Vienna Rectifier Modeling and Harmonic Coupling Analysis Based on Harmonic State-Space
Abstract
1. Introduction
2. HSS Modeling of Vienna Rectifiers
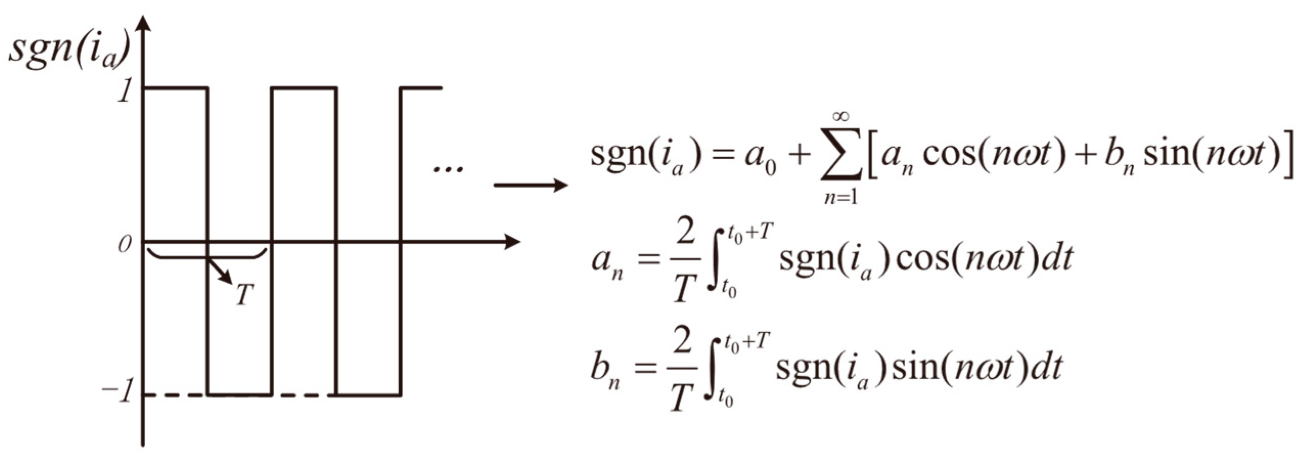
2.1. HSS Modeling of Power Circuit
2.2. Controller Modeling
2.3. HSS Model of Vienna Rectifier under Closed-Loop Control
3. Simulation and Experimental Validation
3.1. Simulation and Experimental Analysis
3.2. Harmonic Dynamic Behavior
3.3. Experimental Results
4. Discussion
5. Conclusions
Author Contributions
Funding
Data Availability Statement
Conflicts of Interest
References
- Liu, S.; Lin, F.; Fang, X.; Yang, Z.; Zhang, Z. Train Impedance Reshaping Method for Suppressing Harmonic Resonance Caused by Various Harmonic Sources in Trains-Network Systems with Auxiliary Converter of Electrical Locomotive. IEEE Access 2019, 7, 179552–179563. [Google Scholar] [CrossRef]
- Zhao, Z.; Peng, K.; Xian, R.; Zhang, X. Localization of Oscillation Source in DC Distribution Network Based on Power Spectral Density. J. Mod. Power Syst. Clean Energy 2023, 11, 156–167. [Google Scholar] [CrossRef]
- Yu, J.; Lin, X.; Song, D.; Yu, R.; Li, Y.; Su, M. Harmonic Instability and Amplification for Grid-Connected Inverter with Voltage Harmonics Compensation Considering Phase-Locked Loop. IEEE J. Emerg. Sel. Top. Power Electron. 2020, 8, 3944–3959. [Google Scholar] [CrossRef]
- Hou, C.; Zhu, M.; Li, Z.; Li, Y.; Cai, X. Inter Harmonic THD Amplification of Voltage Source Converter: Concept and Case Study. IEEE Trans. Power Electron. 2020, 35, 12651–12656. [Google Scholar] [CrossRef]
- Liu, W.; Zhang, H.; Dong, D.; Liu, W.; Ding, H. Multiharmonic Interaction and Stability Analysis of Two-Stage Double-Input Buck Inverter. IEEE J. Emerg. Sel. Top. Power Electron. 2022, 10, 648–661. [Google Scholar] [CrossRef]
- Todeschini, N.; Balasubramaniam, S.; Igic, P. Time-Domain Modeling of a Distribution System to Predict Harmonic Interaction Between PV Converters. IEEE Trans. Sustain. Energy 2019, 10, 1450–1458. [Google Scholar] [CrossRef]
- Mansouri, A.; Magri, A.; Lajouad, R.; Giri, F.; Adouairi, M.; Bossoufi, B. Nonlinear observer with reduced sensors for WECS involving Vienna rectifiers—Theoretical design and experimental evaluation. Electr. Power Syst. Res. 2023, 225, 109847. [Google Scholar] [CrossRef]
- Mansouri, A.; Magri, A.; Lajouad, R.; Giri, F. Control design and multimode power management of WECS connected to HVDC transmission line through a Vienna rectifier. Int. J. Electr. Power Energy Syst. 2024, 155, 109563. [Google Scholar] [CrossRef]
- Nabinejad, A.; Rajaei, A.; Mardaneh, M. A Systematic Approach to Extract State-Space Averaged Equations and Small-Signal Model of Partial-Power Converters. IEEE J. Emerg. Sel. Top. Power Electron. 2020, 8, 2475–2483. [Google Scholar] [CrossRef]
- Lin, F.; Liu, S.; Yang, Z.; Sun, H. Analysis of nonlinear oscillation of four-quadrant converter based on discrete describing function approach. IEICE Electron. Express 2016, 13, 2016550. [Google Scholar] [CrossRef][Green Version]
- Daryabak, M.; Filizadeh, S.; Jatskevich, J.; Davoudi, A.; Saeedifard, M.; Sood, V.K.; Martinez, J.A.; Aliprantis, D.; Cano, J.; Mehrizi-Sani, A. Modeling of LCC-HVDC Systems Using Dynamic Phasors. IEEE Trans. Power Deliv. 2014, 29, 1989–1998. [Google Scholar] [CrossRef]
- Yue, X.; Wang, X.; Blaabjerg, F. Review of Small-Signal Modeling Methods Including Frequency-Coupling Dynamics of Power Converters. IEEE Trans. Power Electron. 2018, 34, 3313–3328. [Google Scholar] [CrossRef]
- Wang, H.; Jiang, K.; Shahidehpour, M.; He, B. Reduced-Order State Space Model for Dynamic Phasors in Active Distribution Networks. IEEE Trans. Smart Grid 2020, 11, 1928–1941. [Google Scholar] [CrossRef]
- Chen, D. An improved harmonics detection method based on sliding disrete Fourier transform for three-phase grid-tie inverter system. IEICE Electron. Express 2019, 16, 20181074. [Google Scholar] [CrossRef]
- Zhu, J.; Hu, J.; Wang, S.; Wan, M. Small-Signal Modeling and Analysis of MMC Under Unbalanced Grid Conditions Based on Linear Time-Periodic (LTP) Method. IEEE Trans. Power Deliv. 2021, 36, 205–214. [Google Scholar] [CrossRef]
- Liao, Y.; Wang, X. Small-Signal Modeling of AC Power Electronic Systems: Critical Review and Unified Modeling. IEEE Open J. Power Electron. 2021, 2, 424–439. [Google Scholar] [CrossRef]
- Yang, H.; Just, H.; Eggers, M.; Dieckerhoff, S. Linear Time-Periodic Theory-Based Modeling and Stability Analysis of Voltage-Source Converters. IEEE J. Emerg. Sel. Top. Power Electron. 2021, 9, 3517–3529. [Google Scholar] [CrossRef]
- Zhang, H.; Liu, Z.; Wu, S.; Li, Z. Input Impedance Modeling and Verification of Single-Phase Voltage Source Converters Based on Harmonic Linearization. IEEE Trans. Power Electron. 2019, 34, 8544–8554. [Google Scholar] [CrossRef]
- Sun, J.; Bing, Z.; Karimi, K. Input Impedance Modeling of Multipulse Rectifiers by Harmonic Linearization. IEEE Trans. Power Electron. 2009, 24, 2812–2820. [Google Scholar] [CrossRef]
- Song, Q.; Liu, W.; Li, X.; Rao, H.; Xu, S.; Li, L. A Steady-State Analysis Method for a Modular Multilevel Converter. IEEE Trans. Power Electron. 2013, 28, 3702–3713. [Google Scholar] [CrossRef]
- Wang, K.; Wu, F.; Su, J. Harmonic State-Space Modeling and Closed-Loop Control of Single-Stage High-Frequency Isolated DC–AC Converter. IEEE Trans. Ind. Electron. 2024, 71, 4576–4585. [Google Scholar] [CrossRef]
- Kwon, J.; Wang, X.; Blaabjerg, F.; Bak, C. Frequency-Domain Modeling and Simulation of DC Power Electronic Systems Using Harmonic State Space Method. IEEE Trans. Power Electron. 2017, 32, 1044–1055. [Google Scholar] [CrossRef]
- Kwon, J.; Wang, X.; Blaabjerg, F.; Bak, C.; Sularea, V.; Busca, C. Harmonic Interaction Analysis in a Grid-Connected Converter Using Harmonic State-Space (HSS) Modeling. IEEE Trans. Power Electron. 2017, 32, 6823–6835. [Google Scholar] [CrossRef]
- Motwani, J.K.; Xue, Y.; Nazari, A.; Dong, D.; Cvetkovic, I.; Boroyevich, D. Modeling of Power Electronics Systems and PWM Modulators in Harmonic-State Space. IEEE Open J. Power Electron. 2022, 3, 689–704. [Google Scholar] [CrossRef]
- Gao, G.; Wang, X.; Zhu, T.; Liao, Y.; Tong, J. HSS Modeling and Stability Analysis of Single-Phase PFC Converters. In Proceedings of the 2022 IEEE Applied Power Electronics Conference and Exposition (APEC), Houston, TX, USA, 20–24 March 2022; pp. 1812–1819. [Google Scholar]
- Scapini, R.; Bellinaso, L.; Michels, L. Stability Analysis of AC–DC Full-Bridge Converters With Reduced DC-Link Capacitance. IEEE Trans. Power Electron. 2018, 33, 899–908. [Google Scholar] [CrossRef]
- Wang, X.; Blaabjerg, F. Harmonic Stability in Power Electronic-Based Power Systems: Concept, Modeling, and Analysis. IEEE Trans. Smart Grid 2019, 10, 2858–2870. [Google Scholar] [CrossRef]
- Kwon, J.; Wang, X.; Blaabjerg, F.; Bak, C.; Wood, A.; Watson, N. Harmonic Instability Analysis of a Single-Phase Grid-Connected Converter Using a Harmonic State-Space Modeling Method. IEEE Trans. Ind. Appl. 2016, 52, 4188–4200. [Google Scholar] [CrossRef]















Disclaimer/Publisher’s Note: The statements, opinions and data contained in all publications are solely those of the individual author(s) and contributor(s) and not of MDPI and/or the editor(s). MDPI and/or the editor(s) disclaim responsibility for any injury to people or property resulting from any ideas, methods, instructions or products referred to in the content. |
© 2024 by the authors. Licensee MDPI, Basel, Switzerland. This article is an open access article distributed under the terms and conditions of the Creative Commons Attribution (CC BY) license (https://creativecommons.org/licenses/by/4.0/).
Share and Cite
Zhu, S.; Liu, J.; Cao, Y.; Guan, B.; Du, X. Vienna Rectifier Modeling and Harmonic Coupling Analysis Based on Harmonic State-Space. Electronics 2024, 13, 1447. https://doi.org/10.3390/electronics13081447
Zhu S, Liu J, Cao Y, Guan B, Du X. Vienna Rectifier Modeling and Harmonic Coupling Analysis Based on Harmonic State-Space. Electronics. 2024; 13(8):1447. https://doi.org/10.3390/electronics13081447
Chicago/Turabian StyleZhu, Shiqi, Junliang Liu, Yuelong Cao, Bo Guan, and Xiong Du. 2024. "Vienna Rectifier Modeling and Harmonic Coupling Analysis Based on Harmonic State-Space" Electronics 13, no. 8: 1447. https://doi.org/10.3390/electronics13081447
APA StyleZhu, S., Liu, J., Cao, Y., Guan, B., & Du, X. (2024). Vienna Rectifier Modeling and Harmonic Coupling Analysis Based on Harmonic State-Space. Electronics, 13(8), 1447. https://doi.org/10.3390/electronics13081447

