Performance of Differential-Phase OFDM Systems over Selective Multipath Fading Channels
Abstract
:1. Introduction
2. Channel Specifications
3. Problem Statement
3.1. The Transmitted OFDM Signal
3.2. The Received OFDM Signal over Multipath Fading Channels
3.3. Signal-To-Interference Ratio (SIR)
4. Power Delay Profiles
5. BER of the OFDM–DPSK System over Selective Fading Channels
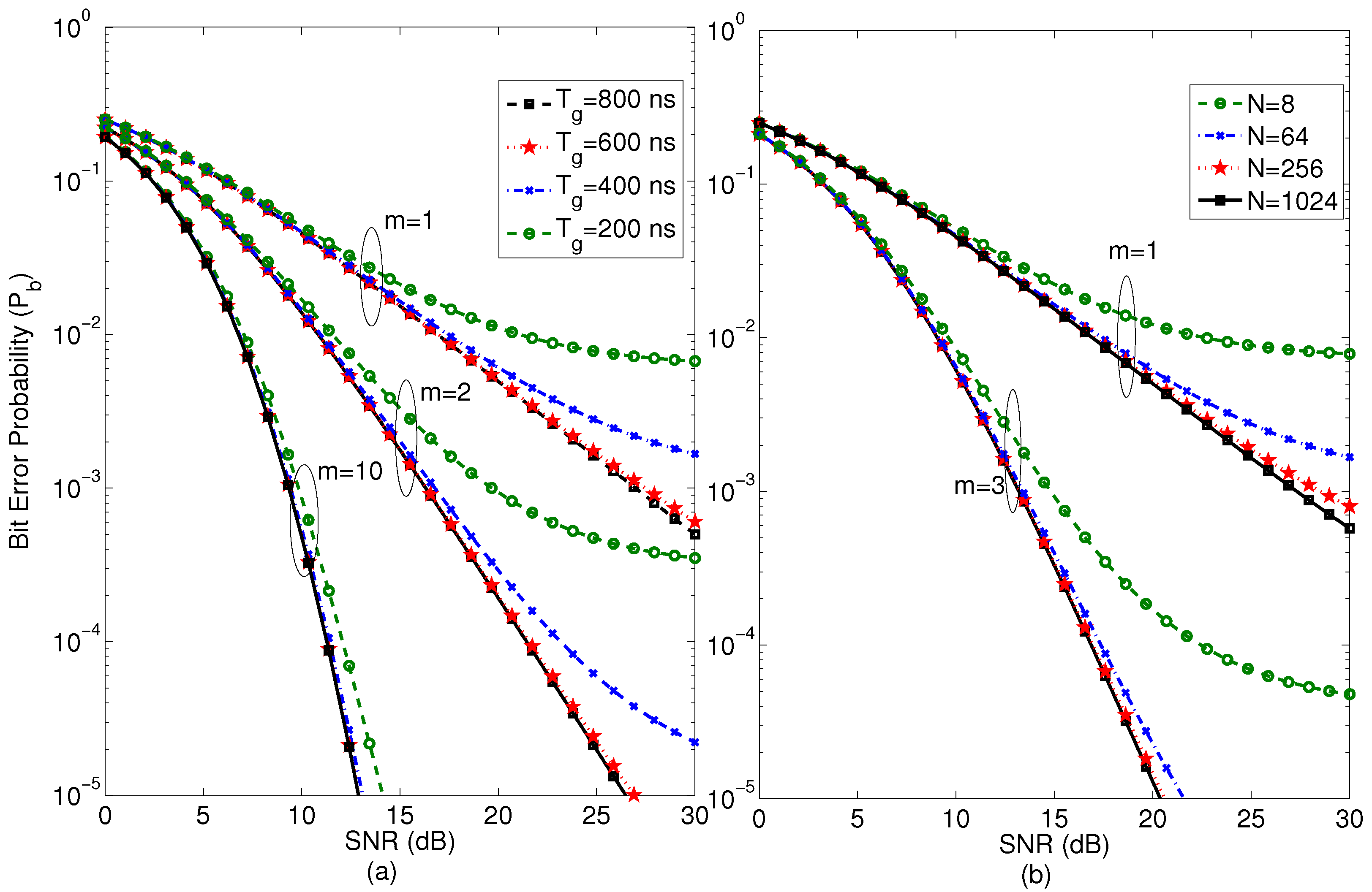
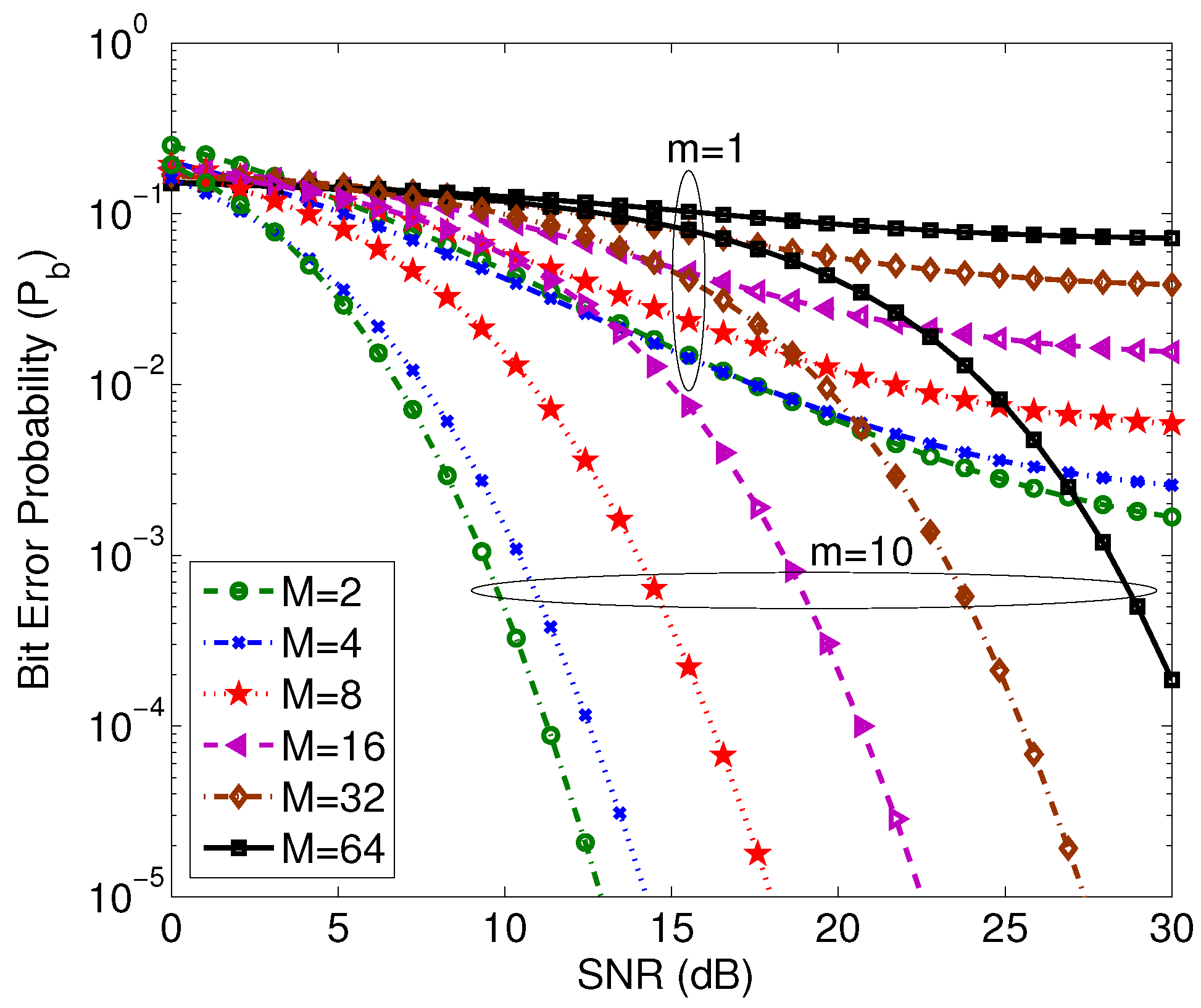
6. Numerical Results and Conclusion
Conflicts of Interest
References
- Li, J.; Kavehrad, M. Effect of Selective Multipath OFDM systems for broadband Mobile Applications. IEEE Commun. Lett. 1999, 3, 332–334. [Google Scholar]
- Toutounchian, M.A.; Vaughan, R.G. Beamforming for Multiuser MIMO-OFDM Interference Channels with Multipath Diversity. IEEE Trans. Wirel. Commun. 2015, 14, 1213–1224. [Google Scholar] [CrossRef]
- Xu, S.; Kwak, K.S. Suppression of IEEE 802.11a Interference in TH-UWB Systems Using Singular Value Decomposition in Wireless Multipath Channels. J. Commun. Netw. 2008, 10, 63–70. [Google Scholar] [CrossRef]
- Rappaport, T.S.; Heath, R.W.; Daniels, R.C.; Murdock, J.N. Millimeter Waves Wireless Communication; Prentice-Hall, Inc.: Upper Saddle River, NJ, USA, 2015. [Google Scholar]
- Huang, L.C.; Tjhung, T.T.; Lu, J. On the optimum number of OFDM subcarriers in fast Rayleigh fading channels. IEEE J. Commun. Netw. 2001, 3, 1–6. [Google Scholar] [CrossRef]
- Lim, J.-B.; Kim, E.-S.; Park, C.-J.; Won, H.-C.; Kim, K.-H.; Im, G.-H. Bandwidth-efficient OFDM transmission with iterative cyclic prefix reconstruction. IEEE J. Commun. Netw. 2008, 10, 239–252. [Google Scholar] [CrossRef]
- Huang, L.C.; Tjhung, T.T.; Lu, J. A 64-point Fourier transform chip for high-speed wireless LAN application using OFDM. IEEE J. Solid-State Circuits 2004, 39, 484–493. [Google Scholar]
- Rahbari, H.; Krunz, M. Exploiting Frame Preamble Waveforms to Support New Physical-Layer Functions in OFDM-Based 802.11 Systems. IEEE Trans. Wirel. Commun. 2017, 16, 3775–3786. [Google Scholar] [CrossRef]
- Ayach, O.E.; Peters, S.W.; Heath, R.W., Jr. The Feasibility of Interference Alignment Over Measured MIMO-OFDM Channels. IEEE Trans. Veh. Technol. 2010, 59, 4309–4321. [Google Scholar] [CrossRef]
- Abualhaol, I.Y.; Matalgah, M.M.; Abu-Abed, A.S. Enhanced cooperative coding for relay-based MIMO-OFDM systems. In Proceedings of the 21st Annual IEEE International Symposium on Personal, Indoor and Mobile Radio Communications, Istanbul, Turkey, 26–29 September 2010; pp. 2299–2303. [Google Scholar]
- Hermann, R.; May, T. Comparison of PSK and DPSK modulation in a coded OFDM system. In Proceedings of the IEEE 47th Vehicular Technology Conference, Phoenix, AZ, USA, 4–7 May 1997; Volume 2, pp. 870–874. [Google Scholar]
- Ma, Y.; Patzold, M. Performance Analysis of Wideband Sum-of-Cisoids-Based Channel Simulators with Respect to the Bit Error Probability of DPSK OFDM Systems. IEEE Veh. Technol. Conf. 2009, 59, 1–6. [Google Scholar]
- Rappaport, T.S. Wireless Communication; Prentice-Hall, Inc.: Upper Saddle River, NJ, USA, 1996. [Google Scholar]
- Simon, M.K.; Alouni, M.-S. A Unified Approach to the Performance Analysis of Digital Communication over Generalized Fading Channels. Proc. IEEE 1998, 86, 1860–1877. [Google Scholar] [CrossRef]
- Karagiannidis, G.K.; Zogas, D.A.; Kotsopoulos, S.A. Performance analysis of triple selection diversity over exponentially correlated Nakagami-m fading channels. IEEE Trans. Commun. 2003, 81, 1245–1248. [Google Scholar] [CrossRef]
- Proakis, J.G. Digital Communications, 3rd ed.; Mc-Graw-Hill: New York, NY, USA, 1995. [Google Scholar]
- Güvenkaya, E.; Bala, E.; Yang, R.; Arslan, H. Time-Asymmetric and Subcarrier-Specific Pulse Shaping in OFDM-Based Waveforms. IEEE Trans. Veh. Technol. 2015, 64, 5070–5082. [Google Scholar] [CrossRef]
- Stefan, H. Optimum Nyquist Windowing in OFDM Receivers. IEEE Trans. Commun. 2001, 48, 417–420. [Google Scholar]
- Lu, J.; Tjhung, T.; Adachi, F.; Huang, C. BER Performance of OFDM-MDPSK system in frequency-selective Rician fading with diversity reception. IEEE Trans. Veh. Technol. 2000, 49, 1216–1225. [Google Scholar]
- Cimini, L.J. Analysis and simulation of a digital mobile channel using orthogonal frequency division multiplexing. IEEE Trans. Commun. 1985, 33, 665–675. [Google Scholar] [CrossRef]
- Kim, Y.-J.; Im, G.-H. Pilot-Symbol Assisted Power Delay Profile Estimation for MIMO-OFDM Systems. Commun. Lett. 2012, 16, 68–71. [Google Scholar] [CrossRef]
- Zhang, Z.; Tian, F.; Zeng, F.; Ge, L.; Xuan, G. Mutually orthogonal complementary pairs for OFDM-CDMA systems. In Proceedings of the 12th International Conference on Signal Processing (ICSP), HangZhou, China, 19–23 October 2014. [Google Scholar]
- Upadhyay, R.; Tokekar, S.; Vyavahare, P.D. Performance comparison of 802.11 DCF in fading with OFDM and diversity. In Proceedings of the Ninth International Conference on Wireless and Optical Communications Networks (WOCN), Indore, India, 20–22 September 2012. [Google Scholar]
- Choi, J. Coded OFDM-IM With Transmit Diversity. IEEE Trans. Commun. 2017, 65, 3164–3171. [Google Scholar] [CrossRef]






| Parameter | Setting |
|---|---|
| Bandwidth () | 20 MHz |
| # of subchannels | N=64 |
| Subcarrier separation () | 312.5 kHz |
| Symbol duration () | 50 ns |
| Data duration () | 3.2 s |
| Guard period () | 200, 200, 600, and 800 ns |
| FFT size | Same as the number of subchannels |
| Fading | Multipath selective |
| Severity parameter m | different integer |
| Power Delay Profile | exponential |
| Delay Spread (ns) | Normalized Path Gain | Path Gain (dB) |
|---|---|---|
| 0 | 1.00 | 0 |
| 100 | 0.4893 | −3.10 |
| 200 | 0.2394 | −6.21 |
| 300 | 0.1171 | −9.31 |
| 400 | 0.0573 | −12.42 |
| 500 | 0.0280 | −15.53 |
| 600 | 0.0137 | −18.63 |
| 700 | 0.0067 | −21.74 |
| Guard Period (ns) | Frame Duration (s) | % | Average SIR per Frame (dB) |
|---|---|---|---|
| 200 | 3.4 | 5.88% | 19.00 |
| 400 | 3.6 | 11.11% | 26.29 |
| 600 | 3.8 | 15.79% | 36.75 |
| 800 | 4.0 | 20% | No Interference |
© 2017 by the author. Licensee MDPI, Basel, Switzerland. This article is an open access article distributed under the terms and conditions of the Creative Commons Attribution (CC BY) license (http://creativecommons.org/licenses/by/4.0/).
Share and Cite
Abuabed, A.S.A. Performance of Differential-Phase OFDM Systems over Selective Multipath Fading Channels. Electronics 2017, 6, 66. https://doi.org/10.3390/electronics6030066
Abuabed ASA. Performance of Differential-Phase OFDM Systems over Selective Multipath Fading Channels. Electronics. 2017; 6(3):66. https://doi.org/10.3390/electronics6030066
Chicago/Turabian StyleAbuabed, Alaeddin S. A. 2017. "Performance of Differential-Phase OFDM Systems over Selective Multipath Fading Channels" Electronics 6, no. 3: 66. https://doi.org/10.3390/electronics6030066
APA StyleAbuabed, A. S. A. (2017). Performance of Differential-Phase OFDM Systems over Selective Multipath Fading Channels. Electronics, 6(3), 66. https://doi.org/10.3390/electronics6030066

