Next Article in Journal
Overview of AI-Models and Tools in Embedded IIoT Applications
Next Article in Special Issue
5G Reconfigurable Intelligent Surface TDOA Localization Algorithm
Previous Article in Journal
Generative Model for Dual-Band Filters Based on Modified Complementary Split-Ring Resonators
 
 
Font Type:
Arial Georgia Verdana
Font Size:
Aa Aa Aa
Line Spacing:
Column Width:
Background:
Article

A Joint Optimization Algorithm for UAV Location and Offloading Decision Based on Wireless Power Supply

1
Jiangsu Key Laboratory of Wireless Communications, Nanjing University of Posts and Telecommunications, Nanjing 210003, China
2
Engineering Research Center of Health Service System Based on Ubiquitous Wireless Networks, Nanjing University of Posts and Telecommunications, Ministry of Education, Nanjing 210003, China
*
Author to whom correspondence should be addressed.
Electronics 2024, 13(12), 2320; https://doi.org/10.3390/electronics13122320
Submission received: 1 May 2024 / Revised: 29 May 2024 / Accepted: 2 June 2024 / Published: 13 June 2024

Abstract

In this paper, a joint optimization algorithm of offloading decision, energy harvesting time, and unmanned aerial vehicle (UAV) location is proposed for user equipment (UEs)’s task completion latency problem in a communication–sensing–computing integration scenario with wireless energy supply. Under the constraints of causality of energy harvesting consumption by the UEs and conditional mutual information, the total latency minimization problem of the UEs is established. Firstly, the optimization variables of the problem are transformed from three variables of offloading decision, energy harvesting time, and UAV location to two variables of offloading decision and UAV location by means of the derived closed expression, and then the transformed optimization problem is decomposed into the offloading decision optimization sub-problem and the UAV location optimization sub-problem to be solved alternately and iteratively. The genetic algorithm is employed to tackle the optimization sub-problem of offloading decisions, and the successive convex approximation algorithm is applied to the drone positioning optimization sub-problem. Simulation results show that the proposed algorithm in this paper reduces the average task completion latency by 35 percent and 15 percent, respectively, compared to the two baseline algorithms for different numbers of UEs.

1. Introduction

Following the evolution of the Internet of Things (IoT) and smart devices, a variety of IoT applications and services continue to emerge, such as automated driving, virtual reality, etc., which facilitate people’s lives, but these applications generally require a large amount of computational resources or are more sensitive to latency, which conflicts with the user equipment (UEs)’s weak computational capacities and limited power [1]. Mobile edge computing (MEC) utilizes edge servers arranged at the edge of the radio access network to provide computational resources to UEs, which can offload tasks to the edge servers over the wireless communication network to improve the computational experience and reduce the total latency.
Wireless energy harvesting (WEH) is an effective way to solve the energy shortage problem by providing sustainable and cost-effective energy supply to low-power UEs through radio frequency signals [2]. In [3], the authors combine the incentive problem and the task offloading problem in wireless energy-supply MEC networks to study the utility of WEH from the perspective of energy saving and propose an effective wireless-powered task offloading and incentive mechanism, which takes into account the total cost of WEH and the energy-saving effect of batteries. In [4], the authors discuss a point-to-point MEC system in which UEs obtain energy from an access point, and the author presents the expression for the probability of successful computation and the number of bits based on a non-linear energy harvesting model. In [5], the authors consider a time-slotted wireless energy supply MEC system with task and energy queuing dynamics, investigate the long-term performance of the system with time-varying fading channels as well as random arrival of tasks and energies, and propose a Lyapunov optimization-based algorithm to maximize the system throughput. In [6], authors consider the problem of maximizing the minimum energy efficiency in a two-user wireless energy supply MEC system in order to ensure user fairness and propose a user collaboration scheme for the “double near and far” problem. In [7], the authors study a multi-user wireless-powered MEC system, where the base station serves as a device for wireless power supply and computing services. It jointly optimizes the base station’s transmission power and the users’ offloading data volumes and transmission powers to maximize data utility while minimizing the energy consumption of the operator. References [3,4,5,6,7] only consider the case of a terrestrial base station as an edge node. In this paper, we consider an integrated sensing–communication–computing (ISCC) scenario with unmanned aerial vehicle (UAV)-assisted computing and wireless energy supply. UAV as an edge node can be more flexible to provide services to users, and integrated sensing and communication (ISAC) can sufficiently improve spectrum utilization.
UAVs can serve as base stations or relays to enhance the performance of communication systems. Unlike fixed-location base stations, UAVs can utilize their mobility to approach the UEs and establish line-of-sight links and superior communication channels. Deploying edge computing-enabled UAVs to IoT not only saves the cost of physical infrastructure but also provides computational resources on demand [8]. In [9], the authors propose an intelligent charging and discharging scheme in a MEC network supporting WEH, establish a joint multi-task charging and discharging scheduling problem, and propose an improved greedy algorithm to minimize the quality of service for all users by optimizing user decision, user connection, energy harvesting, and computational resource allocation of UAVs. In [10], the authors investigate an edge learning system with wireless energy harvesting and propose two algorithms. These algorithms optimize variables such as the transmission power of IoT devices and the trajectory of UAVs to maximize the system’s F-measure. In [11], the authors consider a UAV-enabled MEC system in which UAVs charge users using WEH techniques and propose an alternative algorithm that minimizes the total energy consumption of the UAV by optimizing variables such as user connections, wireless power supply timing, and the order of user service. In [12], the authors study a novel UAV-powered MEC network and propose two iterative algorithms under conditions such as UAV speed constraints. These algorithms jointly optimize computation frequency, node reflectivity coefficients, transmission power, and UAV trajectory to maximize the number of computed bits under partial and binary offloading modes. In [13], the authors consider a UAV-assisted wireless-powered MEC system where the UAV provides energy supply and computational services to users. An iterative algorithm is proposed that minimizes the UAV’s total energy consumption by optimizing the processor frequency, offloading data volume, and UAV flight trajectory. In [14], the authors study multi-antenna UAV-assisted mobile edge computing networks, considering channel uncertainty and using successive convex approximation (SCA)-based algorithms to rationally allocate resources and minimize energy consumption. In [15], the authors propose an algorithm based on the Lyapunov optimization theory, the Lagrangian duality theory, alternating optimization, and SCA to minimize the user’s latency by considering the cooperation between the UAVs and the central cloud in the wireless-powered MEC network. In [16], the authors investigate UAV-assisted wireless networks using intelligent reflective surfaces for wireless access and propose an SCA-based algorithm to maximize the user rate. In [17], the authors propose a two-stage fusion scheme for decision making in a UAV-assisted cooperative cognitive radio network, considering non-orthogonal multiple access scheme communication, and investigate the effects of fading parameters, UAV trajectory radius, and UAV speed on throughput. In [18], the authors investigate the path planning problem of multiple UAVs in IoT scenarios and propose a multi-agent reinforcement learning method to obtain a near-optimal UAV control policy in the presence of challenging wireless channel characteristics. References [9,10,11,12,13,14,15,16,17,18] address computational offloading in UAV-assisted wireless-powered edge computing scenarios, but none of them consider users communicating using communication sensing integration signals, i.e., they do not incorporate sensing into edge computing.
Future sixth-generation wireless communication networks will evolve into a multifunctional network that supports both end-to-end data transmission and intelligent applications with high-precision sensing and low-latency computation characteristics, and thus there is a strong interest in exploring integrated networks for sensing, communication, and computation [19]. In ISCC networks, joint resource scheduling is a key factor in improving sensing, communication, and computation. In [20], the authors explore an energy-saving MEC system assisted by ISAC, utilizing intelligent reflecting surfaces to enhance sensing and edge computing performance. They propose an effective algorithm that minimizes the total energy consumption of users while ensuring the radar estimation information rate and computational latency. In [21], the authors present a unified framework for communication, sensing, and computing, establishing a multi-objective optimization problem. They propose two beamforming design algorithms that optimize the system resources in wireless networks, maximizing system performance while minimizing total transmission power. In [22], the authors develop an integrated architecture for communication, radar sensing, and edge computing, in which the UEs simultaneously sense and compute offloads on the same spectrum by means of multiple-input, multiple-output arrays and bi-functional radar communication techniques, and propose an iterative optimization algorithm that jointly optimizes the individual transmit precoding and computational resources of both radar and communication to improve the performance of communication and sensing. In [23], authors combine MEC with ISAC to construct an implementation framework for ISCC and propose an iterative matching algorithm that explores the coordination gains of sensing, communication, and computation by optimizing UEs connectivity and sub-channel allocation. In [24], the authors propose a joint communication, sensing, and multilayer computation framework assisted by non-orthogonal multiple access, which considers a multifunctional base station to sense the target while providing edge computation services to the user and maximizes the computation rate by optimizing the base station’s transmitting beamformer as well as computational resource allocation to the base station and the cloud server. In [25], the authors investigate a joint sensing, communication, and computation framework in UAV-assisted systems and propose an algorithm based on generalized Dinkelbach and SCA that maximizes the minimum computational efficiency of the user. References [20,21,22,23,24,25] consider UAV-assisted joint communication, sensing, and computing scenarios but do not consider the user’s access to energy using wireless energy supply technologies.
The above literature only unilaterally considers MEC scenarios with wireless energy supply or ISCC scenarios without wireless energy supply. This paper introduces WEH technology in ISCC systems, considers energy transmitters (ETs) as energy supply sources, UAVs and a base station as edge devices to provide computing services for the UEs, and the UEs use communication sensing integration signals to sense the surrounding environment while sending offloading data. For the purpose of minimizing the total latency of the UEs to complete the task, a joint optimization algorithm for the UE WEH time, offloading decision, and UAV location is proposed. The detailed contributions are summarized as follows:
(1)
We study the UAV-assisted wireless energy supply ISCC scenario, considering the UAV and the base station as the edge nodes to provide computing services for the UEs. The UEs’ task adopts the binary offloading mode, and the UEs obtain the energy required for their work through WEH technology, offload the task data to the edge node using the communication sensing integration signal, and sense the surrounding environment objects using the integrated signal echo. Under the constraints of causality of energy collected and consumed by the UEs, conditional mutual information (MI), and UAV location, the problem of minimizing the total latency of the UEs task completion is established.
(2)
The problem established is a mixed-integer nonlinear programming problem. In our paper, we first use the derived closed expressions to transform the original problem on three variables, namely WEH time, offloading decision, and UAV location, into an optimization problem on two variables, namely offloading decision and UAV location, which is further decomposed into an offloading decision optimization sub-problem and a UAV location optimization sub-problem, which is finally solved using an alternating iteration approach.
(3)
The offloading decision optimization sub-problem is solved using an offloading decision optimization algorithm based on genetic algorithm (GA), and the UAV location optimization sub-problem is solved using a UAV location optimization algorithm based on Kmeans++ algorithm and SCA algorithm. Simulation results show that the proposed algorithm in this paper reduces the average task completion latency by 35 percent and 15 percent, respectively, compared to the two baseline algorithms for different numbers of UEs.
For better readability of the paper, all the acronyms in this paper are summarized in Table 1.

2. System Model

The system model of this paper is shown in Figure 1, which includes 1 base station, N UAVs, M UEs and K ETs. The set of the UAVs is symbolized by N = { 1 , 2 , , N } , the set of the UEs is symbolized by M = { 1 , 2 , , M } , and the set of the ETs is symbolized by K = { 1 , 2 , , K } . The UEs are not equipped with a battery, so firstly, they need to use WEH technology to collect energy from the wireless energy supply signal emitted by the ETs and use the collected energy for local computation or transmit an integrated signal to compute offloading and sense the surrounding environment. The base station and the UAVs are equipped with edge servers that can help the UEs process the task after they receive task offloading. The UEs communicate, sense, and harvest energy using orthogonal frequency division multiple access, i.e., there is no interference between the UEs.
Each UE has a task to be processed. The task of UE m is denoted using the tuple < I m , D m > . I m denotes the amount of task data generated by UE m , and the unit of I m is b i t . D m denotes the task computational intensity of UE m , i.e., how many cycles of the processor need to run to compute 1 b i t of data, and the unit of D m is c y c l e / b i t . The location of UE m is denoted as L m = { x m , y m , 0 } . The hovering location of UAV n is denoted as L n U A V = { x n U A V , y n U A V , H } . For greater clarity in the analysis that follows, the notation used in the paper is displayed in Table 2.

2.1. WEH Model

In this paper, the energy harvesting model of reference [13] is used, which is a linear model. The energy captured by UE m is expressed as
E m c h a r g e = η m t m c h a r g e k K ( α k , m E T h k , m E T P k E T )
where η m denotes the energy conversion efficiency of UE m , t m c h a r g e denotes the duration of WEH by UE m , h k , m E T denotes the channel gain between UE m and ET k , P k E T denotes the transmit power of ET k , and α k , m E T denotes whether or not UE m harvests the energy emitted by ET k , i.e., when UE m harvests the energy emitted by ET k , α k , m E T = 1 , and conversely, α k , m E T = 0 . In this paper, we consider that the UEs harvest energy emitted by the ET that is closest to them.

2.2. Communication Model

In this paper, the binary offloading mode is considered, where the UEs can choose to send the offloaded data to the UAV or the base station for processing via the uplink communication link, or it can choose to process it locally. β m , n U A V denotes whether or not UE m offloads data to UAV n , i.e., when UE m offloads data to UAV n with β m , n U A V = 1 , and vice versa, β m , n U A V = 0 . β m B S denotes whether or not UE m offloads data to the base station. When n N β m , n U A V + β m B S = 0 , UE m locally processes the task. The information transfer rate between UE m and UAV n is expressed as
R m , n U A V = B log 2 ( 1 + P m h m , n U A V σ 2 )
where B denotes the bandwidth of UEs, P m denotes the transmit power of UE m , h m , n U A V = ξ 0 d m , n 2 denotes the channel gain between UE m and UAV n , d m , n denotes the distance between UE m and UAV n , ξ 0 denotes the reference channel gain when d m , n = 1 , σ 2 = N 0 B denotes the additive Gaussian white noise power, N 0 denotes the additive Gaussian white noise power spectral density, and a line-of-sight wireless channel model is used for the channel modeling between the UAVs and the UEs.
The information transfer rate between UE m and the base station is expressed as
R m B S = B log 2 ( 1 + P m h m B S σ 2 )
where h m B S = τ m d m 3 ( c 4 π f c ) 2 denotes the channel gain between UE m and the base station, τ m denotes the independent random channel fading factor obeying a Rayleigh distribution with scale parameter κ , d m denotes the distance between UE m and the base station, c denotes the speed of light, and f c denotes the center frequency of the carrier.
The data transfer time between UE m and UAV n is expressed as [9]
t m . n U t r = β m , n U A V I m R m , n U A V
The data transmission time between UE m and the base station is denoted as
t m B t r = β m B S I m R m B S
The data transfer time of UE m is denoted as
t m t r = n N t m . n U t r + t m B t r
The energy consumption of UE m offloading data is represented as
E m o f f = n N P m t m , n U t r + P m t m B t r

2.3. Computation Model

In this paper, it is assumed that the base station and the UAVs distribute their computational resources equally to the UEs with which they establish connections. Therefore, when UE m offloads a task to UAV n , the time used by UAV n to compute UE m ’ task is denoted as
t m , n U c o m = β m , n U A V I m D m F n U A V / m M β m , n U A V
where F n U A V denotes the computational capacity of UAV n .
When UE m offloads the task to the base station, the time used by the base station to compute UE m ’ task is denoted as
t m B c o m = β m B S I m D m F B S / m M β m B S
where F B S denotes the computational capacity of the base station.
The computation time of the data offloaded by UE m is expressed as
t m O c o m = n N t m , n U c o m + t m B c o m
When UE m processes the task locally, the local computation time of UE m is denoted as
t m L c o m = ( 1 n N β m , n U A V + β m B S ) I m D m f m
where f m denotes the computational capacity of UE m .
The energy consumption of local computation for UE m is denoted as [8]
E m L c o m = λ m ( 1 n N β m , n U A V + β m B S ) I m D m f m 2
where λ m denotes the effective capacitance factor of UE m , which is related to the structure of the processor chip.

2.4. Sensing Model

The UEs equipped with ISAC signal transmitters use integrated signals to offload data to the UAV or the base station and, at the same time, use the signal echoes to analyze the surrounding environmental objects. In this paper, conditional MI of the integrated signal echo and channel impulse response is used to evaluate the UEs’ sensing performance, and the channel impulse response is the channel impulse response between the UEs and the random sensing targets. The conditional MI obtained by UE m when communicating with UAV n is denoted as [26]
M I m , n U A V = 1 2 t m . n U t r B log 2 ( 1 + Γ m , s e n )
where Γ m , s e n = P m T s | Q m | 2 N 0 denotes the radar signal to interference plus noise ratio of UE m , T s denotes the symbol period of the orthogonal frequency division multiplexing integration signal, and Q m denotes the Fourier transform of the channel impulse response for UE m , which is associated with the antenna and radar related parameters as well as the channel gain of the transmitting and receiving process.
The conditional MI obtained when UE m communicates with the base station is denoted as
M I m B S = 1 2 t m B t r B log 2 ( 1 + Γ m , s e n )
The conditional MI obtained by UE m is denoted as
M I m = n N M I m , n U A V + M I m B S

2.5. Optimization Problem

The total latency of UEs to complete the task in the computational offloading scenario has a great impact on the UEs’ experience, so in this paper, the UEs’ total latency is taken as the optimization objective, including the WEH time, the data transmission latency, and the computation latency, and the total task processing latency of UE m is denoted as
t m t a s k = t m c h a r g e + t m O c o m + t m t r + t m L c o m
Considering the constraints of UEs’ energy consumption and conditional MI, a problem is established to minimize total UE latency, which is expressed as
P 1 : min β , t c h a r g e , L U A V m M t m t a s k s . t . C 1 :   E m E m c h a r g e ,   m M C 2 :   M I m ( n N β m , n U A V + β m B S ) M I min ,   m M C 3 :   n N β m , n U A V + β m B S 1 ,   m M C 4 :   β m , n U A V , β m B S { 0 , 1 } , m M , n N C 5 :   x n U A V [ 0 , x max ] , y n U A V [ 0 ,   y max ] ,   n N
where E m = E m o f f + E m L c o m denotes the energy consumption of UE m , M I min denotes the minimum conditional MI requirement of UE m , x max and y max denote the maximum value of the UAV x -axis and y -axis coordinates, respectively, β = { β m , n U A V , β m B S | m M , n N } denotes the set of the UEs’ offloading decision variables, t c h a r g e = { t m c h a r g e | m M } denotes the set of the UEs’ WEH time variables, and L U A V = { L n U A V | n N } denotes the set of the UAVs’ hovering location variables. Constraint C1 indicates that the energy consumed by the UEs should be less than the energy captured. Constraint C2 indicates that the conditional MI obtained during the offloading computation of the UEs should be greater than the minimum value. Constraints C3 and C4 indicate that the UEs have three types of task computation: Local computation, UAV computation, and base station computation, and that a UE can only offload the data to a single UAV. Constraint C5 indicates that the UAVs can only hover within a fixed range.

3. Joint Optimization Algorithm for WEH Time, Offloading Decision and UAV Location Results

As a mixed-integer nonlinear programming problem, P 1 is not a convex optimization problem, which is complicated to solve directly. When the offloading decision variable β and the UAV location variable L U A V are determined, problem P 1 is transformed into a linear programming problem with respect to variable t c h a r g e . The closed expression for variable t c h a r g e with respect to β and L U A V can be derived mathematically as follows.
From constraint C1, it can be seen that the minimum value of the WEH time of UE m is t m . min c h a r g e = E m η m k K ( α k , m E T h k , m E T P k E T ) . Also, since the objective function of problem P 1 is monotonically increasing with respect to variable t m c h a r g e , the optimal value of the WEH time of UE m is the minimum value, i.e., t m c h a r g e   = E m η m k K ( α k , m E T h k , m E T P k E T ) . After substituting the closed expression of variable t c h a r g e with respect to β and L U A V into problem P 1 , the problem P 1 can be transformed into problem P 2 .
P 2 : min β , L U A V m M ( E m η m k K ( α k , m E T h k , m E T P k E T ) + t m t a s k ) s . t . C 2 , C 3 , C 4 , C 5
The problem P 2 remains a non-convex optimization problem, which is decomposed into the UE offloading decision optimization sub-problem and the UAV location optimization sub-problem and solved by alternating iterations as follows.

3.1. Offloading Decision Optimization

When the UAV location L U A V is determined, the optimization problem P 2 is transformed into the sub-problem P 2.1 .
P 2.1 : min β m M ( E m η m k K ( α k , m E T h k , m E T P k E T ) + t m t a s k ) s . t . C 2 , C 3 , C 4
Problem P 2.1 is an integer planning problem. This paper uses GA to solve problem P 2.1 . The use of GA has the following advantages. Each operation in the iterative process of the GA serves a different purpose, such as the selection operation that eliminates the worse solutions and retains the better ones, the crossover operation that enriches the set of solutions currently under consideration by allowing better solutions to appear in the set of solutions, and the mutation operation that allows for randomized perturbation of the solutions to prevent the algorithm from falling into a local optimum. The parameter settings of GA are more flexible compared to other heuristic algorithms; for example, the convergence speed of the algorithm and the degree of exploration of the search space can be controlled by adjusting parameters such as crossover probability and mutation probability. GA primarily consists of five processes: coding, fitness calculation, selection, crossover, and mutation.

3.1.1. Coding

The encoding is a transformation of the UE offloading decision variable β into a form that facilitates crossover and mutation. In this paper, binary coding is used, and the length of the code for each UE is log 2 ( 2 + N ) , where denotes upward rounding. The corresponding encoding is in the binary form of decimal 0 for local computation by the UE, in the binary form of decimal 1 for offloading the task to the base station, and in the binary form of decimal n + 1 for offloading the data to the UAV n . The encoding of the individuals in the population consists of the back-and-forth splicing of the binary encodings of all the UEs. For example, when the number of UAVs is N = 2 , the length of the encoding of the individuals in the population is M log 2 ( 2 + 2 ) = 2 M , where the length of the code for each UE is 2, and the corresponding binary encoding is 00 when the UE m computes locally, i.e., n N β m , n U A V + β m B S = 0 , the corresponding binary encoding is 01 when the UE m sends the task to the base station, and the corresponding binary encoding is 10 when the UE m sends the task to UAV 1.

3.1.2. Calculation of Fitness

The role of fitness in GA is to screen out good individuals, and individuals with high fitness are more likely to survive to the end, because the goal of problem P 2.1 is to minimize the UE latency under constraints such as the minimum value of MI. So, in this paper, we first introduce a penalty factor V to transform the constraints of problem P 2.1 to the objective function, and then the fitness of the individual is calculated using the negative values of the transformed function, i.e.,
f i fitness = m M ( E m ( i ) η m k K ( α k , m E T h k , m E T P k E T ) + t m t a s k   ( i ) + V max ( ( n N β m , n U A V   ( i ) + β m B S   ( i ) ) M I min M I m ( i ) , 0 ) )
where the penalty factor V is a large positive constant, β m , n U A V   ( i ) and β m B S   ( i ) denote the offloading decision of the UE m corresponding to the i th individual code, E m ( i ) , t m t a s k   ( i ) and M I m ( i ) denote the energy consumption, latency and conditional MI of the UE m obtained based on the decision β m , n U A V   ( i ) and β m B S   ( i ) .

3.1.3. Selection

Selection is carried out to save the UEs with high fitness, i.e., to filter out the optimized variables with smaller objective functions. First, the sum of the fitness of all individuals within the population is calculated, and then the ratio of the individual fitness to the sum of the fitness is taken as the probability that the individual will be selected, i.e.,
p i = f i fitness i = 1 C f i fitness
where C denotes the number of individuals within the population, and finally the new C individuals are selected using a roulette wheel algorithm.

3.1.4. Crossover

Crossover produces a better solution by interchanging a portion of the encodings of two different individuals, and in this paper, we use a single-point crossover. Two individuals are first randomly selected, and a randomly chosen encoding location is used as the crossover point, and then the portion of the selected individual’s encoding after the crossover point is crossed. The number of decisions that can be represented by the individual codes may be larger than the actual number of decisions of the UE, and the cross may produce individual codes that have no practical significance, so after the cross, it needs to re-select the decision of the UE corresponding to the section of the code that has no practical significance. For example, when the number of UAVs is N = 3 , the length of the code corresponding to the UE is log 2 ( 2 + 3 ) = 3 , where 000 means local computation, 001 means offloading to the base station, 010 means offloading to the UAV 1, 011 means offloading to the UAV 2, 100 means offloading to the UAV 3, and 101, 110, and 111 have no practical significance, but the crossover may generate a meaningless code. At this time, it is necessary to randomly change the code of this UE to one of the meaningful codes (000, 001, 010, 011, 100).

3.1.5. Mutation

The operation of mutation is to randomly select a position of an individual code and transform it into some other code, e.g., 1 is transformed into 0 and 0 is transformed into 1 in binary coding.
The specific UE offloading decision optimization process is shown in Algorithm 1. First, initialize the number of populations as C , the coding length of the individuals in the population as ε = M log 2 ( 2 + N ) , the crossover probability as ο , and the number of iterations as ψ . Then, by randomly generating C sequences of 01 with the length of ε as the initial coding of the individuals, the randomly generated individual coding may be meaningless, so after the generation of meaningless coding, it needs to be transformed into meaningful coding. After the transformation, the final individual is selected through ψ iterations, and in each iteration, the operations of fitness calculation, selection, crossover and mutation are performed sequentially, and after the iteration the coding and fitness of the optimal individual in the current population are transformed into the final UE decision, and objective function values are returned.
Algorithm 1: Optimization algorithm for UE offloading decision
1:  Initialization: number of individuals in the population C , length of individual codes ε , crossover probability ο , number of iterations ψ
2:  Population initialization: randomly generated 01 sequences produce C individual codes and transformed
3:  for i 1 to ψ do
4:      Calculate the individual fitness of the population
5:      Individual selection
6:      Crossover
7:      Mutation
8:  end for
9:  Identify the optimal individual from the population and record its fitness
10: The coding of the optimal individual is decoded and the objective function is calculated based on the fitness
11: return: optimal individual corresponding UE offloading decision and objective function values

3.2. UAV Location Optimization

When the UE offloading decision β is determined, the optimization problem P 2 is converted into the sub-problem P 2.2
P 2.2 : min L m M U ( ( 1 + P m η m k K ( α k , m E T h k , m E T P k E T ) ) I m B log 2 ( 1 + P m h m , m t r U A V σ 2 ) ) s . t . C 5 C 6 : B log 2 ( 1 + P m h m , m t r U A V σ 2 ) I m B log 2 ( 1 + Γ m , s e n ) 2 M I min , m M U
where M U denotes the set of UEs that offload data to the UAVs, and h m , m t r U A V denotes the channel gain between the UE m and the UAV m t r from which it offloads data. Sub-problem P 2.2 is still a nonconvex function, and in order to reduce the complexity, in this paper, an auxiliary variable ϕ m and a new constraint 1 ϕ m B log 2 ( 1 + P m h m , m t r U A V σ 2 ) , m M U are introduced, and the problem P 2.2 can be re-expressed as
P 2.3 : min L m M U ( ( 1 + P m η m k K ( α k , m E T h k , m E T P k E T ) ) I m ϕ m ) s . t . C 5 C 7 : I m B log 2 ( 1 + Γ m , s e n ) 2 M I min ϕ m 1 , m M U C 8 : 1 ϕ m B log 2 ( 1 + P m h m , m t r U A V σ 2 ) 0 , m M U
where ϕ = { ϕ m | m M U } denotes the set of auxiliary variables.
Due to the existence of constraint C8, the optimization problem P 2.3 is still non-convex, and in this paper, we use the method of SCA to obtain the locally optimal solution of problem P 2.3 . First, the first-order Taylor expansion of B log 2 ( 1 + P m h m , m t r U A V σ 2 ) in constraint C8 at fixed point x m t r , T a y l o r U A V   ( r ) and y m t r , T a y l o r U A V   ( r ) yields
B log 2 ( 1 + P m h m , m t r U A V σ 2 ) B ( log 2 ( 1 + P m g 0 σ 2 ( ( x m t r , T a y l o r U A V   ( r ) x m ) 2 + ( y m t r , T a y l o r U A V   ( r ) y m ) 2 + H 2 ) ) + 2 P m g 0 ( x m t r , T a y l o r U A V   ( r ) x m ) ς m t r ( x m t r U A V x m t r , T a y l o r U A V   ( r ) ) + 2 P m g 0 ( y m t r , T a y l o r U A V   ( r ) y m ) ς m t r ( y m t r U A V y m t r , T a y l o r U A V   ( r ) ) )
where ς m = I n 2 ( P m g 0 + σ 2 ϖ m ) ϖ m and ϖ m = ( x m t r , T a y l o r U A V   ( r ) x m ) 2 + ( y m t r , T a y l o r U A V   ( r ) y m ) 2 + H 2 , and then (24) is brought into problem P 2.3 , which then becomes a convex optimization problem that is suitable for solution via the CVX toolbox, and finally, the optimal solution of the convex optimization problem is used as the Taylor expansion point for the next iteration, i.e., x m t r U A V   ( r + 1 ) and y m t r U A V   ( r + 1 ) , until convergence.
The detailed steps of the UAV location optimization algorithm are shown in Algorithm 2. First, the UEs are divided into N clusters using the Kmeans++ algorithm, and the first-order Taylor expansion point L T a y l o r U A V   ( 0 ) = { x m t r , T a y l o r U A V   ( r ) , y m t r , T a y l o r U A V   ( r ) , H } is initialized to be the center location of the cluster, the value of the objective function is initialized to be f ( 0 ) = 0 , the number of iterations to be r = 0 , and the algorithm stopping condition to be φ . Then the steps of building an approximate convex optimization problem, solving it using the CVX, and updating the Taylor expansion point are performed cyclically until the algorithm stopping condition is satisfied, i.e., the change of the objective function falls below the threshold, and the final UAV location L U A V is obtained.
Algorithm 2: UAV location optimization algorithm
1:  Initialization: Taylor expansion point L T a y l o r U A V   ( 0 ) , objective function value f ( 0 ) = 0 , number of iterations r = 0 , algorithm stopping condition φ
2:  repeat
3:      Building an approximate convex optimization problem according to (24)
4:      The UAV position L U A V   ( r + 1 ) and the objective function value f r + 1 are obtained by solving convex optimization problems with the CVX toolbox
5:      if a b s ( f ( r + 1 ) f ( r ) / f ( r ) ) < φ then
6:        break
7:      end if
8:      Update the Taylor expansion point L T a y l o r U A V   ( r + 1 ) = L U A V   ( r + 1 )
9:      Update Number of iterations r r + 1
10: end repeat
11: return UAV location L U A V

3.3. Algorithmic Complexity

In this paper, the proposed problem is solved using an alternating iteration approach, and the two sub-algorithms involved in the iteration are the GA and SCA algorithms, respectively. The complexity of the GA is the product of the number of iterations of the GA, the population size, and the coding length, i.e., ψ C ε . The complexity of the SCA algorithm is L s c a N 3 , where L s c a is the total number of iterations of the SCA algorithm. Therefore, the complexity of the proposed algorithm is L i t e r ( ψ C ε + L s c a N 3 ) , where L i t e r denotes the number of alternating iterations. Assuming that the system area is discretized into L a r e a blocks, the complexity of obtaining the optimal UE decision and UAV location by exhaustive enumeration is M ( 2 + N ) N L a r e a . It can be seen that the complexity of the proposed algorithm is low compared to the exhaustive method.

4. Simulation and Performance Analysis

In this paper, MATLAB R2020a is used to perform simulations. In the simulation, the UEs are randomly distributed in a 50 × 50   m 2 square area, the base station is situated at the center of the square area, and the ETs are uniformly distributed in the area. The scale factor of the small-scale Rayleigh fading between the UEs and the base station is κ = 1 , the center frequency of the carrier is f c = 0.915 GHz , the channel gain between the UEs and the ETs is similar to that between the UEs and the base station, and the reference channel gain between the UEs and the UAVs is ξ 0 = 1.42 × 10 4 . In the sensing model, the target frequency response obeys the standard normal distribution [26], and the used OFDM The symbol period of the integrated waveform is T s = 5 μ s , and the minimum value of condition MI is required to M I min = 1.5 × 10 4 b i t . The data volume for tasks generated by UEs is 15 Kb and the task computational intensity is 100   c y c l e / b i t . Other simulation parameters are shown in Table 3.
The algorithm proposed in this paper is called “Ours” in the simulation figure. The paper compares the proposed algorithm with two algorithms, namely SCA-RS and KMEAN-GA. In SCA-RS, UEs adopt the random offloading strategy, and the UAV location is obtained by the SCA algorithm. In KMEANS-GA, the UAV location is fixed to the cluster center location obtained by the Kmeans++ algorithm, and the UE offloading decision is obtained by GA.
Figure 2 gives the effect of the number of UEs on average UE latency for different scenarios. From Figure 2, it is evident that the average latency grows with an increase in the number of UEs. This is because the resources of the UAVs and the base station in the system do not change, the growth in UE numbers results in the UEs sharing fewer computational resources, so more UEs choose the local computation task, and the computational power of the UEs is on the small side compared to that of the base station and the UAVs, so it takes more time to compute. From Figure 2, it is evident that the average latency of the algorithm in this paper is smaller than that of SCA-RS and KMEANS-GA. This is because, in this paper, we use the method of alternating iterations to decompose the optimization problem into two sub-problems, and use the GA to obtain the offloading decisions of the UEs and use the SCA algorithm to obtain the locations of the UAVs, which can be more favorable for the offloading decisions of the UEs and the locations of the UAVs, whereas in SCA-RS, the UEs adopt the random offloading strategy, which may make the UEs with poor communication and sensing channel conditions occupy the valuable computational resources of the base station or the UAVs, thus leading to a rise in the average latency, and KMEANS-GA determines the locations of the UAVs based on the cluster centers obtained by the Kmeans++ algorithm, which only considers the impact of the distance between the UEs and the UAVs on the latency, and does not take into account the impact of the UAVs’ computational resources and the UE sensing channel situation on the latency, which ultimately causes an increase in the average latency.
The effect of the number of UAVs on the average latency with different algorithms is given in Figure 3. From Figure 3, it can be seen that the average task completion latency gradually decreases as the number of UAVs increases. This is because the increase in the number of UAVs allows more UEs to enjoy the computing services provided by the UAVs, and the UAVs may be closer to the UEs, leading to better communication conditions. It can also be seen from Figure 3 that the average latency of the proposed algorithm in this paper is smaller than SCA-RS and KMEANS-GA. This is due to the simpler approach of SCA-RS for determining the UE’s offloading decision and KMEANS-GA for determining the location of the UAV, which result in inappropriate UE decisions and UAV locations.
The effect of the WEH conversion factor on average latency is given in Figure 4. From Figure 4, it is apparent that the increase in the WEH conversion factor leads to a rise in average latency, as it enhances the amount of energy harvested by UEs. It allows more UEs to have enough energy to offload the data to the base station or the UAVs, thus reducing the average latency of the UEs.
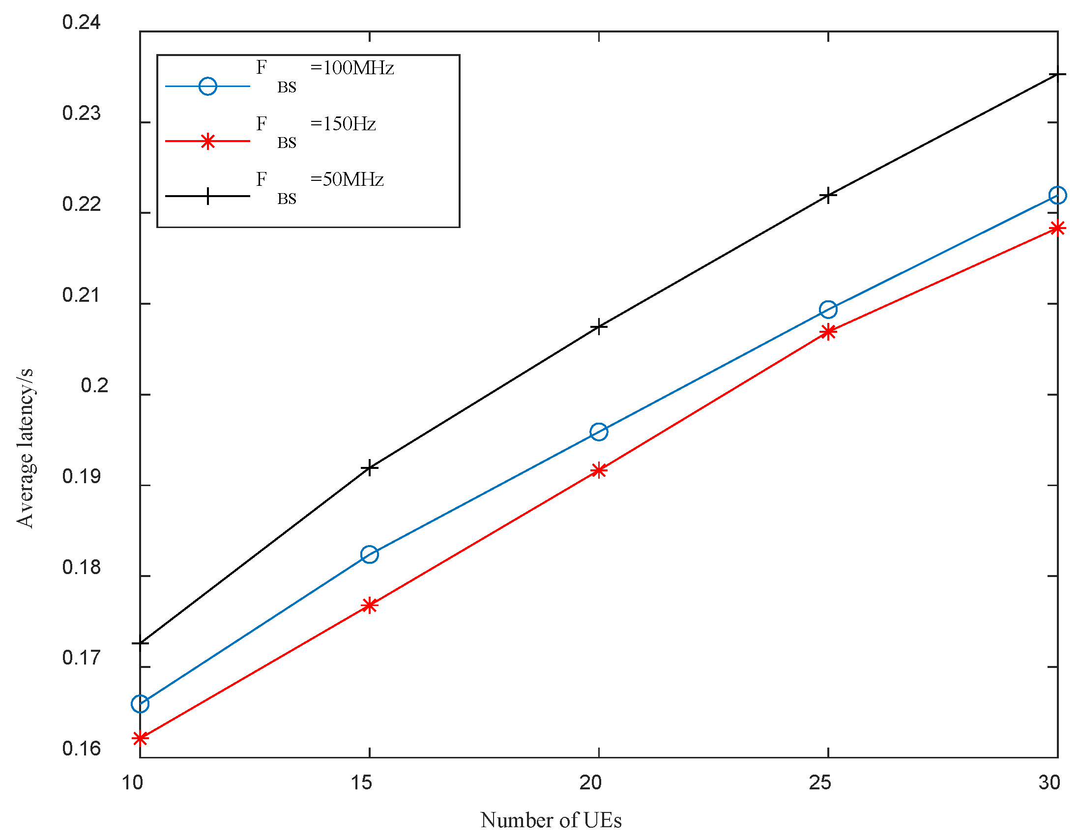
The effect of the base station’s computational capacity on the average latency is given in Figure 5. According to Figure 5, when the base station’s computational capacity increases, the average latency of the UEs decreases gradually. This is because the increase in computational resources of the base station makes the computational resources that can be allocated to each UE increase, which results in the latency of the offloaded tasks being reduced, and more UEs tend to offload the tasks, so the average latency decreases.
Figure 6 gives the effect of UAV computational capacity on the average latency. Figure 6 illustrates that when the UAV computational capacity increases, the average latency of the UEs decreases gradually. This is because the increase in UAV computational resources can make the computational resources assigned by the UAV to the UEs increase, the processing latency of the tasks that the UEs offload to the UAV decreases, and more UEs choose to offload their tasks to the UAV, so the average latency decreases.

5. Conclusions

In this paper, a joint optimization algorithm for UE WEH time, offloading decision, and UAV location is proposed in a wireless energy-fed ISCC system, considering the base station and UAV as edge nodes to provide computational resources for the UEs, under the constraints of causality of energy harvesting of the UEs, conditional MI, and UAV location, and jointly optimizing the UE WEH time, offloading decision, and UAV location to minimize the UE latency.

Author Contributions

Conceptualization: S.S. and Q.Z.; methodology: S.S.; software: S.S.; validation: S.S. and Q.Z.; formal analysis: S.S.; investigation: S.S.; resources: Q.Z.; data curation: S.S.; writing: S.S.; visualization: S.S.; supervision: Q.Z.; project administration: Q.Z.; funding acquisition: Q.Z. All authors have read and agreed to the published version of the manuscript.

Funding

This research was funded by Jiangsu Provincial Key Research and Development Program (No. BE2022068-2), the National Natural Science Foundation of China (92367302).

Data Availability Statement

Data are contained within the article.

Conflicts of Interest

The authors declare no conflicts of interest.

References

  1. Wang, K.; Yang, K.; Chen, H.-H.; Zhang, L. Computation Diversity in Emerging Networking Paradigms. IEEE Wirel. Commun. 2017, 24, 88–94. [Google Scholar] [CrossRef]
  2. Lu, X.; Wang, P.; Niyato, D.; Kim, D.I.; Han, Z. Wireless Networks with RF Energy Harvesting: A Contemporary Survey. IEEE Commun. Surv. Tutor. 2015, 17, 757–789. [Google Scholar] [CrossRef]
  3. Cheng, Y.; Zhao, H.; Ni, Y.; Xia, W.; Yang, L.; Zhu, H. A Game-Theoretic Incentive Mechanism for Battery Saving in Full Duplex Mobile Edge Computing Systems with Wireless Power Transfer. IEEE Trans. Netw. Serv. Manag. 2023, 20, 3474–3486. [Google Scholar] [CrossRef]
  4. Psomas, C.; Krikidis, I. Wireless Powered Mobile Edge Computing: Offloading or Local Computation? IEEE Commun. Lett. 2020, 24, 2642–2646. [Google Scholar] [CrossRef]
  5. Deng, X.; Li, J.; Shi, L.; Wei, Z.; Zhou, X.; Yuan, J. Wireless Powered Mobile Edge Computing: Dynamic Resource Allocation and Throughput Maximization. IEEE Trans. Mob. Comput. 2022, 21, 2271–2288. [Google Scholar] [CrossRef]
  6. Ji, L.; Guo, S. Energy-Efficient Cooperative Resource Allocation in Wireless Powered Mobile Edge Computing. IEEE Internet Things J. 2019, 6, 4744–4754. [Google Scholar] [CrossRef]
  7. Feng, J.; Pei, Q.; Yu, F.R.; Chu, X.; Shang, B. Computation Offloading and Resource Allocation for Wireless Powered Mobile Edge Computing with Latency Constraint. IEEE Wirel. Commun. Lett. 2019, 8, 1320–1323. [Google Scholar] [CrossRef]
  8. Jeong, S.; Simeone, O.; Kang, J. Mobile Edge Computing via a UAV-Mounted Cloudlet: Optimization of Bit Allocation and Path Planning. IEEE Trans. Veh. Technol. 2018, 67, 2049–2063. [Google Scholar] [CrossRef]
  9. Wang, J.; Jin, C.; Tang, Q.; Xiong, N.N.; Srivastava, G. Intelligent Ubiquitous Network Accessibility for Wireless-Powered MEC in UAV-Assisted B5G. IEEE Trans. Netw. Sci. Eng. 2021, 8, 2801–2813. [Google Scholar] [CrossRef]
  10. Liu, J.; Xu, Z.; Wen, Z. Joint Data Transmission and Trajectory Optimization in UAV-Enabled Wireless Powered Mobile Edge Learning Systems. IEEE Trans. Veh. Technol. 2023, 72, 11617–11630. [Google Scholar] [CrossRef]
  11. Du, Y.; Yang, K.; Wang, K.; Zhang, G.; Zhao, Y.; Chen, D. Joint Resources and Workflow Scheduling in UAV-Enabled Wirelessly-Powered MEC for IoT Systems. IEEE Trans. Veh. Technol. 2019, 68, 10187–10200. [Google Scholar] [CrossRef]
  12. Li, Q.; Shi, L.; Zhang, Z.; Zheng, G. Resource Allocation in UAV-Enabled Wireless-Powered MEC Networks with Hybrid Passive and Active Communications. IEEE Internet Things J. 2023, 10, 2574–2588. [Google Scholar] [CrossRef]
  13. Liu, Y.; Xiong, K.; Ni, Q.; Fan, P.; Letaief, K.B. UAV-Assisted Wireless Powered Cooperative Mobile Edge Computing: Joint Offloading, CPU Control, and Trajectory Optimization. IEEE Internet Things J. 2020, 7, 2777–2790. [Google Scholar] [CrossRef]
  14. Mao, W.; Xiong, K.; Lu, Y.; Fan, P.; Ding, Z. Energy Consumption Minimization in Secure Multi-Antenna UAV-Assisted MEC Networks with Channel Uncertainty. IEEE Trans. Wirel. Commun. 2023, 22, 7185–7200. [Google Scholar] [CrossRef]
  15. Zeng, Y.; Chen, S.; Cui, Y.; Yang, J.; Fu, Y. Joint Resource Allocation and Trajectory Optimization in UAV-Enabled Wirelessly Powered MEC for Large Area. IEEE Internet Things J. 2023, 10, 15705–15722. [Google Scholar] [CrossRef]
  16. Nguyen, M.D.; Le, L.B.; Girard, A. UAV Placement and Resource Allocation for Intelligent Reflecting Surface Assisted UAV-Based Wireless Networks. IEEE Commun. Lett. 2022, 26, 1106–1110. [Google Scholar] [CrossRef]
  17. Bhowmick, A.; Roy, S.D.; Kundu, S. Throughput Maximization of a UAV Assisted CR Network with NOMA-Based Communication and Energy-Harvesting. IEEE Trans. Veh. Technol. 2022, 71, 362–374. [Google Scholar] [CrossRef]
  18. Bayerlein, H.; Theile, M.; Caccamo, M.; Gesbert, D. Multi-UAV Path Planning for Wireless Data Harvesting with Deep Reinforcement Learning. IEEE Open J. Commun. Soc. 2021, 2, 1171–1187. [Google Scholar] [CrossRef]
  19. Xu, Y.; Zhang, T.; Liu, Y.; Yang, D. UAV-Enabled Integrated Sensing, Computing, and Communication: A Fundamental Trade-Off. IEEE Wirel. Commun. Lett. 2023, 12, 843–847. [Google Scholar] [CrossRef]
  20. Huang, N.; Wang, T.; Wu, Y.; Wu, Q.; Quek, T.Q.S. Integrated Sensing and Communication Assisted Mobile Edge Computing: An Energy-Efficient Design via Intelligent Reflecting Surface. IEEE Wirel. Commun. Lett. 2022, 11, 2085–2089. [Google Scholar] [CrossRef]
  21. Qi, Q.; Chen, X.; Khalili, A.; Zhong, C.; Zhang, Z.; Ng, D.W.K. Integrating Sensing, Computing, and Communication in 6G Wireless Networks: Design and Optimization. IEEE Trans. Commun. 2022, 70, 6212–6227. [Google Scholar] [CrossRef]
  22. Ding, C.; Wang, J.-B.; Zhang, H.; Lin, M.; Li, G.Y. Joint MIMO Precoding and Computation Resource Allocation for Dual-Function Radar and Communication Systems with Mobile Edge Computing. IEEE J. Sel. Areas Commun. 2022, 40, 2085–2102. [Google Scholar] [CrossRef]
  23. Zhao, L.; Wu, D.; Zhou, L.; Qian, Y. Radio Resource Allocation for Integrated Sensing, Communication, and Computation Networks. IEEE Trans. Wirel. Commun. 2022, 21, 8675–8687. [Google Scholar] [CrossRef]
  24. Wang, Z.; Mu, X.; Liu, Y.; Xu, X.; Zhang, P. NOMA-Aided Joint Communication, Sensing, and Multi-Tier Computing Systems. IEEE J. Sel. Areas Commun. 2022, 41, 574–588. [Google Scholar] [CrossRef]
  25. Xie, H.; Zhang, T.; Xu, X.; Yang, D.; Liu, Y. Joint Sensing, Communication and Computation in UAV-Assisted Systems. IEEE Internet Things J. 2024. [Google Scholar] [CrossRef]
  26. Liu, Y.; Liao, G.; Xu, J.; Yang, Z.; Zhang, Y. Adaptive OFDM Integrated Radar and Communications Waveform Design Based on Information Theory. IEEE Commun. Lett. 2017, 21, 2174–2177. [Google Scholar] [CrossRef]
Figure 1. System model.
Figure 1. System model.
Electronics 13 02320 g001
Figure 2. Impact of UEs numbers on average latency under different algorithm.
Figure 2. Impact of UEs numbers on average latency under different algorithm.
Electronics 13 02320 g002
Figure 3. Impact of UAVs numbers on average latency under different algorithm.
Figure 3. Impact of UAVs numbers on average latency under different algorithm.
Electronics 13 02320 g003
Figure 4. Impact of WEH conversion factor on average latency.
Figure 4. Impact of WEH conversion factor on average latency.
Electronics 13 02320 g004
Figure 5. Impact of base station computational capacity on average latency.
Figure 5. Impact of base station computational capacity on average latency.
Electronics 13 02320 g005
Figure 6. Impact of UAV computational capacity on average latency.
Figure 6. Impact of UAV computational capacity on average latency.
Electronics 13 02320 g006
Table 1. Abbreviations.
Table 1. Abbreviations.
AbbreviationsFull NamesAbbreviationsFull Names
UAVUnmanned aerial vehicleISACIntegrated sensing and communication
UEUser equipmentETEnergy transmitter
IoTInternet of ThingsSCASuccessive convex approximation
MECMobile edge computingGAGenetic algorithm
WEHWireless energy harvestingMIMutual information
Table 2. Key notations.
Table 2. Key notations.
SymbolDefinitionsSymbolDefinitions
M number of UEs t m . n U t r data transfer time between UE m and UAV n
N number of UAVs t m B t r data transmission time between UE m and the base station
K number of ETs t m t r data transfer time of UE m
N set of UAVs E m o f f energy consumption of UE m offloading data
M set of UEs F n U A V computational power of UAV n
K set of ETs t m , n U c o m time used by UAV n to compute UE m ’ task
I m amount of task data for UE m F B S computational capacity of the base station
D m task computational intensity of UE m t m B c o m time used by the base station to compute UE m ’ task
L m location of UE m t m O c o m computation time of the data offloaded by UE m
L n U A V hovering location of UAV n f m computational capacity of UE m
x m horizontal coordinate of UE m ’s location t m L c o m local computation time of UE m
y m vertical coordinate of UE m ’s location λ m effective capacitance factor of UE m
x n U A V horizontal coordinate of UAV n ’s location E m L c o m energy consumption of local computation for UE m
y n U A V vertical coordinate of UAV n ’s location T s symbol period of the orthogonal frequency division multiplexing integration signal
H height of UAVs Q m Fourier transform of the channel impulse response for UE m
η m energy conversion efficiency of UE m Γ m , s e n radar signal to interference plus noise ratio of UE m
t m c h a r g e duration of WEH by UE m M I m , n U A V conditional MI obtained by UE m when communicating with UAV n
h k , m E T channel gain between UE m and ET k M I m B S conditional MI obtained when UE m communicates with the base station
P k E T transmit power of ET k M I m conditional MI obtained by UE m
α k , m E T whether or not UE m harvests the energy emitted by ET k t m t a s k total task processing latency of UE m
E m c h a r g e energy captured by UE m E m energy consumption of UE m
β m , n U A V whether or not UE m offloads data to UAV n M I min minimum conditional MI requirement of UE
β m B S whether or not UE m offloads data to the base station β set of the UEs’ offloading decision variables
B bandwidth of UEs t c h a r g e set of the UEs’ WEH time variables
P m transmit power of UE m L U A V set of the UAVs’ hovering location variables
d m , n distance between UE m and UAV n C number of individuals within the population
ξ 0 reference channel gain when V penalty factor
h m , n U A V channel gain between UE m and UAV n f i fitness fitness of the individual i
N 0 additive Gaussian white noise power spectral density p i probability that the individual i will be selected
σ 2 additive Gaussian white noise power ε coding length of the individuals
τ m independent random channel fading factor ο crossover probability
κ scale parameter of Rayleigh distribution ψ the number of iterations of GA
d m distance between UE m and the base station M U set of UEs that offload data to the UAVs
c speed of light ϕ m auxiliary variable of UE m
f c center frequency of the carrier ϕ set of auxiliary variables
h m B S channel gain between UE m and the base station x m t r , T a y l o r U A V   ( r ) Taylor expansion points of the x-axis co-ordinates of the UAV connected by UE m at the r th iteration
R m , n U A V information transfer rate between UE m and UAV n y m t r , T a y l o r U A V   ( r ) Taylor expansion points of the y-axis co-ordinates of the UAV connected by UE m at the r th iteration
R m B S information transfer rate between UE m and the base station L T a y l o r U A V ( r ) Taylor expansion points of the location of the UAV connected by UE m at the r th iteration
Table 3. Simulation parameters.
Table 3. Simulation parameters.
ParameterSymbolValue
Number of UEs M (10, 30)
Number of UAVs N 2
Number of ETs K 16
UE transmit power P m 10   mW
UE bandwidth B 2   MHz
UE effective capacitance factor λ m 10 28
UE computational capacity f m 5   MHz
Number of GA iterations ψ 2000
noise power spectral density N 0 174   dBm
WEH conversion factors η m 0.8
ET transmitter power P k E T 10   W
Base station computational capacity F B S 100   MHz
UAV computational capacity F n U A V 30   MHz
UAV height H 10   m
Number of individuals in the population C 1000
crossover probability ο 0.6
Disclaimer/Publisher’s Note: The statements, opinions and data contained in all publications are solely those of the individual author(s) and contributor(s) and not of MDPI and/or the editor(s). MDPI and/or the editor(s) disclaim responsibility for any injury to people or property resulting from any ideas, methods, instructions or products referred to in the content.

Share and Cite

MDPI and ACS Style

Sun, S.; Zhu, Q. A Joint Optimization Algorithm for UAV Location and Offloading Decision Based on Wireless Power Supply. Electronics 2024, 13, 2320. https://doi.org/10.3390/electronics13122320

AMA Style

Sun S, Zhu Q. A Joint Optimization Algorithm for UAV Location and Offloading Decision Based on Wireless Power Supply. Electronics. 2024; 13(12):2320. https://doi.org/10.3390/electronics13122320

Chicago/Turabian Style

Sun, Shuo, and Qi Zhu. 2024. "A Joint Optimization Algorithm for UAV Location and Offloading Decision Based on Wireless Power Supply" Electronics 13, no. 12: 2320. https://doi.org/10.3390/electronics13122320

APA Style

Sun, S., & Zhu, Q. (2024). A Joint Optimization Algorithm for UAV Location and Offloading Decision Based on Wireless Power Supply. Electronics, 13(12), 2320. https://doi.org/10.3390/electronics13122320

Note that from the first issue of 2016, this journal uses article numbers instead of page numbers. See further details here.

Article Metrics

Back to TopTop