Abstract
This paper proposes a two-dimensional (2D) generalized equivalent magnetic network (GEMN) model suitable for surface-mounted permanent magnet electric machines (SPEMs). The model divides the SPEM into eight types of regions: stator yoke, stator tooth body, stator tooth tips, stator slot body, stator slot openings, air gap, rotor permanent magnets, and rotor yoke. Each region is subdivided radially and tangentially into multiple 2D magnetic network units containing radial and tangential magnetic circuit parameters, forming a regular magnetic network covering all regions of the SPEM. The topology of this magnetic network remains unchanged during rotor rotation and can accommodate various surface-mounted permanent magnet structures including Halbach arrays, which enhances the generality of the model significantly. The proposed model can be used to calculate the 2D magnetic flux density distribution, winding electromotive force, electromagnetic torque, stator iron loss, and permanent magnet demagnetization in the influence of magnetic saturation, stator slotting, and current harmonic. Comparative analysis with the accurate subdomain method (ASDM) and finite element method (FEM) demonstrates that the GEMN model achieves a good balance between computational speed and accuracy, making it particularly suitable for efficient electromagnetic performance evaluation of SPEMs.
1. Introduction
In recent years, with the increasing demand for environmental protection and economic benefits, the transportation industry has been rapidly developing towards electrification. The electrification of power systems has been realized in the fields of electric vehicles, electric ships, and light electric aircrafts [1,2,3,4]. Surface-mounted permanent-magnet electric machines (SPEMs) possess performance advantages such as high speed, high efficiency, and high-power density, and have broad application prospects in the electrification of power systems [5,6,7,8].
Electromagnetic performance analysis is the foundation for the design and optimization of SPEMs, and has always been one of the research focuses of SPEMs. The methods of electromagnetic performance analysis for SPEMs mainly include the finite element method (FEM), subdomain method (SDM), equivalent magnetic network method (EMNM), and hybrid method (HBM).
1.1. Finite Element Method
The FEM discretizes electric machines into a large number of sub-units, and calculates the numerical solution of magnetic field distribution based on Maxwell’s equations and boundary conditions. The FEM can be used for 2D or 3D magnetic field analysis considering the influence of magnetic saturation, cogging, and harmonic currents. The calculation results of the FEM are sufficiently accurate while the computation resource requirements are high and the computation time is long. With the significant improvement in computation power and the rapid development of commercial finite element software, the FEM has been widely applied in the field of electromagnetic performance analysis for different kinds of electric machines [9,10,11,12].
1.2. Subdomain Method
The SDM divides SPEMs into several subdomains, establishes the vector magnetic potential equation for each subdomain, and then calculates the 2D magnetic field distribution based on the boundary conditions between adjacent subdomains. SDM has a relatively fast computation speed and can consider factors such as cogging and harmonic currents. However, SDM cannot account for magnetic saturation and is not suitable for the analysis of SPEM with high magnetic saturation. In [13,14,15,16], the authors proposed a subdomain method for SPEMs including a permanent-magnet subdomain and air gap subdomain, which can consider the cogging effect through conformal transformation. Based on the above research, in [17,18,19], the authors proposed an accurate subdomain method (ASDM) which adds slot subdomain and slot-opening subdomain, improving the accuracy of the magnetic field calculation influenced by the slot effect. In [20,21], the diffusion equation is introduced to consider the influence of eddy currents in permanent magnet on the magnetic field distribution, further improving the calculation accuracy of the SDM. Overall, with the development of the SDM, more factors that affect the magnetic field distribution can be considered, but the models become more complex.
1.3. Equivalent Magnetic Network Method
The EMNM divides SPEM into a magnetic network composed of equivalent magnetic potential and magnetic permeance. By applying Kirchhoff’s laws to solve node magnetic potentials and branch fluxes through iterative calculations that account for core material nonlinearity, EMNM achieves magnetic field distributions with iron saturation effects.
Developed from the traditional magnetic circuit method (MCM), which can be considered as a simplified 1D magnetic network, the EMNM has evolved significantly. In [22], a generalized magnetic circuit model for SPEMs is proposed, introducing the PM effective coefficient related to the relative position between stator and rotor, to address magnetic circuit parameter variations caused by rotor rotation and stator slotting effects. In [23], the researchers extend the above approach to the electromagnetic performance analysis of conical SPEMs, incorporating end effects via a lumped-parameter magnetic circuit model.
With the increasing demand for the accuracy of magnetic field analysis in permanent magnet (PM) electric machines, research on an improved EMNM based on 2D magnetic network elements has developed rapidly. In [23,24,25,26,27], focusing on different types of PM electric machines, hybrid methods combining the EMNM with the MCM are proposed. Specifically, the EMNMs are established in regions with complex magnetic field distributions, e.g., stator tooth tip, slot opening, and air gap, while MCMs are applied to regions with simpler flux paths, e.g., stator tooth body, stator yoke, and rotor yoke, in order to balances model complexity and computational accuracy. Regarding the dynamic change in magnetic network with the variations in the relative position between stator and rotor, different solutions have been adopted. In [23,24], the researchers update the network mapping relationships in adjacent regions between stator and rotor at each time step to achieve dynamic connectivity, while the researchers in [26,27] adjust the boundary permeances between air gap and rotor at any given moment. Further advancements include applying the improved EMNM to short-circuit fault analysis of an external-rotor SPEM in [28], expanding the EMNM framework by incorporating parallel magnetization models for SPEMs (previously dominated by radial magnetization) in [29], and avoiding dynamic stator–rotor network connections by loading equivalent magnetic flux sources derived from analytical calculations into air gaps in [30].
Overall, the EMNM possesses flexible modeling capabilities suitable for 2D or 3D electromagnetic performance analysis of various types of PM electric machines, effectively balancing computational accuracy and speed. However, it generally requires dynamic updates to the magnetic network connection topology or magnetic permeance parameters between stator and rotor based on their relative positions. Additionally, current implementations show insufficient research on PM structures with complex magnetization characteristics like Halbach arrays, and lack sufficient emphasis on accurate analysis of stator slot leakage flux, which is a critical parameter for evaluating AC copper losses in stator windings [31,32].
1.4. Hybrid Method
In recent years, HBM has received significant attention from many researchers. HBM combines various methods of electromagnetic performance analysis to fully utilize the advantages of different methods and enhance analysis efficiency. In [33,34,35], the authors proposed a hybrid method which introduces the equivalent magnetic network model of the stator core to consider stator magnetic saturation based on SDM. Compared to SDM, the above method demonstrates higher computational accuracy in the electromagnetic performance analysis for high-saturation SPEMs. In [36], a hybrid method for the electromagnetic performance analysis of SPEM is proposed, which can calculate the magnetic potential of permanent-magnets and stator windings based on the improved winding function, and consider the slot effect based on conformal transformation, also demonstrating good calculation accuracy.
1.5. The Method Proposed in This Article
To address the dynamic variation of magnetic network topology between the stator and rotor in SPEMs and enhance adaptability to various structural surface-mounted PM poles, this paper proposes a two-dimensional (2D) generalized equivalent magnetic network (GEMN) model characterized by the following features:
- The GEMN divides the SPEM into eight regions: stator yoke, stator tooth body, stator tooth tip, stator slot body, stator slot opening, air gap, rotor permanent magnets, and rotor yoke, each of which is composed of standardized 2D magnetic network units incorporating radial/tangential magnetic potential and permeance, with units arranged in regular patterns across different regions.
- During rotor rotation, the GEMN topology remains unchanged, with rotational effects manifested solely through updated magnetic potential parameters in PM regions, obtained via circumferential discretization of PM structures and Fourier analysis of residual magnetization intensity, ensuring applicability to diverse surface-mounted pole configurations.
- The number of magnetic network units can be flexibly controlled by adjusting radial/tangential segmentation counts in each region, enabling convenient scale regulation of the network.
- The GEMN enables calculations of electromagnetic performance for SPEMs, including 2D magnetic flux density distribution within the leakage flux of stator slot, winding electromotive force, electromagnetic torque, stator core losses, and permanent magnet demagnetization, considering factors like magnetic saturation, stator slotting, and current harmonic.
This paper elaborates on the modeling process and analytical methodology of the 2D GEMN model for SPEMs. The Section 2 details the modeling procedure and specific workflow of the 2D GEMN model. The Section 3 conducts comparative analyses of key electromagnetic performance metrics for an SPEM prototype using three approaches: ASDM, GMEN, and FEM. These comparisons validate the rationality and accuracy of the GMEN model while demonstrating its principal characteristics. The Section 4 summarizes the comprehensive findings of this paper.
2. 2D Generalized Equivalent Magnetic Network Model
The 2D model of the SPEM is shown in Figure 1, which divides the SPEM into eight regions: Region I for stator yoke, Region II for stator tooth body, Region III for stator tooth tip, Region IV for stator slot body, Region V for stator slot opening, Region VI for air gap, Region VII for permanent magnet, and Region VIII for rotor yoke. In Figure 1, Rsy is the outer radius of stator yoke, Rsb is the bottom radius of stator slot body, Rst is the top radius of stator slot body, Rg is the outer radius of air gap, Rm is the outer radius of permanent magnet, Rry is the outer radius of rotor yoke, and Rsh is the outer radius of the shaft.
Figure 1.
The 2D model of SPEM.
The analytical assumptions of the above model include the following:
- The model of the SPEM is 2D, without considering the axial end effect;
- The currents of windings are uniformly distributed in the region of stator slot body;
- Considering the periodicity, a unit part of SPEM is used as the analysis object to reduce computation cost.
2.1. Standard Model of Units in 2D GEMN
In the 2D GEMN model of SPEM, the standard model of the 2D magnetic network unit is illustrated in Figure 2. The standard model incorporates radial and tangential magnetic potential and permeance parameters, among which, Fr1 and Fr2 represent the radial magnetic potential of the upper and lower halves of the unit, respectively, Gr1 and Gr2 represent the radial magnetic permeance of the upper and lower halves of the unit, respectively, Ft1 and Ft2 represent the tangential magnetic potential of the left and right halves of the unit, respectively, and Gt1 and Gt2 represent the tangential magnetic permeance of the left and right halves of the unit, respectively. The calculation methods for these parameters will be discussed in subsequent chapters.
Figure 2.
Standard model of the unit in the 2D GEMN.
2.2. 2D GEMN Model of an SPEM
The 2D GEMN model of an SPEM is shown in Figure 3. The model uniformly divides each region into segments along the radial and tangential directions, among which Nr1, Nr2, Nr3, Nr4, Nr5, and Nr6 represent the number of radial segments for stator yoke, stator tooth body (or stator slot body), stator tooth tip (or stator slot opening), air gap, permanent magnet, and rotor yoke, respectively, while Nt1, Nt2, and Nt3 represent the tangential segments for stator slot opening, the protruding part of stator tooth tip, and the middle part of stator tooth tip, respectively. In Figure 3, the magnetic network regions with different topologies are represented by different symbols: Sy1~Sy3 represent the three types of magnetic network regions in stator yoke, Stb represents the magnetic network region of stator tooth body, Stt1 and Stt2 represent the two types of magnetic network regions in stator tooth tip, Ssb1 and Ssb2 represent the two types of magnetic network regions in stator slot body, Sso represents the magnetic network region of stator slot opening, G1~G3 represent the three types of magnetic network regions in air gap, P1~P3 represent the three types of magnetic network regions in permanent magnets, and Ry1~Ry3 represent the three types of magnetic network regions in rotor yoke. It should be noted that in order to provide a more intuitive explanation of the segmented approach of the GEMN model, the model of the SPEM in the Cylindrical coordinate system in Figure 1 is transformed to the one in the Cartesian coordinate system in Figure 3, and the 2D GEMN model proposed in this article is still set up in the Cylindrical coordinate system.
Figure 3.
Two-dimensional GEMN model of an SPEM: (a) the region division of magnetic network; (b) the specific topological structure of the magnetic network.
For a unit part of the SPEM, the expressions for the number of total radial segments Nrz and the number of total tangential segments Ntz are as follows:
where Z1 is the number of stator slots, k is the number of unit parts in one SPEM.
In the 2D GEMN model, all magnetic network units adopt identical 2D topological structures, and the magnetic network units in different regions are arranged in a regular pattern, which facilitates the simplification of magnetic network computational procedures.
2.3. Calculation of Magnetic Network Parameters
2.3.1. Calculation of Magnetic Permeance
The magnetic permeance parameters are determined by the shape, size, and magnetic permeability of the 2D magnetic network units in the GEMN. The units mainly include three kinds of shapes: sector, trapezoid, and rectangle, as shown in Figure 4.
Figure 4.
The shapes and size parameters of units in the GEMN: (a) sector; (b) trapezoid; (c) rectangle.
The expressions for magnetic permeance parameters of units with different shapes are as follows [29]:
- Sector
- Trapezoid
- Rectangle
2.3.2. Calculation of Magnetic Potential of Permanent Magnets
SPEMs exhibit diverse magnetization methods and shapes of PMs. In terms of magnetization methods, they primarily include relatively simple parallel magnetization and radial magnetization, along with more complex Halbach multi-directional magnetization. Regarding shapes, conventional tile-shaped configurations and truncated quasi-breadloaf configurations after pole cutting are commonly adopted. As shown in Figure 1, regardless of magnetization methods and shapes of PMs, the annular region containing permanent magnets exclusively comprises magnets and air, where their magnetic permeabilities are nearly identical. This characteristic establishes a foundation for conducting the universal analysis of magnetic potential in surface-mounted PMs through discretization and Fourier series.
To facilitate a more intuitive presentation of the calculation approach for the magnetic potential of PMs, the PM region in the range of a pair of poles in the Cylindrical coordinate system is expanded and then transformed to the one in the Cartesian coordinate system, as shown in Figure 5. Based on discretization concepts, the PM region in the range of a pair of poles is equally divided into Npm segments along the tangential direction, where j is the numbering of PM segments (j = 1, 2, 3, …, Npm), αpj is the ratio between the tangential spatial angular range of the j-th PM segment and the tangential spatial angular range of the entire PM region under a pair of poles, θr is the tangential mechanical angular coordinate in the rotor coordinate system, while hm represents the radial thickness of the PM region. Obviously, we have
Figure 5.
The model of the PM region in the range of a pair of poles.
After discretizing the PM region, each PM segment can be considered as parallel magnetized, with the magnetization angles uniformly referenced to the positive direction of the radial central axis of each segment, with counterclockwise being positive, as shown in Figure 6. Here, θpmj is the magnetization direction of the j-th PM segment, θj is the tangential mechanical angular coordinate of any point within the j-th PM segment relative to its radial central axis, αpmj is the angle between the magnetization direction and the radial direction of any point in the j-th PM segment. Obviously, we have
where θj0 is the tangential mechanical angular coordinate of the central axis in the j-th permanent magnet segment and p is the number of pole pairs in the SPEM.
Figure 6.
Magnetization direction of the j-th permanent magnet segment.
The spatial distribution expressions of the residual magnetization of the PM region in the range of a pair of poles are as follows:
where Mr, Mt are the radial and tangential spatial distribution of the residual magnetization of the PM region respectively, Mrj is the residual magnetization of the j-th PM segment, hmj is the radial thickness of the j-th PM segment.
Based on Equation (7), we can derive the expressions in the Fourier series of Mr and Mt in the rotor rotating coordinate system as follows:
in which
Defining the tangential mechanical angular coordinate in the stator stationary coordinate system as θs, we have
where ω1 is the fundamental electrical angular frequency and θsr0 is the initial tangential mechanical angle difference between the stator stationary coordinate system and the rotor rotating coordinate system.
By substituting expression (10) into expression (8), we can obtain the expressions in the Fourier series of Mr and Mt in the stator stationary coordinate system as follows:
in which
In the 2D GEMN model of the SPEM shown in Figure 3, the magnetic network units in the PM region are sectorial, as illustrated in Figure 4a. The residual magnetization intensity of one unit can be characterized by the residual magnetization intensity at the geometric center of the sector. Taking a certain sectorial unit U in the PM region as an example, the expressions for the radial magnetic potential and tangential magnetic potential parameters of unit U are as follows:
where θspmu is the tangential mechanical angular coordinate of the geometric center of the sectorial unit U in the stator stationary coordinate system which can be determined based on the size parameters and the tangential segmentation settings of the permanent magnet region, Rpmu is the radius of the geometric center of the sectorial unit U, and αpmu is the central angle of the sectorial unit U.
This section obtains spatiotemporal expressions of magnetic potential parameters for magnetic network units in the PM region in the stator coordinate system through discretization and Fourier series. When the rotor rotates, dynamic updates of magnetic network connection topology between stator and rotor are no longer required—only the magnetic potential parameters of the PM region network units need refreshing. The above method considers parameters including residual magnetization intensity, magnetization orientation, and geometric dimensions of each tangential PM segment in the PM region. This approach possesses universal applicability to various magnetization patterns, including radial magnetization, parallel magnetization, Halbach multi-directional magnetization, and to various shapes of PM poles, including tile-shaped and breadloaf-shaped configurations.
2.3.3. Calculation of Magnetic Potential Parameters of Stator Windings
The expressions for the magnetic potential generated by the currents of the windings in the h-th slot are as follows:
- Single-layer winding
- Double-layer winding
According to Ampere’s circuital theorem, the magnetic potential drop of each stator tooth in a unit part of one SPEM satisfies the following relationship:
where Fth is the magnetic potential drop of the h-th tooth, Zk is the number of stator teeth in a unit part of one SPEM, and Zk = Z1/k.
Since the sum of the winding currents in the stator slots in a unit part of SPEM is 0, the following relationship exists:
Based on Equations (16) and (17), we can obtain the magnetic potential drop of each stator tooth of a unit part in SPEM as follows [26]:
In the 2D GEMN model shown in Figure 3, the magnetic potential of the stator tooth is applied to the radial branches in the stator tooth body region Stb. The expression of the radial magnetic potential parameter for the magnetic network units in the stator tooth body region Stb is
2.4. Iterative Computation of the 2D GEMN Model
Magnetic networks share similarities with electrical circuit networks, and this article employs the node magnetic potential method to solve an equivalent magnetic network.
In the 2D GEMN model shown in Figure 3, only magnetic potential and magnetic permeance parameters are contained, and its node magnetic potential equation is [37]
where Nnd is the number of nodes in the GEMN, Nbr is the number of branches in the GEMN, is derived from the incidence matrix of the GEMN by reducing order, is the matrix of magnetic permeance, is the matrix of node magnetic potentials, and is the matrix of branch magnetic potential sources.
Based on Equation (20), the matrix of node magnetic potential can be expressed as
According to the topology of the GEMN, we can obtain the matrix of branch magnetic potential sources as follows:
Based on Equation (22), we can obtain the matrix of the branch magnetic flux as follows:
The radial and tangential magnetic flux of each unit in the GEMN can be calculated by the above method, and the radial and tangential magnetic flux density can be further obtained by combining the size parameters of the GEMN units.
The aforementioned method can calculate two radial branch magnetic fluxes and two tangential branch magnetic fluxes for each magnetic network unit. The magnetic flux characteristics of each magnetic network unit are characterized by the average values of its radial branch magnetic flux and tangential magnetic flux. Furthermore, combined with the dimensional parameters of the magnetic network units, both radial and tangential magnetic flux densities can be obtained for each unit.
Stator yoke, stator tooth, and rotor yoke all utilize nonlinear ferromagnetic materials, and therefore, iteration of the permeability of ferromagnetic materials must be introduced in the process of solving the 2D GEMN model. Let Br1q and Bt1q represent the radial and tangential magnetic flux density of any magnetic network unit in the nonlinear ferromagnetic region obtained from the q-th iteration calculation of the 2D GEMN model, and the total magnetic flux density of the magnetic network unit is
Based on the nonlinear B-H curve of ferromagnetic materials, we can calculate the permeability corresponding to Br1z by interpolate:
If , we update the permeability according to the following formula and then proceed to the (q + 1)-th iteration calculation:
where ε is the allowable error limit, and kp is the iteration coefficient, satisfying kp ∈ (0, 1).
If , it indicates that the calculation results of the 2D GEMN model meet the requirements, and the calculation is complete.
The modeling and computational process of the 2D GEMN model proposed in this paper primarily includes the following stages: establishment of the GEMN topology, calculation of magnetic potential and magnetic permeance parameters in the GEMN, solution of the GEMN, iteration of nonlinear ferromagnetic material permeability, and post-processing of magnetic field data. The specific workflow is illustrated in Figure 7.
Figure 7.
The specific workflow of the 2D GEMN model.
3. Results and Discussion
The ASDM and FEM are mature analytical methods for evaluating the electromagnetic performance of SPEMs. For SPEMs with large equivalent electromagnetic air gaps, the ASDM demonstrates satisfactory analytical accuracy, while the FEM’s superior precision has become an industry consensus. To verify the rationality and accuracy of the 2D GEMN model, this section conducts comparative analyses of electromagnetic performance at no-load and load conditions for an SPEM prototype (hereafter referred to as “prototype M”) using three approaches: the 2D GEMN model, the ASDM, and the FEM. The finite element model of prototype M is shown in Figure 8, with key parameters listed in Table 1. Prototype M employs double-layer full-pitch windings and Halbach-array surface-mounted poles, and the geometric configuration and magnetization angles of Halbach poles are illustrated in Figure 9. The phase currents of stator windings at load condition are specified in Table 2.
Figure 8.
The finite element model and mesh generation of prototype M (a unit part).
Table 1.
The main parameters of prototype M.
Figure 9.
Schematic diagram of Halbach-array surface-mounted poles.
Table 2.
The phase currents of windings at load condition.
The nonlinear ferromagnetic material used for the stator core of prototype M is USW35085, and its BH curve and iron loss curve are shown in Figure 10. The nonlinear ferromagnetic material used for the rotor core of prototype M is 25Cr2Ni4Mov, and its BH curve is shown in Figure 11. The PM material used in prototype M is SmCo30H, and its magnetic properties are shown in Figure 12, in which the red dots are the knee points of demagnetization curves at different temperatures.
Figure 10.
The electromagnetic property of USW35085: (a) BH curve; (b) iron loss curve.
Figure 11.
The BH curve of 25Cr2Ni4Mov.
Figure 12.
The demagnetization curves of SmCo30H.
The calculation configuration of the 2D GEMN model for electromagnetic performance analysis of prototype M is detailed in Table 3, while the geometric configurations of magnetic network units in different regions are specified in Table 4.
Table 3.
The calculation configuration of the 2D GEMN model.
Table 4.
The geometric configurations of magnetic network units in different regions.
The ASDM is referenced from the literature [17,18,19], and its detailed theoretical framework is not elaborated here. The primary computational parameter configurations for the ASDM are listed in Table 5, where Nsd1, Nsd2, and Nsd3 represent the maximum spatial harmonic order for the PM and air gap subdomain, stator slot body subdomain, and stator slot opening subdomain, respectively.
Table 5.
The calculation configuration of the ASDM.
3.1. The Distribution of Magnetic Field
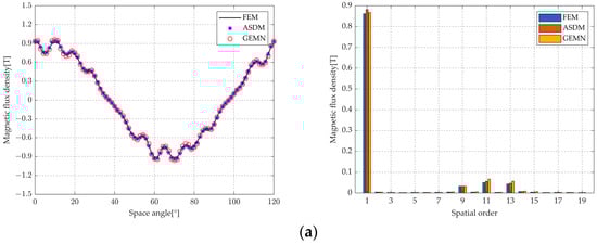
The spatial distributions of magnetic flux density in the air gap and PM region of prototype M at no-load and load conditions are calculated using the GEMN, ASDM, and FEM, as shown in Figure 13 and Figure 14. Using the FEM results as the benchmark, the computational errors of the spatial fundamental harmonic for GEMN and ASDM are summarized in Table 6. The results demonstrate excellent agreement in both magnetic flux density waveforms and primary spatial harmonics across all three methods. The amplitude of fundamental spatial harmonic calculated by the GEMN and ASDM is slightly higher than that obtained from the FEM, which stems from the GEMN’s relatively sparse mesh discretization due to computational efficiency constraint and ASDM’s inability to account for a nonlinear core saturation effect.

Figure 13.
The spatial distribution of magnetic flux density in the air gap region at r = (Rm + Rg)/2: (a) radial component at no-load condition; (b) radial component at load condition; (c) tangential component at no-load condition; (d) tangential component at load condition.

Figure 14.
The spatial distribution of magnetic flux density in the permanent magnet region at r = (Rry + Rm)/2: (a) radial component at no-load condition; (b) radial component at load condition; (c) tangential component at no-load condition; (d) tangential component at load condition.
Table 6.
The amplitude of the spatial fundamental harmonic magnetic flux density in the air gap and PM regions and the associated computational errors.
The ASDM, which does not consider core saturation as a prerequisite for analysis, lacks direct computational capability for magnetic flux density distribution in stator tooth, slot, and yoke regions. Therefore, the GEMN and FEM are employed to analyze the time-varying magnetic flux density at sampling points: Point A in the stator teeth, Point B in the stator slot, and Point C in the stator yoke, as shown in Figure 15, Figure 16 and Figure 17. Using FEM results as the benchmark, the calculation errors of the time fundamental harmonic magnetic flux density for GEMN are summarized in Table 7. The results demonstrate that for primary magnetic flux density components in stator regions—including radial flux density in stator teeth, tangential flux density in stator slots, and tangential flux density in the stator yoke—the GEMN and FEM exhibit strong consistency in waveforms and primary time harmonic. However, larger deviations occur in non-primary components such as tangential flux density in stator teeth, radial flux density in stator slots, and radial flux density in the stator yoke. These non-primary components generally exhibit low amplitudes, rendering their computational errors negligible for electromagnetic performance analysis of SPEMs. The primary error sources include the following: (1) relatively sparse mesh discretization in the GEMN model causing inaccuracies in tangential flux density calculations for stator teeth and radial flux density in the yoke; (2) discrepancies in slot field modeling due to the GEMN model’s equivalent loading of stator winding magnetomotive force on stator teeth versus the actual placement of stator windings within the stator slots.
Figure 15.
The variations in magnetic flux density with time at point A in stator tooth region: (a) radial component at no-load condition; (b) radial component at load condition; (c) tangential component at no-load condition; (d) tangential component at load condition.
Figure 16.
The variations in magnetic flux density with time at point B in stator slot region: (a) radial component at no-load condition; (b) radial component at load condition; (c) tangential component at no-load condition; (d) tangential component at load condition.
Figure 17.
The variations in magnetic flux density with time at point C in the stator yoke region: (a) radial component at no-load condition; (b) radial component at load condition; (c) tangential component at no-load condition; (d) tangential component at load condition.
Table 7.
The amplitude of the time fundamental harmonic magnetic flux density in the stator tooth, slot, and yoke regions and the associated computational errors.
The comparative analysis of magnetic flux density calculations using the GEMN, ASDM, and FEM demonstrates that the 2D GEMN model can accurately calculate the spatiotemporal magnetic field distribution in SPEMs, including stator slot leakage flux effect, which lays the foundation for conducting comprehensive electromagnetic performance analysis of SPEMs based on the 2D GEMN model.
3.2. Flux Linkage and Back-EMF of Stator Windings
In the 2D GEMN model, using the A1-phase winding as an example, the formula for calculating the winding flux linkage is expressed as follows:
where Φth is the radial magnetic flux at the base of the h-th stator tooth within the distribution range of a single branch of the A1-phase winding, Ψsh is the radial magnetic flux at the base of the h-th stator slot within the same branch distribution range, Ψsl is the tangential leakage flux in the slot containing the A1-phase winding coil, and Nw is the number of stator teeth within the distribution range of one branch of A1-phase winding.
Based on Equation (27), the back electromotive force (back-EMF) of one phase winding can be further calculated by the following equation:
The calculation results of winding flux linkage and back-EMF using the GEMN, ASDM, and FEM are shown in Figure 18 and Figure 19. With FEM results as the benchmark, the computational errors of fundamental magnetic flux and fundamental back-EMF for the GEMN and ASDM are summarized in Table 8. The results demonstrate that, whether in winding flux linkage, back electromotive force waveforms, or fundamental component amplitudes, the GEMN exhibits strong consistency with the ASDM and FEM. Notably, the computational accuracy of the GEMN surpasses that of ASDM, a benefit derived from GEMN model’s ability to account for core saturation and stator slot leakage flux.
Figure 18.
The flux linkage of phase A1: (a) no-load condition; (b) load condition.
Figure 19.
The back-EMF of phase A1: (a) no-load condition; (b) load condition.
Table 8.
The amplitude of the fundamental component for magnetic flux, back-EMF, and the associated computational errors.
3.3. Electromagnetic Torque
In Section 3.1, the spatiotemporal distribution of magnetic flux density in the air gap region has been obtained by the 2D GEMN model, and electromagnetic torque can be further calculated by Maxwell tensor method as follows:
where rg is the radius of one point in the air gap region.
The electromagnetic torque calculation results of the GEMN, ASDM, and FEM are shown in Figure 20, with the computational errors of the main torque components illustrated in Table 9. The results demonstrate that, whether at no-load or load conditions, GEMN achieves superior computational accuracy compared to ASDM, thereby effectively supporting the evaluation of electromagnetic torque performance in SPEMs. In contrast, ASDM exhibits relatively larger errors in no-load torque calculations, primarily due to its inherent limitation in accounting for stator core saturation effects.
Figure 20.
The electromagnetic torques: (a) no-load condition; (b) load condition.
Table 9.
The amplitude of the main torque components and the associated computational errors.
3.4. Stator Core Loss
As derived in Section 3.1, the spatiotemporal magnetic flux density distribution in the stator core region can be obtained through the 2D GEMN model, and the time-harmonic magnetic flux density components of each magnetic network unit in the stator core region can be further decomposed via Fourier analysis.
This section employs an improved Bertotti model considering time-harmonic magnetic flux density and rotational magnetization effect for the calculation of stator iron loss, with the improved Bertotti model expressed as follows [38,39]:
where △Pk is the iron loss density of the k-th magnetic network unit in the stator core region, Kh is the hysteresis loss coefficient, Kc is the eddy current loss coefficient, Ke is the additional loss coefficient, fu is the frequency of the u-th time harmonic magnetic density, and Bkur, Bkut are the radial and tangential components of the u-th time harmonic magnetic flux density of the k-th magnetic network unit, respectively.
Stator iron loss can be calculated based on the following formula:
where ρfe is the material density of stator core, Sk is the radial cross-sectional area of the k-th magnetic network unit in the stator core region, and kfe1 is the stacking factor of the stator core, Ncore is the total number of magnetic network units in the stator core region.
The calculation results of stator core loss at no-load and load conditions using the GEMN and FEM are shown in Figure 21. With FEM results as the benchmark, the computational errors of the stator core loss for the GEMN are summarized in Table 10. In addition, the no-load stator core losses at different rotational speeds are calculated by means of the GEMN and FEM, as shown in Figure 22. The above results indicate that the calculations from both methods are fundamentally consistent, demonstrating that the 2D GEMN model possesses the analysis capabilities of stator core loss for SPEMs comparable to FEM.
Figure 21.
The stator iron loss at different conditions.
Table 10.
The calculation results of stator core loss and the associated computational errors.
Figure 22.
The stator iron loss of no-load condition in different speed.
3.5. Demagnetization of Permanent Magnets
The analysis of permanent magnet demagnetization is enabled by obtaining the spatiotemporal magnetic flux density distribution in the PM region through the 2D GEMN model, as derived in Section 3.1. The demagnetization criterion is defined as follows: when the magnetic flux density along the magnetization direction in any magnetic network unit of the PM region falls below the knee point of the demagnetization curve, that specific magnetic network unit undergoes irreversible demagnetization.
In this article, the demagnetization coefficient is introduced to characterize the demagnetization degree of permanent magnets. The definition of demagnetization coefficient is as follows:
where Ndm is the total number of demagnetized magnetic network units in the permanent magnet region, and Bdmw is the magnetic flux density along the magnetization direction in the w-th demagnetized magnetic network unit, Bk is the magnetic flux density at the knee point of the demagnetization curve in the operating temperature, Sw is the cross-sectional area of the w-th demagnetized magnetic network unit, and SPM is the total cross-sectional area of the permanent magnet region.
In order to reflect the analysis ability of the 2D GEMN model for permanent magnet demagnetization of SPEMs, we only consider demagnetization current at the d-axis, and define the demagnetization current coefficient according to the following formula:
where Idm is the amplitude of demagnetization phase current, and I1 is the amplitude of phase current at rated operating condition.
Based on the 2D GEMN model, the demagnetization in permanent magnet region at different Fdm was analyzed, as shown in Figure 23. We can obtain that when Fdm > 2.75, the demagnetization occurs, and as the demagnetization current coefficient increases, the demagnetization coefficient and the number of demagnetized magnetic network units increases.
Figure 23.
Demagnetization analysis of permanent magnets at different Fdm.
3.6. Application Characteristic
The main configuration of the computer used in the research of this article is shown in Table 11.
Table 11.
The main configuration of the computer used in this article.
A comparative analysis of the GEMN, ASDM and FEM at load condition for prototype M is summarized in Table 12, which reveals the following:
- Compared to the FEM, the GEMN requires fewer sub-elements and computational resources while maintaining advantages in calculation time.
- Compared to the ASDM, the GEMN requires comparable computational resources but longer calculation time, yet achieves higher accuracy. Its elimination of complex analytical formula derivations makes it more intuitive in physical interpretation, and its regular arrangement of magnetic network units facilitates programming implementation. Consequently, the GEMN demonstrates advantages in both model complexity and usability over the ASDM, proving more suitable for efficient electromagnetic performance analysis of SPEMs.
In the aforementioned analysis process, the magnetic field distributions of SPEMs at different time steps were calculated using a serial computation mode. If grouped parallel computation is applied to the magnetic field distributions at multiple time steps, the computational efficiency of the GEMN would be significantly improved, which constitutes a future research direction.
Table 12.
Comparison of characteristics for different methods.
Table 12.
Comparison of characteristics for different methods.
| ASDM | GEMN | FEM | |
|---|---|---|---|
| Spatial calculation range | a unit part of prototype M | ||
| Temporal calculation range | 0~1/f1 | ||
| Sampling rate of time | 100f1 | ||
| Number of units | —— | 864 (12 × 72) | 14,962 |
| Computation time | 122 s | 162 s | 186 s |
| CPU utilization | 24% | 23% | 69% |
| Memory occupied | 3400 MB | 3100 MB | 5700 MB |
| Error of back-EMF | 3.47% | −1.05% | —— |
| Error of electromagnetic torque | 3.56% | −1.55% | —— |
4. Conclusions
This paper proposes a 2D GEMN model for SPEMs, which enables regular arrangement of magnetic network units across different regions to simplify the magnetic network topology. The topology of the GEMN remains unchanged during rotor movement by updating the magnetic potential parameters of magnetic network units in the PM region to reflect rotor rotation effects, and adapts to various surface-mounted PM pole structures, which effectively enhances the generality of the 2D GEMN model.
The 2D GEMN model can effectively analyze electromagnetic performance of SPEMs including spatiotemporal magnetic flux density distribution within the leakage flux of stator slot, winding electromotive force, electromagnetic torque, stator iron loss, and PM demagnetization in the influences of magnetic saturation, stator slotting, and current harmonic.
Comparative analyses with ASDM and FEM validate the 2D GEMN model’s rationality and effectiveness, demonstrating its balanced capability in computational accuracy and speed. This approach can provide support for efficient design, optimization, and performance evaluation of SPEMs.
Author Contributions
Conceptualization, Z.L. and J.C.; methodology, Z.L.; software, Z.L.; validation, Z.L., C.T., Y.H. and J.C.; investigation, Z.L. and C.T.; resources, J.C.; data curation, Z.L.; writing—original draft preparation, Z.L.; writing—review and editing, Z.L., C.T., Y.H. and J.C.; visualization, Z.L.; supervision, J.C.; project administration, J.C.; funding acquisition, J.C. All authors have read and agreed to the published version of the manuscript.
Funding
This research was funded by the National Natural Science Foundation of China, grant number 52425701.
Data Availability Statement
The original contributions presented in this study are included in the article. Further inquiries can be directed to the corresponding author.
Conflicts of Interest
The authors declare no conflicts of interest.
References
- Hong, J.; Liang, F.; Yang, J.; Li, K. New energy vehicle industry and technology development status. Sci. Technol. Rev. 2023, 41, 49–59. [Google Scholar] [CrossRef]
- Ma, W.; Xiao, F.; Ma, F. Research progress and application suggestions of vessel integrated power system. Trans. China Electrotech. Soc. 2021, 36, 4627–4636. [Google Scholar] [CrossRef]
- Smruti, S.; Zhao, X.; Konstantinos, K. A Review of concepts, benefits, and challenges for future electrical propulsion-based aircraft. Aerospace 2020, 7, 44. [Google Scholar] [CrossRef]
- Patrick, W.; Thusara, S.S.; Serhiy, B.; Kiruba, S.H. Electric/Hybrid-Electric aircraft propulsion systems. Proc. IEEE 2021, 109, 1115–1127. [Google Scholar] [CrossRef]
- Zhang, Z.; Yu, L.; Li, J.; Lu, J. Key Technologies of Advanced Aircraft Electrical Machine Systems for Aviation Electrification. J. Nanjing Univ. Aeronaut. Astronaut. 2017, 49, 622–634. [Google Scholar] [CrossRef]
- Dong, J.; Huang, Y.; Jin, L.; Lin, H. Review on high-speed permanent magnet machines including design and analysis technologies. Trans. China Electrotech. Soc. 2014, 34, 4640–4653. [Google Scholar] [CrossRef]
- Anderson, A.D.; Renner, N.J.; Wang, Y.; Agrawal, S.; Sirimanna, S.; Lee, D.; Banerjee, A.; Haran, K.; Starr, M.J.; Felder, J.L. Felder System weight comparison of electric machine topologies for electric aircraft propulsion. In Proceedings of the 2018 AIAA Propulsion and Energy Forum, Cincinnati, OH, USA, 9-11 July 2018. [Google Scholar] [CrossRef]
- Evgeni, G. Selecting the best electric machines for electrical power-generation systems: High-performance solutions for aerospace more electric architectures. IEEE Electrif. Mag. 2014, 2, 13–22. [Google Scholar] [CrossRef]
- Kim, K.C. A Novel Method for Minimization of Cogging Torque and Torque Ripple for Interior Permanent Magnet Synchronous Motor. IEEE Trans. Magn. 2014, 50, 7019604. [Google Scholar] [CrossRef]
- Joya, C.K.; Georgios, D.Z.; Dimitrios, A.S. Design Optimization of Axial Flux Permanent Magnet (AFPM) Synchronous Machine Using 3D FEM Analysis. J. Electromagn. Anal. Appl. 2016, 8, 247–260. [Google Scholar] [CrossRef]
- Long, D.; Wen, H.; Shao, Y.; Shuai, Z. Evolution and Comparison of Three Typical Permanent Magnet Machines for All-Electric Aircraft Propulsion. Res. Sq. 2023, 106, 2219–2231. [Google Scholar] [CrossRef]
- Li, H.; Shen, J. FEA-Based Design and Comparative Study of Axial Flux Permanent Magnet Machines with Various Topologies. Trans. China Electrotech. Soc. 2015, 30, 32–40. [Google Scholar] [CrossRef]
- Zhu, Z.; David, H.; Bolte, E.; Bernd, A. Instantaneous Magnetic Field Distribution in Brushless Permanent Magnet dc Motors, Part I: Open-circuit Field. IEEE Trans. Magn. 1993, 29, 124–135. [Google Scholar] [CrossRef]
- Zhu, Z.; David, H. Instantaneous Magnetic Field Distribution in Brushless Permanent Magnet dc Motors, Part II: Armature-Reaction Field. IEEE Trans. Magn. 1993, 29, 136–142. [Google Scholar] [CrossRef]
- Zhu, Z.; David, H. Instantaneous Magnetic Field Distribution in Brushless Permanent Magnet dc Motors, Part III: Effect of Stator Slotting. IEEE Trans. Magn. 1993, 29, 143–151. [Google Scholar] [CrossRef]
- Zhu, Z.; David, H. Instantaneous Magnetic Field Distribution in Permanent Magnet Brushless dc Motors, Part IV: Magnetic Field on Load. IEEE Trans. Magn. 1993, 29, 152–158. [Google Scholar] [CrossRef]
- Wu, L.; Zhu, Z.; Staton, D.; Popescu, M.; Hawkins, D. Analytical prediction of electromagnetic performance of surface-mounted PM machines based on subdomain model accounting for tooth-tips. IET Electr. Power Appl. 2010, 5, 597–609. [Google Scholar] [CrossRef]
- Wu, L.; Zhu, Z.; Staton, D.; Popescu, M.; Hawkins, D. Subdomain Model for Predicting Armature Reaction Field of Surface-Mounted Permanent-Magnet Machines Accounting for Tooth-Tips. IEEE Trans. Magn. 2011, 47, 812–822. [Google Scholar] [CrossRef]
- Wu, L.; Zhu, Z.; Staton, D.; Popescu, M.; Hawkins, D. An Improved Subdomain Model for Predicting Magnetic Field of Surface-Mounted Permanent Magnet Machines Accounting for Tooth-Tips. IEEE Trans. Magn. 2011, 47, 1693–1704. [Google Scholar] [CrossRef]
- Pierre-Daniel, P.; Yves, P. Slotless Permanent-Magnet Machines: General Analytical Magnetic Field Calculation. IEEE Trans. Magn. 2011, 47, 1739–1752. [Google Scholar] [CrossRef]
- Pierre-Daniel, P.; Yin, X.; Fang, Y. Slotted Permanent-Magnet Machines: General Analytical Model of Magnetic Fields, Torque, Eddy Currents and Permanent Magnet Power, Losses including the Diffusion Effect. IEEE Trans. Magn. 2016, 52, 8103013. [Google Scholar] [CrossRef]
- Hsieh, M.F.; Hsu, Y.C. A Generalized Magnetic Circuit Modeling Approach for Design of Surface Permanent-Magnet Machines. IEEE Trans. Ind. Electron. 2020, 59, 779–792. [Google Scholar] [CrossRef]
- Cui, F.; Chen, J.; Hu, P.; Wu, X.; Sun, F. An Equivalent Magnetic-Circuit-Modeling Approach for Analysis of Conical Permanent Magnet Synchronous Motor. Sensors 2025, 25, 1788. [Google Scholar] [CrossRef]
- Cao, D.; Zhao, W.; Ji, J.; Ding, L.; Zheng, J. A Generalized Equivalent Magnetic Network Modeling Method for Vehicular Dual-Permanent-Magnet Vernier Machines. IEEE Trans. Energy Convers. 2019, 34, 1950–1962. [Google Scholar] [CrossRef]
- Zheng, J.; Feng, L.; Zhang, B.; Cai, Z. A Novel Mesh-Based Equivalent Magnetic Network for Deep Saturation Region of Permanent Magnet Machine. IEEJ Trans. Electr. Electron. Eng. 2022, 17, 1694–1705. [Google Scholar] [CrossRef]
- Li, G.; Dong, Z.; Li, B.; Gao, P. An Improved Equivalent Magnetic Network Model of Modular IPM Machines. IEEE Trans. Magn. 2022, 58, 8104609. [Google Scholar] [CrossRef]
- Ge, S.; Yang, Y.; Zhang, Z.; Guo, D.; Ren, H. An improved equivalent magnetic network model of IPM motor in electric vehicles for dynamic simulation of transient effects. J. Automob. Eng. 2024, 238, 3736–3747. [Google Scholar] [CrossRef]
- Mehrage, G.; Zabihollah, T.; Jawad, F.; Mohammad Amin, B. Turn-to-turn and phase-to-phase short circuit fault detection of wind turbine permanent magnet generator based on equivalent magnetic network modelling by wavelet transform approach. IET Electr. Power Appl. 2024, 18, 1005–1020. [Google Scholar] [CrossRef]
- Zhang, Z.; Li, B.; Ma, X.; Li, G.; Gao, P. An Adaptive Connecting Equivalent Magnetic Network Considering Local Magnetic Characteristics for SPM Motors. Int. J. Circuit. Theory Appl. 2025, 0, 1–11. [Google Scholar] [CrossRef]
- Zhu, X.; Qi, G.; Cheng, M.; Qin, W.; Liu, Y.; Huang, J. Equivalent Magnetic Network Model of Electrical Machine Based on Three Elements Magnetic Flux Source, Reluctance, and Magductance. IEE Trans. Transp. Electrif. 2025, 11, 3538–3548. [Google Scholar] [CrossRef]
- Ferreira, J.A. Analytical computation of AC resistance of round and rectangular litz wire windings. IEEE Proc.-B 1992, 139, 21–25. [Google Scholar] [CrossRef]
- Tourkhani, F.; Viarouge, P. Accurate analytical model of winding losses in round Litz wire windings. IEEE Trans. Magn. 2001, 37, 538–543. [Google Scholar] [CrossRef]
- Lu, W.; Zhu, J.; Fang, Y.; Pierre-Daniel, P. A Hybrid Analytical Model for the Electromagnetic Analysis of Surface-Mounted Permanent-Magnet Machines Considering Stator Saturation. Energies 2023, 16, 1300. [Google Scholar] [CrossRef]
- Wu, L.; Li, Z.; Huang, X.; Zhong, Y.; Fang, Y.; Zhu, Z. A Hybrid Field Model for Open-Circuit Field Prediction in Surface-Mounted PM Machines Considering Saturation. IEEE Trans. Magn. 2018, 54, 8103812. [Google Scholar] [CrossRef]
- Wu, L.; Li, Z.; Wang, D.; Yin, H.; Huang, X.; Zhu, Z. On-Load Field Prediction of Surface-Mounted PM Machines Considering Nonlinearity Based on Hybrid Field Model. IEEE Trans. Magn. 2019, 55, 8100911. [Google Scholar] [CrossRef]
- Jawad, F.; Farhad, R.A. A new hybrid analytical model based on winding function theory for analysis of surface mounted permanent magnet motors. COMPEL 2019, 38, 745–758. [Google Scholar] [CrossRef]
- Qiu, G. Matrix Form of Circuit Equations. In Book Circuit, 5th ed.; Luo, X., Ed.; Higher Education Press: Beijing, China, 2006; pp. 388–409. [Google Scholar]
- Bertott, G. General Properties of Power Losses in Soft Ferromagnetic Materials. IEEE Trans. Magn. 1988, 24, 621–630. [Google Scholar] [CrossRef]
- Stumberger, B.; Hamler, A.; GoriWan, V.; Jesenik, M.; Trlep, M. Accuracy of iron loss estimation in induction motors by using different iron loss models. J. Magn. Magn. Mater. 2004, 272–276, E1723–E1725. [Google Scholar] [CrossRef]
Disclaimer/Publisher’s Note: The statements, opinions and data contained in all publications are solely those of the individual author(s) and contributor(s) and not of MDPI and/or the editor(s). MDPI and/or the editor(s) disclaim responsibility for any injury to people or property resulting from any ideas, methods, instructions or products referred to in the content. |
© 2025 by the authors. Licensee MDPI, Basel, Switzerland. This article is an open access article distributed under the terms and conditions of the Creative Commons Attribution (CC BY) license (https://creativecommons.org/licenses/by/4.0/).