Abstract
This study presents the design, analysis, and experimental validation of a 500 W inductive power transfer (IPT) system with a transmission distance of 250 mm for television applications. The proposed system incorporates an innovative wireless pad design featuring a four-teeth magnetic structure and an LCC-S compensation topology to optimize coupling coefficients, reduce copper losses, and improve overall efficiency. The system’s robustness under misalignment and load fluctuations was validated, with experimental results confirming over 80% efficiency for optimal configurations. The findings also highlight the sensitivity of the system to switching frequency variations, emphasizing the need to maintain resonance conditions for maximum power transfer. Compared to existing designs, the proposed system demonstrates superior performance in long-distance wireless power transfer, making it a promising solution for high-power applications in home appliances.
1. Introduction
Wireless power transfer (WPT) systems are widely utilized in various applications due to their convenience. Mobile phones and electric vehicles have already been commercialized, and research in these areas is actively ongoing. In the field of home appliances, products utilizing wireless power transfer technology are being developed for convenience and esthetic reasons [1,2,3].
Primarily, research on wireless power transfer technology for home appliances applies inductive power transfer (IPT) systems, where power transmission distances are mostly below 10 mm, as in electric toothbrushes, kettles, and cooktops. Various studies are being conducted on the practical implementation of complete wireless power transfer technology over distances exceeding 100 mm. For high-end home appliances, the power consumption is significant due to their high performance, making the application of wireless power transmission technology for hundreds of millimeters and hundreds of watts crucial.
Research on wireless power transfer (WPT) for a distance of 200 mm using an intermediate coil was conducted in [4]. Although it achieved a maximum power transfer of 150 W with an efficiency of 80%, the large size of the intermediate coil (1490 mm × 984 mm) introduced significant drawbacks in terms of system volume and cost. Furthermore, the lack of flux shielding made practical application challenging. In [5], a planar coil winding and a teeth structure were proposed to improve misalignment characteristics, achieving 200 mm WPT. Aluminum shielding was used to enable flux containment, but the received power was only 76.8 W, and the wireless pad size (510 mm × 300 mm × 45 mm) remained relatively large. In [6], a long-distance WPT of 5000 mm was demonstrated using a dipole structure. However, the core length of 3000 mm and the absence of flux shielding made practical application difficult. In [7], power transmission was achieved over a distance of 300 mm, but only 1 W of power was transferred, limiting its practicality for real-world applications. In a study by [8], they proposed a dipole-type WPT system capable of wirelessly transferring power over 1000 mm. However, the transmitter relied on a magnetic material measuring 2500 mm × 500 mm × 100 mm, leading to challenges in practical implementation. Additionally, it achieved only 150 W of power transfer and exhibited significant performance degradation due to misalignment. Partial shielding was applied only to the receiver, limiting real-world applicability. In [9], planar coil structures achieved 500 mm WPT, but with an output power of only 1.5 W and a low efficiency of 70%, rendering it impractical. In [10], multilayer relay structures were implemented to develop IPT technology for refrigerators, supplying power to fans, LEDs, and cameras. Despite achieving a transmission distance of 150 mm, the low output voltage and total power (below 10 W) posed limitations. The system also required a high switching frequency of 6.78 MHz, complicating practical deployment. In [11], 100 W was transferred over 300 mm, but as described in [3], the lack of shielding considerations hindered practical implementation and scalability for higher power levels. In [12], single-tube loop coil and multi-turn copper wire coil technologies were used to transfer power over 300 mm, but the low output power of 1 W and lack of shielding again rendered it unsuitable for practical applications. Research presented in [13] examined WPT systems for home appliances using multiple coils to increase coupling coefficients. Although 100 W was transferred over 300 mm, the efficiency was below 80%, and the absence of flux shielding limited its practical applicability. In [14], an omnidirectional WPT system for home appliances was proposed, demonstrating power transfer across various angles. However, due to the omnidirectional nature, the actual coil spacing resulted in low efficiency and power transfer below 100 W. In [15], coupling coefficient optimization was studied, but the transmission distance was limited to 40 mm, with a maximum transfer power of only 66 W. The lack of flux shielding further limited its practicality. In [16], a dipole coil system was constructed for 400 mm long-distance WPT. Although long-distance power transfer was achieved, the efficiency at maximum distance was only 8.8%. Additionally, the wireless pad measured 800 mm in length, and the absence of flux shielding made practical implementation challenging. At CES 2021, a system capable of wirelessly powering a 40-inch TV was unveiled. While achieving a maximum transmission distance of 500 mm, the large size of the transmitter and receiver coils (40 inches) and the limited power capacity of 120 W made it unsuitable for larger TVs [17]. In [18], a 250 mm power transmission was achieved using a structure with six intermediate coils, fundamentally limiting practicality due to the inherent drawback of having additional coils between the transmitter and receiver, and flux shielding was also not considered. In [19], planar coils were studied for 700 mm long-distance power transfer. However, the efficiency was only 28%, and the transmitted power was limited to 2 W, both of which were impractically low. Flux shielding was also not considered.
Despite numerous studies on long-distance WPT, most suffer from reduced output power and efficiency at extended distances. To overcome these limitations, larger wireless pads are often used. As shown in Table 1, most studies did not consider flux shielding, and the addition of shielding is expected to reduce efficiency and output power, making practical application difficult.
Table 1.
Comparison of the previous research of a long-distance WPT system.
This paper proposes a WPT system for TVs capable of transferring 500 W over a distance of 250 mm with aluminum shielding. To achieve long-distance power transfer, an optimal design of the wireless pad, a critical component of WPT, was performed. The design process included analyzing coil shapes for long-distance power transfer, optimizing magnetic paths with magnetic teeth to increase the coupling coefficient, and varying the number of turns to optimize copper losses in the transmitter and receiver pads. Additionally, misalignment was considered and verified through analysis and experiments. The performance improvements over previous studies were demonstrated using a 500 W testbed.
2. Analysis of the Long-Distance Wireless Power Transfer System for TVs
The wireless power transfer method used in this paper is illustrated in Figure 1, consisting of a DC-AC inverter, primary resonant network, primary wireless pad, secondary wireless pad, AC-DC rectifier, and final DC-DC converter. The resonant network of the transmitter and receiver should use a higher-order topology considering the low mutual inductance M due to the low coupling coefficient k. Given the load characteristics of the TV, an LCC-S topology was chosen for its constant voltage output characteristics.
Figure 1.
Block of proposed IPT system.
2.1. Wireless Pad Design Consideration
The wireless charging system for TVs aims to deliver 500 W of power over a physical distance of 250 mm between the transmitter and receiver. The design of the wireless pad is critical for transmitting higher power over a longer distance compared to existing home appliance wireless power transfer systems. The wireless pad must incorporate aluminum shielding to prevent magnetic flux leakage and utilize magnetic materials to increase inductance.
Different coil shapes are possible depending on the application. Typical shapes for IPT coils include circular and dipole configurations, both of which are analyzed in this study. The dimensions for the wireless pad used in this study were determined to be 300 mm × 100 mm × 20 mm to ensure practical product application. Considering the high switching frequency of 100 kHz, a 0.1 mm diameter Litz wire with 1150 strands was used for the coils. To prevent magnetic flux leakage, aluminum shielding was added to both the transmitter and receiver pads with a 15 mm gap between them. Table 2 shows summarized system parameters, and basic wireless pad structure of this paper is shown in Figure 2.
Table 2.
System key parameters.
Figure 2.
Wireless pad structure.
2.2. Resonant Network Configuration
The structure of the IPT system with an LCC-S resonant network can be equivalently represented using a loosely coupled transformer and an AC output Uab derived from the AC input voltage source UAB generated by the inverter, as shown in Figure 3. Calculating the coil current size is crucial for designing the wireless pad’s coil. At the resonant frequency, the transmitter coil current IP is calculated as follows:
where LIN is the input resonant inductor and ω is the angular frequency. The transmitter coil current IS is equal to the output AC current Iab, which can be computed using the output AC voltage Uab and the equivalent output AC resistance Ro.ac.
Figure 3.
LCC-S resonant network with M model.
The output AC voltage Uab is calculated as follows:
where M represents the mutual inductance between the transmitter and receiver coils. To obtain the desired output voltage, M must be derived, and Lin designed accordingly. In this paper, the primary-side DC-AC inverter is configured as a full-bridge structure, which produces a square wave voltage alternating between +380 V and −380 V by controlling four switches in half-duty cycles. For ease of analysis, a fundamental harmonic analysis (FHA) method is applied.
According to Equation (2), since the transmitter current is the same as the output current, the specifications in this paper may not be large, but due to the low mutual inductance from the long distance, a small Lin value is anticipated, leading to high Ip current. To mitigate this, pad structure design to increase M through the coupling coefficient is necessary. The relationship between coupling coefficient k and mutual inductance M is as follows:
Using Equations (1), (3), and (4), IP can be expressed in terms of M and k, allowing for effective system design.
According to Equation (5), methods to reduce the transmitter coil current IP in the LCC-S topology include the following: (1) increasing the coupling coefficient by improving the shape of the pad; (2) increasing the inductance of either the transmitter or receiver coils; and (3) lowering the output AC voltage Uac to reduce IP. This can be achieved by modifying the rectifier structure at the receiver to differentiate between the output DC voltage UDC and Uac; by reducing Uac, IP can be decreased without changing other parameters, as expressed in (5). This paper discusses the analysis of these three methods in the context of pad design and circuit topology.
2.3. Rectifier Configuration
The rectifier at the receiver is typically a full-bridge rectifier as shown in Figure 4a. The relationship between output voltage UDC and Uac in the full bridge is as follows:
Figure 4.
Topology of AC-DC rectifier: (a) Full-bridge rectifier and (b) voltage doubler rectifier.
Figure 4b shows the voltage doubler (also called the Delon circuit). The output UDC, when using the voltage doubler, is double that of Uac, so the output voltage UDC is as follows:
The half-wave rectifier, stacked as two units, has a greater ripple current stress on the capacitors compared to the full-bridge rectifier. However, since the output DC current in this study is relatively small at 5 A, designing the capacitors does not pose significant challenges. Consequently, with half of Uac and fixed values for M and switching frequency, the current IP is reduced to half that of the full-bridge rectifier. However, the current IS doubles, which may increase the losses in the receiver coil. In IPT systems, the copper losses PCop.tot occurring in both the transmitter and receiver coils account for a significant portion of the total losses, calculated according to the following equation:
where RP and RS are resistance of transmitter coil and receiver coil, respectively. Therefore, it is necessary to analyze the effects of the rectifier configuration. The resonant network components, including LIN, Cp, Cs, and CF, are calculated as follows for each configuration [20].
3. Design of the Long-Distance Wireless Pad and Analysis of Copper Losses
The wireless pad is the most significant loss component in the IPT system, making its design crucial for system efficiency. For long-distance wireless power transmission, the design follows these steps:
- (1)
- Analyze the coupling coefficient k based on the basic wireless pad shape.
- (2)
- Improve the magnetic paths by adding magnetic teeth and analyzing the maximum size and variability of the coupling coefficient k.
- (3)
- Analyze the coil turns considering electrical characteristics.
The design prioritizes the shape of the pad and teeth structure affecting the coupling coefficient, followed by the inductance and resistance of the coils determined by the number of turns.
3.1. Performance Analysis Based on Wireless Pad Shape
The wireless pad designed for TV wireless power transmission is elongated along the horizontal axis, with coils designed in two configurations: circular and dipole. The coupling coefficient k for both configurations was compared using FEM simulations.
Figure 5 shows the results of the FEM simulations for two different coil shapes. In the case of the circular type, as shown in Figure 5a, it can be observed that the ratio of magnetic flux coupling in the transmitter is high, while the flux coupling with the receiver is low. In contrast, the dipole configuration demonstrates that the magnetic flux generated by the transmitter couples more effectively with the receiver. The simulation results confirm a significant difference in the coupling coefficients, with the dipole structure having a coupling coefficient of 0.048 and the circular pad having a coefficient of 0.007. For TVs, where positional variations are minimal once installed, the properties of the circular pad, which is robust against spacing, are not suitable. Instead, the dipole structure, which can achieve a higher coupling coefficient, is expected to reduce the transmitter pad current IP as indicated by Equation (5). Therefore, for long-distance power transfer, the basic coil structure is more suitable as a dipole configuration.
Figure 5.
Pad structure and magnetic flux distribution: (a) circular type and (b) dipole type.
Figure 6a,b show the structure of the basic dipole configuration with the addition of magnetic teeth to improve the magnetic path. The diameter of the coils used is 5 mm, and to accommodate the additional teeth without exceeding the maximum height, the thickness of the teeth is set at 10 mm. For practical fabrication, the widths of the teeth are set at 50 mm for three teeth and 37.5 mm for four teeth to maintain the same winding window area. FEM simulations were performed to verify the coupling coefficient and self-inductance based on the number of teeth when the coil has 20 turns. Comparing the performance of three and four teeth, the self-inductance with three teeth is 91.16 μH, and the coupling coefficient is 0.047. In the case of four teeth, the self-inductance is 92.85 μH, and the coupling coefficient is 0.049. The four teeth structure has a greater magnetic flux path between the transmitter and receiver, resulting in a higher coupling coefficient and also being advantageous against spacing due to the multiple teeth. Therefore, in this paper, a configuration with four teeth is adopted as the basic structure.
Figure 6.
Three-dimensional shape of dipole pad with additional ferrite teeth: (a) three teeth and (b) four teeth.
Next, the positions of the teeth were varied, and two configurations were simulated as shown in Figure 7. In each case, the teeth are positioned at both ends of the pad as in Figure 7a, or the coils are designed to be positioned as in Figure 7b. Consequently, the distance between the teeth changes to 50 mm in Figure 7a and 30 mm in Figure 7b. In Figure 7a, it can be observed that the coils are more concentrated compared to Figure 7b, which has one less winding section, totaling four sections. The self-inductance and coupling coefficient for the structure in Figure 7a are the same as those in Figure 6b, at 92.85 µH and 0.049, respectively. For the structure in Figure 7b, the self-inductance is 62.85 µH and the coupling coefficient is 0.046. Therefore, the structure in Figure 7a, which demonstrates superior magnetic characteristics, is selected as the final configuration for the pad.

Figure 7.
Two-dimensional shape of pad structure according to four teeth location: (a) three coil sections and (b) five coil sections.
Misalignment occurs in wireless pads depending on their installation position. In this study, the coupling coefficients under x-axis variations were analyzed based on FEM simulation for circular type, dipole type, three-teeth, and four-teeth structures, as shown in Figure 8. In all results, the four teeth structure exhibited a higher coupling coefficient, which is expected to improve the system performance.
Figure 8.
Coupling coefficient variation according to x-axis misalignment.
3.2. Analysis of Coil Turns Considering Electrical Characteristics
Finally, the performance is compared and analyzed based on the number of coil turns. As the number of coil turns increases, both the self-inductance and mutual inductance also increase. The increase in self-inductance allows for a reduction in IP according to Equation (5). However, the increase in the number of turns can lead to higher resistance in the coils, resulting in increased copper losses. Therefore, it is essential to consider the reduction in IP against the increase in resistance by adjusting the number of turns in both the transmitter and receiver coils. Additionally, performance analyses are conducted by varying the structures of the transmitter and receiver to evaluate the combination of dipole structures and multiple E configurations. The effects on IP and IS based on the receiver rectifier structure will also be considered to provide a comprehensive analysis of the characteristics based on the pad combinations.
For the coils used in the fabrication, a strand diameter of 0.1 mm and 1150 strands were utilized, with a total coil diameter of 5 mm made from Litz wire. Generally, when using multiple strands and with a large overall simulation space, issues with minimum mesh in the simulation can arise, leading to decreased accuracy when interpreting the AC resistance component through FEM simulations. Therefore, in this paper, the basic dipole structure without teeth and the multiple E pads with four teeth were fabricated to determine the number of turns and shapes for the transmitter and receiver based on the actual LP, LS, M, and Rac. Figure 9 shows the actual wireless pads that were produced.
Figure 9.
Pictures of wireless pad prototypes with 40 turns: (a) Dipole structure and (b) multiple E structure (4 teeth).
In each structure, the self-inductance LP and LS at 10 turns, 20 turns, 30 turns, and 40 turns are presented in Table 3. As with the FEM simulations, it can be observed that the multiple E structure has a higher inductance compared to the dipole structure. This indicates that it can achieve a higher mutual inductance, allowing for a reduction in the primary coil current. However, due to the reduction in the window area caused by the teeth, the winding must be performed in a double layer, which may increase the proximity effect between the windings. The resistance of the coils based on different shapes and turns is presented in Table 4. An LCR meter from HIOKI (IM3536) was used for measurements at a frequency of 100 kHz. The dipole structure has a wider winding window area compared to the multiple E structure, allowing it to maintain a greater distance between windings, resulting in relatively lower AC resistance.
Table 3.
Self-inductance according to number of turns and structure.
Table 4.
AC resistance according to number of turns and structure.
Next, the coupling coefficients were measured by varying the structures of the transmitter and receiver. As shown in Table 5, the coupling coefficients were measured for a total of four combinations. The dipole–dipole combination has a coupling coefficient of 0.037, indicating a very weak coupling. The dipole-multiple E combination shows an increased coupling coefficient of 0.041. Finally, the multiple E-multiple E combination has a coupling coefficient of 0.046, which represents a 24.32% increase compared to the dipole–dipole structure.
Table 5.
Coupling coefficient according to pad structure combination.
According to Table 3, Table 4 and Table 5, the multiple E structure exhibits higher self-inductance, coupling coefficients, and AC resistance compared to the dipole structure. Thus, according to Equation (5), while the high mutual inductance can reduce IP, the relatively large AC resistance may lead to increased copper losses in the coil. Therefore, it is necessary to analyze the size of the copper losses based on the combinations, number of turns, and the structure of the receiver rectifier in this paper.
The electrical characteristics according to the number of turns in each combination are examined. Table 6 presents the parameters based on PO = 500 W and UDC = 100 V for the dipole–dipole structure with varying turns. Here, TPri denotes the number of turns in the transmitter coil, and TSec refers to the number of turns in the receiver coil. Additionally, IP.FBR indicates the transmitter coil current when using a full-bridge rectifier, while IP.VDR represents the current size when using a voltage doubler rectifier. It can be observed that as the number of turns increases, the mutual inductance grows, resulting in a decrease in the primary coil current, which is influenced by both the primary and secondary coil turns. The current in the receiver coil is determined by the characteristics of the LCC-S topology and remains constant regardless of the number of turns, being 5.55 A for the full-bridge rectifier (IS.FBR) and 11.1 A for the voltage doubler rectifier (IS.VDR). If the mutual inductance is not sufficiently high, a very large IP can be observed. When using the voltage doubler rectifier, IP is reduced to half compared to the full-bridge rectifier, while IS doubles. If the transmitter coil has 10 turns and the receiver coil has 40 turns, the designed CF value based on Equation (8) becomes negative, making practical application impossible, as indicated by the dash. When using the receiver as VDR can be effectively reduced, suggesting that with a smaller number of turns, copper losses can be minimized. However, as the number of turns in the transmitter and receiver increases to ensure sufficient mutual inductance, IS may become larger than IP, indicating that copper losses in the transmitter become a significant proportion.
Table 6.
Key parameters of dipole–dipole structure according to rectifier structure.
If the number of turns in the transmitter and receiver coils is insufficient, the resistance will increase, but it is evident that high efficiency can only be achieved when a sufficient number of turns are secured. Table 7 shows the parameters for the dipole-multiple E structure based on the number of turns. The coupling coefficient increases compared to the dipole–dipole structure, indicating a larger M. Consequently, IP is reduced compared to Table 6. However, due to the proximity effect arising from winding ferrite teeth in a confined space, the resistance value increases. Therefore, an analysis of combinations based on structure and the number of turns is necessary.
Table 7.
Key parameters of dipole-multiple E structure according to rectifier structure.
Table 8 presents the parameters for the multiple E-dipole structure based on the number of turns. It exhibits similar characteristics to Table 7, but due to the high IP, it is advantageous to have a smaller winding resistance when having the same M. Thus, it can be concluded that this structure is less favorable compared to the combinations in Table 7.
Table 8.
Key parameters of multiple E-dipole structure according to rectifier structure.
Table 9 shows the parameters for the multiple E-multiple E structure based on the number of turns. It has the highest mutual inductance among all cases, resulting in the smallest IP. However, since the resistance of both the transmitter and receiver coils is the highest, the impact of this should be analyzed. Additionally, since coils generally account for the largest losses in IPT systems, it is necessary to analyze the conduction losses occurring in the coils.
Table 9.
Key parameters of multiple E-multiple E structure according to rectifier structure.
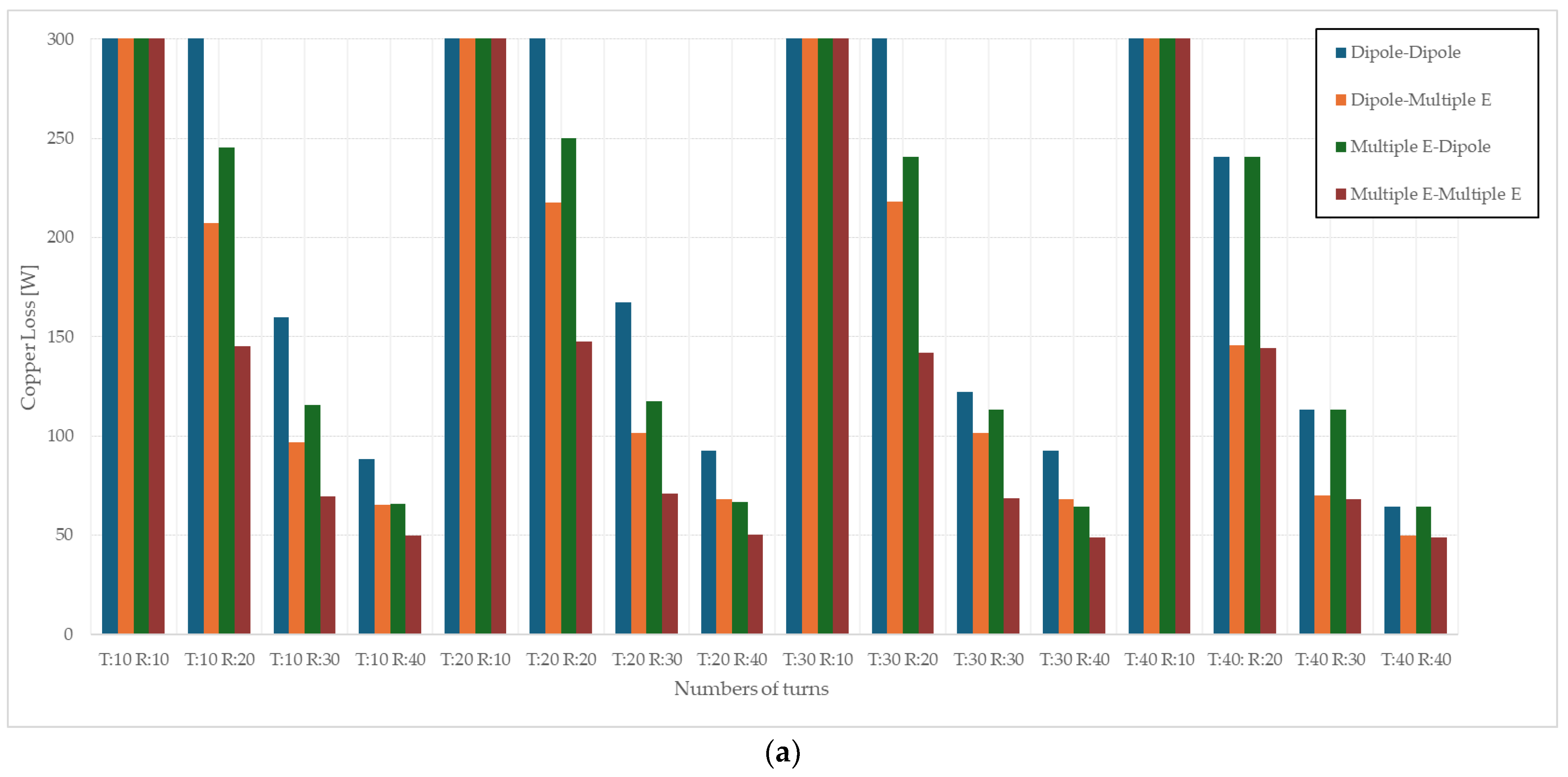
Figure 10 presents the calculated copper losses of the transmitter and receiver coil based on a total of 32 combinations. Figure 10a shows the losses when using a full-bridge rectifier, while Figure 10b displays the losses when using a voltage doubler rectifier. When a full-bridge rectifier is used, the copper losses are significant at lower turns due to the high transmitter coil current, but it can be observed that the losses decrease as the number of turns increases with the reduction of IP. Overall, the multiple E-multiple E combination exhibits the smallest losses, with the case of 40 turns for both the transmitter and receiver having the lowest copper losses. However, the combinations of T: 10/R: 40, T: 20/R: 40, and T: 30/R: 40 in the multiple E-multiple E structure also show similar loss levels. With the full-bridge rectifier, the multiple E structure is advantageous in terms of copper losses due to its ability to secure a higher self-inductance owing to the relatively high IP current.

Figure 10.
Conduction losses of wireless pad coil according to pad structures with: (a) full-bridge rectifier and (b) voltage doubler rectifier.
As shown in Figure 10b, when using the voltage doubler rectifier, IP decreases to half compared to the full-bridge rectifier structure, resulting in an overall reduction in losses. As mentioned in Table 6, Table 7, Table 8 and Table 9, cases where the CF value results in a negative value are not feasible for actual fabrication. Therefore, these cases are not included in the figure. Due to the reduced IP current, the influence of the increase in self-inductance leading to a decrease in current is less significant than in the full-bridge rectifier structure, resulting in reduced losses for all combinations.
Based on these results, three combinations were selected. The first is the multiple E-multiple E structure with T: 40/R: 40 for the full-bridge rectifier. The second is the multiple E-multiple E structure with T: 20/R: 40 using the voltage doubler rectifier. Although other turn counts yield similar loss magnitudes within the same structure, this combination was chosen due to its lower number of turns, which is beneficial in terms of overall weight and cost. Lastly, T: 20/R: 20 was selected for the dipole-multiple E structure using the voltage doubler rectifier to allow for comparison of this configuration with the others based on the calculated results.
The design procedures performed in Section 3 have been summarized in Figure 11. Selecting the optimal pad combination should prioritize minimizing conduction loss in the coil. However, when considering system cost and weight, a combination with lower turns may be selected, even if it results in a slight increase in conduction loss.
Figure 11.
Summarized design procedure.
4. Experimental Validation of the Proposed System
In this paper, a system capable of 500 W and 100 V wireless power transfer over a distance of 250 mm was fabricated for the three cases analyzed in Section 3. Based on the parameters of the wireless pad, LIN, CP, CF, and CS were designed according to Equation (8). The designed resonant parameters are summarized in Table 10. Here, Case I refers to the combination of multiple E-multiple E with T: 40/R: 40, Case II refers to T: 20/R: 30, and Case III refers to the combination of dipole-multiple E with T: 20/R: 20. The switches used in the inverter are CREE’s C3M0030090K, and the diodes used in the rectifier are Infineon’s IDW30G65C5. And components of magnetic cores in the resonant inductor, wireless pad, and resonant capacitor are listed in Table 11.
Table 10.
Value of compensation network parameters according to pad structures.
Table 11.
System key components list.
Figure 12 shows the fabricated transmitter and receiver pads for the three cases, with the addition of aluminum shielding. Figure 13 presents the key waveforms for each of the three cases when the system operates at 500 W and 100 V output. As shown in Figure 13, zero voltage switching (ZVS) operation is confirmed in all cases. In Figure 13a, with the use of a full-bridge rectifier, the peak value of Uab is confirmed to be 100 V, whereas in Figure 13b,c, Uab has a peak value of 50 V.
Figure 12.
Prototype wireless pad: (a) Case I, (b) Case II, and (c) Case III.

Figure 13.
Experimental waveform at 500 W output: (a) Case I, (b) Case II, and (c) Case III.
Figure 14 illustrates the voltage, current, and power levels of each component measured using a power analyzer. Case I, which has the highest mutual inductance, exhibits the smallest IP value. It can be observed that Cases II and III, which use a voltage doubler rectifier, have IS values that are twice as large as those of Case I, which uses a full-bridge rectifier. When the output rectifier is the same, except for IP, the current and voltage levels of each component are almost identical, indicating that the system efficiency is primarily affected by copper losses. Therefore, as analyzed in Section 3, Case II, which has the smallest copper losses, achieves the highest efficiency of 80.948%, while Case I has an efficiency of 76.717% and Case III has an efficiency of 71.145%.
Figure 14.
Measured key experimental result: (a) Case I, (b) Case II, and (c) Case III.
Figure 15 shows the efficiency variation in each case based on the load level. It can be seen that case II has the highest efficiency across all load ranges. Due to the characteristics of the LCC-S structure, as the load changes, the receiver current IS varies according to Equation (2), but the transmitter current IP remains constant by Equation (1). Therefore, in case III, where mutual inductance M is smaller, the efficiency significantly decreases when the load is low. The experimental results indicate that the combination derived from the proposed design method achieves the highest efficiency. The loss distribution analysis for Case I, II, and III is performed based on the measured efficiency at 500 W, as shown in Figure 16. In Case III, the current applied to the IP is larger than in other cases, resulting in the highest loss in the IPT pad. Although the rectifier diode with VDR shows an increased current compared to FBR, the total number of components used is halved, resulting in negligible differences. The IPT pad losses in Case I and Case II account for similar proportions; however, the actual value in Case I is higher due to the increased coil resistance. Since the losses generated in the coil constitute the largest proportion in all cases, the process of calculating the conduction loss of the coil with the lowest value, as described in Section 3, is considered appropriate.
Figure 15.
Measured system efficiency according to output power.
Figure 16.
Power losses distribution at 500 W output power condition.
Experiments were conducted to verify the robustness of the system under misalignment and switching frequency variations.
Dynamic characteristic experiments for load variations are added for Case II under x-axis misalignments of 10 mm, 30 mm, and 50 mm, as shown in Figure 17a–c, respectively. For a 10 mm misalignment, a power transmission reduction of 17 W is observed under maximum load conditions. In other conditions, the power transmission reduction can be negligible. At a 30 mm misalignment, 428 W of power was transmitted at a load condition of 19.25 Ω, which corresponds to 500 W under alignment. At a 50 mm misalignment, 358 W of power is delivered to the load. In this study, the IPT converter is followed by a DC-DC converter. Therefore, in practice, the reduced power transmission can be compensated through DC-DC converter control. Additionally, the system efficiency of Case II under different misalignments was included, as shown in Figure 18. The overall efficiency decrease is not significant up to a 30 mm misalignment. Notably, under a 10 mm misalignment, the efficiency at 25 Ω and 35 Ω load conditions are similar to that of the aligned condition.

Figure 17.
Load variation experiment results under different misalignment conditions: (a) 10 mm, (b) 30 mm, and (c) 50 mm.
Figure 18.
Measured system efficiency by different load and misalignment conditions.
The output voltage regulation performance by load fluctuations for Case II were progressed, as shown in Figure 19. It was observed that the output voltage remained stable with only a slight voltage drop due to the coil resistance. In this case, no additional output control was applied, and a constant switching frequency of 100 kHz was used.
Figure 19.
Experimental results according to load fluctuation at 100 kHz switching frequency.
Experiments were also conducted to validate output variations at the same load resistance under reduced switching frequencies of 98, 96, 94, and 92 kHz, as shown in Figure 20. It was observed that output power significantly decreased with frequency reduction, and at a switching frequency of 96 kHz, the output power dropped below 100 W under the same load resistance. This demonstrates that, for the proposed system, the switching frequency should follow the resonant frequency to achieve maximum power transfer.
Figure 20.
Measured output power variation according to different switching frequency.
5. Conclusions
This paper presented the design, implementation, and experimental validation of a 500 W inductive power transfer (IPT) system for television applications, capable of achieving wireless power transfer over a 250 mm distance. The proposed system focused on optimizing the wireless pad design using a four-teeth magnetic structure to enhance coupling coefficients and reduce copper losses. Through a detailed analysis of pad structures and coil configurations, the optimal combination was identified, balancing efficiency, cost, and weight considerations. Experimental validation demonstrated that the multiple E–multiple E structure with a voltage doubler rectifier achieved the highest efficiency of 80.948%, highlighting the effectiveness of the proposed design approach. The system also exhibited robustness under misalignment conditions, maintaining high efficiency up to a 30 mm x-axis displacement. Additionally, the importance of maintaining resonance conditions was emphasized, as switching frequency variations significantly affected power transfer performance. Overall, the proposed IPT system addresses critical challenges in long-distance wireless power transfer, providing a reliable and efficient solution for high-power applications. The findings contribute to advancing wireless power transfer technology, particularly for home appliances, and lay the groundwork for future research on further improving system performance and integration.
6. Discussion
The experimental and simulation results confirm the effectiveness of the proposed 500 W IPT system for a 250 mm transmission distance. The results demonstrate several key findings:
- Coupling coefficient and magnetic path design: The use of a four-teeth magnetic structure significantly enhances the coupling coefficient compared to conventional designs, such as circular or dipole types. This improvement directly translates to reduced primary coil current (IP) and overall system losses, as evident in the analysis presented in Section 3. The inclusion of teeth allows for better flux alignment, which is critical for long-distance wireless power transfer.
- System efficiency and loss analysis: The multiple E–multiple E structure with a voltage doubler rectifier achieved the highest efficiency (80.948%), attributed to its optimal balance of mutual inductance and copper losses. However, Case III, which utilizes a dipole–multiple E structure, exhibited reduced efficiency due to lower mutual inductance and higher resistance, reinforcing the importance of proper pad design and coil configuration.
- Robustness to misalignment: The system demonstrated robustness under x-axis misalignments of up to 30 mm, with efficiency reductions being minimal. Beyond this threshold (e.g., 50 mm misalignment), the efficiency and power transmission significantly decreased, highlighting the need for precise installation to maintain performance.
- Frequency sensitivity: The results show that the system’s output power is highly sensitive to switching frequency variations. When the switching frequency deviated from 100 kHz, the power transfer efficiency dropped sharply, particularly at 96 kHz, where output power fell below 100 W. This underscores the importance of maintaining resonance conditions for optimal operation.
- Load variation performance: Under load fluctuations, the system maintained stable output voltage with minimal variation, except for minor drops caused by coil resistance. This stability, achieved without additional output control, demonstrates the system’s potential for practical applications in TV appliances.
Overall, the proposed system addresses key challenges in long-distance wireless power transfer, including high efficiency, misalignment robustness, and stable operation under varying conditions. The experimental validation supports the practicality of the design, making it a promising solution for high-power, long-distance wireless power transfer in home appliances.
Author Contributions
Project administration, D.-H.K.; supervision, D.-H.K.; validation, J.X. and S.J.; writing—original draft, S.-H.H.; writing—review and editing, G.-Y.L. and D.-H.K. All authors have read and agreed to the published version of the manuscript.
Funding
This research received no external funding.
Data Availability Statement
The original contributions presented in this study are included in the article. Further inquiries can be directed to the corresponding author.
Conflicts of Interest
The authors declare no conflicts of interest.
References
- Chen, Y.; Zhang, H.; Park, S.-J.; Kim, D.-H. A Comparative Study of S-S and LCCL-S Compensation Topologies in Inductive Power Transfer Systems for Electric Vehicles. Energies 2019, 12, 1913. [Google Scholar] [CrossRef]
- Chen, Y.; Wu, J.; Zhang, H.; Guo, L.; Lu, F.; Jin, N.; Kim, D.-H. A Parameter Tuning Method for a Double-Sided LCC Compensated IPT System with Constant-Voltage Output and Efficiency Optimization. IEEE Trans. Power Electron. 2023, 3, 4124–4139. [Google Scholar] [CrossRef]
- Jiang, C.; Chau, K.T.; Liu, C.; Lee, C.H.T. An Overview of Resonant Circuits for Wireless Power Transfer. Energies 2017, 10, 894. [Google Scholar] [CrossRef]
- Kim, J.; Son, H.C.; Kim, D.H.; Park, Y.J. Optimal Design of a Wireless Power Transfer System with Multiple Self-Resonators for an LED TV. IEEE Trans. Consum. Electron. 2012, 3, 775–780. [Google Scholar] [CrossRef]
- Kim, H.; Cho, J.; Ahn, S.; Kim, J.; Kim, J. Suppression of Leakage Magnetic Field from a Wireless Power Transfer System using Ferrimagnetic Material and Metallic Shielding. In Proceedings of the IEEE International Symposium on Electromagnetic Compatibility, Pittsburgh, PA, USA, 6–10 August 2012. [Google Scholar]
- Park, C.; Lee, S.; Cho, G.-H.; Rim, C.T. Innovative 5-m-Off-Distance Inductive Power Transfer Systems with Optimally Shaped Dipole Coils. IEEE Trans. Power Electron. 2015, 2, 817–827. [Google Scholar] [CrossRef]
- Benanti, S.; Caruso, M.; Castiglia, V.; Cecconi, V.; Corpora, M.; Dio, V.D. Wireless Power Transmission for House Appliances: A Small-Scale Resonant Coupling Prototype. In Proceedings of the AEIT International Annual Conference (AEIT), Capri, Italy, 5–7 October 2016. [Google Scholar]
- Nguyen, D.Y.; Lee, E.S.; Choi, B.G.; Rim, C.T. Optimal Shaped Dipole-Coil Design and Experimental Verification of Inductive Power Transfer System for Home Applications. In Proceedings of the IEEE Applied Power Electronics Conference and Exposition (APEC), Long Beach, CA, USA, 20–24 March 2016. [Google Scholar]
- Khan, I.; Qureshi, M.I.; Rehman, M.U.; Khan, W.T. Long range wireless power transfer via magnetic resonance. In Proceedings of the Progress in Electromagnetics Research Symposium—Fall, Singapore, 19–22 November 2017. [Google Scholar]
- Hu, P.-F.; Yu, T.-Q.; Chen, Z.A. Multilayer Relay Wireless Power Transfer System with Coupled Magnetic Resonance for Coverage inside Electrical Appliances. In Proceedings of the IEEE International Conference on Computational Electromagnetics (ICCEM), Chengdu, China, 26–28 March 2018. [Google Scholar]
- Xia, C.; Liu, L.; Liu, Y.; Ma, Z. IPT system for tail-free household appliances in the smart home system. IET Power Electron. 2019, 12, 1002–1010. [Google Scholar] [CrossRef]
- Jawad, A.M.; Nordin, R.; Gharghan, S.K.; Jawad, H.M.; Ismail, M.; Abu-AlShaeer, M.J. Single-Tube and Multi-Turn Coil Near-Field Wireless Power Transfer for Low-Power Home Appliances. Energies 2018, 11, 1969. [Google Scholar] [CrossRef]
- Shu, X.; Xiao, W.; Zhang, B. Wireless Power Supply for Small Household Appliances Using Energy Model. IEEE Access 2018, 6, 69592–69602. [Google Scholar] [CrossRef]
- Liu, G.; Zhang, B.; Xiao, W.; Qiu, D.; Chen, Y.; Guan, J. Omnidirectional Wireless Power Transfer System Based on Rotary Transmitting Coil for Household Appliances. Energies 2018, 11, 878. [Google Scholar] [CrossRef]
- Yan, Y.; Shi, W.; Zhang, X. Design of UAV wireless power transmission system based on coupling coil structure optimization. EURASIP J. Wirel. Commun. Netw. 2020, 2020, 67. [Google Scholar] [CrossRef]
- Choi, B.G.; Kim, J.H.; Lee, E.S.; Kim, H.R.; Rim, C.T. Optimal Dipole-Coil Ampere-Turns Design for Maximum Power Efficiency of IPT. IEEE Trans. Power Electron. 2020, 7, 7317–7327. [Google Scholar] [CrossRef]
- New Atlas Home Page. Available online: https://newatlas.com/home-entertainment/reasonance-wireless-tv/ (accessed on 4 October 2024).
- Hou, X.; Wang, Z.; Su, Y.; Liu, Z.; Deng, Z. A Dual-Frequency Dual-Load Multirelay Magnetic Coupling Wireless Power Transfer System Using Shared Power Channel. IEEE Trans. Power Electron. 2022, 37, 15717–15727. [Google Scholar] [CrossRef]
- Liu, C.-Y.; Wu, C.-C.; Tang, L.-C.; Shieh, Y.-T.; Chieng, W.-H.; Chang, E.-Y. Resonant Mechanism for a Long-Distance Wireless Power Transfer Using Class E PA and GaN HEMT. Energies 2023, 16, 3657. [Google Scholar] [CrossRef]
- Hwang, S.-H.; Chen, Y.; Zhang, H.; Lee, K.-Y.; Kim, D.-H. Reconfigurable Hybrid Resonant Topology for Constant Current/Voltage Wireless Power Transfer of Electric Vehicles. Electronics 2020, 9, 1323. [Google Scholar] [CrossRef]
Disclaimer/Publisher’s Note: The statements, opinions and data contained in all publications are solely those of the individual author(s) and contributor(s) and not of MDPI and/or the editor(s). MDPI and/or the editor(s) disclaim responsibility for any injury to people or property resulting from any ideas, methods, instructions or products referred to in the content. |
© 2025 by the authors. Licensee MDPI, Basel, Switzerland. This article is an open access article distributed under the terms and conditions of the Creative Commons Attribution (CC BY) license (https://creativecommons.org/licenses/by/4.0/).