You are currently viewing a new version of our website. To view the old version click .
Electronics
  • This is an early access version, the complete PDF, HTML, and XML versions will be available soon.
  • Article
  • Open Access

24 November 2025

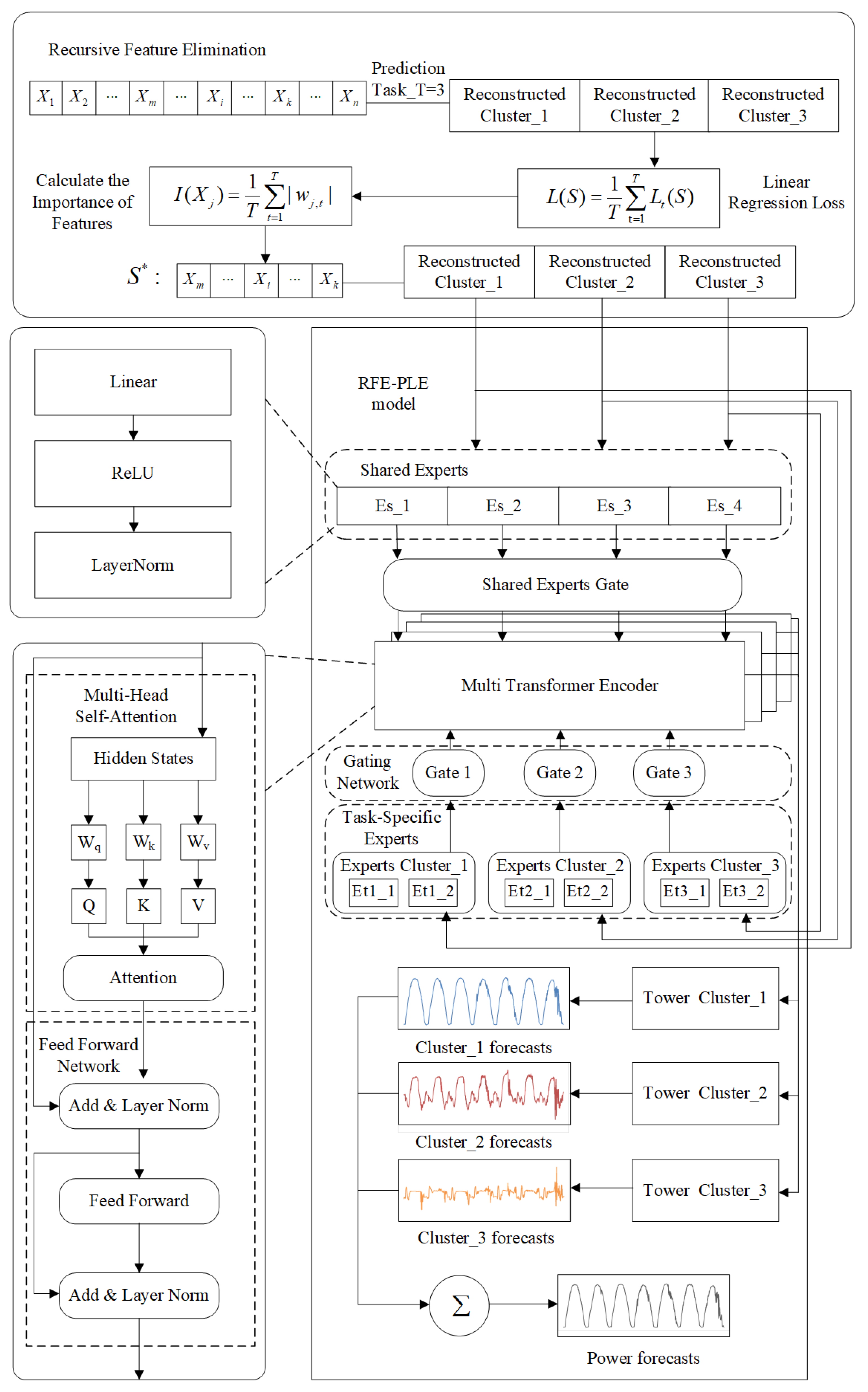
PatchTST Coupled Reconstruction RFE-PLE Multitask Forecasting Method Based on RCMSE Clustering for Photovoltaic Power

School of Electrical Engineering, Southwest Jiaotong University, Chengdu 610031, China

Abstract

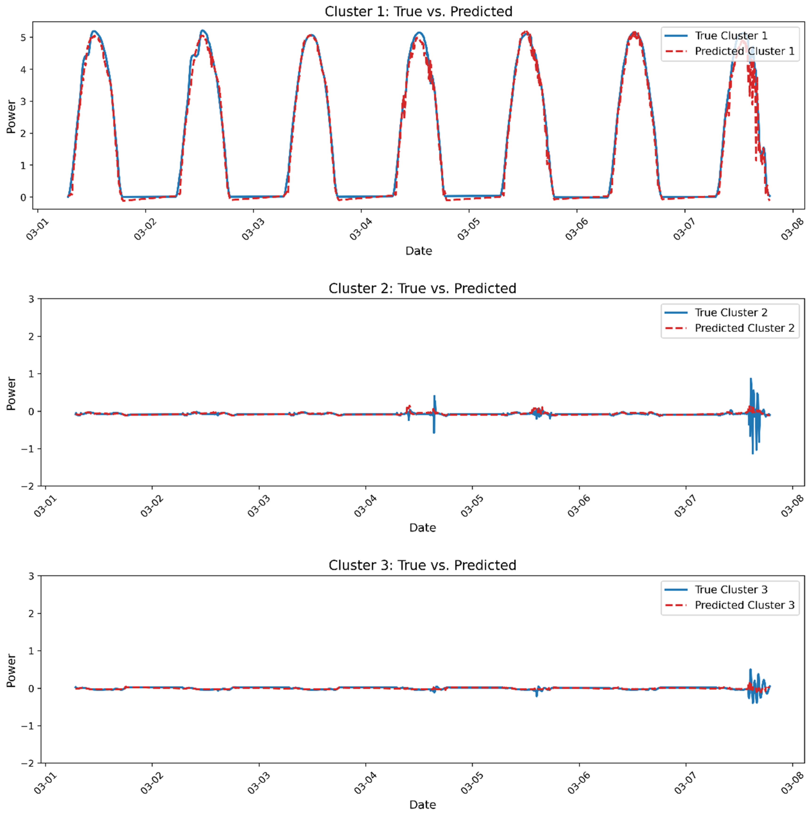
With the rapid growth of photovoltaic (PV) installed capacity, accurate prediction of PV power is crucial for the safe and flexible operation of power grids. However, PV output sequences exhibit strong non-stationarity and a superposition of high-frequency disturbances and low-frequency trends, resulting in multi-frequency aliasing. Traditional models struggle to capture both long-term dependencies and short-term details, while multi-task learning (MTL) often suffers from negative transfer, limiting prediction accuracy. This paper proposes a hybrid PV power forecasting framework integrating complementary ensemble empirical mode decomposition with adaptive noise (CEEMDAN), PatchTST reconstruction, and progressive layered extraction (PLE) MTL. First, conventional models tend to prioritize learning low-frequency features while ignoring weak high-frequency signals under multi-frequency aliasing, which cannot meet the requirement for precise frequency-sensitive PV power prediction. To address this problem, CEEMDAN is employed to decompose the PV sequence into intrinsic mode functions (IMFs). Next, the fluctuation complexity of each IMF is quantified via RCMSE and K-means clustering: high-frequency components are captured using small patches to preserve details, while low-frequency components use larger patches to learn long-term trends. Subsequently, a PatchTST-BiLSTM reconstruction network with patch partitioning and multi-head attention is adopted to capture temporal dependencies and optimize data representation, overcoming the bottleneck caused by the imbalance between long-term and short-term features. Finally, recursive feature elimination (RFE) feature selection combined with a PLE multi-task network can coordinate expert models to mitigate negative transfer and enhance high-frequency response capability. Experiments on the Alice Springs dataset show that the proposed method significantly outperforms conventional deep learning and new multi-task models in the mean absolute error (MAE) and root mean square error (RMSE). The results show that, compared with the MTL_Attention_LSTM method, the proposed method reduces the average MAE by 45.9% and RMSE by 44.6%, achieving more accurate forecasting of PV power.

Article Metrics

Citations

Article Access Statistics

Multiple requests from the same IP address are counted as one view.