The Complex Interaction Between the Sense of Presence, Movement Features, and Performance in a Virtual Reality Spatial Task: A Preliminary Study
Abstract
1. Introduction
Statement of Significance
- Problem: Assessing spatial memory through virtual reality tasks.
- What is Already Known: The Radial Arm Maze (RAM) task is one of the most used performance-based tests to assess spatial abilities; studies have shown the limitations of the real-world version of the RAM and the growing use of the RAM task in virtual environments to study spatial abilities. This shift is supported by recent reviews demonstrating the value of immersive and desktop VR for assessing spatial cognition [18].
- What This Paper Adds: We propose a version of the RAM implemented in immersive VR, aiming to overcome the limitations in the literature regarding user interaction, data collection accuracy, flexibility, and immersion in existing virtual RAM applications; we investigate how participants’ sense of presence and movement features (i.e., the way they explore the RAM) correlate with the RAM task performance (i.e., number of errors).
2. Methods
2.1. VR RAM Application
2.2. Participants
2.3. Procedure
2.4. Movement Features
- We compute the speed feature by considering the magnitude (i.e., Euclidean norm) of the position’s 1st derivative.
- We compute directness, which, given a 2D trajectory of 2D points T, is defined as the ratio between A and B, where A is the distance between the 1st and last point in T, and B is the length of T [23]; that is, the more direct T is, the closer to 1 directness becomes, while the more non-straight T is, the closer to 0 directness becomes.
2.5. Analysis
- Model 1: To assess the impact of time, directness, speed, sense of presence, motion sickness, and usability on the error;
- Model 2: To assess the impact of time, error, sense of presence, motion sickness, and usability on the directness.
3. Results
3.1. Characteristics of the Sample
3.2. Correlation Among VR Variables
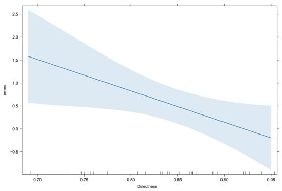
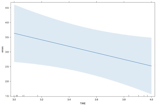
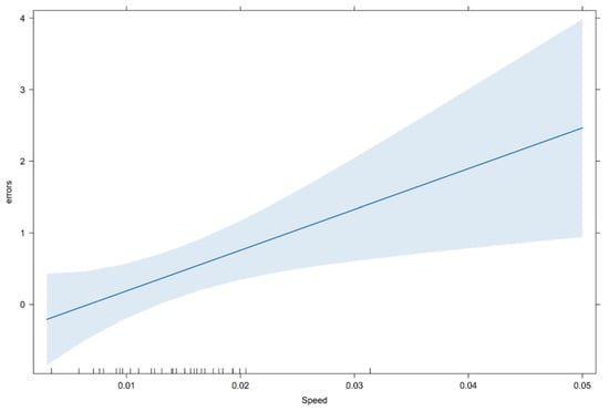
3.3. Model 1
3.3.1. Free-Choice Paradigm
3.3.2. Forced-Choice Paradigm
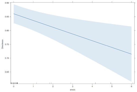
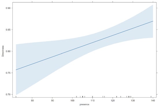
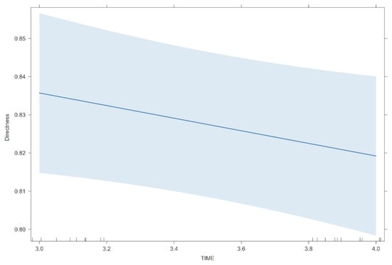
3.4. Model 2
3.4.1. Free-Choice Paradigm
3.4.2. Forced-Choice Paradigm
3.5. Mediation Effect of SoP
4. Discussion
4.1. Sense of Presence Within RAM in VR
4.2. RAM Score and Movement Within the Virtual Environment
5. Conclusions
Author Contributions
Funding
Institutional Review Board Statement
Data Availability Statement
Conflicts of Interest
References
- Gazova, I.; Vlcek, K.; Laczó, J.; Nedelska, Z.; Hyncicova, E.; Mokrisova, I.; Sheardova, K.; Hort, J. Spatial navigation—A unique window into physiological and pathological aging. Front. Aging Neurosci. 2012, 4, 16. [Google Scholar] [CrossRef]
- Giovagnoli, G.; Vicari, S.; Tomassetti, S.; Menghini, D. The role of visual-spatial abilities in dyslexia: Age differences in children’s reading? Front. Psychol. 2016, 7, 1997. [Google Scholar] [CrossRef]
- Iaria, G.; Petrides, M.; Dagher, A.; Pike, B.; Bohbot, V.D. Cognitive strategies dependent on the hippocampus and caudate nucleus in human navigation: Variability and change with practice. J. Neurosci. 2003, 23, 5945–5952. [Google Scholar] [CrossRef] [PubMed]
- Olton, D.; Samuelson, R. Remembrance of places passed: Spatial memory in rats. J. Exp. Psychol. Anim. Behav. Process. 1976, 2, 97–116. [Google Scholar] [CrossRef]
- Bertholet, L.; Escobar, M.T.; Depré, M.; Chavan, C.F.; Giuliani, F.; Gisquet-Verrier, P.; Preissmann, D.; Schenk, F. Spatial radial maze procedures and setups to dissociate local and distal relational spatial frameworks in humans. J. Neurosci. Methods 2015, 253, 126–141. [Google Scholar] [CrossRef] [PubMed]
- Glassman, R.B.; Leniek, K.M.; Haegerich, T.M. Human working memory capacity is 7±2 in a radial maze with distracting interruption: Possible implication for neural mechanisms of declarative and implicit long-term memory. Brain Res. Bull. 1998, 47, 249–256. [Google Scholar] [CrossRef] [PubMed]
- O’connor, R.C.; Glassman, R.B. Human performance with a seventeen-arm radial maze analog. Brain Res. Bull. 1993, 30, 189–191. [Google Scholar] [CrossRef]
- Lee, J.Y.; Kho, S.; Yoo, H.B.; Park, S.; Choi, J.S.; Kwon, J.S.; Cha, K.R.; Jung, H.Y. Spatial memory impairments in amnestic mild cognitive impairment in a virtual radial arm maze. Neuropsychiatr. Dis. Treat. 2014, 10, 653–660. [Google Scholar] [CrossRef]
- Levin, E.D. Psychopharmacological effects in the radial-arm maze. Neurosci. Biobehav. Rev. 1988, 12, 169–175. [Google Scholar] [CrossRef]
- Palombi, T.; Mandolesi, L.; Alivernini, F.; Chirico, A.; Lucidi, F. Application of real and virtual radial arm maze task in human. Brain Sci. 2022, 12, 468. [Google Scholar] [CrossRef]
- Rekers, S.; Finke, C. Translating spatial navigation evaluation from experimental to clinical settings: The virtual environments navigation assessment (VIENNA). Behav. Res. Methods 2024, 56, 2033–2048. [Google Scholar] [CrossRef] [PubMed]
- Patel, S.A.; Frick, K.M.; Newhouse, P.A.; Astur, R.S. Estradiol effects on spatial memory in women. Behav. Brain Res. 2022, 417, 113592. [Google Scholar] [CrossRef] [PubMed]
- García-López, H.; Obrero-Gaitán, E.; Castro-Sánchez, A.M.; Lara-Palomo, I.C.; Nieto-Escamez, F.A.; Cortés-Pérez, I. Non-immersive virtual reality to improve balance and reduce risk of falls in people diagnosed with parkinson’s disease: A systematic review. Brain Sci. 2021, 11, 1435. [Google Scholar] [CrossRef] [PubMed]
- Maneuvrier, A.; Decker, L.M.; Ceyte, H.; Fleury, P.; Renaud, P. Presence promotes performance on a virtual spatial cognition task: Impact of human factors on virtual reality assessment. Front. Virtual Real. 2020, 1, 571713. [Google Scholar] [CrossRef]
- Cooper, N.; Milella, F.; Pinto, C.; Cant, I.; White, M.; Meyer, G. The effects of substitute multisensory feedback on task performance and the sense of presence in a virtual reality environment. PLos ONE 2018, 13, e0191846. [Google Scholar] [CrossRef]
- Palombi, T.; Galli, F.; Giancamilli, F.; D’Amico, M.; Alivernini, F.; Gallo, L.; Neroni, P.; Predazzi, M.; De Pietro, G.; Lucidi, F.; et al. The role of sense of presence in expressing cognitive abilities in a virtual reality task: An initial validation study. Sci. Rep. 2023, 13, 13396. [Google Scholar] [CrossRef]
- Voinescu, A.; Petrini, K.; Stanton Fraser, D.; Lazarovicz, R.A.; Papavă, I.; Fodor, L.A.; David, D. The effectiveness of a virtual reality attention task to predict depression and anxiety in comparison with current clinical measures. Virtual Real. 2023, 27, 119–140. [Google Scholar] [CrossRef]
- Costanzo, M.G.; Smeriglio, R.; Di Nuovo, S. Virtual Reality for the assessment and treatment of cognitive impairment in the elderly: A scoping review. Life Span Disabil. 2023, 26, 293–328. [Google Scholar]
- Scheuchenpflug, R.; Ruspa, C.; Quattrocolo, S. Presence in virtual driving simulators. In Human Factors in the Age of Virtual Reality; Shaker Publishing: Maastricht, The Netherlands, 2003; pp. 143–148. [Google Scholar]
- Solimini, A.G.; Mannocci, A.; Di Thiene, D. A pilot application of a questionnaire to evaluate visually induced motion. Ital. J. Public Health 2011, 8, 197–204. [Google Scholar]
- Brooke, J. SUS-A quick and dirty usability scale. Usability Eval. Ind. 1996, 189, 4–7. [Google Scholar]
- Ajzen, I. The theory of planned behavior. Organ. Behav. Hum. Decis. Processes 1991, 50, 179–211. [Google Scholar] [CrossRef]
- Varni, G.; Mancini, M. Movement expressivity analysis: From theory to computation. In Modelling Human Motion: From Human Perception to Robot Design; Springer: Cham, Switherland, 2020; pp. 213–233. [Google Scholar]
- Beardsworth, C.E.; Whiteside, M.A.; Capstick, L.A.; Laker, P.R.; Langley, E.J.; Nathan, R.; Orchan, Y.; Toledo, S.; Van Horik, J.O.; Madden, J.R. Spatial cognitive ability is associated with transitory movement speed but not straightness during the early stages of exploration. R. Soc. Open Sci. 2021, 8, 201758. [Google Scholar] [CrossRef] [PubMed]
- Nguyen, N.D.; Tucker, M.A.; Stickgold, R.; Wamsley, E.J. Overnight sleep enhances hippocampus-dependent aspects of spatial memory. Sleep 2013, 36, 1051–1057. [Google Scholar] [CrossRef]
- Benhamou, S. How to reliably estimate the tortuosity of an animal’s path: Straightness, sinuosity, or fractal dimension? J. Theor. Biol. 2004, 229, 209–220. [Google Scholar] [CrossRef] [PubMed]
- Bae, C.; Montello, D.; Hegarty, M. Wayfinding in pairs: Comparing the planning and navigation performance of dyads and individuals in a real-world environment. Cogn. Res. Princ. Implic. 2024, 9, 40. [Google Scholar] [CrossRef]
- Selesnick, I.W.; Burrus, C.S. Generalized digital Butterworth filter design. IEEE Trans. Signal Process. 1998, 46, 1688–1694. [Google Scholar] [CrossRef]
- Dill, S.; Ahmadi, A.; Grimmer, M.; Haufe, D.; Rohr, M.; Zhao, Y.; Sharbafi, M.; Antink, C.H. Accuracy Evaluation of 3D Pose Reconstruction Algorithms Through Stereo Camera Information Fusion for Physical Exercises with MediaPipe Pose. Sensors 2024, 24, 7772. [Google Scholar] [CrossRef]
- Savitzky, A.; Golay, M.J. Smoothing and differentiation of data by simplified least squares procedures. Anal. Chem. 1964, 36, 1627–1639. [Google Scholar] [CrossRef]
- Li, L.L.; Zhang, Y.P.; Cao, G.Z.; Li, W.Z. Human-in-the-Loop Trajectory Optimization Based on sEMG Biofeedback for Lower-Limb Exoskeleton. Sensors 2024, 24, 5684. [Google Scholar] [CrossRef] [PubMed]
- Koller, M. robustlmm: An R package for robust estimation of linear mixed-effects models. J. Stat. Softw. 2016, 75, 1–24. [Google Scholar] [CrossRef]
- Cadet, L.B.; Reynaud, E.; Chainay, H. Memory for a virtual reality experience in children and adults according to image quality, emotion, and sense of presence. Virtual Real. 2022, 26, 55–75. [Google Scholar] [CrossRef] [PubMed]
- Slater, M.; Sanchez-Vives, M.V. Enhancing our lives with immersive virtual reality. Front. Robot. AI 2016, 3, 74. [Google Scholar] [CrossRef]
- Mancuso, V.; Sarcinella, E.D.; Bruni, F.; Arlati, S.; Di Santo, S.G.; Cavallo, M.; Cipresso, P.; Pedroli, E. Systematic review of memory assessment in virtual reality: Evaluating convergent and divergent validity with traditional neuropsychological measures. Front. Hum. Neurosci. 2024, 18, 1380575. [Google Scholar] [CrossRef] [PubMed]








| Pres | MS | AT | SUS | ||
|---|---|---|---|---|---|
| Pres | Pearson’s r | - | |||
| p-value | - | ||||
| MS | Pearson’s r | −0.304 | - | ||
| p-value | 0.252 | - | |||
| AT | Pearson’s r | 0.716 | −0.560 | - | |
| p-value | 0.002 ** | 0.024 * | - | ||
| SUS | Pearson’s r | 0.160 | −0.082 | −0.013 | - |
| p-value | 0.553 | 0.762 | 0.962 | - |
Disclaimer/Publisher’s Note: The statements, opinions and data contained in all publications are solely those of the individual author(s) and contributor(s) and not of MDPI and/or the editor(s). MDPI and/or the editor(s) disclaim responsibility for any injury to people or property resulting from any ideas, methods, instructions or products referred to in the content. |
© 2025 by the authors. Licensee MDPI, Basel, Switzerland. This article is an open access article distributed under the terms and conditions of the Creative Commons Attribution (CC BY) license (https://creativecommons.org/licenses/by/4.0/).
Share and Cite
Palombi, T.; Chirico, A.; Mandolesi, L.; Mancini, M.; Passarello, N.; Volta, E.; Alivernini, F.; Lucidi, F. The Complex Interaction Between the Sense of Presence, Movement Features, and Performance in a Virtual Reality Spatial Task: A Preliminary Study. Electronics 2025, 14, 3143. https://doi.org/10.3390/electronics14153143
Palombi T, Chirico A, Mandolesi L, Mancini M, Passarello N, Volta E, Alivernini F, Lucidi F. The Complex Interaction Between the Sense of Presence, Movement Features, and Performance in a Virtual Reality Spatial Task: A Preliminary Study. Electronics. 2025; 14(15):3143. https://doi.org/10.3390/electronics14153143
Chicago/Turabian StylePalombi, Tommaso, Andrea Chirico, Laura Mandolesi, Maurizio Mancini, Noemi Passarello, Erica Volta, Fabio Alivernini, and Fabio Lucidi. 2025. "The Complex Interaction Between the Sense of Presence, Movement Features, and Performance in a Virtual Reality Spatial Task: A Preliminary Study" Electronics 14, no. 15: 3143. https://doi.org/10.3390/electronics14153143
APA StylePalombi, T., Chirico, A., Mandolesi, L., Mancini, M., Passarello, N., Volta, E., Alivernini, F., & Lucidi, F. (2025). The Complex Interaction Between the Sense of Presence, Movement Features, and Performance in a Virtual Reality Spatial Task: A Preliminary Study. Electronics, 14(15), 3143. https://doi.org/10.3390/electronics14153143

