Stable Throughput Analysis of Heterogeneous Hybrid FSO/RF Networks with Cognitive Radio Capability
Abstract
1. Introduction
- This study presents a cognitive hybrid FSO/RF system model and its operational scenarios consisting of cooperative and economic mode operations. In addition, a reference mode of operation is also defined to evaluate the performance of the proposed usages.
- For each operational scenario, this study conducts thorough stability analyses for two transmission strategies (i.e., SAS and SMT transmissions), and obtains the respective stable throughput. Furthermore, a hybrid SAS and SMT transmission is investigated for the cooperative mode and the stable throughput is also obtained.
- This study illustrates and compares the performance of the proposed methods through numerical evaluations. The data used in the simulation are sources from various relevant studies in the literature. The advantages of the proposed system are assessed against the reference system. The numerical results indicate that the cooperative system utilizing SMT generally outperforms the reference system, achieving an increase in stable throughput of up to 52%. However, this advantage diminishes when the SAS strategy is employed. The low-cost economic model demonstrates performance levels comparable to the reference model, particularly under conditions of low incoming traffic and when SAS is applied in clear or hazy environments.
2. System Models
2.1. Network Model
2.2. Physical Layer Model
2.3. Queue Stability
3. Stable Throughput of Reference System (REF)
3.1. Stay and Switch Mode
3.2. Simultaneous Multipacket Transmission
4. Stable Throughput of Cooperative System (COG)
4.1. Stay and Switch Mode
4.2. Simultaneous Multipacket Transmission Mode
4.3. A Hybrid Combination of SMT and SAS
5. Stable Throughput of Economic System Model
5.1. Stay and Switch Mode
5.2. Simultaneous Multipacket Transmission Mode
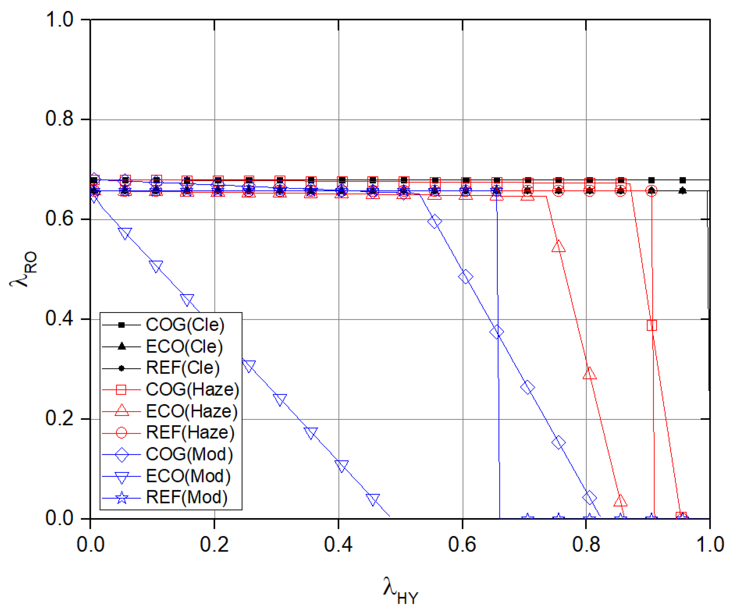
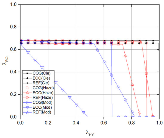
6. Numerical Results
- For clear conditions: ,
- For haze: , and
- For moderate rain: .
- For clear conditions: ,
- For haze: , and
- For moderate rain:
7. Conclusions
Author Contributions
Funding
Data Availability Statement
Conflicts of Interest
Abbreviations
| FSO | Free-space optical |
| RF | Radio frequency |
| SNR | Signal-to-noise power ratio |
| MRC | Maximum ratio combining |
| MIMO | Multi-input–multi-output |
| DF | Decode and forward |
| SISO | Single-input–single-output |
| FIFO | First-in, first-out |
| REF | Reference model |
| COG | Cooperative model |
| ECO | Economic model |
| SAS | Stay-and-switch |
| SMT | Simultaneous multipacket transmission |
| AWGN | Additive white Gaussian noise |
| SINR | Signal-to-interference-plus-noise power ratio |
| Cle | Clear air |
| Mod | Moderate rain |
Appendix A. The Rate of Successful Packet Transmission on COG
Appendix A.1. Stay and Switch Mode
Appendix A.2. Simultaneous Packet Transmission Mode
Appendix A.3. A Hybrid SMT and SAS Transmission Mode
References
- Majumdar, A.K.; Ghassemlooy, Z.; Raj, A.A.B. Principles and Applications of Free Space Optical Communications; IET Telecommunications Series; IET: London, UK, 2019. [Google Scholar]
- Shakir, W.M.R.; Mahdi, A.S. Errors rate analysis of the hybrid FSO/RF systems over foggy-weather fading-induced channel. In Proceedings of the 2019 4th Scientific International Conference Najaf (SICN), Al-Najef, Iraq, 29–30 April 2019; pp. 156–160. [Google Scholar]
- Nadeem, F.; Geiger, B.; Leitgeb, E.; Muhammad, S.S.; Loeschnig, M.; Kandus, G. Comparison of link selection algorithms for free space optics/radio frequency hybrid network. IET Commun. 2011, 5, 2751–2759. [Google Scholar] [CrossRef]
- Nath, S.; Shrivastava, S.K.; Sengar, S.; Singh, S.P. Novel architectures for efficient RF usage in hybrid FSO/RF system. In Proceedings of the 2018 IEEE International Conference on Advanced Networks and Telecommunications Systems (ANTS), Indore, India, 16–19 December 2018; pp. 1–6. [Google Scholar]
- Nath, S.; Sengar, S.; Shrivastava, S.K.; Singh, S.P. Impact of atmospheric turbulence, pointing error, and traffic pattern on the performance of cognitive hybrid FSO/RF System. IEEE Tran. Cognit. Commun. Netw. 2019, 5, 1194–1207. [Google Scholar] [CrossRef]
- Bag, B.; Das, A.; Bose, C.; Chandra, A. Improving the performance of a DF relay-aided FSO system with an additional source–relay mmWave RF backup. J. Opt. Commun. Netw. 2020, 12, 390–402. [Google Scholar] [CrossRef]
- Sharma, S.; Madhukumar, A.S.; Ramabadran, S. Performance of dual-hop hybrid FSO/RF system with pointing errors optimization. In Proceedings of the 2020 IEEE 91st Vehicular Technology Conference (VTC2020-Spring), Antwerp, Belgium, 25–28 May 2020; pp. 1–5. [Google Scholar]
- Sharma, S.; Madhukumar, A.S.; Swaminathan, R. Switching-based hybrid FSO/RF transmission for DF relaying system. In Proceedings of the 2018 IEEE Wireless Communications and Networking Conference (WCNC), Barcelona, Spain, 15–18 April 2018; pp. 1–6. [Google Scholar]
- Sharma, S.; Madhukumar, A.S.; Swaminathan, R. Switching-based cooperative decode-and-forward relaying for hybrid FSO/RF networks. J. Opt. Commun. Netw. 2019, 11, 267–281. [Google Scholar] [CrossRef]
- Sharma, S.; Madhukumar, A.S.; Swaminathan, R. Effect of pointing errors on the performance of hybrid FSO/RF networks. IEEE Access 2019, 7, 131418–131434. [Google Scholar] [CrossRef]
- Sharma, S.; Madhukumar, A.; Swaminathan, R. MIMO hybrid FSO/RF system over generalized fading channels. IEEE Trans. Veh. Technol. 2021, 70, 11565–11581. [Google Scholar] [CrossRef]
- Shakir, W.M.R. Pysical layer security performance analysis of hybrid FSO/RF communication system. IEEE Access 2021, 9, 18948–18961. [Google Scholar] [CrossRef]
- Shakir, W.M.R. Performance analysis of the hybrid MMW RF/FSO transmission system. Wireless Per. Commun. 2019, 109, 2199–2211. [Google Scholar] [CrossRef]
- Huang, L.; Liu, S.; Dai, P.; Li, M.; Chang, G.; Shi, Y.; Chen, X. Unified performance analysis of hybrid FSO/RF system with diversity combining. J. Light. Technol. 2020, 38, 6788–6800. [Google Scholar] [CrossRef]
- Shah, S.; Siddharth, M.; Vishwakarma, N.; Swaminathan, R.; Madhukumar, A.S. Adaptive-combining-based hybrid FSO/RF satellite communication with and without HAPS. IEEE Access 2021, 9, 81492–81511. [Google Scholar] [CrossRef]
- Tokgoz, S.C.; Althunibat, S.; Miller, S.L.; Qaraqe, K.A. Outage analysis of relay-based dual-hop hybrid FSO-mmWave systems. IEEE Access 2022, 10, 2895–2907. [Google Scholar] [CrossRef]
- Vishwakarma, N.; Swaminathan, R. On the capacity performance of hybrid FSO/RF system with adaptive combining over generalized distributions. IEEE Photon. J. 2022, 14, 1–12. [Google Scholar] [CrossRef]
- Rakia, T.; Yang, H.; Alouini, M.; Gebali, F. Outage analysis of practical FSO/RF hybrid system with adaptive combining. IEEE Commun. Lett. 2015, 19, 1366–1369. [Google Scholar] [CrossRef]
- Yahia, O.B.; Erdogan, E.; Kurt, G.K.; Altunbas, I.; Yanikomeroglu, H. A weather-dependent hybrid RF/FSO satellite communication for improved power efficiency. IEEE Wirel. Commun. Lett. 2022, 11, 573–577. [Google Scholar] [CrossRef]
- Siddharth, M.; Shah, S.; Vishwakarma, N.; Swaminathan, R. Performance analysis of adaptive combiningbased hybrid FSO/RF terrestrialcommunication. IET Commun. 2021, 14, 4057–4068. [Google Scholar] [CrossRef]
- Al-Eryani, Y.F.; Salhab, A.M.; Zummo, S.A.; Alouini, M. Protocol design and performance analysis of multiuser mixed RF and hybrid FSO/RF relaying with buffers. J. Opt. Commun. Netw. 2018, 10, 309–321. [Google Scholar] [CrossRef]
- Najafi, M.; Jamali, V.; Schober, R. Optimal relay selection for the parallel hybrid RF/FSO relay channel: Non-buffer-aided and buffer-aided designs. IEEE Trans. Commun. 2017, 65, 2794–2810. [Google Scholar] [CrossRef]
- Rakia, T.; Gebali, F.; Yang, H.; Alouini, M. Cross layer analysis of P2MP hybrid FSO/RF network. J. Opt. Commun. Netw. 2017, 9, 234–243. [Google Scholar] [CrossRef]
- Yang, J.; Ran, Q.; Ma, J. Queuing delay analysis for wavelength routing optical satellite networks over dual-layer constellation. Photon. J. 2024, 16, 1–8. [Google Scholar] [CrossRef]
- Hammouda, M.; Akın, S.; Vegni, A.M.; Haas, H.; Peissig, J. Link selection in hybrid RF/VLC systems Under statistical queueing constraints. IEEE Trans. Wireless Commun. 2018, 17, 2738–2754. [Google Scholar] [CrossRef]
- Alorainy, A.; Hossain, M.J. Cross-Layer performance analysis of downlink multi-flow carrier aggregation in heterogeneous networks. IEEE Access 2019, 7, 23303–23318. [Google Scholar] [CrossRef]
- Rao, R.R.; Ephremides, A. On the stability of interacting queues in a multiple-access system. IEEE Trans. Inf. Theory 1988, 34, 918–930. [Google Scholar] [CrossRef]
- Gross, D.; Harris, C.M. Fundametals of Queueing Theory; Wiley: Hoboken, NJ, USA, 1998. [Google Scholar]
- Balbo, G.; Viglotti, M.G. On the analysis of a M/M/1 queue with bulk services. Computer J. 2015, 58, 57–74. [Google Scholar] [CrossRef]
- Loynes, R.M. The stability of a queue with non-independent inter-arrival and service times. Math. Proc. Cambridge Phil. Soc. 1962, 58, 497–520. [Google Scholar] [CrossRef]
- Andrews, L.C.; Phillips, R.L. Laser Beam Propagation Through Random Media, 2nd ed.; SPIE: Washington, DC, USA, 2005. [Google Scholar]
- Uysal, M.; Li, J.; Yu, M. Error rate performance analysis of coded free-space optical links over gamma-gamma atmospheric turbulence channels. IEEE Trans. Wireless Commun. 2006, 5, 1229–1233. [Google Scholar] [CrossRef]
- Niu, M.; Cheng, J.; Holzman, J.F. Error rate analysis of M-ary coherent free-space optical communication systems with K-distributed turbulence. IEEE Trans. Commun. 2011, 59, 664–668. [Google Scholar] [CrossRef]
- Niu, M.; Cheng, J.; Holzman, J.F. Error rate performance comparison of coherent and subcarrier intensity modulated optical wireless communications. J. Opt. Commun. Netw. 2013, 5, 554–564. [Google Scholar] [CrossRef]
- Farid, A.A.; Hranilovic, S. Outage capacity optimization for free-space optical links with pointing errors. J. Lightwave Technol. 2007, 25, 1702–1710. [Google Scholar] [CrossRef]
- Chatzidiamantis, N.D.; Karagiannidis, G.K.; Kriezis, E.E.; Matthaiou, M. Diversity combining in hybrid RF/FSO systems with PSK modulation. In Proceedings of the 2011 IEEE International Conference on Communications (ICC), Kyoto, Japan, 5–9 June 2011. [Google Scholar]









| FSO Parameter | Symbol | Value |
|---|---|---|
| Wavelength | 1550 nm | |
| Photo detector diameter | D | 0.2 m |
| Transmit power | 20 dBm | |
| Responsivity | 0.5 | |
| Noise variance | ||
| Clear air | ||
| 0.43 dB/Km | ||
| Haze | ||
| 4.2 dB/Km | ||
| Moderate rain | ||
| 5.8 dB/Km |
| RF Parameter | Symbol | Value |
|---|---|---|
| Antenna type | - | omnidirectional |
| Carrier frequency | 60 GHz | |
| Bandwidth | W | 250 MHz |
| Transmit power | 15 dBm | |
| Transmit antenna gain | 43 dBi | |
| Receive antenna gain | 43 dBi | |
| Noise variance | −91 dBm | |
| Receiver noise figure | 5 dB | |
| Oxygen attenuation | 15.1 dB/Km |
Disclaimer/Publisher’s Note: The statements, opinions and data contained in all publications are solely those of the individual author(s) and contributor(s) and not of MDPI and/or the editor(s). MDPI and/or the editor(s) disclaim responsibility for any injury to people or property resulting from any ideas, methods, instructions or products referred to in the content. |
© 2024 by the authors. Licensee MDPI, Basel, Switzerland. This article is an open access article distributed under the terms and conditions of the Creative Commons Attribution (CC BY) license (https://creativecommons.org/licenses/by/4.0/).
Share and Cite
Choi, Y.; Kim, D. Stable Throughput Analysis of Heterogeneous Hybrid FSO/RF Networks with Cognitive Radio Capability. Electronics 2024, 13, 5059. https://doi.org/10.3390/electronics13245059
Choi Y, Kim D. Stable Throughput Analysis of Heterogeneous Hybrid FSO/RF Networks with Cognitive Radio Capability. Electronics. 2024; 13(24):5059. https://doi.org/10.3390/electronics13245059
Chicago/Turabian StyleChoi, Yunsung, and Dongwoo Kim. 2024. "Stable Throughput Analysis of Heterogeneous Hybrid FSO/RF Networks with Cognitive Radio Capability" Electronics 13, no. 24: 5059. https://doi.org/10.3390/electronics13245059
APA StyleChoi, Y., & Kim, D. (2024). Stable Throughput Analysis of Heterogeneous Hybrid FSO/RF Networks with Cognitive Radio Capability. Electronics, 13(24), 5059. https://doi.org/10.3390/electronics13245059

