Adaptive Mobility-Based IoT LoRa Clustering Communication Scheme
Abstract
1. Introduction
- We partition the network area into several distinct regions to optimize SF region allocation. Within these regions, grids maintain uniform widths, but their heights increase with the distance from the GW.
- We devise a cohesive system model, seamlessly integrating network, success probability, energy, and mobility models, enriched further by the inclusion of the Grey relational analysis model.
- We introduce the adaptive mobility-based IoT LoRa clustering communication (AMILCC) scheme, which comprises three main mechanisms: cluster architecture development, an efficient data forwarding mechanism, and the hybrid adaptive data rate mechanism.
- We formulate a resource allocation strategy for mobile LoRa devices in the AMILCC scheme using a hybrid adaptive data rate (HADR) mechanism. This mechanism is categorized into two approaches: (1) intra-SF region HADR, and (2) inter-SF region HADR.
- We conduct simulations in various environments to evaluate the performance of the proposed AMILCC scheme at varying speeds. By comparing it with existing stationary schemes, the excellence of the AMILCC scheme is verified through performance evaluation metrics such as the packet success ratio, energy consumption, and end-to-end delay.
2. Related Works
2.1. Multi-Hop Communication between LoRa Devices
2.2. Clustering of Mobile IoT LoRa Devices
2.3. Mobility for IoT LoRa Networks
3. System Model
3.1. Network Model
- The LDs are mobile and can change their partitions.
- The CHs are mobile, whereas the GW remains stationary.
- The LDs follow a set predetermined path and network topology can be altered.
- All LDs possess omni-directional antennas.
- Any two LDs cannot be at the same (X, Y) position in the given 2D coverage area.
3.2. Success Probability Model
3.3. Energy Model
3.4. Mobility Model
3.5. Grey Relational Analysis (GRA) Model
4. Adaptive Mobility-Based IoT LoRa Clustering Communication Scheme (AMILCC)
4.1. Cluster Architecture Development Mechanism
4.1.1. Cluster Formation
4.1.2. Cluster Head Election
- Normalize the data fed to each criterion to make it comparable by dividing it by the range of data values, where the normalized value of the criterion for LD(i) and the j-th criterion are given by Equation (14). is the original value of criterion j for LD(i), and and are the minimum and maximum values, respectively. The reference target for all criteria is , in which all the performance values are 1.
- Determine the Grey relational coefficient given by in Equation (14) that represents the closeness of the normalized value to the reference . , , and are defined in Equations (15)–(17), respectively. Value is the absolute difference between and and represents the deviation from the target value or quality loss. The value is the lowest, and is the highest value among the quality loss parameters. The parameter is a coefficient within the range that can be altered if required by the system.
- Determine the Grey relational grade for LD(i) using Equation (18). The value n is the number of nodes in a cluster, and is the Grey relational coefficient for LD(i). The CH of the cluster is the node with the highest . The clusters are reconfigured every 10 min to adapt to node positions and changes in network topology. This is accomplished by sending broadcast messages to all nodes in the network with information about where and when the GW will be available.
4.2. Data Forwarding Mechanism
4.3. Hybrid Adaptive Data Rate (HADR) Mechanism
4.3.1. Intra-SF Region HADR
| Algorithm 1: Adaptive SF selection |
| Input: : SNR for a LoRa device Input: : Current Signal-to-Noise Ratio Input: : Current Spreading Factor Output: : Adjusted SF
|
4.3.2. Inter-SF Region HADR
| Algorithm 2: Inter-SF network resource adaptation |
| Input: : Increase Input: : Decrease Input: : Current Packet Loss Ratio Input: : Current Signal-to-Noise Ratio Input: : Current Transmit power Input: : Current Data Rate, Bandwidth Input: : New Network Resources
|
5. Performance Evaluation
5.1. Simulation Environment
- Packet Success Ratio (PSR): This is calculated as the ratio of the total number of data packets successfully received by the network server to the total number of data packets generated by all LDs throughout the simulation period. The PSR solely defines the data packets and does not reflect the success ratio of the join request.
- Energy Consumption: This is the average amount of energy consumed by each individual LD throughout the simulation period. It is calculated as the ratio of the total amount of energy consumed by the whole network to the number of participating LDs in the network.
- End-to-End Delay: This is defined as the total time taken by a single packet to be delivered to the final destination over a LoRa-based network. The end-to-end delay can vary depending on several factors, including signal quality, SF, distance between the LD and the GW or any other receiver, interference, and environmental conditions.
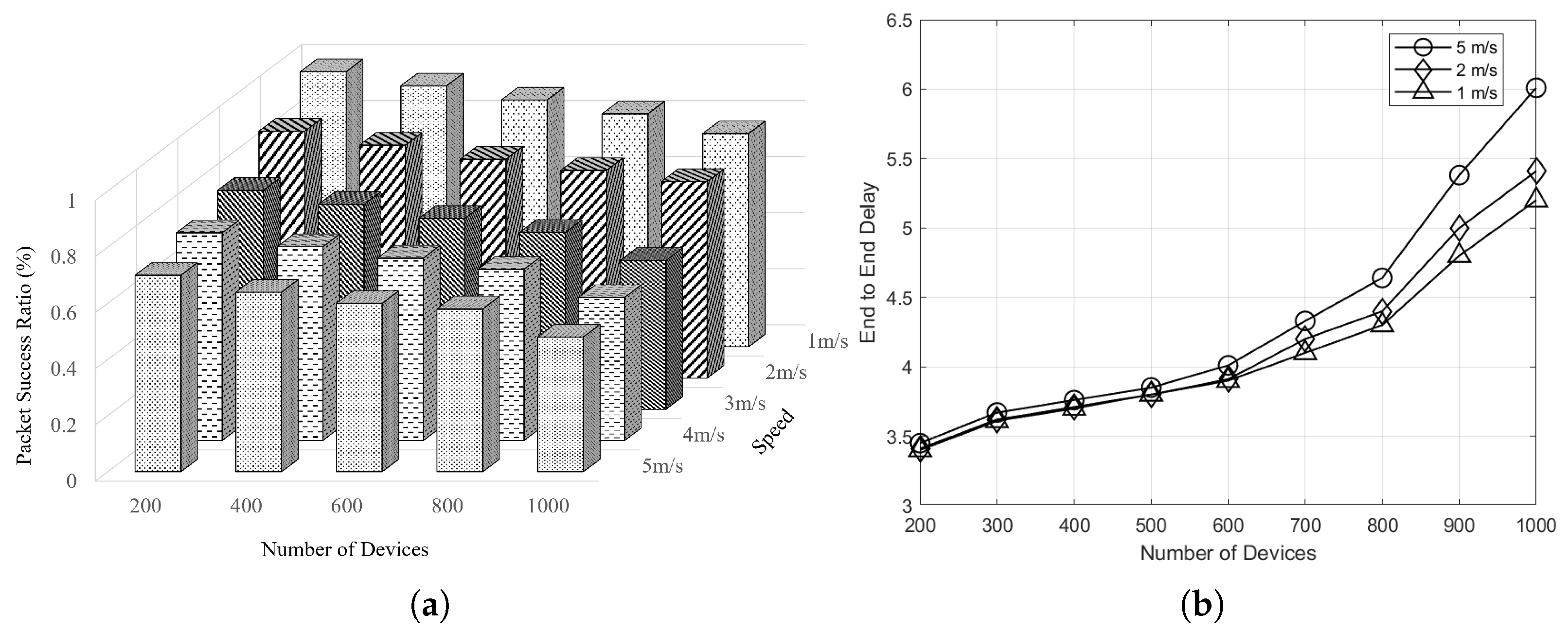
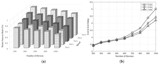
5.2. Simulation Results
6. Discussion
7. Conclusions
Author Contributions
Funding
Institutional Review Board Statement
Informed Consent Statement
Data Availability Statement
Conflicts of Interest
References
- Ayoub, W.; Samhat, A.E.; Nouvel, F.; Mroue, M.; Prévotet, J.-C. Internet of mobile things: Overview of lorawan, dash7, and nb-iot in lpwans standards and supported mobility. IEEE Commun. Surv. Tutor. 2018, 21, 1561–1581. [Google Scholar] [CrossRef]
- Chanal, P.M.; Kakkasageri, M.S. Security and privacy in IOT: A survey. Wirel. Pers. Commun. 2020, 115, 1667–1693. [Google Scholar] [CrossRef]
- Bandyopadhyay, D.; Sen, J. Internet of things: Applications and challenges in technology and standardization. Wirel. Pers. Commun. 2011, 58, 49–69. [Google Scholar] [CrossRef]
- Miorandi, D.; Sicari, S.; Pellegrini, F.D.; Chlamtac, I. Internet of things: Vision, applications and research challenges. Ad Hoc Netw. 2012, 10, 1497–1516. [Google Scholar] [CrossRef]
- Zaman, S.; Khandaker, M.R.; Khan, R.T.; Tariq, F.; Wong, K.-K. Thinking Out of the Blocks: Holochain for Distributed Security in IoT Healthcare. IEEE Access 2022, 10, 37064–37081. [Google Scholar] [CrossRef]
- Zhang, W.-Z.; Elgendy, I.A.; Hammad, M.; Iliyasu, A.M.; Du, X.; Guizani, M.; El-Latif, A.A.A. Secure and optimized load balancing for multitier IoT and edge-cloud computing systems. IEEE Internet Things J. 2020, 8, 8119–8132. [Google Scholar] [CrossRef]
- Yao, J.; Ansari, N. Enhancing federated learning in fogaided IoT by CPU frequency and wireless power control. IEEE Internet Things J. 2020, 8, 3438–3445. [Google Scholar] [CrossRef]
- Perera, C.; Liu, C.H.; Jayawardena, S. The emerging internet of things marketplace from an industrial perspective: A survey. IEEE Trans. Emerg. Top. Comput. 2015, 3, 585–598. [Google Scholar] [CrossRef]
- Anagnostopoulos, T.; Zaslavsky, A.; Kolomvatsos, K.; Medvedev, A.; Amirian, P.; Morley, J.; Hadjieftymiades, S. Challenges and opportunities of waste management in IoT-enabled smart cities: A survey. IEEE Trans. Sustain. Comput. 2017, 2, 275–289. [Google Scholar] [CrossRef]
- Shafique, K.; Khawaja, B.A.; Sabir, F.; Qazi, S.; Mustaqim, M. Internet of things (IoT) for next-generation smart systems: A review of current challenges, future trends and prospects for emerging 5G-IoT scenarios. IEEE Access 2020, 8, 23022–23040. [Google Scholar] [CrossRef]
- Raghuvanshi, A.; Singh, U.K.; Joshi, C. A review of various security and privacy innovations for IoT applications in healthcare. In Advanced Healthcare Systems: Empowering Physicians with IoT-Enabled Technologies; Scrivener Publishing LLC: Beverly, MA, USA, 2022; pp. 43–58. [Google Scholar] [CrossRef]
- Nahrstedt, K.; Li, H.; Nguyen, P.; Chang, S.; Vu, L. Internet of mobile things: Mobility-driven challenges, designs and implementations. In Proceedings of the 2016 IEEE First International Conference on Internet-of-Things Design and Implementation (IoTDI), Berlin, Germany, 4–8 April 2016; pp. 25–36. [Google Scholar] [CrossRef]
- Council, N.; Nic, N.; Intelligence, S. Disruptive Civil Technologies: Six Technologies with Potential Impacts on Us Interests out to 2025. Conference Report CR. 2008. Volume 2007. Available online: https://irp.fas.org/nic/disruptive.pdf (accessed on 21 November 2023).
- Available online: https://www.ericsson.com/4ae28d/assets/local/reports-papers/mobility-report/documents/2022/ericsson-mobility-report-november-2022.pdf (accessed on 30 November 2023).
- Sornin, N.; Luis, M.; Eirich, T.; Kramp, T.; Hersent, O. Lorawan Specification; LoRa Alliance: Fremont, CA, USA, 2015; Volume 1. [Google Scholar]
- Lavric, A.; Petrariu, A.I.; Popa, V. SigFox communication protocol: The new era of IoT? In Proceedings of the 2019 International Conference on Sensing and Instrumentation in IoT Era (ISSI), Lisbon, Portugal, 29–30 August 2019; pp. 1–4. [Google Scholar]
- Lee, S.; Lee, J.; Park, H.-S.; Choi, J.K. A novel fair and scalable relay control scheme for Internet of Things in LoRabased low-power wide-area networks. IEEE Internet Things J. 2020, 8, 5985–6001. [Google Scholar] [CrossRef]
- Lyu, J.; Yu, D.; Fu, L. Achieving max-min throughput in LoRa networks. In Proceedings of the 2020 International Conference on Computing, Networking and Communications (ICNC), Big Island, HI, USA, 17–20 February 2020; pp. 471–476. [Google Scholar] [CrossRef]
- Zhu, G.; Liao, C.H.; Sakdejayont, T.; Lai, I.W.; Narusue, Y.; Morikawa, H. Improving the capacity of a mesh LoRa network by spreading-factor-based network clustering. IEEE Access 2019, 7, 21584–21596. [Google Scholar] [CrossRef]
- Lee, H.-C.; Ke, K.-H. Monitoring of large-area IoT sensors using a LoRa wireless mesh network system: Design and evaluation. IEEE Trans. Instrum. Meas. 2018, 67, 2177–2187. [Google Scholar] [CrossRef]
- Al Mojamed, M. On the Use of LoRaWAN for Mobile Internet of Things: The Impact of Mobility. Appl. Syst. Innov. 2021, 5, 5. [Google Scholar] [CrossRef]
- Benkahla, N.; Tounsi, H.; Ye-Qiong, S.; Frikha, M. Enhanced ADR for LoRaWAN networks with mobility. In Proceedings of the 2019 15th International Wireless Communications & Mobile Computing Conference (IWCMC), Tangier, Morocco, 24–28 June 2019; pp. 1–6. [Google Scholar] [CrossRef]
- Farhad, A.; Pyun, J.-Y. HADR: A Hybrid Adaptive Data Rate in LoRaWAN for Internet of Things. ICT Express 2022, 8, 283–289. [Google Scholar] [CrossRef]
- Finnegan, J.; Brown, S.; Farrell, R. Evaluating the scalability of LoRaWAN gateways for class B communication in ns-3. In Proceedings of the 2018 IEEE Conference on Standards for Communications and Networking (CSCN), Paris, France, 29–31 October 2018; pp. 1–6. [Google Scholar] [CrossRef]
- Sisinni, E.; Ferrari, P.; Carvalho, D.F.; Rinaldi, S.; Marco, P.; Flammini, A.; Depari, A. LoRaWAN range extender for Industrial IoT. IEEE Trans. Ind. Inform. 2019, 16, 5607–5616. [Google Scholar] [CrossRef]
- Zorbas, D.; Papadopoulos, G.Z.; Maille, P.; Montavont, N.; Douligeris, C. Improving LoRa network capacity using multiple spreading factor configurations. In Proceedings of the 2018 25th International Conference on Telecommunications (ICT), Saint-Malo, France, 26–28 June 2018; pp. 516–520. [Google Scholar] [CrossRef]
- Bor, M.C.; Vidler, J.; Roedig, U. LoRa for the Internet of Things. Ewsn 2016, 16, 361–366. [Google Scholar]
- Mugerwa, D.; Nam, Y.; Cho, H.; Choi, H.; Shin, Y.; Lee, E. Implicit Multi-hop Communication Scheme based on Overhearing in IoT LoRa Networks. In Proceedings of the 2022 Thirteenth International Conference on Ubiquitous and Future Networks (ICUFN), Barcelona, Spain, 5–8 July 2022; pp. 190–195. [Google Scholar] [CrossRef]
- Mai, D.L.; Kim, M.K. Multi-Hop LoRa network protocol with minimized latency. Energies 2020, 13, 1368. [Google Scholar] [CrossRef]
- Mugerwa, D.; Nam, Y.; Choi, H.; Shin, Y.; Lee, E. SF-Partition-Based Clustering and Relaying Scheme for Resolving Near–Far Unfairness in IoT Multihop LoRa Networks. Sensors 2022, 22, 9332. [Google Scholar] [CrossRef] [PubMed]
- Temene, N.; Sergiou, C.; Georgiou, C.; Vassiliou, V. A survey on mobility in Wireless Sensor Networks. Ad Hoc Netw. 2022, 125, 102726. [Google Scholar] [CrossRef]
- Torres, N.; Martins, P.; Pinto, P.; Lopes, S.I. Smart & Sustainable Mobility on Campus: A secure IoT tracking system for the BIRA Bicycle. In Proceedings of the 2021 16th Iberian Conference on Information Systems and Technologies (CISTI), Chaves, Portugal, 23–26 June 2021; pp. 1–7. [Google Scholar] [CrossRef]
- Robbe, B.; Danny, W. A qos-aware adaptive mobility handling approach for lora-based iot systems. In Proceedings of the 2018 IEEE 12th International Conference on Self-Adaptive and Self-Organizing Systems (SASO), Trento, Italy, 3–7 September 2018; pp. 130–139. [Google Scholar] [CrossRef]
- Kim, S.; Koack, M.; Choo, S.; Kim, S. Analysing Spatial Usage Characteristics of Shared E-scooter: Focused on Spatial Autocorrelation Modeling. J. Korea Inst. Intell. Transp. Syst. 2021, 20, 54–69. [Google Scholar] [CrossRef]
- Stankovic, J.A. Research directions for the internet of things. IEEE Internet Things J. 2014, 1, 3–9. [Google Scholar] [CrossRef]
- Ayele, E.D.; Meratnia, N.; Havinga, P.J. Towards a new opportunistic IoT network architecture for wildlife monitoring system. In Proceedings of the 2018 9th IFIP International Conference on New Technologies, Mobility and Security (NTMS), Paris, France, 26–28 February 2018; pp. 1–5. [Google Scholar] [CrossRef]
- Sciullo, L.; Trotta, A.; Di Felice, M. Design and performance evaluation of a LoRa-based mobile emergency management system (LOCATE). Ad Hoc Netw. 2020, 96, 101993. [Google Scholar] [CrossRef]
- Martinez-Caro, J.-M.; Cano, M.-D. IoT system integrating unmanned aerial vehicles and LoRa technology: A performance evaluation study. Wirel. Commun. Mob. Comput. 2019, 2019, 4307925. [Google Scholar] [CrossRef]
- Andrei, M.L.; Rădoi, L.A.; Tudose, D.Ş. Measurement of node mobility for the LoRa protocol. In Proceedings of the 2017 16th RoEduNet Conference: Networking in Education and Research (RoEduNet), Targu Mures, Romania, 21–23 September 2017; pp. 1–6. [Google Scholar] [CrossRef]
- Mohammadi, S.; Farahani, G. Scalability Analysis of a LoRa Network Under Inter-SF and Co-SF Interference with Poisson Point Process Model. J. Comput. Secur. 2021, 8, 43–57. [Google Scholar] [CrossRef]
- Magrin, D.; Centenaro, M.; Vangelista, L. Performance evaluation of LoRa networks in a smart city scenario. In Proceedings of the 2017 IEEE International Conference on communications (ICC), Paris, France, 21–25 May 2017; pp. 1–7. [Google Scholar] [CrossRef]
- Philip, M.S.; Singh, P. Energy consumption evaluation of LoRa sensor nodes in wireless sensor network. In Proceedings of the 2021 Advanced Communication Technologies and Signal Processing (ACTS), Virtual, 15–17 December 2021; pp. 1–4. [Google Scholar] [CrossRef]
- Lee, S.-G.; Lee, H.-J. Performance of Mobility Models for Routing Protocol in Wireless Ad-hoc Networks. J. Inf. Commun. Converg. Eng. 2011, 9, 610–614. [Google Scholar]
- Sharma, S.; Kumar, S. Estimation of Mobility Models Based on Mobility Metrics and Their Impact on Routing Protocols in MANET. Int. J. Comput. Commun. Eng. 2013, 2, 386. [Google Scholar] [CrossRef]
- Wang, X.; Mu, Y. Research on Grey Relational Clustering Model of Multiobjective Human Resources Based on Time Constraint. Sci. Program. 2021, 2021, 5551255. [Google Scholar] [CrossRef]
- Khan, M.M.R.; Siddique, M.A.B.; Arif, R.B.; Oishe, M.R. ADBSCAN: Adaptive density-based spatial clustering of applications with noise for identifying clusters with varying densities. In Proceedings of the 2018 4th International Conference on Electrical Engineering and Information & Communication Technology (iCEEiCT), Dhaka, Bangladesh, 13–15 September 2018; pp. 107–111. [Google Scholar] [CrossRef]
- Carlsson, A.; Kuzminykh, I.; Franksson, R.; Liljegren, A. Measuring a LoRa network: Performance, possibilities and limitations. In Proceedings of the Internet of Things, Smart Spaces, and Next Generation Networks and Systems: 18th International Conference, NEW2AN 2018, and 11th Conference, ruSMART 2018, St. Petersburg, Russia, 27–29 August 2018; Proceedings 18. pp. 116–128. [Google Scholar] [CrossRef]
- Farhad, A.; Kim, D.-H.; Kim, B.-H.; Mohammed, A.F.Y.; Pyun, J.-Y. Mobility-aware resource assignment to IoT applications in long-range wide area networks. IEEE Access 2020, 8, 186111–186124. [Google Scholar] [CrossRef]
- Al-Qadami, N.; Laila, I.; Koucheryavy, A.; Ahmad, A.S. Mobility adaptive clustering algorithm for wireless sensor networks with mobile nodes. In Proceedings of the 2015 17th International Conference on Advanced Communication Technology (ICACT), PyeongChang, Republic of Korea, 1–3 July 2015; pp. 121–126. [Google Scholar] [CrossRef]
- Zorbas, D.; O’Flynn, B. Autonomous collision-free scheduling for LoRa-based industrial Internet of Things. In Proceedings of the 2019 IEEE 20th International Symposium on A World of Wireless, Mobile and Multimedia Networks(WoWMoM), Washington, DC, USA, 10–12 June 2019; pp. 1–5. [Google Scholar] [CrossRef]
- Maudet, S.; Andrieux, G.; Chevillon, R.; Diouris, J.-F. Refined node energy consumption modeling in a LoRaWAN network. Sensors 2021, 21, 6398. [Google Scholar] [CrossRef] [PubMed]







| Symbol | Description |
|---|---|
| Trajectory sequence | |
| Probability of successful transmission | |
| Time on air | |
| Number of potential interferences | |
| Data rate | |
| SF(i) | Spreading factor of a LoRa device |
| Transmission time | |
| Energy consumption of n hops | |
| Total energy consumption | |
| Energy consumption of a LoRa device | |
| Residual energy of a node at time (t) | |
| Relative speed | |
| Euclidean distance | |
| Normalized values | |
| Grey relational coefficient | |
| Absolute difference between values | |
| Grey relational grade | |
| Network resource |
| Parameter | Values |
|---|---|
| GW | 1 |
| Network size | 6000 m × 1000 m |
| Number of nodes (N) | 1000 |
| Mobility model | RWP |
| Minimum speed | 0.5 m/s [48] |
| Maximum speed | 5 m/s |
| Channel frequency | 868 (MHz) |
| Spreading factor (SF) | 7–12 |
| Bandwidth | 125,250,500 (kHz) |
| Payload length | 30 (Bytes) |
| Transmission power | 2–14 dBm (25 mW) |
| Data rate | 0.25–5.47 (kbps) |
| Coding rate | 4/5 |
| Simulation time | 24 hrs |
| Payload CRC | ON |
| Interval time | 600 s |
| Path loss exponent | 2 |
Disclaimer/Publisher’s Note: The statements, opinions and data contained in all publications are solely those of the individual author(s) and contributor(s) and not of MDPI and/or the editor(s). MDPI and/or the editor(s) disclaim responsibility for any injury to people or property resulting from any ideas, methods, instructions or products referred to in the content. |
© 2024 by the authors. Licensee MDPI, Basel, Switzerland. This article is an open access article distributed under the terms and conditions of the Creative Commons Attribution (CC BY) license (https://creativecommons.org/licenses/by/4.0/).
Share and Cite
Mugerwa, D.; Nam, Y.; Choi, H.; Shin, Y.; Lee, E. Adaptive Mobility-Based IoT LoRa Clustering Communication Scheme. Electronics 2024, 13, 2052. https://doi.org/10.3390/electronics13112052
Mugerwa D, Nam Y, Choi H, Shin Y, Lee E. Adaptive Mobility-Based IoT LoRa Clustering Communication Scheme. Electronics. 2024; 13(11):2052. https://doi.org/10.3390/electronics13112052
Chicago/Turabian StyleMugerwa, Dick, Youngju Nam, Hyunseok Choi, Yongje Shin, and Euisin Lee. 2024. "Adaptive Mobility-Based IoT LoRa Clustering Communication Scheme" Electronics 13, no. 11: 2052. https://doi.org/10.3390/electronics13112052
APA StyleMugerwa, D., Nam, Y., Choi, H., Shin, Y., & Lee, E. (2024). Adaptive Mobility-Based IoT LoRa Clustering Communication Scheme. Electronics, 13(11), 2052. https://doi.org/10.3390/electronics13112052

