Dimension Reduction Method Preserving Transient Characteristics for WTGS with Virtual Inertial Control Based on Trajectory Eigenvalue
Abstract
1. Introduction
2. Control Strategy of WTGS with VIC
3. Dimension Reduction Based on the Primary Degree of Trajectory Eigenvalue
- (1)
- The system operates within the region where linearization remains valid near the non-equilibrium point.
- (2)
- The parameter settings for virtual inertia control fall within a reasonable range and do not lie within the range that could induce instability in the full-order model.
- (3)
- The reduced-order model is used for large disturbance analysis and the disturbance does not excite oscillations in the system.
3.1. Singular Perturbation Theory
3.2. Trajectory Eigenvalue Dominance Analysis
3.3. Multi-Time Scale Partitioning Criteria
- (1)
- To maintain the stability of the WTGS ROM, all trajectory eigenvalues must be less than zero.
- (2)
- After completing the fast and slow variable set partitioning of WTGS, the steady-state solution of the state variables in Xfast can be obtained as shown in (8).
- (3)
- To enhance simulation speed, while ensuring the above two aspects are maintained, the order of the WTGS ROM should be minimized as much as possible.
3.4. WTGS with VIC FOM Reduction Process

4. Verification of Dimension Reduction Method
4.1. Analysis of the Reduction Results
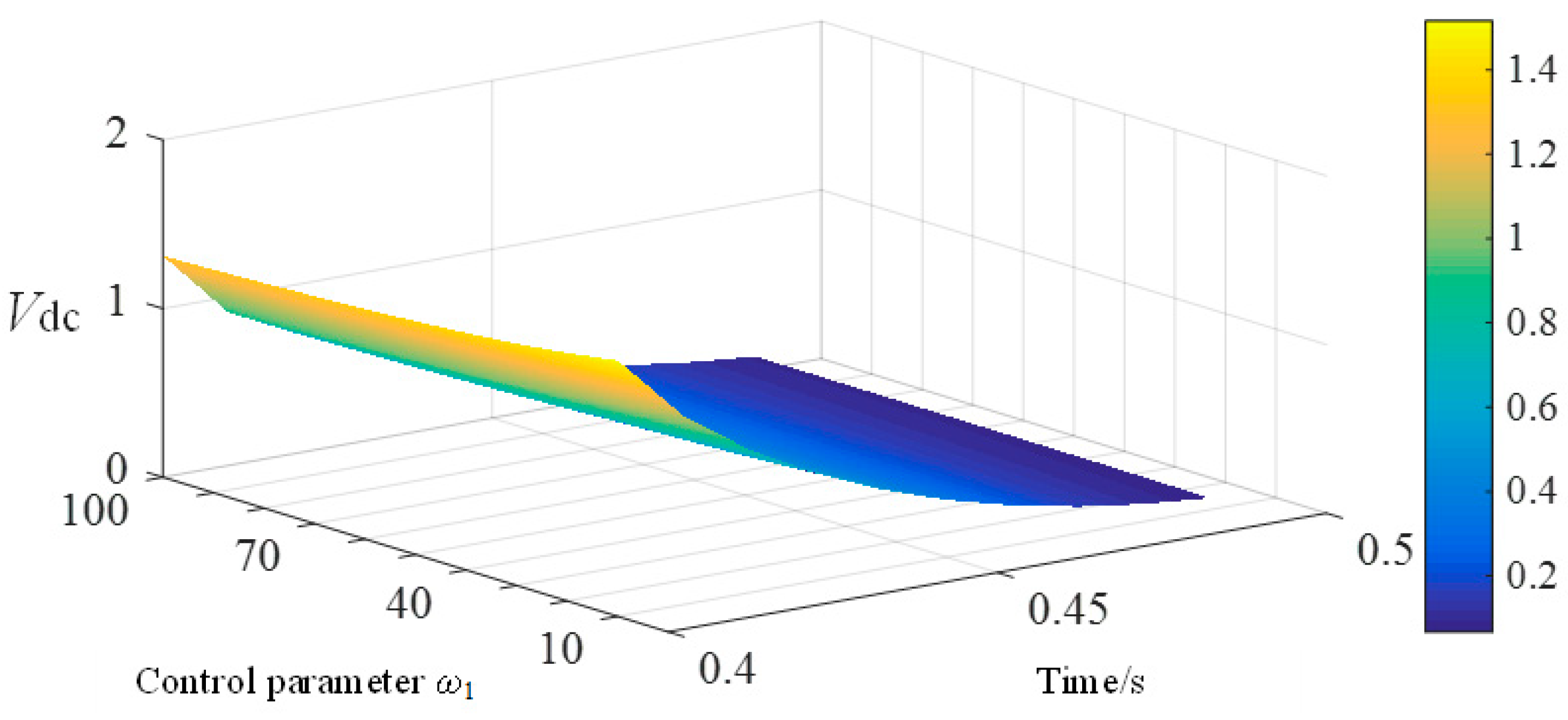
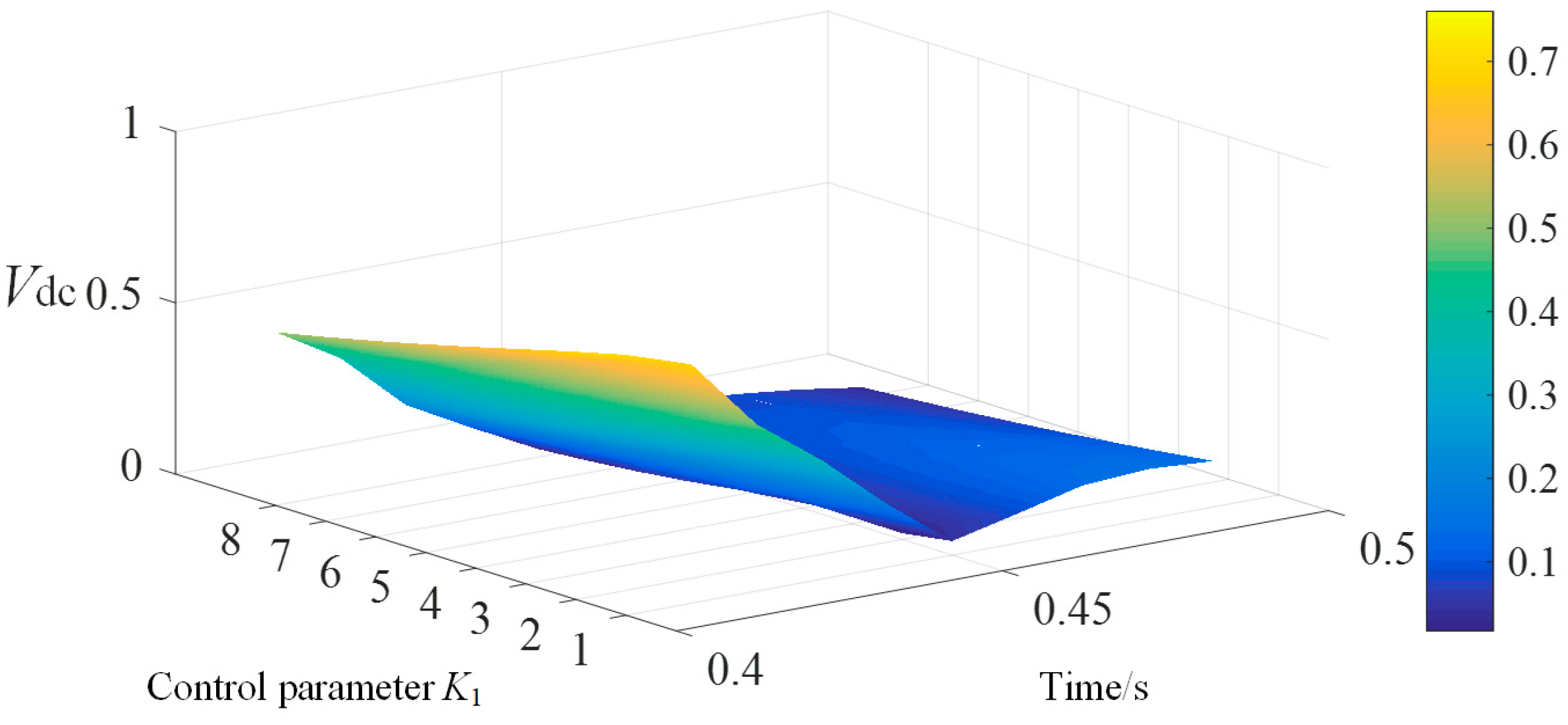
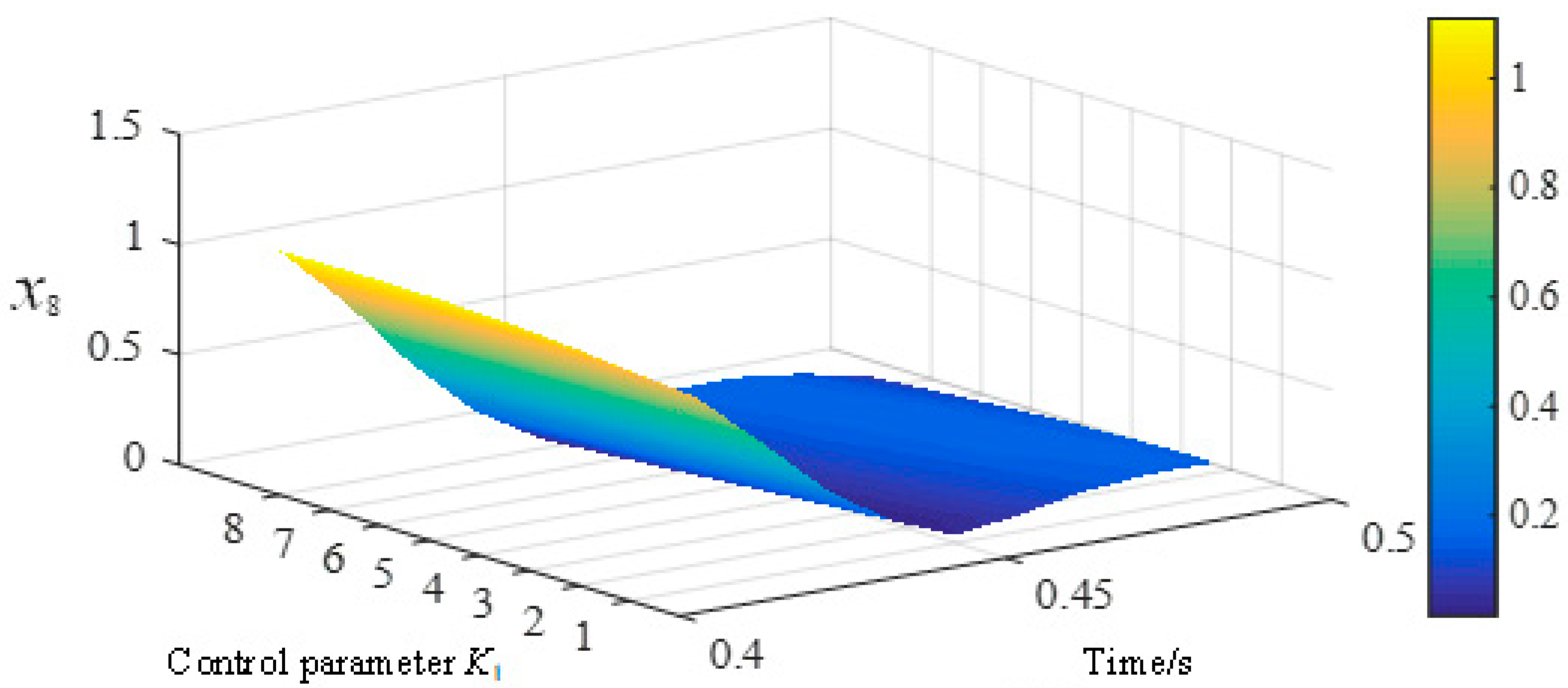
4.2. Influence of VIC Parameters on Primary Contributing Factors
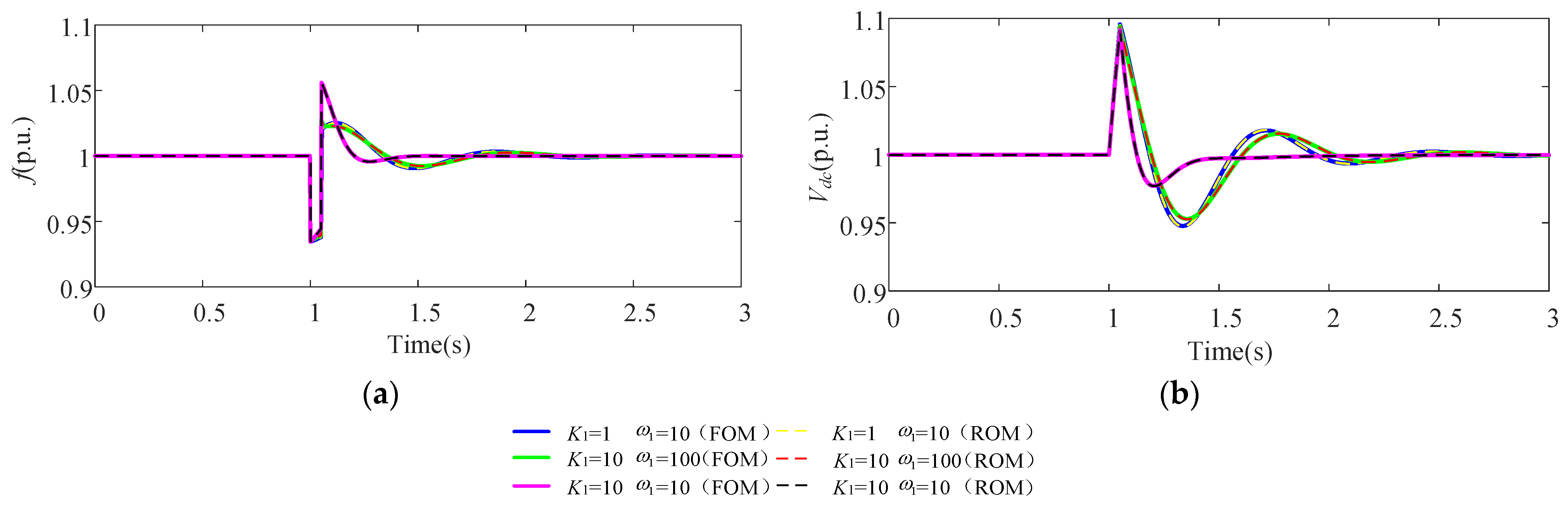
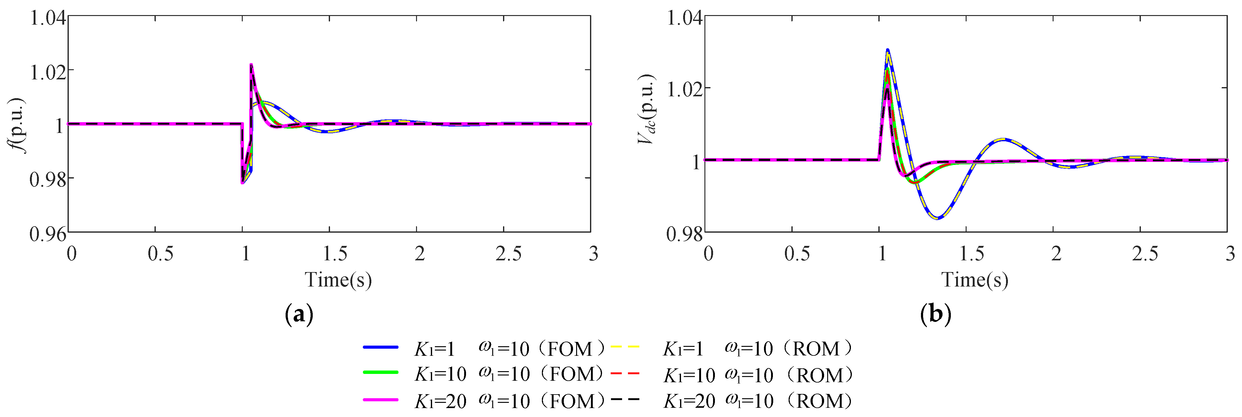
4.3. Comparison of Dimension Reduction Effects with Different Control Coefficients k1
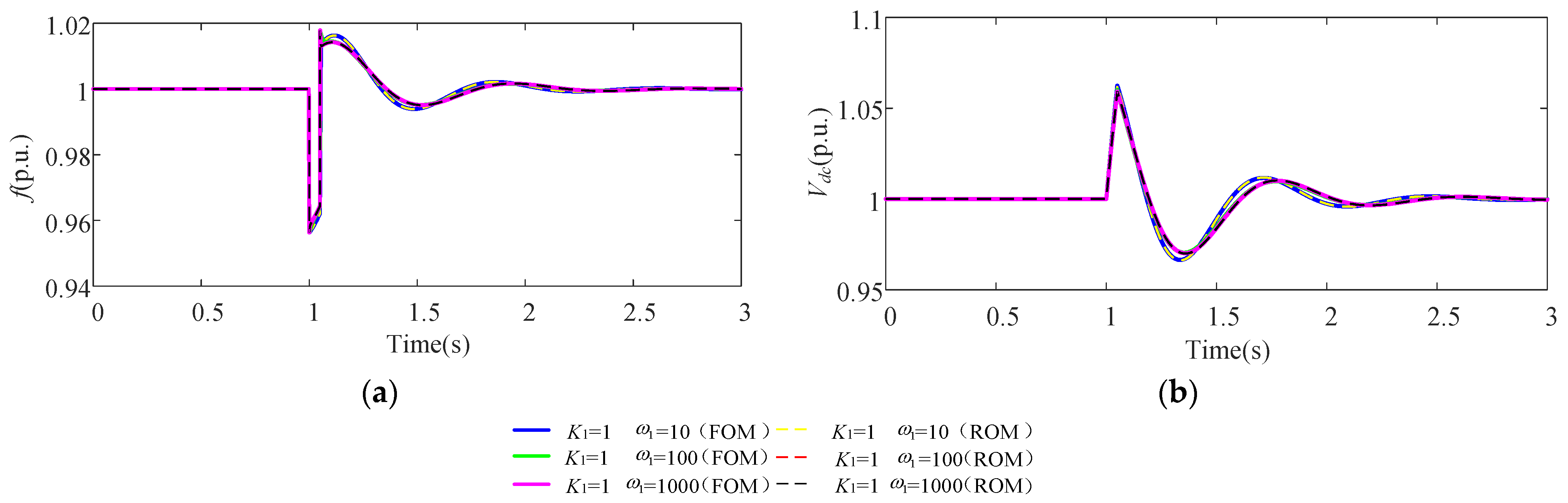
4.4. Comparison of Dimension Reduction Effects with Different Control Parameters w1
4.5. Comparison of Dimension Reduction Effects with Different Voltage Drop Depths
5. Conclusions
Author Contributions
Funding
Data Availability Statement
Conflicts of Interest
Appendix A
References
- Meegahapola, L.; Sguarezi, A.; Bryant, J.S.; Gu, M.; Conde, D.E.R.; Cunha, R.B. Power system stability with power-electronic converter interfaced renewable power generation: Present issues and future trends. Energies 2020, 13, 3441. [Google Scholar] [CrossRef]
- Sun, H.; Xu, T.; Guo, Q.; Li, Y.; Lin, W.; Yi, J.; Li, W. Analysis on Blackout in Great Britain Power Grid on August 9th, 2019 and Its Enlightenment to Power Grid in China. Proc. Chin. Soc. Electr. Eng. 2019, 39, 6183–6191. [Google Scholar]
- Shobug, M.A.; Chowdhury, N.A.; Hossain, M.A.; Sanjari, M.J.; Lu, J.; Yang, F. Virtual inertia control for power electronics-integrated power systems: Challenges and prospects. Energies 2024, 17, 2737. [Google Scholar] [CrossRef]
- Tong, W.; Xiaotong, W.; Zichang, H. Research on transient characteristic analysis and transient stability mechanism of distributed condenser. Trans. China Electrotech. Soc. 2025, 40, 36–51. [Google Scholar]
- Roy, N.K.; Islam, S.; Podder, A.K.; Roy, T.K.; Muyeen, S.M. Virtual inertia support in power systems for high penetration of renewables—Overview of categorization, comparison, and evaluation of control techniques. IEEE Access 2022, 10, 129190–129216. [Google Scholar] [CrossRef]
- Tamrakar, U.; Shrestha, D.; Maharjan, M.; Bhattarai, B.P.; Hansen, T.M.; Tonkoski, R. Virtual inertia: Current trends and future directions. Appl. Sci. 2017, 7, 654. [Google Scholar] [CrossRef]
- Zhang, W.; Wen, Y.; Chi, F.; Wang, K.; Li, L. Research Framework and Prospect on Power System Inertia Estimation. Proc. Chin. Soc. Electr. Eng. 2021, 41, 6842–6855. [Google Scholar]
- Baruwa, M.; Fazeli, M. Impact of Virtual Synchronous Machines on Low-Frequency Oscillations in Power Systems. IEEE Trans. Power Syst. 2021, 36, 1934–1946. [Google Scholar] [CrossRef]
- Yap, K.Y.; Sarimuthu, C.R.; Lim, J.M.Y. Virtual inertia-based inverters for mitigating frequency instability in grid-connected renewable energy system: A review. Appl. Sci. 2019, 9, 5300. [Google Scholar] [CrossRef]
- Wang, Z.; Zhuo, F.; Yi, H.; Wu, J.; Wang, F.; Zeng, Z. Analysis of dynamic frequency performance among voltage-controlled inverters considering virtual inertia interaction in microgrid. IEEE Trans. Ind. Appl. 2019, 55, 4135–4144. [Google Scholar] [CrossRef]
- Liu, B.; Zhao, J.; Huang, Q.; Milano, F.; Zhang, Y.; Hu, W. Nonlinear Virtual Inertia Control of WTGs for Enhancing primary Frequency Response and Suppressing Drivetrain Torsional Oscillations. IEEE Trans. Power Syst. 2021, 36, 4102–4113. [Google Scholar] [CrossRef]
- Shi, K.; Ye, H.; Song, W.; Zhou, G. Virtual inertia control strategy in microgrid based on virtual synchronous generator technology. IEEE Access 2018, 6, 27949–27957. [Google Scholar] [CrossRef]
- Fang, J.; Li, H.; Tang, Y.; Blaabjerg, F. Distributed power system virtual inertia implemented by grid-connected power converters. IEEE Trans. Power Electron. 2017, 33, 8488–8499. [Google Scholar] [CrossRef]
- Pelosi, D.; Ciupageanu, D.A.; Vaccaro, A.; Barelli, L. Impact analysis of wind power generation on steady-state and transient stability of a national power system—The Romanian case study. Wind. Energy Eng. Res. 2025, 3, 100010. [Google Scholar] [CrossRef]
- Waskito, F.; Wijaya, F.D.; Firmansyah, E. Review of Virtual Inertia Based on Synchronous Generator Characteristic Emulation in Renewable Energy-Dominated Power Systems. Electricity 2025, 6, 69. [Google Scholar] [CrossRef]
- Tang, W.; Zhang, R.; Hu, J. Modelling of DFIG-based WT for Power System Transient Responses Analysis in Rotor Speed Control Timescale. Proc. Chin. Soc. Electr. Eng. 2021, 41, 3037–3045. [Google Scholar]
- Ding, W.; Geng, H.; He, C.; Li, J. Modelling of DFIG-Based Wind Turbine for Transient Synchronization Stability Analysis. In Proceedings of the PEDG 2025-2025 IEEE 16th International Symposium on Power Electronics for Distributed Generation Systems, Nanjing, China, 22–25 June 2025. [Google Scholar]
- Zhang, C.; Li, Z.; Cai, X.; Wang, N. Dynamic model of DFIG wind turbines for power system transient stability analysis. Proc. Chin. Soc. Electr. Eng. 2016, 36, 5449–5460. [Google Scholar]
- Magableh, M.A.K.; Radwan, A.A.A.; Mohamed, Y.A.R.I.; El-Saadany, E.F. A novel reduced-order modeling approach of a grid-tied hybrid photovoltaic–wind turbine–battery energy storage system for dynamic stability analysis. IEEE Open J. Power Electron. 2024, 5, 1459–1483. [Google Scholar] [CrossRef]
- Gu, T.; Wang, P.; Liu, D.; Sun, A.; Yang, D.; Yan, G. Modeling and small-signal stability analysis of doubly-fed induction generator integrated system. Glob. Energy Interconnect. 2023, 6, 438–449. [Google Scholar] [CrossRef]
- Pulgar-Painemal, H.A.; Sauer, P.W. Reduced-order model of type-c wind turbine generators. Electr. Power Syst. Res. 2021, 81, 840–845. [Google Scholar] [CrossRef]
- Johnson, R.S. Singular Perturbation Theory: Mathematical and Analytical Techniques with Applications to Engineering; Springer: Boston, MA, USA, 2025. [Google Scholar]
- Li, R.C. Relative perturbation theory: I. Eigenvalue and singular value variations. SIAM J. Matrix Anal. Appl. 1998, 19, 956–982. [Google Scholar] [CrossRef]
- Ma, Y.; Zhu, D.; Zhang, Z.; Zou, X.; Hu, J.; Kang, Y. Modeling and Transient Stability Analysis for Type-3 Wind Turbines Using Singular Perturbation and Lyapunov Methods. IEEE Trans. Ind. Electron. 2023, 70, 8075–8086. [Google Scholar] [CrossRef]
- Yida, Y.; Linjun, W.; Jiayan, A. A generic ROMing hierarchy for power electronic interfaced generators with the quasiconstant-power feature. Proc. CSEE 2017, 37, 3993–4001. [Google Scholar]
- Shen, F.; Ju, P.; Shahidehpour, M.; Li, Z.; Wang, C.; Shi, X. Singular perturbation for the dynamic modeling of integrated energy systems. IEEE Trans. Power Syst. 2019, 35, 1718–1728l. [Google Scholar] [CrossRef]
- Chow, J.H.; Winkelman, J.R.; Pai, M.A.; Sauer, P.W. Singular perturbation analysis of large-scale power systems. Int. J. Electr. Power Energy Syst. 1990, 12, 117–126. [Google Scholar] [CrossRef]
- Wang, T.; Li, Y.; Gao, J.; Jiao, D.; Wang, Z. Nonlinear Dynamic Order Reduction Method of Direct Driven Wind Turbine Based on Disturbed Trajectory Space Decoupling. Proc. Chin. Soc. Electr. Eng. 2023, 43, 8206–8216. [Google Scholar]
- Liu, Q.; Xue, Y.; Chen, G. Oscillation Analysis Based on Trajectory Modes Decoupled in Space and Mode-energy-sequence Part One Theoretical Basis. Autom. Electr. Power Syst. 2019, 43, 1–10. [Google Scholar]
- Xue, Y.; Hao, L.; Wu, Q.H.; Jiang, L. Annotation for FEP and DSP in terms of trajectory section eigenvalues. Autom. Electr. Power Syst. 2010, 34, 1–7. [Google Scholar]
- Tan, W.; Shen, C.; Liu, F.; Ni, J. A practical criterion for trajectory eigenvalues based transient stability analysis. Autom. Electr. Power Syst. 2012, 36, 14–19. [Google Scholar]
- Xue, Y.; Bin, Z. Trajectory section eigenvalue method for nonlinear time-varying power system. Int. J. Electr. Power Energy Syst. 2019, 107, 321–331. [Google Scholar] [CrossRef]
- Bin, Z.; Xue, Y. A method to extract instantaneous features of low frequency oscillation based on trajectory section eigenvalues. J. Mod. Power Syst. Clean Energy 2019, 7, 753–766. [Google Scholar] [CrossRef]
- Xue, Y.; Bin, Z. Analysis of Mode Interaction in Ultra-low Frequency Oscillation Based on Trajectory Eigenvalue. J. Mod. Power Syst. Clean Energy 2020, 8, 1208–1220. [Google Scholar] [CrossRef]
- Lu, D.; Yang, F.; Wang, J. A contingency screening method based on trajectory eigenvalues. Autom. Electr. Power Syst. 2013, 37, 38–43. [Google Scholar]
- Lin, C.H.; Wu, Y.K. Overview of frequency control technologies for wind power systems. In Proceedings of the 2020 International Symposium on Computer, Consumer and Control (IS3C) Taichung City, Taiwan, China, 13–16 November 2020. [Google Scholar]
- Ostadi, A.; Yazdani, A.; Varma, R.K. Modeling and stability analysis of a DFIG-based wind-power generator interfaced with a series-compensated line. IEEE Trans. Power Delivery 2009, 24, 1504–1514. [Google Scholar] [CrossRef]
- Gong, Z.; Mao, J.; Junyent-Ferré, A.; Scarciotti, G. Model order reduction of large-scale wind farms: A data-driven approach. IEEE Trans. Power Syst. 2024, 40, 3487–3498. [Google Scholar] [CrossRef]
- Motta, R.T.; Dotta, D.; Wilches-Bernal, F.; Leonardi, B. Second Generation Wind Turbine Generators Generic Models in the Power System Toolbox. In Proceedings of the IEEE Power and Energy Society General Meeting, Portland, OR, USA, 5–10 August 2018. [Google Scholar]
- Wang, S.; Wu, Y.; Xiong, L.; Zhang, D.; Hao, J.; Tang, Z. Virtual Inertia Control Strategy for Grid-tied Photovoltaic Power Generation System. High Volt. Eng. 2020, 46, 3743–3751. [Google Scholar]
- Khayat, Y.; Golestan, S.; Guerrero, J.M.; Vasquez, J.C.; Bevrani, H. DC-Link Voltage Control Aided for the Inertial Support during Severe Faults in Weak Grids. IEEE J. Emerg. Sel. Top. Power Electron. 2021, 9, 7296–7305. [Google Scholar] [CrossRef]
- Pan, X.; Xue, Y.; Zhang, X.; Chung, C.; Wong, K. Analytical calculation of power system trajectory eigenvalues and its error analysis. Autom. Electr. Power Syst. 2008, 32, 10–14. [Google Scholar]
- Jalajakshi, V.; Myna, A.N. Importance of statistics to data science. Glob. Transit. Proc. 2022, 3, 326–331. [Google Scholar]
- Haro-Larrode, M.; Santos-Mugica, M.; Etxegarai, A.; Eguia, P. Methodology for tuning MTDC supervisory and frequency-response control systems at terminal level under over-frequency events. Energies 2020, 13, 2807. [Google Scholar] [CrossRef]











| Parameter | Value | Parameter | Value |
|---|---|---|---|
| Rotor inertia time constant Jw (s) | 6 | Kp1, Ki1 | 0.1, 5 |
| Rotor permanent magnet flux linkage ψf (p.u.) | 1 | Kp2, Ki2 | 0.3, 15 |
| Intermediate capacitor capacitance Cdc (p.u.) | 50 | Kp3, Ki3 | 0.3, 15 |
| Generator stator d-axis inductance Ld (p.u.) | 0.2 | Kp4, Ki4 | 0.5, 20 |
| Generator stator q-axis inductance Lq (p.u.) | 0.2 | Kp5, Ki5 | 1, 10 |
| GSC filter inductors L (p.u.) | 0.3 | Kp6, Ki6 | 1, 10 |
| Capacity of WTGS P (p.u.) | 0.4 | Kp7, Ki7 | 0.1, 10 |
| Control parameter K1 | 1 | Control parameter w1 | 10 |
| Grid SCR ratio | 3.5 | Grid nominal power | 1000 MW |
| Grid X/R ratio | 10 | Grid nominal voltage | 35 kV |
| State Variable | Maximum Primary Participation Factor | State Variable | Maximum Primary Participation Factor |
|---|---|---|---|
| Igd | 0.0741 | Isq | 0 |
| Igq | 0.2433 | ws | 0 |
| x4 | 0.8440 | Vdc | 1.3008 |
| x6 | 0.0154 | x1 | 0 |
| x7 | 0.0532 | x2 | 0 |
| x5 | 3.7014 | x3 | 0 |
| Isd | 0 | x8 | 1.2589 |
| Slow Variable Set | Fast Variable Set |
|---|---|
| Igq, Igd, x4, x7, Vdc, x5, x8 | x1, x2, x3, x6, Isd, Isq, ws |
| 20% voltage drop | K1 = 1 w1 = 10 | K1 = 10 w1 = 10 | K1 = 20 w1 = 10 |
| f | 1.1374 × 10−6 | 2.5116 × 10−7 | 1.6093 × 10−7 |
| Vdc | 4.3022 × 10−6 | 1.5177 × 10−6 | 1.5177 × 10−6 |
| 50% voltage drop | K1 = 1 w1 = 10 | K1 = 1 w1 = 100 | K1 = 1 w1 = 1000 |
| f | 6.9567 × 10−7 | 5.0154 × 10−7 | 4.9622 × 10−7 |
| Vdc | 2.3004 × 10−6 | 1.7693 × 10−6 | 1.7729 × 10−6 |
| 80% voltage drop | K1 = 1 w1 = 10 | K1 = 1 w1 = 100 | K1 = 10 w1 = 10 |
| f | 1.0528 × 10−6 | 7.5773 × 10−7 | 4.3244 × 10−7 |
| Vdc | 3.4888 × 10−6 | 2.6828 × 10−6 | 8.0925 × 10−7 |
Disclaimer/Publisher’s Note: The statements, opinions and data contained in all publications are solely those of the individual author(s) and contributor(s) and not of MDPI and/or the editor(s). MDPI and/or the editor(s) disclaim responsibility for any injury to people or property resulting from any ideas, methods, instructions or products referred to in the content. |
© 2025 by the authors. Licensee MDPI, Basel, Switzerland. This article is an open access article distributed under the terms and conditions of the Creative Commons Attribution (CC BY) license.
Share and Cite
Wang, B.; Yao, S.; Li, L.; Wang, T.; Kou, Y.; Gan, Y.; Zhang, Q.; Wang, X. Dimension Reduction Method Preserving Transient Characteristics for WTGS with Virtual Inertial Control Based on Trajectory Eigenvalue. Electronics 2026, 15, 157. https://doi.org/10.3390/electronics15010157
Wang B, Yao S, Li L, Wang T, Kou Y, Gan Y, Zhang Q, Wang X. Dimension Reduction Method Preserving Transient Characteristics for WTGS with Virtual Inertial Control Based on Trajectory Eigenvalue. Electronics. 2026; 15(1):157. https://doi.org/10.3390/electronics15010157
Chicago/Turabian StyleWang, Biyang, Shuguo Yao, Li Li, Tong Wang, Yu Kou, Yuxin Gan, Qinglei Zhang, and Xiaotong Wang. 2026. "Dimension Reduction Method Preserving Transient Characteristics for WTGS with Virtual Inertial Control Based on Trajectory Eigenvalue" Electronics 15, no. 1: 157. https://doi.org/10.3390/electronics15010157
APA StyleWang, B., Yao, S., Li, L., Wang, T., Kou, Y., Gan, Y., Zhang, Q., & Wang, X. (2026). Dimension Reduction Method Preserving Transient Characteristics for WTGS with Virtual Inertial Control Based on Trajectory Eigenvalue. Electronics, 15(1), 157. https://doi.org/10.3390/electronics15010157
