Next Article in Journal
Mining Causal Chains for Tower Crane Accidents Using an Improved Transformer and Complex Network Model
Previous Article in Journal
User Authentication Using Graph Neural Networks (GNNs) for Adapting to Dynamic and Evolving User Patterns
 
 
Font Type:
Arial Georgia Verdana
Font Size:
Aa Aa Aa
Line Spacing:
Column Width:
Background:
Article

Research on Dynamic Weighted Coupling Model of Multi-Energy System Driven by Meteorological Risk Perception

1
Power China Kunming Engineering Corporation Limited, Kunming 650000, China
2
School of Electrical and Electronic Engineering, North China Electric Power University, Beijing 102206, China
*
Author to whom correspondence should be addressed.
Electronics 2025, 14(18), 3571; https://doi.org/10.3390/electronics14183571
Submission received: 11 July 2025 / Revised: 2 September 2025 / Accepted: 4 September 2025 / Published: 9 September 2025
(This article belongs to the Section Systems & Control Engineering)

Abstract

With the aggravation of global climate change and the increasing frequency and intensity of extreme weather events, power systems with a high proportion of renewable energy are under threat. In response, in traditional wind–solar–storage–hydrogen multi-energy systems, it is difficult to balance power supply resilience, economy, and environmental protection, and such systems cannot meet actual demand due to the lack of a dynamic meteorological integration mechanism. Therefore, a dynamic collaborative optimization model of a multi-energy system driven by meteorological risk perception is proposed. The dynamic meteorological risk factor integrating various meteorological elements is introduced, and the risk response mechanism is established based on the system’s energy storage state to realize the adaptive adjustment of coupled weight parameters and achieve the goal of collaborative optimization of power supply resilience, economy, and environmental protection. The case analysis results show that, compared with other models, the proposed model can reduce the power supply shortage by 23.1% in extreme weather periods, and the system’s survival probability can reach 97.1% at most. The proposed model minimizes the assembly while ensuring that carbon emissions meet standards, and achieves the collaborative optimization of power supply toughness, economy, and environmental protection. It provides a theoretical tool for solving the collaborative optimization problem that energy systems with a high proportion of renewables face in coping with climate risks.

1. Introduction

Global climate change has led to the frequent and increasing intensity of extreme meteorological events such as typhoons, icing, and extreme temperature differences [1], which pose a serious threat to energy systems [2], especially power systems with a high proportion of renewable energy [3]. Although wind and solar energy are the core of the energy transition, their strong dependence on meteorological conditions makes their energy output intermittent and fluctuating. In this context [4], the wind–solar–storage–hydrogen complementary multi-energy system has become a key way to improve the resilience of energy systems by integrating multiple energy forms [5] and shows particularly great potential when it comes to dealing with prolonged power outages caused by extreme disasters. However, under extreme weather conditions, it is difficult for existing systems to simultaneously take into account power supply resilience [6], economy, and environmental protection, and more effective optimization strategies are urgently needed [7].
There are several shortcomings in the current related research. First, the systematic research on optimization objectives lacks consideration of extreme meteorological factors [8]. The author of [9] considers the energy conversion and storage of hydrogen energy in a study of the operation mechanism of a multi-energy complementary system, but only in the daily environment, without considering the impact of extreme weather on the system’s operation. Secondly, the existing multi-focus single-objective characteristic optimization models fail to achieve the dynamic balance of multiple sub-objective components under the full integration of meteorological factors. Although some recent studies consider the collaborative optimization of multiple sub-objective components, the proposed models lack a reasonable weight planning method based on the influence of meteorological conditions, which makes it difficult to accurately reflect the importance of changes in each sub-objective component under different meteorological conditions, resulting in a disconnect between the optimization results and the actual needs. The authors of [10] point out that the optimization model of a multi-energy coupled system often relies on the subjective setting of a penalty coefficient when weighing multiple objectives and lacks a fine and adaptive balance mechanism based on risk probability. The authors of [11] point out that the equipment failure model is often independent of the refined meteorological disaster model, and risk perception lags behind it, which means it cannot accurately describe the system’s vulnerability under disaster impact. At the same time, the above studies do not consider the impact of the system operation on the environment. In today’s increasingly severe global climate, it is very important to consider the carbon emission intensity of the system.
To address the aforementioned issues, a dynamic weighted coupling model of a wind–solar–storage–hydrogen multi-energy system driven by extreme meteorological events is proposed. The specific research contents are as follows:
(1)
To account for the impact of extreme weather conditions on energy systems, quantitative meteorological risk factors are proposed. Based on the characteristics of extreme weather conditions across different global climate types, various meteorological parameters, such as wind speed, temperature, and icing index, are comprehensively considered to accurately assess the effects of extreme weather conditions on energy systems.
(2)
Considering the collaborative optimization of multiple sub-objective components, a dynamic weighted coupling model of a multi-energy system driven by meteorological risk perception is proposed.
(3)
The weight parameters are reasonably planned based on the meteorological conditions, with response tiers determined according to meteorological risk levels and the state of energy storage. These tiers are mapped to continuous dynamic weight parameters via a sigmoid function, so as to realize the collaborative optimization of resilience, economy, and environmental protection.
(4)
The carbon emission intensity of the system was constrained, and the hydrogen energy and storage system were deeply integrated to reduce the environmental pressure while giving full play to the advantages of hydrogen energy in long-term standby power supply and the advantages of electric storage in short-term power regulation.

2. Multi-Energy Complementary System Architecture

The multi-energy complementary system architecture is the core framework used to achieve efficient energy utilization and stable system operation. The architecture is mainly composed of four key parts: wind power generation, photovoltaic power generation, electrochemical energy storage, and a hydrogen energy system. Wind and photovoltaic modules, as the main sources of renewable energy, use natural wind and solar power to generate electricity, and their power generation is heavily dependent on meteorological conditions. Electrochemical energy storage (such as lithium batteries) can effectively balance and mitigate the short-term fluctuations in wind power generation through their fast charging and discharging capabilities and ensure the stable operation of the system from minutes to hours. When the electricity price is low or renewable energy generation exceeds demand, the hydrogen energy system converts electric energy into hydrogen and stores it. The hydrogen storage tank is represented by the ratio of the hydrogen storage capacity to its maximum capacity. The fuel cell reconverts hydrogen into electric energy when needed, providing backup power for the system from hours to days, especially when extreme weather causes a long-time power outage. To ensure the continuous power supply of critical loads. The specific multi-energy complementary system architecture is shown in Figure 1.
Under extreme weather conditions, the multi-energy system needs to quantify the meteorological risk factor and output the corresponding response level based on the meteorological risk factor and the energy storage state so as to determine the size of the model weight parameter and achieve the purpose of collaborative optimization of the multi-objective components of resilience, economy, and environmental protection. By dynamically adjusting the predicted power of wind power generation and deeply integrating hydrogen energy and storage systems, this architecture gives full play to the advantages of hydrogen energy in long-term standby power supply and the advantages of electric storage in short-term power regulation, and it realizes the optimal allocation of energy in time and space. The system significantly reduces the shortage rate of power supply and enhances the survivability probability of the system in extreme meteorological events at various temperature bands around the world. Simultaneously, it also performs well in terms of economy and environmental protection, ensuring the stable and efficient operation of the multi-energy complementary system.

3. Extreme Meteorological Risk Quantification and Response Mechanism

3.1. Meteorological Risk Factors

Against the backdrop of increasingly frequent and intense extreme meteorological events caused by global climate change, this paper constructs a meteorological risk factor with global universality to dynamically quantify the composite impact of multiple meteorological conditions on energy systems, and it provides a key decision-making basis for equipment failure probability assessment and collaborative optimization of multi-energy complementary systems. The meteorological risk factor is based on the characteristics of extreme events such as cold waves, high temperatures, typhoons, and sandstorms that are prone to occur in different climatic regions, such as temperate and tropical zones. It adaptively integrates basic parameters, including wind speed, temperature, and icing index, and dynamically incorporates extreme weather-specific factors such as the visibility attenuation index, humidity corrosion index, and precipitation disaster index. This comprehensive approach enables a holistic assessment of the potential threats posed by meteorological risks to multi-energy complementary systems. The meteorological risk factor ρ ( t ) is defined as follows:
ρ ( t ) = α · W ( t ) W max + β · | T ( t ) T * | Δ T max + γ · I i c e ( t ) + η v I v ( t ) + η h I h ( t ) + η r I r ( t ) + δ c o l d ζ ( t ) + δ h e a t φ ( t ) + σ · I v ( t ) · I h ( t ) · I r ( t )
where W ( t ) is the wind speed at time t (m/s) and W max is the maximum designed wind speed. T ( t ) is the temperature at time t (°C), T * is the historical average temperature of the day, Δ T max is the maximum allowable temperature change. I i c e ( t ) is the icing index at time t, which is synthesized from temperature, humidity, and wind speed. I v ( t ) is the visibility attenuation index at time t, which is obtained by the combination of solar irradiance and air pollution concentration. I h ( t ) is the humidity index at time t. I r ( t ) is the precipitation disaster index at time t, which is comprehensively obtained by precipitation, precipitation intensity, and temperature. ζ ( t ) and φ ( t ) represent the low-temperature composite factor and the high-temperature composite factor, respectively, which are comprehensively determined based on the duration of extreme temperature and the magnitude of abrupt temperature changes.
In addition, considering the nonlinear synergistic effect of visibility, humidity, and precipitation, a product term is designed to avoid risk misjudgment resulting from considering only their independent effects. α , γ , η v , η h , η r , δ c o l d , δ h e a t , and σ represent the weight coefficients, which satisfy constraint Equation (2). This factor formula integrates a variety of meteorological factors. Compared with the traditional methods that consider only a single meteorological parameter, it can more accurately reflect the system risk under complex meteorological conditions and provide a theoretical basis for enhancing the system resilience.
α + β + γ + η v + η h + η r + δ c o l d + δ h e a t + σ = 1

3.2. Impact Index of Equipment Failure Probability

The establishment of the equipment failure probability impact index aims to accurately predict the reliability of critical equipment under extreme meteorological conditions. The traditional equipment failure models are often based on a constant failure rate or static thresholds, making it difficult to capture the dynamic change in equipment performance caused by real-time meteorological effects. Therefore, the dynamic equipment failure probability formula constructed is as follows:
P f ( t ) = λ 0 · e k · ρ ( t ) + τ · t
where P f ( t ) is the failure probability, λ 0 is the failure rate, k is the weather sensitive coefficient, and τ is the aging coefficient. In contrast to the traditional static failure rate model, the meteorological risk factor is introduced into Equation (3), enabling it to reflect the cumulative impact of meteorological changes on equipment failure probability in real time, for example, in typhoons causing wind speed overrun or cold waves leading to ice at low temperature. The larger the value of ρ ( t ) , the higher the probability of failure P f ( t ) rises exponentially, which conforms to the rule in reality that extreme weather accelerates the aging and failure of equipment.

3.3. Extreme Weather Response Mechanism

The response mechanism is designed to accurately address different levels of extreme weather risks and achieve rational allocation of system resources through adjustments based on meteorological risks and system energy storage status. Different weather events exert varying degrees of influence on the system; corresponding targeted measures should be taken according to the level of risk to minimize disaster-related losses and ensure a secure power supply to critical loads. Therefore, in extreme weather conditions, the response mechanism dynamically adjusts the state of energy storage, the operation mode of the hydrogen system, and load management strategies to maintain stable system operation. The relationship between the response mechanism and the coupling model is reflected in the fact that the response mechanism provides a decision-making basis for the coupling model.
In the extreme weather response mechanism, a two-factor-driven continuous weight function is proposed. The meteorological risk and system energy storage status are used to distinguish different response levels. To avoid severe function oscillation caused by the changes of the corresponding levels, these response levels are mapped to continuous dynamic weight parameters through the S-shaped function to balance the weights in the optimization of multiple sub-objective components. The specific definition formula is as follows:
w t = 1 1 + e k ρ t ρ c + τ 1 S O C t
where k is the function slope coefficient, ρ c is the critical risk threshold, τ is the energy–risk coupling coefficient, and S O C ( t ) is the energy storage state at time t.
In order to avoid the transition sacrifice of a certain target caused by too large or too small a weight, it is necessary to constrain the weight value with upper and lower limits:
w t min w t w t max w t min > 0 w t max < 1
This mechanism, based on meteorological risk and the dynamic response of the system state of energy storage mechanism, is integrated with the coupling model, through dynamic adjustment, balancing resilience, economy, and environment protection target components. During extreme weather events, the system can automatically adapt and optimize its strategy according to variations in meteorological risk factors. This ensures a dynamic balance among multiple sub-objective components under different risk levels and significantly enhances the system’s ability to cope with extreme climate challenges.

4. Model Establishment

4.1. Photovoltaic Electron Generation Sub-Model

The photovoltaic (PV) power generation model should accurately simulate the photovoltaic process under extreme weather for the system optimization to provide accurate data for electricity generation. Since extreme weather often leads to temperature changes, it is necessary to account for the effect of temperature on photovoltaic efficiency. Therefore, the output power of photovoltaic power generation under extreme weather is
P P V ( t ) = P P V * ( t ) · θ · ( 1 κ ( T ( t ) T 0 ) )
where P P V ( t ) is the PV output power at time t, P P V * ( t ) is the rated power under reference conditions, κ is the temperature coefficient, T g ( t ) is the PV cell temperature, T 0 is the reference temperature, and θ is the solar irradiance. A temperature correction term is introduced in Equation (5), which can more accurately reflect the influence of temperature change on PV efficiency in practical operation. Under extreme meteorological conditions, such as high temperature or extremely low temperature, the effect of the temperature correction term becomes particularly significant, substantially improving the model’s accuracy in predicting photovoltaic power output.

4.2. Wind Power Generation Sub-Model

In order to provide accurate wind power output under different meteorological conditions, the fan generation electronic model used to accurately evaluate wind power output is as follows:
P w i n d ( t ) = 0 ,   v ( t ) < v i n   o r   v ( t ) > v o u t P w i n d * ( t ) · v ( t ) v i n v r v i n 3 ,   v i n v ( t ) v r P w i n d * ( t ) ,   v r < v ( t ) v o u t
where P w i n d ( t ) is the output power of the fan at time t; v i n , v r , and v o u t are the inlet wind speed, rated wind speed, and outlet wind speed of the fan; and P w i n d * ( t ) is the rated power. Equation (6) can more accurately simulate the actual output of the fan under complex meteorological conditions and provide more accurate wind power output. It takes into account the operation characteristics of the wind turbine in different wind speed ranges, especially the nonlinear output characteristics at extreme low wind speed (close to the cut wind speed) and high wind speed (close to the cut wind speed).

4.3. Hydrogen Energy System Sub-Model

The sub-model of the hydrogen energy system is established to give full play to the advantages of hydrogen energy storage and conversion and improve the resilience of the system under extreme weather. The electrolytic cell model is as follows:
m H 2 ( t ) = η e l e c t · P e l e c t ( t ) L H V H 2
where m H 2 ( t ) is the hydrogen production rate of the electrolyzer at time t; L H V H 2 is the low calorific value of hydrogen, and its value is the constant value 33.3 kWh/kgw; and η e l e c t is the efficiency of the electrolyzer. The fuel cell converts hydrogen into electricity, and its power expression P F C ( t ) is as follows:
P F C ( t ) = min ( η F C · L H V H 2 · m H 2 i n ( t ) , P F C max )
where m H 2 i n ( t ) is the mass flow of hydrogen into the fuel cell and η F C is the fuel cell efficiency. The fuel cell generates electricity by consuming hydrogen, resulting in a decrease in the state of the hydrogen storage tank. Therefore, the ratio of the hydrogen storage capacity to the maximum capacity is used to represent the state of the hydrogen storage tank, and the model is as follows:
S O C H 2 ( t ) = S O C H 2 ( t 1 ) + m H 2 ( t ) · Δ t C tank P F C ( t ) · Δ t C tank
where S O C H 2 ( t ) is the hydrogen storage state of the hydrogen storage tank at time t and C tank is the maximum hydrogen storage capacity of the hydrogen storage tank. The hydrogen energy system sub-model integrates electrolyzers, a hydrogen storage tank, and a fuel cell into a dynamic system to achieve efficient conversion and storage between electrical energy and hydrogen. In the event of a prolonged power outage caused by extreme meteorological conditions, the hydrogen energy system can use the hydrogen in the hydrogen storage tank to continuously generate electricity and provide long-term backup power for critical loads, thus significantly improving the resilience of the system.

4.4. Sub-Model of Energy Storage System

The sub-model of the energy storage system plays a critical role in the multi-energy complementary system, with its core function being to provide flexible power regulation capabilities to address power fluctuations and supply–demand imbalances under extreme weather conditions. By simulating the charging and discharging process of electrochemical energy storage, the energy storage system can effectively mitigate and suppress short-term fluctuations in wind and solar power generation, thereby ensuring system stability on a timescale ranging from minutes to hours. Furthermore, during prolonged power outages caused by extreme meteorological events, the energy storage system can supply essential backup power, significantly enhancing the system’s power supply resilience and reliability. The purpose of the energy storage system sub-model is to accurately describe the state changes of the electrochemical energy storage under different operating conditions, including charging and discharging efficiency, state of charge, and power regulation ability. The model is defined as follows:
S O C b a t t ( t ) = S O C b a t t ( t 1 ) + η c h · P c h ( t ) · Δ t E b a t t Charging   item P d i s ( t ) · Δ t η d i s · E b a t t Discharge   term
where S O C b a t t ( t ) is the state of charge of the battery at time t; η c h and η d i s are the charging efficiency and discharging efficiency, respectively; P c h ( t ) and P d i s ( t ) are the charging power and discharging power, respectively; E b a t t is the rated capacity of the battery; and Δ t is the time step. The model accounts for the impact of differences in charging and discharging efficiency on the battery state, enabling a more accurate simulation of the actual changes in the battery’s state during frequent charging and discharging cycles. The stable operation of the system can be guaranteed under extreme weather conditions, such as short-term high power demand or a sudden drop in wind and scenery output.

4.5. Dynamic Weighted Coupling Model of Multi-Energy System Driven by Meteorological Risk Perception

The dynamic weighted coupling model of a multi-energy system driven by meteorological risk perception aims to realize the comprehensive optimization of system resilience, economy, and environmental protection. The core of the model is to balance the importance of different sub-objective components through dynamic weight parameters, so as to adapt to the complex requirements under extreme meteorological conditions. Specifically, the model integrates the resilience sub-objective component, the economic sub-objective component, and the environmental sub-objective component, and it introduces the meteorological risk factor to dynamically adjust the weight parameters, so as to achieve the best trade-off of system performance under different meteorological conditions. The objective function is as follows:
min ( ( 1 w ( t ) ) · ( f cost + f carbon ) + w ( t ) · f risk )
where f risk represents the resilience sub-objective component, which amplifies the impact of power supply shortage through meteorological risk factors and prompts the system to give priority to ensuring power supply under severe weather conditions. f cost is the economic subgoal component, covering all kinds of costs of system operation; f carbon is designed to minimize environmental temperature target weight and carbon emissions and reflect an environmentally friendly system. The resilience sub-objective component emphasizes that in periods of high meteorological risk, the shortage of power supply will be amplified, thus prompting the model to give priority to ensuring power supply under severe weather conditions. The sub-objective component function is as follows:
f r i s k = t = 1 T ρ ( t ) · max ( 0 , P d e m a n d ( t ) P supply ( t ) )
The subgoal component of magnifying power supply in high-weather-risk periods ensures that under extreme conditions, such as typhoons and cold waves, the system can minimize outage time and power scope, prioritizing the guarantee of continuous power of critical load. The economic sub-objective component covers all the cost items in the multi-energy system, including wind power, photovoltaic, hydrogen energy system, power purchase from the grid, and energy storage operation and maintenance costs. Its expression is as follows:
f cost = t = 1 T ( C w i n d ( t ) + C P V ( t ) + C H 2 ( t ) + C g r i d ( t ) + C s t o r a g e ( t ) )
where each cost is calculated as follows:
C w i n d ( t ) is the unit operation and maintenance cost of wind turbine output power under extreme weather conditions; the operation and maintenance cost of wind power is
C w i n d ( t ) = c w i n d · P w i n d ( t )
C P V ( t ) is the operation and maintenance cost per unit of PV output power under extreme weather conditions; the PV operation and maintenance cost is
C P V ( t ) = c P V · P P V ( t )
The cost of the hydrogen energy system includes the hydrogen production in the electrolyzer and the power generation by the fuel cell, corresponding to the unit power cost c e l e c t . Then the cost of the hydrogen energy system is
C H 2 ( t ) = c e l e c t · P e l e c t ( t ) + c F C · P F C ( t )
C g r i d ( t ) is the electricity purchasing cost per unit power; the total cost of electricity purchased by the grid is
C g r i d ( t ) = c g r i d ( t ) · P g r i d ( t )
C s t o r a g e ( t ) is the unit power energy storage cost, the total cost for energy storage operations:
C s t o r a g e ( t ) = c b a t t ( P b a t t c h ( t ) + P b a t t d i s ( t ) )
The environmental temperature target component of the total carbon emissions is a measure; its expression is
f c a r b o n = t = 1 T ( e g r i d · P g r i d ( t ) + e g a s · P g a s ( t ) )
where e g r i d and e g a s are the carbon emission factors of grid electricity and gas turbines, respectively. By constraining the carbon emission intensity, this sub-objective promotes greater utilization of renewable energy, reduces reliance on conventional fossil-based energy, and mitigates the negative environmental impacts of system operation. The model incorporates the following constraints:
To ensure that the total power generation matches the total load demand at all times and to maintain the power balance of the system, the power balance constraint is as follows:
P w i n d ( t ) + P P V ( t ) + P g r i d ( t ) + P d i s b a t t ( t ) + P F C ( t ) + P g a s ( t ) = P l o a d ( t ) + P c h b a t t ( t ) + P e l e c t ( t )
In order to limit the carbon emission level of the system and meet the requirements of environmental protection, the carbon emission intensity is constrained:
Total   carbon   emissions Total   power   supply = t ( e g r i d · P g r i d ( t ) + e g a s · P g a s ( t ) ) t ( P w i n d ( t ) + P P V ( t ) + P g r i d ( t ) + P d i s b a t t ( t ) + P F C ( t ) + P g a s ( t ) ) 0.25
At the end of the optimization cycle, the state of the hydrogen storage system should maintain a certain proportion to prepare for post-disaster use. The recovery constraint condition is
S O C H 2 ( T ) λ S O C · S O C H 2 max
Here, λ S O C represents the hydrogen storage system state in proportion to the largest hydrogen storage state of the system.
A weather-risk-perception-driven multi-energy dynamic weighting system model is introduced into the weather risk weighting factor; in bad weather conditions, the influence of large power supply deficiency decreases, prompting the system for power supply to implement comprehensive optimization of resilience, economy, and environmental protection. In extreme weather events, the dynamic weighted coupling model of a multi-energy system driven by meteorological risk perception can balance the performance of the system between responding to disasters and daily operation, and it can provide a scientific decision-making basis for the new power system to deal with complex weather.

4.6. Solution Method Based on Artificial Fish Swarm Algorithm

For the dynamic weighted coupling model of multi-energy systems driven by meteorological risk perception, this problem involves mixed integer nonlinear programming. The complexity is mainly reflected in the following aspects: Firstly, the objective function contains the nonlinear coupling term of the dynamic weight parameter w t . Secondly, non-convex elements are embedded in the constraint conditions, such as discrete decision variables in the power balance constraint and integer boundaries in the post-disaster recovery constraint. This type of MINLP problem usually has an NP-hard characteristic. The difficulty in solving it stems from the fact that the solution space expands exponentially with the scale of the problem. Meanwhile, the non-convexity of the objective function makes traditional gradient-based optimization algorithms prone to falling into local optimal solutions. Therefore, the model needs to be solved using a heuristic algorithm.
As a meta-heuristic optimization method based on swarm intelligence, the artificial fish swarm algorithm demonstrates significant advantages in dealing with high-dimensional, non-convex, and multimodal MINLP problems. This algorithm simulates the social behaviors of fish schools, such as foraging, clustering, and rear-end collisions, and effectively avoids local optimal traps through a distributed parallel search mechanism. Its inherent collaborative search feature makes it particularly suitable for the solution requirements of collaborative optimization of multiple sub-target components in the dynamic weighted coupling model of multi-energy systems driven by meteorological risk perception.
In the artificial fish swarm algorithm, the optimization variable is encoded as the position vector of the artificial fish:
X i = P w i n d ( t ) , P P V ( t ) , S O C b a t t ( t ) , S O C H 2 ( t ) , P g r i d ( t ) , w t , ρ ( t ) ,
Here, i represents the i-th artificial fish, and its dimension is determined by the time step and system variables. The fish swarm size is initialized to N, and the initial position Xi that satisfies the constraints 18–20 within the feasible region is randomly generated. The visual range V and step size S are adaptively set according to the variable range r, and their calculation formulas are
V = 0.3 · r
S = 0.2 · r
The model objective function is the fitness function of the algorithm:
F ( X i ) = ( 1 w ( t ) ) · ( f cost + f carbon ) + w ( t ) · f risk
By minimizing the fitness value, it ensures that the algorithm takes into account resilience, economy, and environmental friendliness during the search process.
The four behaviors of artificial fish work together to drive the task optimization process. Each behavior is triggered in a probabilistic manner, with the sum of the behaviors’ probabilities being 1. The probability of each behavior is determined based on the actual situation of the problem being solved. Among the behaviors, foraging behavior is the most important behavior in the algorithm. This behavior selects a new position X i + 1 based on the gradient information of the current position. If F ( X i + 1 ) < F ( X i ) , it moves to the new position; otherwise, it reselects a position.
Gathering behavior is an important way for fish to survive. It can be used for collective foraging or to avoid natural enemies. There are two necessary conditions for clustering behavior: one is to be close to the center of the fish school, and the other is that the crowding degree of the fish school is relatively low. Therefore, in this behavior, it is necessary to search for the center position X* of the fish in the neighborhood. If the fitness of the center position is better than the current position and the congestion is lower than the threshold, then there is movement towards the center:
X i + 1 = X i + S t e p · X * X i X * X i
Fish schools search for the individual X with the best fitness within the neighborhood through tail-chasing behavior. If its fitness is better than the current position and the congestion is low, then the movement towards this individual is
X i + 1 = X i + S t e p · X X i X X i
When the above three behaviors cannot be carried out, the artificial fish will perform random actions, randomly choosing a movement direction within the entire domain. This can prevent the efficiency of the fish swarm from decreasing or becoming stuck in a local optimum, and it is more conducive to obtaining a global optimal solution.
X i + 1 = X i + Step · R
where R is a random unit vector ensuring that the fish moves in the feasible region.
The artificial fish algorithm flowchart is shown in Figure 2.

5. Case Study Analysis

5.1. Parameter Setting

In order to verify the effectiveness of the proposed model in extreme meteorological disaster scenarios, four regions in China, including Dunhuang in Gansu Province, Xilinhot in Inner Mongolia, Zhoushan in Zhejiang Province, and Lingao in Hainan Province, were selected as the empirical objects. These regions are equipped with typical landscape hydrogen storage multi-energy power generation projects, covering tropical and temperate climatic zones, and have meteorological risks such as high temperature, cold waves, and sandstorms. In order to guarantee the authenticity of the data, we used the national meteorological science data center historical meteorological data sets issued by the China Meteorological Administration, covering areas during 72 h of the observed sequence and extreme weather wind speed, temperature, relative humidity, ice index, and parameters such as atmospheric visibility.
The relevant equipment parameters were determined according to the actual configuration of related projects in each region provided by the project’s responsible company. The hydrogen system is based on a 40 MW alkaline electrolyzer and 30 MW PEM fuel cell architecture. The specific parameter values are shown in Table 1.
The artificial fish–dynamic response solution framework was adopted, and the specific process was as follows: First, data preprocessing was performed. Firstly, the 72 h meteorological time series data were substituted into the model, and the dynamic meteorological risk factors were calculated according to Equation (1). The weight coefficients were set according to the climatic conditions of different regions, and the specific parameters are shown in Table 2. Then, after the equipment failure probability was calculated according to Equation (2), the dynamic weight parameters of the dynamic weighted coupling model of a multi-energy system driven by meteorological risk perception were calculated, combined with Equation (3). Finally, the artificial fish swarm algorithm was used to solve the problem.
To optimize system performance, a sensitivity analysis was conducted on the carbon intensity constraint and the post-disaster storage constraint. The power supply shortage rate, system survival probability, total cost, carbon emissions, and hydrogen energy utilization rate were used as the performance evaluation metrics. The test data of the two constraints are shown in Table 3 and Table 4, respectively.
As can be seen from Table 3, when the threshold value was 0.25 or less, all parts had a survival probability of 94.7% or more; when the threshold was relaxed from 0.25 to 0.30, the cost decreased by about 8%, but the carbon emission increased by 23.6%, which violated the “double carbon” goal. The utilization rate of hydrogen storage was 90–92.6% at the threshold of 0.25, which avoided excessive depletion (>95% at the threshold of 0.20) and idleness (<76% at the threshold of 0.40). Therefore, threshold = 0.25 is a Pareto-optimal solution for the collaborative optimization of resilience, economy, and environmental protection.
As can be seen from Table 4, in terms of economy, there is a need to purchase additional grid power in the disaster due to the locked hydrogen energy, resulting in a 1.5–2.0% increase in cost for every 0.05 increase. This makes the system increase the hydrogen use restrictions, resulting in higher gas turbine power, thereby increasing carbon emissions, but the presence of a carbon intensity constraint keeps carbon emissions within the prescribed scope, guaranteeing a system of environmental protection. For the integrated system of disaster recovery ability, 0.30 is selected as a benchmark of λ S O C .
Considering the different weather risk influences on the resilience, economy, and environmental protection of the system, the risk of meteorological correction in Equation (23) is increased, and a new post-disaster storage constraint, Equation (31), is drawn. The constraints can be constructed on the basis of the basic value according to the meteorological risk factor for fine-tuning, economy, and environmental protection of collaborative optimization.
S O C H 2 ( T ) λ S O C * · S O C H 2 max λ S O C * = 0.30 + 0.05 · min ( 1.0 , t ρ ( t ) d t T · ρ t h r e s h o l d )
where ρ t h r e s h o l d is the critical threshold of risk.

5.2. Comparative Analysis

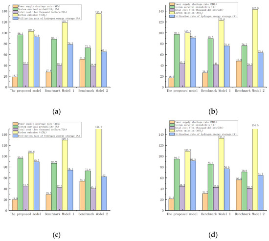
The proposed model was compared with two benchmark models using meteorological data from four different regions. The uniqueness and advantages of the proposed model were evaluated based on the test results based on five performance indicators: power supply shortage rate, system survival probability, total cost, carbon emission, and hydrogen energy utilization. Among these, the baseline model 1 is a robust optimization model, which has a certain ability to resist uncertainty, but it relies on static robust boundaries and does not dynamically correlate meteorological risks with equipment failures. Benchmark model 2 is the traditional economic dispatch model, which only optimizes cost and carbon emissions, ignoring the coupling of meteorological risk. The comparison results are shown in Figure 3.
The experimental results show that the system survival probability of the proposed model is above 94.7%, which is higher than that of the reference model, and the power shortage rate is reduced by 23.1% on average compared with the reference model, which reflects that the proposed model has stronger power supply resilience and continuous power supply ability in disasters. Specifically, the proposed model magnifies the impact of power shortage in extreme weather in real time through dynamic meteorological risk factors, and the driving system gives priority to ensure critical loads. At the same time, the meteorological risk factor accurately quantifies the impact of each meteorological factor on the system, and the long-term energy reserve of the hydrogen energy system effectively supports the power supply in a disaster and ensures the high survival probability of the system.
Because the dynamic weight parameter is proposed to realize the target adaptive trade-off, the total cost is reduced to a certain extent compared with the reference model, which focuses on the optimization of economy and environmental protection when the meteorological risk is low. When the meteorological risk increases, the model automatically strengthens the resilience target but still controls the carbon emission within the specified range through the carbon emission intensity constraint, which ensures the risk response ability of the system while reducing the impact on the ecological environment, and realizes the collaborative optimization of resilience, economy, and environmental protection. The utilization rate of hydrogen energy is also maintained at more than 90% due to the collaborative scheduling strategy during and after the disaster. By setting the post-disaster hydrogen storage constraint, it not only avoids excessive consumption of hydrogen storage, but also prevents resources from idling.
These results fully show that the meteorological risk factor proposed in this paper can accurately quantify the compound impact of extreme weather on system operation, and the dynamic weight parameter setting rule based on meteorological risk and energy storage state effectively realizes the collaborative optimization of resilience, economy, and environmental protection. Compared with the traditional economic dispatch that relies on the robust optimization of static boundaries or ignores the meteorological risk, the model has stronger adaptive ability and scientific decision-making, especially in extreme weather events, showing stronger system survival ability and recovery potential, which has good engineering application prospects and promotion value.

6. Conclusions

In order to solve the key problem of collaborative optimization of power supply resilience, economy, and environmental protection of a wind–light–storage–hydrogen multi-energy system under extreme meteorological events, a dynamic weighted coupling model of a multi-energy system driven by meteorological risk perception is innovatively proposed. Different from the limitations of existing research, this model constructs an accurate risk classification response mechanism by accurately quantifying the dynamic meteorological risk factors that fuse key meteorological elements such as wind speed, temperature, and icing index, and it truly realizes the fully adaptive dynamic adjustment of weight parameters. The results show that the toughness of the power supply is significantly improved, the shortage rate of the power supply is reduced, and the survival probability of the system is up to 97.1%. When extreme weather occurs, the shortage of power supply is reduced by 23.1% on average through the precontrol of the hydrogen storage state. Through the sensitivity analysis of carbon intensity constraints and hydrogen storage state constraints, the total cost was minimized while the stable operation of the system was ensured, and the carbon emissions were always in line with relevant regulations, which realized the collaborative optimization of toughness, economy, and environmental protection.
In summary, the study not only fills the key gap in the existing research on the collaborative strategy of power supply resilience, economy, and environmental protection in response to extreme meteorological events, but also provides an indispensable theoretical tool for energy systems with a high proportion of renewable energy to cope with climate risks with a unique collaborative optimization idea. In the future, the collaborative optimization between economy and environmental protection will be further considered on the basis of this paper and the existing research, and the total cost and carbon emissions will be reduced while the impact of extreme weather on the system is reduced.

Author Contributions

Y.Z.: project management, literature search, study design, writing—review and editing. X.Y.: literature search, figures, study design, data interpretation, writing, software, visualization, and later follow-up modification. W.L.: literature search, figures, study design, data interpretation, writing—first draft. G.X.: literature search, data collection, data analysis, writing—review and editing. Y.W.: project management, access to funds, literature search. All authors have read and agreed to the published version of the manuscript.

Funding

This research was funded by Special Project of Yunnan Province Scientists’ Studio, grant number [2021KXJGZS0103], and the APC was funded by Yunnan Provincial Science and Technology Department.

Data Availability Statement

The data presented in this study are available in this article.

Conflicts of Interest

Authors Yunjie Zhang and Yi Wang were employed by the company Power China Kunming Engineering Corporation Limited. The remaining authors declare that the research was conducted in the absence of any commercial or financial relationships that could be construed as a potential conflict of interest.

References

  1. Sánchez-Pozo, N.N.; Vanem, E.; Bloomfield, H.; Aizpurua, J.I. A probabilistic risk assessment framework for the impact assessment of extreme events on renewable power plant components. Renew. Energy 2025, 240, 122168. [Google Scholar] [CrossRef]
  2. Zhao, D.; Xia, X.; Tao, R. Optimal Configuration of Electric-Gas-Thermal Multi-Energy Storage System for Regional Integrated Energy System. Energies 2019, 12, 2586. [Google Scholar] [CrossRef]
  3. Gkek, T.; Erdin, O.; Engr, B. Coordinated stochastic power system operation between TSO, renewable sources, energy storage and hydrogen energy equipped DSO, and HSO. Sustain. Energy Technol. Assess. 2025, 73, 104143. [Google Scholar] [CrossRef]
  4. Wang, S.; Bo, R. A resilience-oriented multi-stage adaptive distribution system planning considering multiple extreme weather events. IEEE Trans. Sustain. Energy 2023, 14, 1193–1204. [Google Scholar] [CrossRef]
  5. Xu, L.; Lin, N.; Poor, H.V.; Xi, D.; Perera, A.T.D. Quantifying cascading power outages during climate extremes considering renewable energy integration. Nat. Commun. 2025, 16, 2582. [Google Scholar] [CrossRef] [PubMed]
  6. Potts, J.; Tiedmann, H.R.; Stephens, K.K.; Faust, K.M.; Castellanos, S. Enhancing power system resilience to extreme weather events: A qualitative assessment of winter storm Uri. Int. J. Disaster Risk Reduct. 2024, 103, 104309. [Google Scholar] [CrossRef]
  7. Zhao, J.; Li, F.; Zhang, Q. Impacts of renewable energy resources on the weather vulnerability of power systems. Nat. Energy 2024, 9, 1407–1414. [Google Scholar] [CrossRef]
  8. Dang, Y.; Xu, J.; Li, D. Meta Reinforcement Learning based Energy Management in Microgrids under Extreme Weather Events. In Proceedings of the 2023 4th International Conference on Advanced Electrical and Energy Systems (AEES), Shanghai, China, 1–3 December 2023. [Google Scholar] [CrossRef]
  9. Li, R. Research on Capacity Configuration and Operation Control of Multi-Energy Coordinated System of Wind, Solar, Thermal, Storage and Hydrogen. Hebei Electr. Power Technol. 2024, 43, 22–27. [Google Scholar]
  10. Li, Z.; Zhang, R.; Sun, H.; Zhang, W.; Mei, C. Renewable energy can complementary system—Transport hydrogen storage key technical review. J. Electrotech. 2021, 4, 446–462. [Google Scholar] [CrossRef]
  11. Wang, H.; Qin, B.; Hong, S.; Cai, Q.; Li, F.; Ding, T.; Li, H. Optimal planning of hybrid hydrogen and battery energy storage for resilience enhancement using bi-layer decomposition algorithm. J. Energy Storage 2025, 110, 115367. [Google Scholar] [CrossRef]
Figure 1. Architecture of multi-energy complementary system.
Figure 1. Architecture of multi-energy complementary system.
Electronics 14 03571 g001
Figure 2. Flowchart of the artificial fish swarm algorithm.
Figure 2. Flowchart of the artificial fish swarm algorithm.
Electronics 14 03571 g002
Figure 3. Visualization of the comparison results. (a) Test results in Zhoushan, Zhejiang; (b) test results in Dunhuang, Gansu; (c) test results in Xilinhot, Inner Mongolia; (d) test results in Lingao, Hainan.
Figure 3. Visualization of the comparison results. (a) Test results in Zhoushan, Zhejiang; (b) test results in Dunhuang, Gansu; (c) test results in Xilinhot, Inner Mongolia; (d) test results in Lingao, Hainan.
Electronics 14 03571 g003
Table 1. Experimental related parameters.
Table 1. Experimental related parameters.
ParameterValueParameterValue
Rated power of the fan80 MWMaximum capacity of hydrogen storage tank8000 kgH2
Entry/rated/exit wind speed3/12/25 m/sFuel cell max power30 MW
Peak photovoltaic power100 MWPower generation efficiency of fuel cells55%
Temperature coefficient−0.45%/°Ccgrid0.12 USD/kWh
Battery capacity60 MWhcelect0.03 USD/kWh
Battery charging and discharging efficiency90%cFC0.05 USD/kWh
Maximum power of the electrolytic cell40 MWegrid0.75 tCO2/MWh
Hydrogen production efficiency70%egas0.45 tCO2/MWh
Fish population size60Maximum number of iterations200
Table 2. Weight coefficients of meteorological risk factors in different regions.
Table 2. Weight coefficients of meteorological risk factors in different regions.
Regions α β γ η v η h η r δ h e a t δ c o l d σ
Dunhuang0.250.100.050.250.050.050.100.100.05
Xilinhot0.200.20.100.100.050.050.150.100.05
Zhoushan0.150.100.050.050.150.150.150.100.10
Lingao0.150.050.050.050.200.200.150.050.10
Table 3. Test results of sensitivity to carbon intensity constraint.
Table 3. Test results of sensitivity to carbon intensity constraint.
RegionsThreshold (tCO2/MWh)Power Shortage Rate (MWh)Probability of Survival (%)Total Cost (USD 10,000/72 h)Carbon Emissions (tCO2)Utilization of Hydrogen Storage (%)
Dunhuang0.2023.194.847.582.495.3
0.2516.997.143.2100.190.2
0.3013.298.340.1123.884.7
0.3510.599.038.3154.978.9
0.408.199.536.7190.272.4
Xilinhot0.2026.792.448.986.396.2
0.2519.895.644.8105.889.7
0.3015.997.441.7130.283.5
0.3512.698.339.6162.177.3
0.409.899.037.9200.570.8
Zhoushan0.2025.393.546.885.297.1
0.2518.796.342.1102.592.6
0.3015.497.839.5126.787.3
0.3512.998.537.8158.482.1
0.4010.299.136.2195.676.5
Lingao0.2028.691.249.288.796.8
0.2521.494.744.3108.991.5
0.3017.896.941.2134.585.4
0.3514.397.839.1167.379.8
0.4011.598.737.3206.773.2
Table 4. Sensitivity test results for storage constraints after a disaster.
Table 4. Sensitivity test results for storage constraints after a disaster.
Regions λ S O C
Threshold
Power Shortage Rate (MWh)Probability of Survival (%)Total Cost (USD 10,000/72 h)Carbon Emission (tCO2)Utilization of Hydrogen Storage (%)Disaster Recovery Capacity
Dunhuang0.2518.995.742.898.387.572.1%
0.3017.296.843.099.190.184.3%
0.3516.997.143.2100.190.291.6%
0.4016.097.543.8102.392.495.2%
Xilinhot0.2522.494.144.5101.286.368.9%
0.3020.695.244.7103.088.782.4%
0.3519.895.644.8105.889.790.1%
0.4018.996.145.3108.592.094.7%
Zhoushan0.2520.194.841.998.788.975.3%
0.3019.295.642.0100.590.886.2%
0.3518.796.342.1102.592.692.8%
0.4017.996.842.6105.094.596.1%
Lingao0.2523.893.244.0103.587.870.8%
0.3022.194.144.2106.290.083.5%
0.3521.494.744.3108.991.591.3%
0.4020.395.344.8112.393.695.9%
Disclaimer/Publisher’s Note: The statements, opinions and data contained in all publications are solely those of the individual author(s) and contributor(s) and not of MDPI and/or the editor(s). MDPI and/or the editor(s) disclaim responsibility for any injury to people or property resulting from any ideas, methods, instructions or products referred to in the content.

Share and Cite

MDPI and ACS Style

Zhang, Y.; Yin, X.; Li, W.; Xu, G.; Wang, Y. Research on Dynamic Weighted Coupling Model of Multi-Energy System Driven by Meteorological Risk Perception. Electronics 2025, 14, 3571. https://doi.org/10.3390/electronics14183571

AMA Style

Zhang Y, Yin X, Li W, Xu G, Wang Y. Research on Dynamic Weighted Coupling Model of Multi-Energy System Driven by Meteorological Risk Perception. Electronics. 2025; 14(18):3571. https://doi.org/10.3390/electronics14183571

Chicago/Turabian Style

Zhang, Yunjie, Xinyu Yin, Wenxi Li, Gang Xu, and Yi Wang. 2025. "Research on Dynamic Weighted Coupling Model of Multi-Energy System Driven by Meteorological Risk Perception" Electronics 14, no. 18: 3571. https://doi.org/10.3390/electronics14183571

APA Style

Zhang, Y., Yin, X., Li, W., Xu, G., & Wang, Y. (2025). Research on Dynamic Weighted Coupling Model of Multi-Energy System Driven by Meteorological Risk Perception. Electronics, 14(18), 3571. https://doi.org/10.3390/electronics14183571

Note that from the first issue of 2016, this journal uses article numbers instead of page numbers. See further details here.

Article Metrics

Back to TopTop