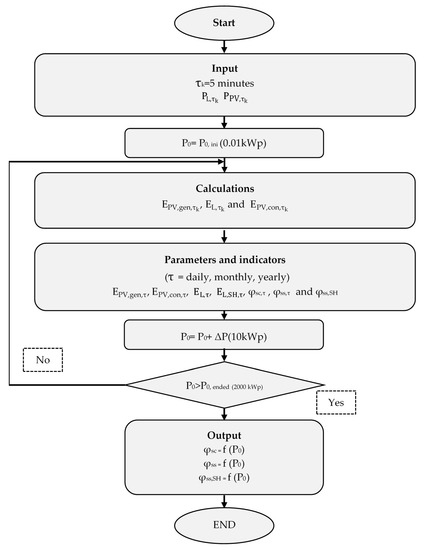
2.3. Self-Sufficiency and Self-Consumption Indices. Self-Sufficiency Index for Sunshine Hours Index φSS,SH
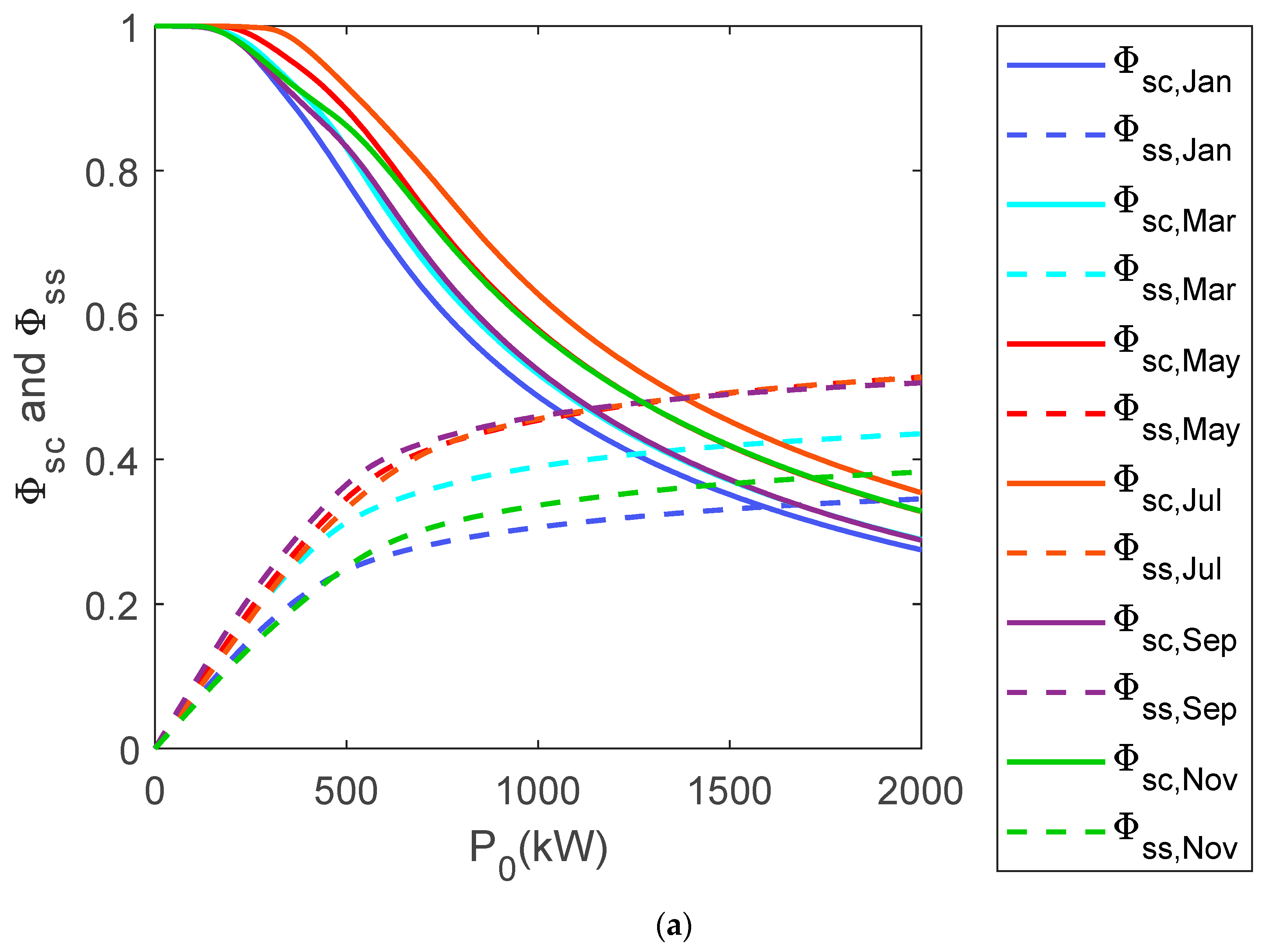
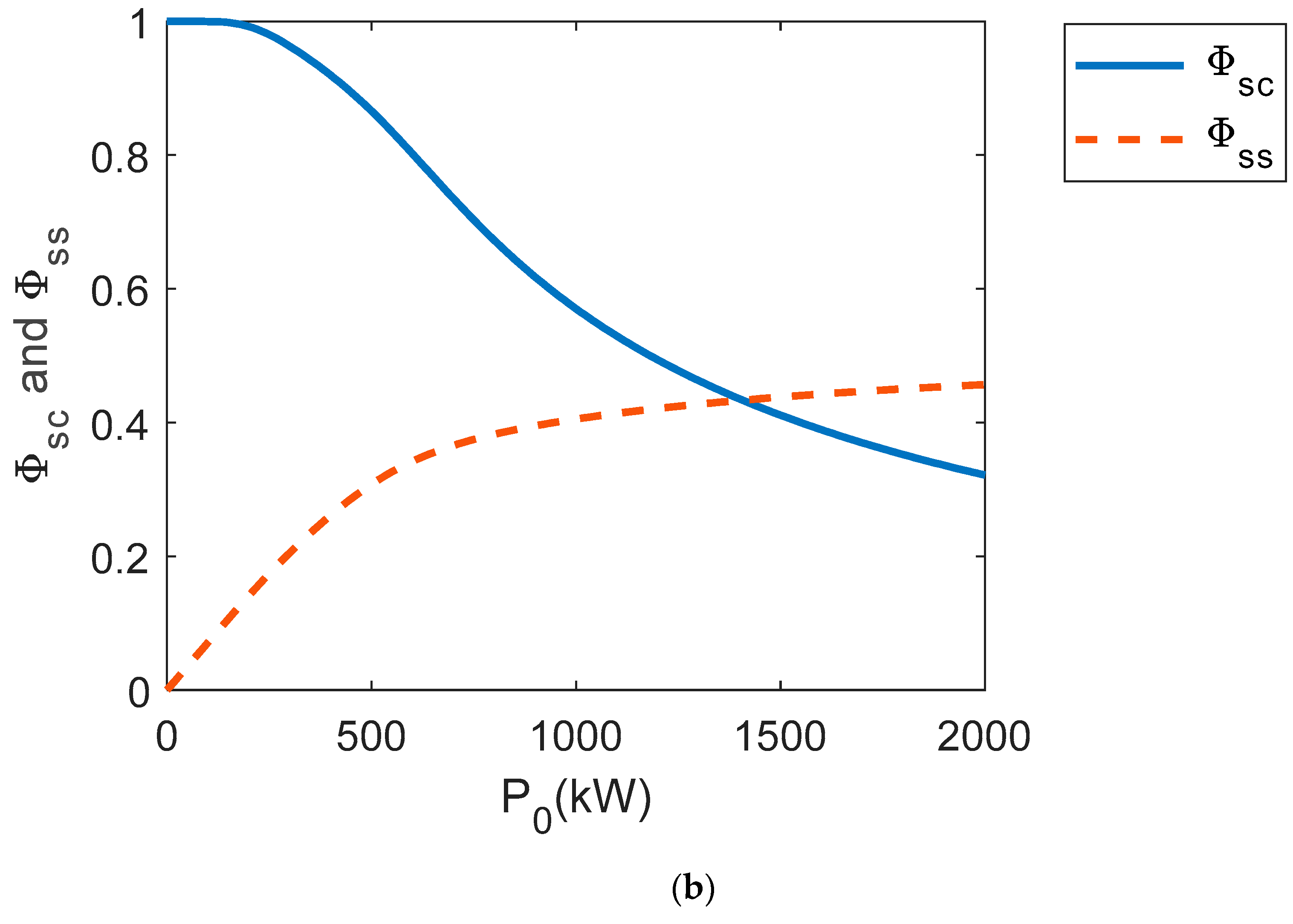
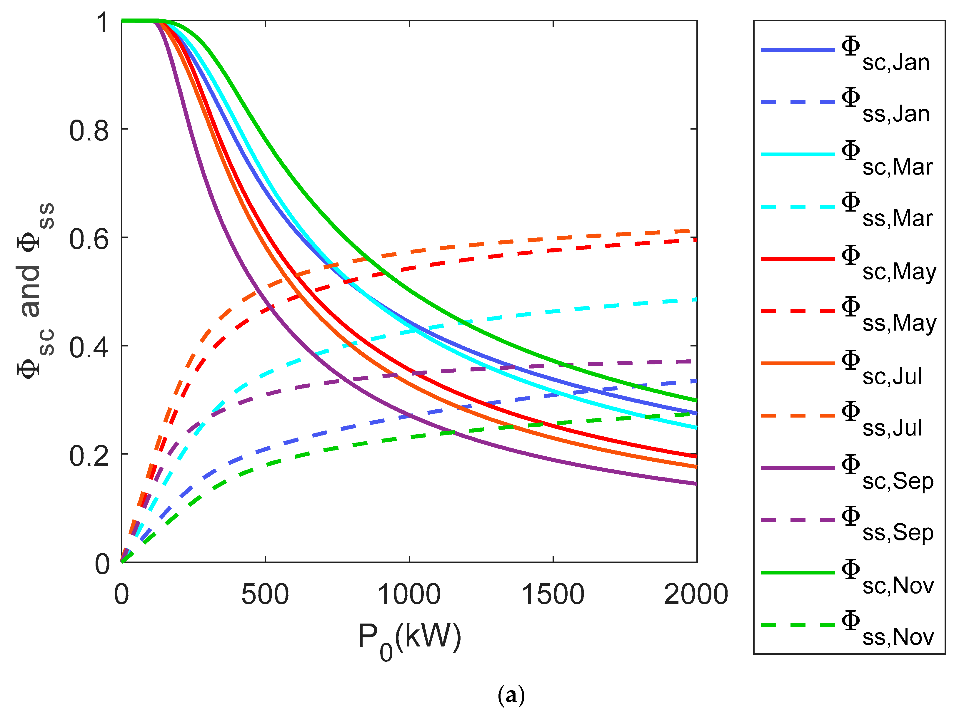
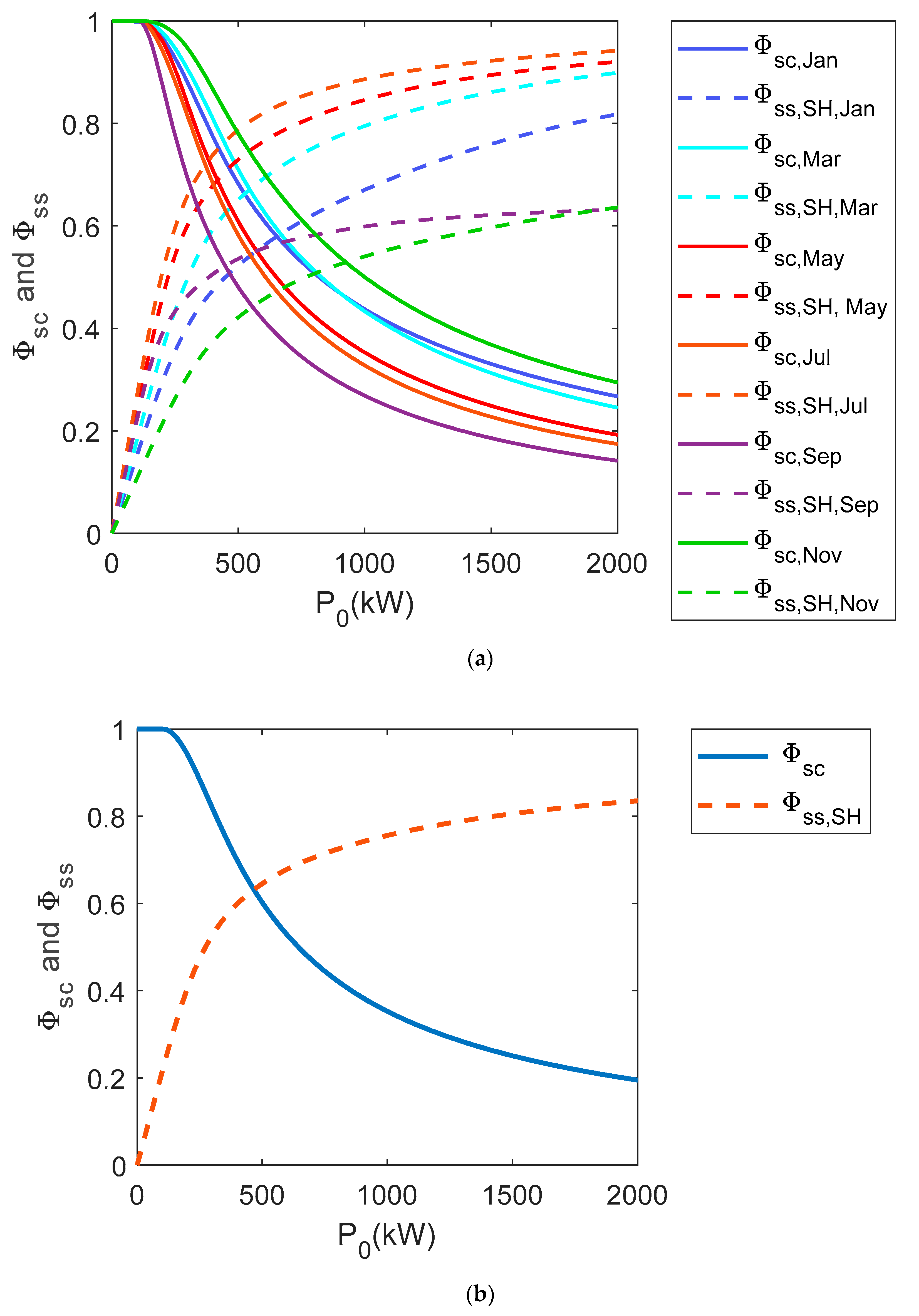
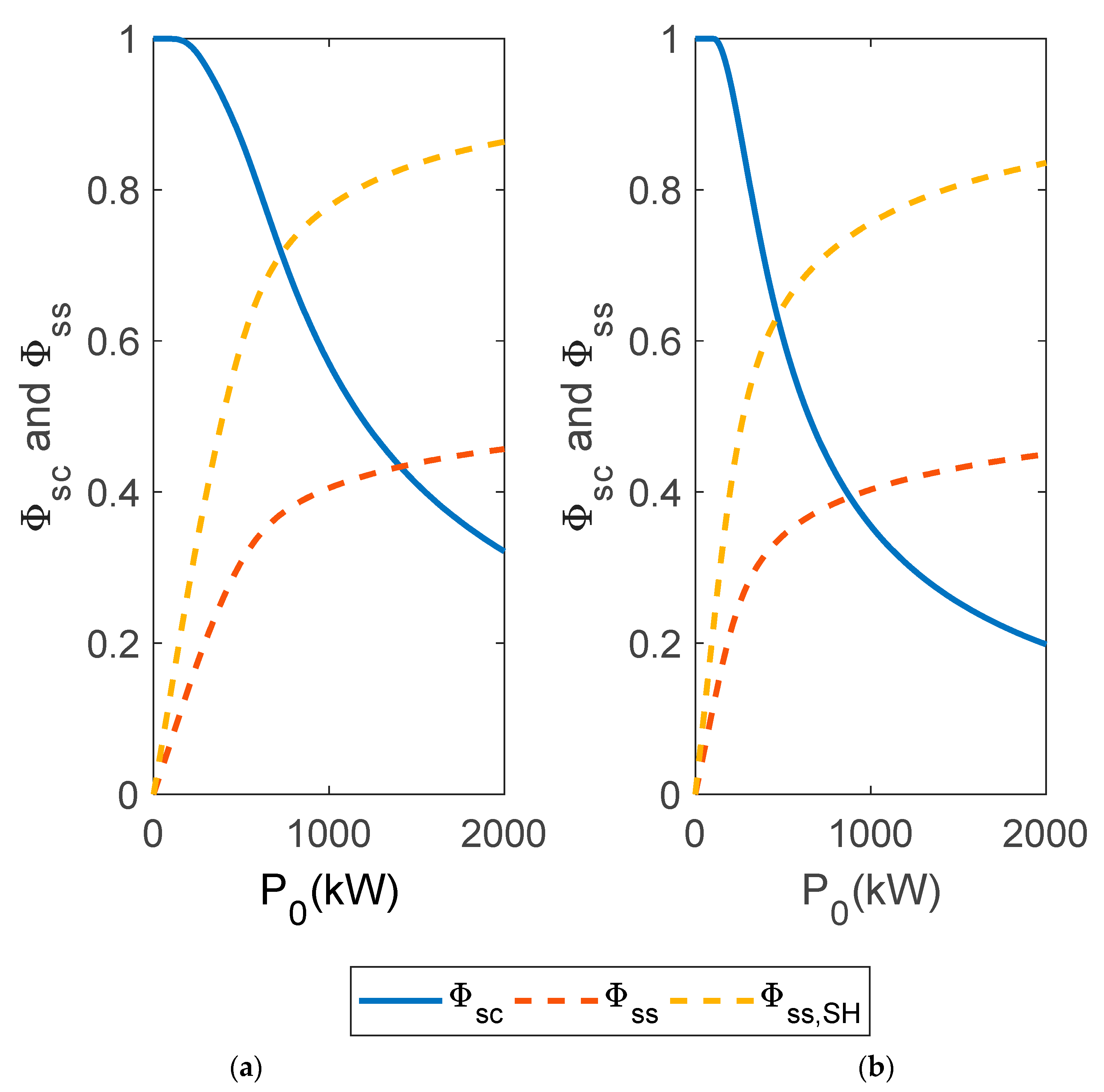
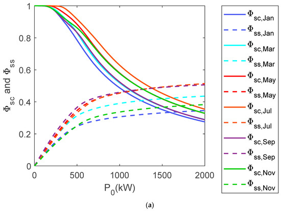
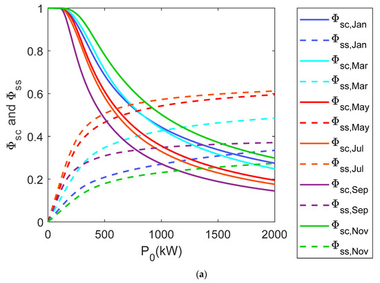
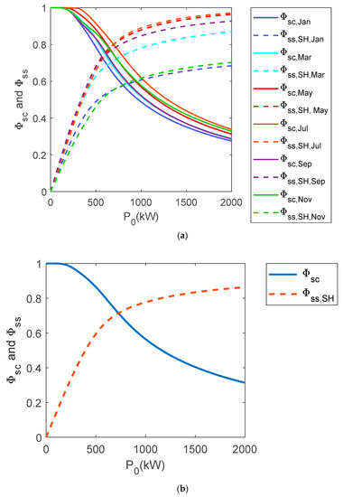
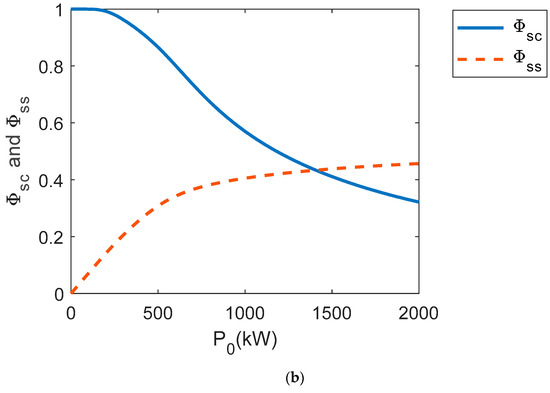
3. Results and Discussion
4. Conclusions
Author Contributions
Funding
Acknowledgments
Conflicts of Interest
Abbreviations
| EL,τ | Total energy consumption during the reporting period |
| ELSH,τ | Total energy consumption during the reporting period for sunshine hours |
| Eout | Energy output |
| EPV,con,τ | Photovoltaic energy consumed during the reporting period |
| EPV,gen,τ | Photovoltaic energy generated during the reporting period |
| GDP | Gross domestic product |
| HOMER | Hybrid optimization model for electricity renewables |
| L | Load |
| PL | Load power (Wp) |
| PL,SH | Load power (Wp) for sunshine hours |
| P0 PV | Nominal power (Wp) |
| PPV | Photovoltaic output power (W) |
| PPV,con | Photovoltaic self-consumed power (W) |
| PPV,gen | Photovoltaic output power (W) |
| PR | Performance Ratio |
| PV | Photovoltaic |
| Reporting period (daily, monthly or annual) | |
| k | Recording interval |
| YF | Annual final yield of a PV System (kWh/kWp) |
| ZEB | Zero Energy Building |
| ZEI | Zero Energy Industry |
| ZEISH | Zero Energy Industry for sunshine hours |
| φsc | Self-consumption index |
| φss | Self-sufficiency index |
| φSS,SH | Self-sufficiency index for sunshine hours |
References
- BP Statistical Review of World Energy. 2019. Available online: https://www.bp.com/content/dam/bp/business-sites/en/global/corporate/pdfs/energy-economics/statistical-review/bp-stats-review-2019-full-report.pdf (accessed on 20 December 2020).
- IEA. Global Energy Review 2020; IEA Publication: Paris, France, 2020. [Google Scholar]
- IDAE Institute for the Diversification and Saving of Energy. Available online: http://informeestadistico.idae.es/t10.htm (accessed on 8 September 2020).
- Chiaroni, D.; Chiesa, V.; Colasanti, L.; Cucchiella, F.; D’Adamo, I.; Frattini, F. Evaluating solar energy profitability: A focus on the role of self-consumption. Energy Convers. Manag. 2014, 88, 317–331. [Google Scholar] [CrossRef]
- Ehsan, A.; Yang, Q. Optimal integration and planning of renewable distributed generation in the power distribution networks: A review of analytical techniques. Appl. Energy 2018, 210, 44–59. [Google Scholar] [CrossRef]
- Anuario Fotovoltaico. 2018. Available online: https://proyectotransicionenergetica.org/AnuarioFotovoltaico2018.pdf (accessed on 20 December 2020).
- Sarasa-Maestro, C.J.; Dufo-López, R.; Bernal-Agustín, J.L. Analysis of Photovoltaic Self-Consumption Systems. Energies 2016, 9, 681. [Google Scholar] [CrossRef]
- European Parliament Directive 2009/2/EC of the European Parliament and of the Council of 13 July 2009. Available online: https://eur-lex.europa.eu/eli/dir/2009/72/oj (accessed on 20 December 2020).
- Jenkins, N.; Strbac, J.; Ekanayake, G. Distributed Generation; Renewable Energy Series; IET: London, UK, 2010; ISBN 9780863419584. [Google Scholar]
- Pelegry, Á.; Legarza, C. Generación Distribuida y Autoconsumo Análisis Regulatorio; Cátedra de Energía de Orkestra: Deusto, Spain, 2014. [Google Scholar]
- González-Longatt, F.; Unefa, M.U.C.D.V.; Fortoul, C. Review of the Distributed Generation Concept: Attempt of Unification. Renew. Energy Power Qual. J. 2005, 1, 281–284. [Google Scholar] [CrossRef]
- Luthander, R.; Nilsson, A.M.; Widén, J.; Åberg, M. Graphical analysis of photovoltaic generation and load matching in buildings: A novel way of studying self-consumption and self-sufficiency. Appl. Energy 2019, 250, 748–759. [Google Scholar] [CrossRef]
- Lang, T.; Ammann, D.; Girod, B. Profitability in absence of subsidies: A techno-economic analysis of rooftop photovoltaic self-consumption in residential and commercial buildings. Renew. Energy 2016, 87, 77–87. [Google Scholar] [CrossRef]
- Paciello, L.; Pedale, A.; Scaradozzi, D.; Conte, G. A design tool for modelling and sizing of energy production/storage home system. In Proceedings of the 2014 IEEE Workshop on Environmental, Energy, and Structural Monitoring Systems Proceedings, Naples, Italy, 17–18 September 2014; pp. 1–6. [Google Scholar]
- Ghiani, E.; Vertuccio, C.; Pilo, F. Optimal sizing and management of a smart Microgrid for prevailing self-consumption. In Proceedings of the 2015 IEEE Eindhoven PowerTech, Eindhoven, The Netherlands, 29 June–2 July 2015; pp. 1–6. [Google Scholar]
- Clairand, J.-M.; Briceno-Leon, M.; Escriva-Escriva, G.; Pantaleo, A.M. Review of energy efficiency technologies in the food industry: Trends, barriers, and opportunities. IEEE Access 2020, 8, 48015–48029. [Google Scholar] [CrossRef]
- Bernardi, E.; Bordons, C.; Mendes, P.R.; Normey-Rico, J.E.; Adam, E.J. Fault-tolerant energy management for an industrial microgrid: A compact optimization method. Int. J. Electr. Power Energy Syst. 2021, 124, 106342. [Google Scholar] [CrossRef]
- Nacer, T.; Hamidat, A.; Nadjemi, O. A comprehensive method to assess the feasibility of renewable energy on Algerian dairy farms. J. Clean. Prod. 2016, 112, 3631–3642. [Google Scholar] [CrossRef]
- Javid, Z.; Li, K.-J.; Hassan, R.U.; Chen, J. Hybrid-microgrid planning, sizing and optimization for an industrial demand in Pakistan. Teh. Vjesn. Tech. Gaz. 2020, 27, 781–792. [Google Scholar] [CrossRef]
- Jara, P.G.B.; Castro, M.T.; Esparcia, J.E.A.; Ocon, J.D. Quantifying the techno-economic potential of grid-tied rooftop solar photovoltaics in the Philippine industrial sector. Energies 2020, 13, 5070. [Google Scholar] [CrossRef]
- Mukisa, N.; Zamora, R.; Lie, T.T. Feasibility assessment of grid-tied rooftop solar photovoltaic systems for industrial sector application in Uganda. Sustain. Energy Technol. Assess. 2019, 32, 83–91. [Google Scholar] [CrossRef]
- Vokas, G.; Klironomos, P.; Kaldellis, J. Evaluation of building integrated photovoltaic systems’ potential in the industrial sector: Case study of Oinofyta-Viotia zone, Greece. J. Energy Power Eng. 2013, 7, 2211–2219. [Google Scholar]
- E Silva, L.G.L.; Dias, W.P.; Vieira, C.B.; Assis, P.S. Solar photovoltaic energy applied to ferroalloy industry. REM—Int. Eng. J. 2019, 72, 251–255. [Google Scholar] [CrossRef]
- Saxena, S.; Gaur, M.K.; Sinha, D.; Malvi, C.S.; Mishra, S.; Professor, A. Design of photovoltaic system for a biscuit packing machine. Int. J. Eng. Sci. Emerg. Technol. 2013, 6, 2231–6604. [Google Scholar]
- Gómez-Lorente, D.; Rabaza, O.; Dols, F.A.; Mercado-Vargas, M.J. Economic and environmental study of wineries powered by grid-connected photovoltaic systems in Spain. Energies 2017, 10, 222. [Google Scholar] [CrossRef]
- Rabaza, O.; Contreras-Montes, J.; García-Ruiz, M.J.; Hervás-Gámez, C.; Gómez-Lorente, D. Techno-economic performance evaluation for olive mills powered by grid-connected photovoltaic systems. Energies 2015, 8, 11939–11954. [Google Scholar] [CrossRef]
- Jiménez-Castillo, G.; Muñoz-Rodríguez, F.; Martinez-Calahorro, A.J.; Tina, G.M.; Rus-Casas, C. Impacts of array orientation and tilt angles for photovoltaic self-sufficiency and self-consumption indices in olive mills in Spain. Electronics 2020, 9, 348. [Google Scholar] [CrossRef]
- International Institute of Refrigeration. 29th Informatory Note on Refrigeration Technologies: The Role of Refrigeration in the Global Economy; IIF-IIR: Paris, France, 2015. [Google Scholar]
- Jiménez-Castillo, G.; Rus-Casas, C.; Tina, G.M.; Muñoz-Rodriguez, F. Effects of smart meter time resolution when analyzing photovoltaic self-consumption system on a daily and annual basis. Renew. Energy 2020, 164, 889–896. [Google Scholar] [CrossRef]
- Hernandez, J.C.; Ruiz-Rodriguez, F.; Jurado, F. Modelling and assessment of the combined technical impact of electric vehicles and photovoltaic generation in radial distribution systems. Energy 2017, 141, 316–332. [Google Scholar] [CrossRef]
- Gomez-Gonzalez, M.; Hernandez, J.C.; Vera, D.; Jurado, F. Optimal sizing and power schedule in PV household-prosumers for improving PV self-consumption and providing frequency containment reserve. Energy 2020, 191, 116554. [Google Scholar] [CrossRef]
- Jiménez-Castillo, G.; Muñoz-Rodríguez, F.; Rus-Casas, C.; Talavera, D. A new approach based on economic profitability to sizing the photovoltaic generator in self-consumption systems without storage. Renew. Energy 2020, 148, 1017–1033. [Google Scholar] [CrossRef]
- IEC. Photovoltaic System Performance—Part. 1: Monitoring, 1st ed.; IEC Publications: Geneva, Switzerland, 2017; ISBN 9782832239889. [Google Scholar]
- Talavera, D.; Muñoz-Rodríguez, F.; Jimenez-Castillo, G.; Rus-Casas, C. A new approach to sizing the photovoltaic generator in self-consumption systems based on cost–competitiveness, maximizing direct self-consumption. Renew. Energy 2019, 130, 1021–1035. [Google Scholar] [CrossRef]
- Luthander, R.; Widén, J.; Nilsson, D.; Palm, J. Photovoltaic self-consumption in buildings: A review. Appl. Energy 2015, 142, 80–94. [Google Scholar] [CrossRef]
- Iqbal, M. An Introduction to Solar Radiation; Elsevier: Amsterdam, The Netherlands, 1983. [Google Scholar]
- Wolisz, H.; Schütz, T.; Blanke, T.; Hagenkamp, M.; Kohrn, M.; Wesseling, M.; Mueller, D. Cost optimal sizing of smart buildings’ energy system components considering changing end-consumer electricity markets. Energy 2017, 137, 715–728. [Google Scholar] [CrossRef]
- Vieira, F.M.; Moura, P.S.; De Almeida, A.T. Energy storage system for self-consumption of photovoltaic energy in residential zero energy buildings. Renew. Energy 2017, 103, 308–320. [Google Scholar] [CrossRef]
- Torcellini, P.A.; Crawley, D.B. Understanding zero-energy buildings. Ashrae J. 2006, 48, 62–69. [Google Scholar]













| Sector | Application |
|---|---|
| Pharmaceutical and hospital | White and clean rooms |
| Logistic | Robotic cold stores Picking areas Antechambers Self-supporting warehouses |
| Fruit vegetable | Cold rooms with controlled atmospheres Rapid forced air cooling Water cooling High vacuum cooling |
| Meat | Channel cold rooms Process rooms Clean or white rooms Dryers Cold rooms for finished products Freezing tunnels Blast chillers Freezing cold rooms Heated packaging rooms |
| Dairy | Cold rooms for dairy products |
| Fishing | Boat cooling Refrigeration of reception areas and markets Ice factories Cold storage Refrigeration of fish workers Freezing |
| Hospitality and restoration | Cold rooms in large central kitchens Small cold rooms for restaurants Installation of blast chillers Freezing tunnels |
| Bakery and pastry | Freezing tunnels, continuous static or spiral Refrigerated bakery workers Controlled fermentation chambers Freezing chamber for precooked Small pastry chambers |
| Distribution, hypermarkets and supermarkets | Separate cold rooms Cold storage plants for vegetables, meat, fish, dairy Freezer chambers Butcher shop workers with a view towards the store Bread workers Refrigeration equipment by air or by water Ice and flake generators |
| Parameter | Industry A | Industry B |
|---|---|---|
| Yf (kWh/kW) | 1455 | 1164 |
| φsc | 0.9999 | 0.9995 |
| φss | 0.0375 | 0.1249 |
| φSS,SH | 0.0726 | 0.2361 |
Publisher’s Note: MDPI stays neutral with regard to jurisdictional claims in published maps and institutional affiliations. |
© 2020 by the authors. Licensee MDPI, Basel, Switzerland. This article is an open access article distributed under the terms and conditions of the Creative Commons Attribution (CC BY) license (http://creativecommons.org/licenses/by/4.0/).
Share and Cite
Martínez-Calahorro, A.J.; Jiménez-Castillo, G.; Rus-Casas, C.; Gómez-Vidal, P.; Muñoz-Rodríguez, F.J. Photovoltaic Self-Consumption in Industrial Cooling and Refrigeration. Electronics 2020, 9, 2204. https://doi.org/10.3390/electronics9122204
Martínez-Calahorro AJ, Jiménez-Castillo G, Rus-Casas C, Gómez-Vidal P, Muñoz-Rodríguez FJ. Photovoltaic Self-Consumption in Industrial Cooling and Refrigeration. Electronics. 2020; 9(12):2204. https://doi.org/10.3390/electronics9122204
Chicago/Turabian StyleMartínez-Calahorro, Antonio Javier, Gabino Jiménez-Castillo, Catalina Rus-Casas, Pedro Gómez-Vidal, and Francisco José Muñoz-Rodríguez. 2020. "Photovoltaic Self-Consumption in Industrial Cooling and Refrigeration" Electronics 9, no. 12: 2204. https://doi.org/10.3390/electronics9122204
APA StyleMartínez-Calahorro, A. J., Jiménez-Castillo, G., Rus-Casas, C., Gómez-Vidal, P., & Muñoz-Rodríguez, F. J. (2020). Photovoltaic Self-Consumption in Industrial Cooling and Refrigeration. Electronics, 9(12), 2204. https://doi.org/10.3390/electronics9122204

